You are currently viewing a new version of our website. To view the old version click .
Coatings
  • Article
  • Open Access

2 October 2024

Application Study of Acoustic Reflectivity Based on Phased Array Ultrasonics in Evaluating Lubricating Oil Film Thickness

,
,
,
,
,
,
and
1
School of Mechanical Engineering, Inner Mongolia University of Science and Technology, Baotou 014010, China
2
Inner Mongolia Key Laboratory of Intelligent Diagnosis and Control of Mechatronic Systems, Inner Mongolia University of Science and Technology, Baotou 014010, China
3
National Engineering Research Center of Flat Rolling Equipment, University of Science and Technology Beijing, Beijing 100083, China
4
School of Material Science and Engineering, Inner Mongolia University of Science and Technology, Baotou 014010, China

Abstract

Bearings play a key role in rolling mills, and the uniformity of their lubricant film directly affects the degree of wear of bearings and the safety of equipment. Due to long-term stress, the lubricant film inside the bearing is not uniformly distributed, resulting in uneven wear between the journal and the shaft tile, which increases the potential safety hazards in production. Traditional disassembly inspection methods are complex and time-consuming. Ultrasonic nondestructive testing technology, which has the advantages of nondestructive and adaptable, has become an effective means of assessing the thickness of the oil film in bearings. In this study, an experimental platform for calibrating the lubricant film thickness in bearings was constructed for the first time, and the acoustic characteristics of different thicknesses of the oil film were measured using ultrasonic detection equipment to verify the accuracy of the simulation process. The experimental results show that after discrete Fourier transform processing, the main features of the frequency channels of the reflected acoustic signals of different thicknesses of the oil film are consistent with the finite element simulation results, and the errors of the oil film thicknesses calculated from the reflection coefficients are within 10% of the set thicknesses, and the measurement ranges cover from 5 μm to 250 μm. Therefore, the above method can realize the accurate measurement of the thicknesses of the oil film in bearings.

1. Introduction

In the iron and steel industry, the bearings of rolling mills are important components to ensure the stable operation of rolls, and their performance directly affects the size and shape accuracy of steel strip in the rolling process [1]. However, as the bearings are subjected to unidirectional load for a long time, it leads to increased eccentricity of the journal and uneven distribution of the lubricant film, which ultimately causes serious friction and wear between the journal and the shaft tile [2,3]. This not only increases the difficulty of quality control, but also brings about safety hazards in production.
Non-destructive testing (NDT) techniques provide a non-invasive means of inspecting mechanical components, addressing the challenge of real-time inspection for some structures that have persisted for a long time. Standard methods for non-destructive testing of bearing oil film thickness include optical measurement [3,4,5], electrical measurement [6,7,8,9], and ultrasonic measurement. Among these, ultrasonic testing technology has garnered widespread attention from researchers worldwide due to its portability, non-polluting nature, and ease of operation [10,11,12,13,14,15,16,17,18,19,20]. Ultrasonic reflection measurement technology is commonly used to measure the thickness of the fluid layer due to its high sensitivity to changes in the medium. Given that the bearings cannot be disassembled during the operation of the mill, ultrasonic inspection technology was chosen to analyze the thickness of the bearing oil film to ensure that the measurement of the oil film thickness can be carried out during the normal operation of the mill.
In practical testing, the thickness of the oil film can be characterized using the raw characteristic signals of ultrasonic waves [21] and processed signals [22]. Most scholars analyze the influence of the oil film on the acoustic reflection signal through these two methods. Jiao et al. [23] used ultrasonic waves to measure lubricating oil film thickness and highlighted the need to consider surface roughness when the film is under 50 μm thick, offering a method for future ultrasonic reflectivity measurements. Zhu et al. [24] successfully measured oil films between 1.8 and 7 μm on O-ring seals, confirming the method’s efficacy but neither study accounted for temperature effects on ultrasonic signals. Jia et al. [25] proposed a compensation strategy for oil film thickness measurement based on ultrasonic reflectivity, which can be applied to a variety of parametric models and effectively solves the effect of temperature on the detection results. However, other interference factors in complex industrial environments were not considered. Jin et al. [26] studied the sound propagation model of solid-liquid-solid coupled interfaces. Through simulation analysis of the propagation characteristics of different frequency sound waves at the solid-oil film coupling interface, they found that the oil film thickness and central frequency have specific effects on sound propagation. Dou et al. [27] analyzed bearing raceway oil film thickness using finite element methods, developing a data table linking load-speed-related reflection coefficients with central oil film thickness through simulations and experiments. It enhanced resolution accuracy and identified uneven oil film distribution as the primary source of detection error. Wang et al. [28] developed an ultrasonic phase algorithm that improved the accuracy of measuring lubricant film thickness, reducing measurement errors from 45% to 6%.
The above studies have convincingly demonstrated the superiority and reliability of ultrasonic testing technology in measuring oil film thickness. However, existing studies have mainly focused on the oil film thickness measurement of small bearings or small structures, and relatively few studies have been conducted for the oil film thickness of large mechanical equipment components, especially rolling mill bearings. In addition, the application of traditional single-crystal ultrasonic probes in large-scale inspection is limited, and the detection results of polycrystalline probes are still unclear. At the present time, phased array ultrasonics have been applied in other fields for fluid thickness measurements, yielding high-precision results [29]. Building upon this observation, this study addresses the method of measuring the bearing oil film thickness using phased array ultrasonic technology for the bearings of support rolls in hot rolling mills in the iron and steel industry. Through the combination of finite element simulation and experimental data, the influence of bearing oil film thickness on the ultrasonic reflection signal is analyzed, providing an effective detection means for the bearing condition assessment of large mechanical equipment.

2. Fundamental Theory

When using ultrasonic technology to detect the oil film thickness of bearings, we chose the spring model, the resonance model and the phase shift model to calculate the oil film thickness. These three models are applicable to different thickness ranges of oil films, covering the full range of oil film thicknesses that may occur in bearings under actual working conditions, ensuring high accuracy in their respective ranges of applicability and the accuracy of the entire measurement process. Compared with the full-wave model, these models have a simpler calculation process and are more suitable for real-time measurements and industrial applications. Although the full-wave model provides accurate results under a wider range of conditions, its high computational complexity is not conducive to real-time monitoring. The empirical models, although applicable to specific conditions, have a limited range of applicability, need to be recalibrated under changing conditions, and are not as flexible as the models selected for this study. Therefore, considering the accuracy, computational efficiency and applicability, we selected these three models for oil film thickness measurement. When the oil film thickness is less than 10 μm, the spring model is typically used for oil film thickness calculation. When the oil film thickness exceeds 10 μm, the resonance model results are relatively accurate [30]. Based on the assessment of on-site bearing structures, the oil film thickness between the journal and the bearing bush varies widely, requiring the models above to analyze thickness changes separately.
In an ideal multilayer structure model, the contact surfaces are perfectly smooth, and there is no interference from fluid on the reflection and transmission of sound waves between the contact surfaces. When the acoustic impedance of each layer of medium differs, sound waves on the contact surface will undergo reflection and transmission. The ideal contact surface has a sound reflection coefficient of [31].
R = z 2 z 1 z 2 + z 1
where z 1 and z 2 represent the acoustic impedance of different media; z = ρ c , ρ represents the density of the medium, and c represents the speed of sound in the medium.
According to Equation (1), when the acoustic impedance values of two materials differ significantly, total reflection or total transmission phenomena will occur at the interface [13], making it impossible to determine the reflection and transmission of sound waves at the interface through the sound reflection coefficient. Therefore, when using the sound reflection coefficient to assess the state of the contact interface, the influence of the acoustic impedance of the two media at the interface on the reflection coefficient needs to be considered. Additionally, due to the characteristics of ultrasonic probes, wedges may need to be added, or coupling media may be used when inspecting specific structures. The influence of wedges and coupling media on the propagation of sound wave signals must also be considered. In reality, there are no perfectly smooth materials, and in most cases, the roughness between contact surfaces cannot be ignored. Lubricants must be used to fill the gaps between rough contact surfaces to achieve a perfect fit between surfaces.
When ultrasonic waves enter the structure under test from one end, reflection and transmission phenomena occur at the steel-oil coupling interface. Since the propagation conditions of sound waves in oil films of different thicknesses are different, the thickness of the oil film between the bearings can be determined by analyzing the reflected signals received by the ultrasonic transducer. Figure 1 depicts a schematic of ultrasonic wave propagation in a steel-oil coupled structure.
Figure 1. Propagation of vertically incident sound waves in a three-layer structure.
Assuming the amplitude of the incident sound wave in the medium I is 1, the displacement equation of the medium when the sound wave is vertically incident is:
u I x , t = e j ω t x / c 1 + R 1 e j ω t + x / c 1 u II x , t = T 1 e j ω t x / c 2 + R 2 e j ω t + x / c 2 u III x , t = T 2 e j ω t x / c 3
where R i represents the sound wave reflection coefficient in different media, and T i represents the sound wave transmission coefficient in other media.
According to Equation (1), the stress-strain equation in solids, and the continuity conditions at the contact interface, the reflection coefficient of ultrasonic waves in the bearing structure under the resonance model can be obtained as [32].
R = e i 2 ω h / c ( z 2 z 3 ) ( z 1 + z 2 ) + ( z 1 z 2 ) ( z 2 + z 3 ) ( z 2 + z 3 ) ( z 1 + z 2 ) + e i 2 ω h / c ( z 2 z 3 ) ( z 1 z 2 )
where ω   represents the angular frequency of the sound wave, the oil film thickness, and the speed of sound in the oil film. When the oil film thickness is an integer multiple of λ / 2 (where λ is the wavelength), standing waves will form due to the superposition resonance of incident and reflected waves at the middle position of the oil film. Standing waves lead to the generation of resonance phenomena [33], and resonance occurs when the frequency of the ultrasonic wave is equal to the natural frequency of the oil film. The expression for the resonant angular frequency is:
ω = π c n h
When the oil film thickness is an integer multiple of half the wavelength of the incident sound wave, resonance occurs between the oil film and the incident sound wave, and the reflection coefficient approaches 0. As shown in the following equation, the oil film thickness at resonance can be calculated using the oil film resonance frequency [34]:
h = n λ 2 = n c 2 f n
where n is the resonance mode number, a positive integer; f n is the n-th order resonance frequency.
When the oil film thickness of the bearing is too thin, the oil film and its coupling structure are often simplified to a spring for calculation. Therefore, in the spring model, there is no need to consider the displacement equation of medium II. Assuming the amplitude of the incident sound wave is 1, the displacement equations for medium I and medium III are:
u I x , t = e j ω t x / c 1 + R K 1 e j ω t + x / c 1 u III x , t = T K 3 e j ω t x / c 3
where R represents the reflection coefficient, and T represents the transmission coefficient.
When the fluid film is assumed to be an ideal fluid, its fluid stiffness is [35]:
K = ρ c 2 h
where ρ represents the fluid density; c represents the speed of sound in the fluid; h represents the thickness of the fluid film.
From the boundary conditions and the displacement equations of the media, the reflection coefficient under the influence of fluid stiffness and rough surface can be obtained [36,37]:
R K = z 1 z 3 + i ω ( z 1 z 3 / K ) z 1 + z 3 + i ω ( z 1 z 3 / K )
Subsequently, the formula for calculating the oil film thickness in the spring model can be obtained as follows:
h = ρ c 2 ω z 1 z 3 R K 2 ( z 1 + z 3 ) 2 ( z 1 z 3 ) 2 1 R K 2
There exists a frequency blind zone between the resonance model and the spring model [38], where the amplitude is insensitive to changes in frequency and thickness. At the same time, the phase angle can still accurately measure the thickness of the oil film in the blind zone. However, calculating the oil film thickness by computing the phase angle through iterative solving is time-consuming. To improve the efficiency of oil film thickness calculation, the phase shift model is obtained by simultaneously using phase information and amplitude information [39]. The formula for calculating the oil film thickness is:
h = c 0 4 π f arctan R ( f ) sin Φ R ( f ) 1 R 1 2 R ( f ) cos Φ R ( f ) + R ( f ) cos Φ R ( f ) R 1 2 R ( f ) 2 R 1 R 1
The phase shift model, as a complementary model to the frequency blind zone scan results, can be used to detect the oil film thickness within the frequency blind zone. Theoretically, the phase shift model can detect the oil film thickness at all frequencies. However, when the oil film thickness is not within the blind zone frequency, there is no need to use the phase shift model to calculate the oil film thickness.
To comprehensively demonstrate the relationship between the reflection coefficient, the acoustic wave frequency, and the oil film thickness, we introduce the nondimensional parameter k = 2 π f d c , where f   is the frequency, d is the oil film thickness, and c is the speed of sound in the medium. This parameter, kkk, serves as the independent variable to analyze the relationships among the three parameters. The variation of the reflection coefficient’s amplitude and phase based on k is shown in Figure 2.
Figure 2. Range of Reflection Coefficient Scans: (a) Frequency Domain Plot, (b) Phase Plot.
When k corresponds to values less than 2 π × 80 c , the oil film thickness is calculated using the spring model; when k exceeds 2 π × 380 c , the thickness is determined using the resonance model. The range between 2 π × 80 c and 2 π × 380 c represents the blind zone between the spring and resonance models, where neither model can accurately measure the thickness of the bearing oil film. Thus, the phase shift model is employed to measure the oil film thickness within this blind zone.
To comprehensively demonstrate the relationship between the reflection coefficient, the acoustic wave frequency, and the oil film thickness, we set the parameter frequency × oil film thickness as the independent variable to analyze the relationship between the three parameters. The variation of the reflection coefficient amplitude and phase based on frequency × oil film thickness (f × d) is shown in Figure 2. When f × d is less than 80, the oil film thickness is calculated using the spring model; when f × d is greater than 380, the oil film thickness is calculated using the resonance model. The range between 80 and 380 represents the blind zone between the spring and resonance models, where neither of the two models can accurately measure the thickness of the bearing oil film. Therefore, the phase shift model measures the oil film thickness within the blind zone range.
When the oil film thickness is between 1–200 μm, combining multiple models for measurement can significantly improve the measurement accuracy of the oil film thickness. In the actual measurement process, the oil film distribution in the measured area is analyzed based on the amplitude and phase changes of the reflection coefficient. The oil film thickness is then calculated using the corresponding model.

3. Finite Element Simulation

In this study, in order to verify the validity of the acoustic model, a two-dimensional finite element analysis was performed using COMSOL software(6.2). The finite element model is shown in Figure 3, and the solid mechanics interface and the pressure acoustics interface (transient) were used for the calculation. In order to simplify the calculation, we assume that the coupling problem of the probe can be ignored and the excitation signal is applied directly at the model boundary. The outer material of the model is structural steel, the oil film material is engine oil, and the inner material is AISI 4340 steel. All materials are considered as linear elastomers, and the nonlinear and viscoelastic behaviors of the materials are neglected. The oil film is considered as an ideal liquid and the density and speed of sound are constants. Also, to reduce the computational complexity, the three-dimensional problem is simplified to a two-dimensional model. This simplification is reasonable when exploring the properties of acoustic wave propagation in a plane, but care should be taken that three-dimensional effects may be neglected.
Figure 3. Finite Element Model [40].
In order to ensure the accuracy of the simulation, we used the physical parameters of the actual material in the model, as shown in Table 1.
Table 1. Material Physical Parameters.
The model uses a free triangular mesh to ensure adaptability to complex geometries. To ensure the accuracy of the calculation, the overall mesh size is set to 1/5 of the minimum wavelength, where the minimum wavelength is determined by the propagation speed of the highest frequency acoustic wave in the model in each material. In critical areas such as the solid-fluid coupling interface and the acoustic wave propagation path, the mesh is further refined and the mesh size is set to 1/10 of the minimum wavelength, which helps to accurately capture the propagation and reflection characteristics of the acoustic wave at the interface. At the non-acoustic wave incidence boundary of the model, a low reflection (absorption) boundary condition is imposed to simulate an infinite medium and avoid the influence of boundary reflections on the results. Specifically, the incident acoustic wave is incident vertically at an angle of 90° from the edge of the model. A low reflection boundary condition is set at the non-acoustic incident boundary and the damping type is set to P-wave and S-wave to eliminate the effect of boundary effects on multiple reflections caused by the sound reflection signal. At the interface where the solid is in contact with the fluid (oil film), an acoustic-structural boundary is applied to realize the coupling of the pressure acoustic model with the solid mechanics model. This boundary condition ensures the energy transfer and interaction of acoustic waves between the solid and the fluid. Although the main focus of this study is the propagation of acoustic waves in the oil film of bearings, in practical applications, bearings are usually subjected to certain mechanical loads. In order to simulate the force on the bearing under operating conditions, we apply a symbolic static pressure on the solid part in the model. Meanwhile, since the frequency of acoustic wave is much higher than the frequency of mechanical load change, and in the linear range of the material, the effect of mechanical load on the acoustic properties (e.g., acoustic velocity, density) of the material can be neglected. Therefore, in this simulation, we assume that the effect of mechanical load on the acoustic wave propagation properties is negligible. Finally, in order to verify the effect of meshing on the results, we performed computational comparisons for models with different mesh densities. The results show that when the grid size is less than 1/5 of the minimum wavelength [41], the calculation results are basically stable, and the effect of further grid refinement on the results is negligible.
Based on the model configurations mentioned above, different reflected acoustic wave signals can be obtained from the finite element model under varying oil film thicknesses. Depending on the range of oil film thickness, one can select the spring, phase shift, or resonance models to calculate the oil film thickness separately. Due to the difficulty in distinguishing the influence of oil film thickness on the characteristics of acoustic wave signals in the time domain, the original time-domain acoustic wave signals are transformed into frequency-domain signals to assess the impact of oil film thickness on the acoustic wave signals.
The different thicknesses of the oil film will affect the waveform characteristics of the reflected acoustic waves. Multiple sets of various thicknesses of oil films are simulated based on the application range of the acoustic model. The oil film thickness is set to 100 μm, 150 μm, 200 μm, and 250 μm respectively, and the simulation results are represented using pressure. The reflected acoustic pressures for different oil film thicknesses are shown in Figure 4. It can be observed that with increasing oil film thickness, the amplitude of the reflected acoustic pressure gradually increases, and there is a noticeable difference in the reflected acoustic pressure among oil films of different thicknesses. To enhance the resolution of the spectrum, we reduced the interval of frequency domain sampling. This adjustment allows us to more finely capture the effects of oil film thickness on the acoustic wave reflection characteristics. Specifically, we compressed the data sampling interval time and applied a higher resolution Fourier transform to the collected data to more accurately analyze the frequency components and phase changes.
Figure 4. Reflection values for oil films of thicknesses ranging from 100 μm to 250 μm.
Figure 4 shows that the variation trend of the amplitude of the reflected acoustic wave signals in the time domain is not significant. In our experiments, we observed the variation rule of reflection coefficient with frequency and oil film thickness by measuring the ultrasonic reflection signals under different thicknesses of oil films. In particular, when the oil film thickness is close to the resonance condition, obvious resonance peaks appear in the spectrum of the reflected signal. Within the time range of 27 × 10−7 to 35 × 10−7 s, the curves of the reflected acoustic waves for oil films with thicknesses of 200 μm and 250 μm exhibit resonance motion near the frequency of f. The amplitude of the resonance wave for the 250 μm thick oil film is much larger than that of the 200 μm thick oil film. Due to the resonance phenomenon between the incident acoustic waves and the oil film caused by the oil film thickness, the resonance phenomenon in the 250 μm thick oil film is clearer, exhibiting complete resonance, which is consistent with the theoretical prediction of Equation (3). In the 200 μm thick oil film, incomplete resonance occurs between the sound waves and the oil film. When the oil film thickness is adjusted to the resonance range, it transitions to complete resonance. Based on the amplitude of the acoustic wave resonance, it can be inferred that there is a resonance point around 200 μm. Adjusting the oil film thickness to this resonance point enables the measurement of the acoustic wave resonance signal.
Compared to the initial excitation acoustic wave, the amplitude of the resonance wave is smaller and cannot accurately reflect the relationship between the oil film thickness and the resonance wave in the initial image. By extracting the reflected acoustic pressure amplitude from Figure 4 and performing a discrete Fourier transform to convert the time-domain signal into a frequency-domain signal, the frequency amplitude and phase changes of the reflected acoustic wave signal in the frequency domain can be analyzed. The resonance points and their corresponding resonance frequencies can be clearly observed in the frequency domain. The transformed frequency-domain signal is depicted in Figure 5.
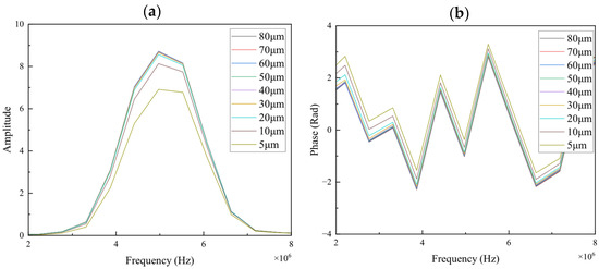
Figure 5. Reflection acoustic wave signals of different oil film thicknesses in the frequency domain: (a) Amplitude, (b) Phase.
Figure 5a depicts the spectral plot of the reflected acoustic waves. Resonance phenomena are observed in the range of 8–14 MHz for oil films with thicknesses of 200 μm and 250 μm, with the resonance points gradually shifting to the left as the oil film thickness increases, consistent with theoretical analysis results. For oil films with thicknesses of 100 μm and 150 μm, no resonance is observed in the reflected acoustic waves after signal transformation. This absence of resonance is attributed to the mismatch between the oil film thickness and the frequency of the incident acoustic wave. Figure 5b shows the phase spectrum of the reflected signals. Similarly, resonance phenomena are observed in the phase spectra for oil films with thicknesses of 200 μm and 250 μm, with resonance frequencies matching those observed in the amplitude spectra. No resonance phenomena are observed in the phase spectra for oil films of other thicknesses. The waveforms represented by the spectral and phase plots convey the same information. Resonance frequencies corresponding to both amplitude and phase resonance points can jointly characterize the oil film thickness of the bearing.
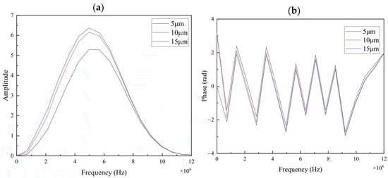
When the oil film thickness of the bearing ranges from 1 to 15 μm, the oil film is too thin for resonance effects between the ultrasonic waves and the oil film. Therefore, it is not feasible to calculate the oil film thickness using the resonance model within this range. Instead, the spring model is commonly employed to analyze the relationship between the oil film thickness and the ultrasonic reflection coefficient [42]. In the finite element model, oil films with thicknesses of 5 μm, 10 μm, and 15 μm are respectively set to examine the influence of the oil film thickness on the reflected acoustic waves. The results of the finite element analysis are depicted in Figure 6. When the oil film thickness in the model is less than 5 μm, higher precision is required for the model grid, leading to increased computational demands. Therefore, the analysis of the oil film thickness’s impact on the reflected acoustic waves does not start from 1 μm.
Figure 6. Reflection values for oil films with thicknesses of 5–15 μm.
From Figure 6, it can be observed that the thickness of the oil film in the time domain significantly affects the reflected sound wave. As the oil film thickness changes, there are noticeable variations in the amplitude of the reflected sound wave. In the range from 1.9 × 10−6 s to 2.6 × 10−6 s, the amplitude of some wave peaks increases with the increase in oil film thickness. However, there are overlapping reflected signals, making it difficult to determine the peak positions and sizes of the overlapping curves, which complicates the analysis of amplitude changes. Outside this range, the amplitude of the reflected sound wave either changes slightly or remains unchanged, making it challenging to accurately determine the relationship between the amplitudes of the wave peaks. Analyzing the effect of oil film thickness on the reflected sound wave based solely on the magnitude of a single amplitude may introduce errors. To ensure the accuracy of the analysis results, the time-domain signal is transformed into the frequency-domain signal to analyze the relationship between oil film thickness and the amplitude of the reflected sound wave in the frequency domain.
Performing a discrete Fourier transform on the data, the resulting frequency spectrum is shown in Figure 7a, while the phase spectrum is depicted in Figure 7b.
Figure 7. Reflection acoustic wave signals of different oil film thicknesses in the frequency domain: (a) Amplitude, (b) Phase.
In the frequency spectrum, there is a noticeable difference in the amplitude of the reflected sound waves at different oil film thicknesses, showing a positive correlation between the oil film thickness and the amplitude of the reflected sound waves. No resonance points are observed in the images. An increase in oil film thickness in the phase spectrum results in a leftward shift of the signal phase within the effective frequency range. The change in phase shift is smaller than the change in amplitude. In the spring model, using the frequency domain amplitude to calculate the oil film thickness is more convenient, avoiding the complexities of amplitude relationship judgments caused by signal crossovers in the time domain.
The oil film thickness of the model is set to 20 μm, 25 μm, 30 μm, 35 μm, 40 μm, 45 μm, and 50 μm. The effect of these oil film thicknesses on the reflected sound waves is analyzed, and the simulation results are shown in Figure 8.
Figure 8. Reflection values for oil films with thicknesses of 20–50 μm.
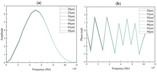
When the bearing oil film thickness is in the range of 15–50 μm, no significant resonance phenomenon is observed in the reflected sound waves in the time domain. The peak-to-peak values of the reflected sound wave amplitudes show no significant difference, and the peaks of the reflected signals for each oil film thickness are nearly overlapping. Both the spring and resonance models cannot accurately calculate the oil film thickness in this range. S. Mass et al. [43] achieved more accurate results in analyzing the fluid layer thickness within this range using the phase shift model. Therefore, the reflected signals are transformed into frequency and phase spectra in the frequency domain to analyze the relationship between the oil film thickness and the amplitude and phase.
The frequency and phase spectra of the reflected sound waves for oil film thicknesses of 20–50 μm are shown in Figure 9. In Figure 9a, the amplitude of the reflected sound waves after the discrete Fourier transform exhibits a similar distribution pattern to the original sound wave signal in the time domain. The reflected sound waves from oil films of different thicknesses overlap and superimpose. Compared to the frequency spectrum of the spring model in Figure 7a, the variation in oil film thickness has almost no effect on the amplitude of the sound waves, making it difficult to judge the relationship between oil film thickness and reflected sound waves based on the amplitude variation pattern [44]. In Figure 9b, as the oil film thickness increases, the degree of phase lag decreases continuously. Similarly, there is a phase lag in the spring model, but the phase spectrum change is smaller than its frequency spectrum.
Figure 9. Reflection acoustic wave signals of different oil film thicknesses in the frequency domain: (a) Amplitude, (b) Phase.
The phase shift model accurately measures oil film thickness in the transitional range between the spring and resonance models. The analysis results of the frequency and phase spectrum show that the phase shift model exhibits frequency characteristics similar to those of the spring model. Still, these characteristics are not prominent or easily used for oil film thickness detection. When analyzing oil film thickness using the phase shift model, only the phase characteristic variation needs to be considered, and other frequency characteristic variations are unnecessary.
This section employed different finite element models to analyze the reflected ultrasonic wave signals from oil films of varying thicknesses in both the time and frequency domains. By examining the characteristics of the acoustic signals, suitable acoustic models were selected, demonstrating that frequency domain detection results are more appropriate for measuring oil film thicknesses with significant variations. This lays the theoretical foundation for subsequent experimental detection.

4. Oil Film Thickness Measurement Experiment

4.1. Experimental System

An oil film thickness measurement system was established to validate the effectiveness of the proposed models for measuring bearing oil film thickness thickness. The system comprises a computer, phased array ultrasonic equipment, and an oil film calibration platform.
The emission and reception of ultrasonic waves are controlled using the M2M full-focusing phased array ultrasound Panther from France, which combines high-speed detection with real-time focusing imaging, as shown in Table 2. The phased array ultrasound probe is the DP2 5L32 produced by Doppler company, as detailed in Table 3. Conventional computers are employed for data processing and analysis.
Table 2. M2M Panther Parameters.
Table 3. DP2 5L32 Probe Parameters.
The probe and test block are directly fixed on the calibration table during the experiment, as shown in Figure 10. To ensure good acoustic-solid-liquid coupling between the ultrasonic probe and the test block surface, the detection surface must be polished smoothly to maintain flatness. This provides excellent contact between the ultrasonic transducer and the bearing housing, resulting in more accurate detection results. Throughout the experiment, temperature variations can affect the ultrasonic test results. Therefore, it’s essential to maintain stable laboratory temperatures to avoid significant fluctuations that could affect the test results. For instance, when the indoor temperature increases from 21.9 °C to 22.1 °C, the change in ultrasonic delay compared to the data for measuring oil film thickness can be considered negligible. It can also be assumed that when the laboratory temperature varies within the range of ±0.2 °C, its impact on the measurement results of bearing oil film thickness detection is minimal, and this error can be disregarded.
Figure 10. Oil Film Calibration Platform.

4.2. Experimental Procedure and Results

The measurement and analysis of oil film thickness are based on ultrasonic reflection signals’ amplitude and phase changes. Therefore, before measuring the oil film thickness, it is necessary first to measure the reflection coefficient of ultrasonic waves. The reflection coefficient is typically defined as the ratio of the amplitude of the reflected sound wave in the time domain to the amplitude of the incident sound wave. It can also be the ratio of the transformed spectral amplitude of the reflected signal to the spectral amplitude of the incident signal or the phase shift of the spectral phase between the reflected signal and the incident signal.
The ultrasonic probe can receive and process the oil film reflection signal. In contrast, imaging software can extract the incident sound wave signal as a reference signal after passing a single test block. The reflection coefficient amplitude R and phase Φ are given by Equations (11) and (12) [45].
R ( f ) = A ( f ) A 0 ( f ) R 0 ( f )
where R ( f ) represents the amplitude of the reflection coefficient; A ( f ) represents the amplitude of the reflected sound wave in the frequency domain; A 0 ( f ) represents the amplitude of the reference signal in the frequency domain; R 0 ( f ) represents the reflection coefficient of the reference signal in the frequency domain, typically taken as 1.
Φ ( f ) = θ ( f ) θ 0 ( f ) + Φ 0 ( f )
where Φ ( f ) represents the phase of the reflection coefficient; θ ( f ) represents the phase of the reflected sound wave in the frequency domain; θ 0 ( f ) represents the phase of the reference signal in the frequency domain; Φ 0 ( f ) represents the phase of the reflection coefficient of the reference signal in the frequency domain, typically taken as 0.

4.2.1. Measurement Results of the Reference Signal

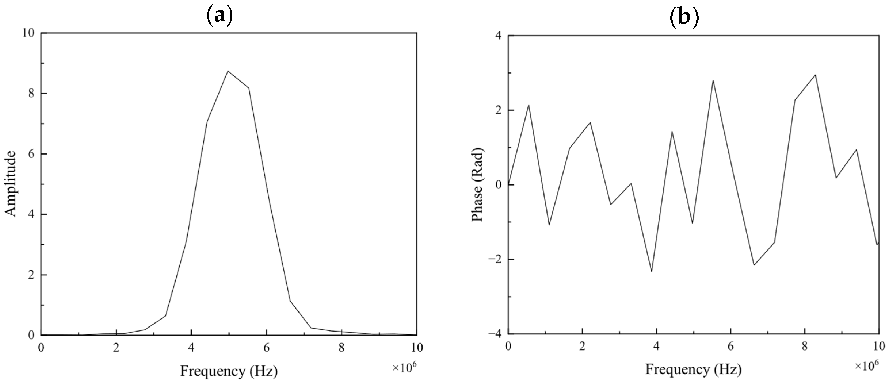
After completing the construction of the oil film thickness calibration experimental platform, clean the surface of the upper and lower test blocks on the platform to ensure that there are no impurities, so as not to affect the experimental accuracy. Apply lubricant to the contact area between the upper test block and the ultrasonic probe to ensure the coupling efficiency. At the same time, constantly adjust the degree of contact between the ultrasonic probe and the surface of the test block to achieve the best coupling effect. When the displayed reflected ultrasonic waveform reaches the maximum value, it indicates that the coupling effect is optimal. After adjusting the ultrasonic probe, the reflected ultrasonic signal at the interface between the upper test block and the air is recorded as the reference signal. The time-domain waveform information of the reference signal represents the reflected signal at the contact surface between the test block and air, as shown in Figure 11.
Figure 11. The time-domain waveform of the reference sound wave.
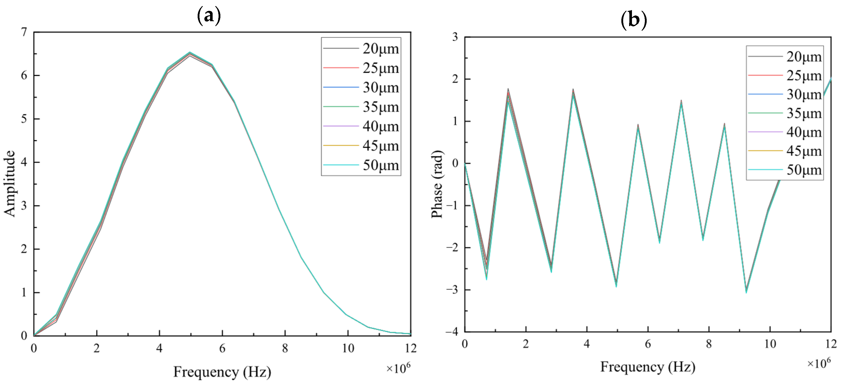
Performing a discrete Fourier transform on the reference signal yields the amplitude and phase in the frequency domain, as shown in Figure 12.
Figure 12. Frequency Domain Waveform of Incident Sound Wave: (a) Amplitude, (b) Phase.

4.2.2. Measurement Results of Resonance Model

Using a displacement platform, the oil film thickness was controlled within the calculation range of the resonance model, with oil film thicknesses set at 160 μm, 150 μm, 140 μm, and 130 μm for the measurement of reflected sound waves. Figure 13 shows the time-domain signals for different oil film thicknesses within the resonance model range. The amplitude of the reflected sound waves does not vary significantly. Due to the relatively thick oil film layer, there are a series of small amplitude echoes in the reflected sound waves after 2.5 μs, and the superposition of adjacent echoes causes the resonance effect of the reflected sound waves. The amplitude of the echoes decreases with the decrease in oil film thickness. When the amplitude of the echoes reaches 0, the reflected sound waves leave the calculation range of the resonance model. As a result, the accuracy of analyzing the oil film thickness change through the resonance model decreases, and the resonance model is no longer applicable.
Figure 13. Time-domain reflection acoustic wave signals in the resonance model region.
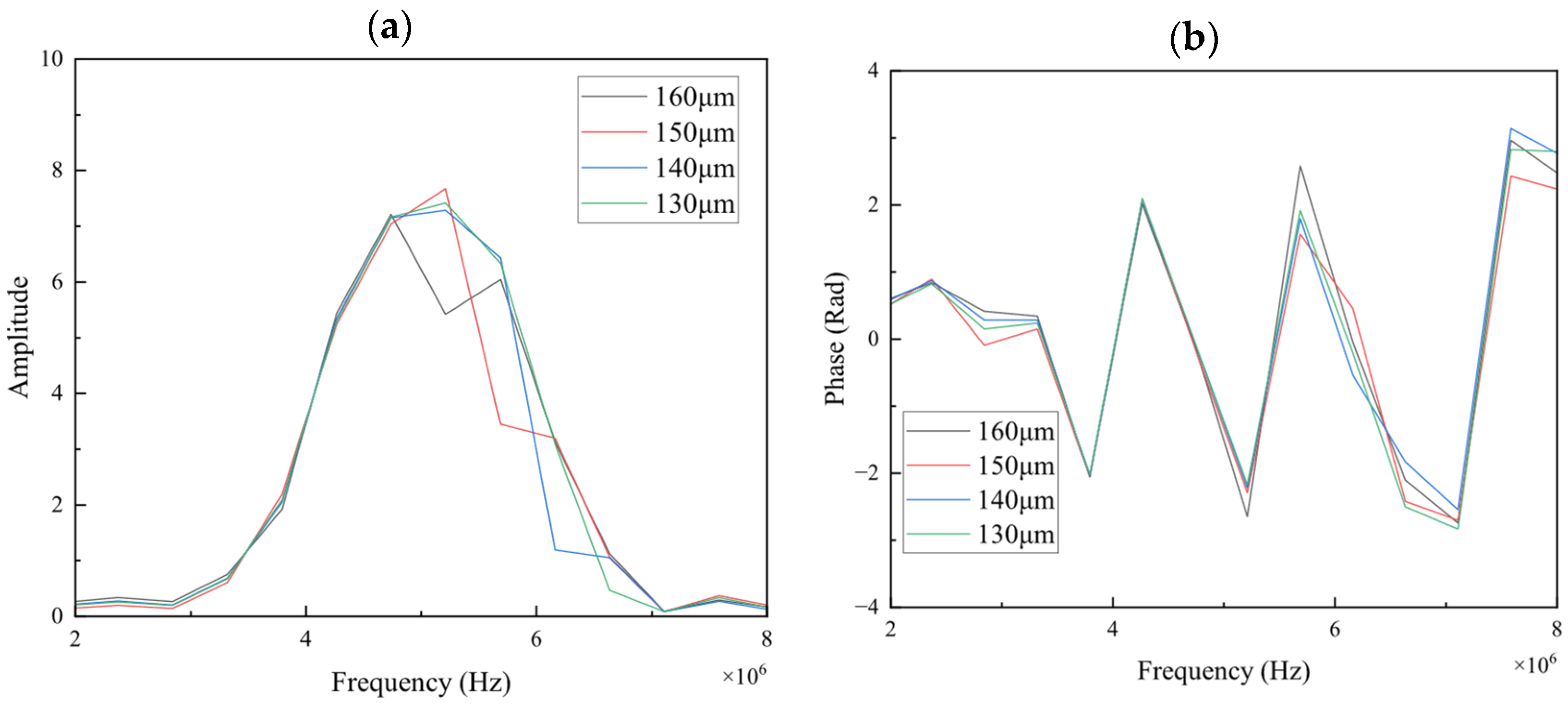
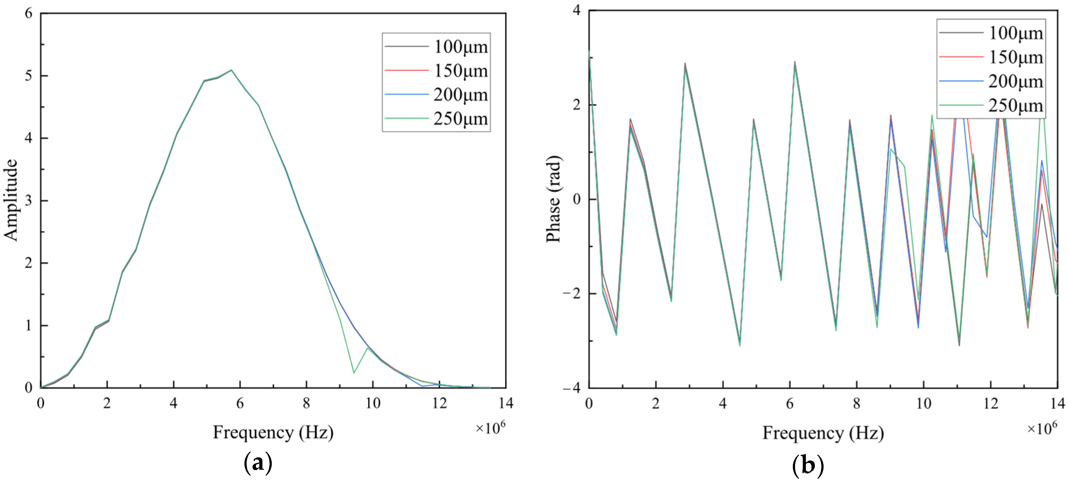
The time-domain signals in Figure 13 are subjected to a discrete Fourier transform to obtain the amplitude and phase of the reflected acoustic wave signals in the frequency domain, as shown in Figure 14a and Figure 14b, respectively.
Figure 14. Amplitude and Phase of the reflected signals in the resonance model region: (a) Amplitude, (b) Phase.
In Figure 14a, apparent resonance phenomena can be observed, where the minimum points in the amplitude curve represent resonance points corresponding to resonance frequencies. Moreover, the resonance points gradually shift to the right as the oil film thickness decreases. In Figure 14b, the phase curve of the reflection coefficient exhibits distinct resonance phenomena near the resonance frequency. When the flat curve exhibits fluctuations, resonance occurs, with the frequency at resonance corresponding to the resonance frequency. As the oil film thickness decreases, the resonance points gradually shift to the right. The corresponding oil film thickness can be calculated based on the respective resonance frequencies in both the amplitude and phase of the reflection coefficient.
Based on the amplitude and phase information of the reflected signal in Figure 14, the amplitude and phase of the reflection coefficient are calculated, as shown in Figure 15.
Figure 15. Amplitude and Phase of the Reflection Coefficient in the Resonance Model: (a) Amplitude, (b) Phase.

4.2.3. Measurement Results of the Spring Model and Phase Shift Model

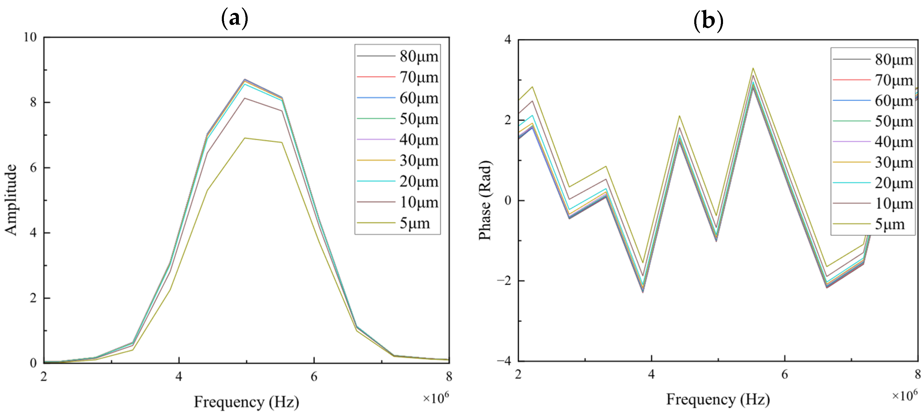
When the oil film thickness is in the range of 0–70 μm, the spring or phase shift models can achieve high accuracy in calculating the oil film thickness. Figure 16 shows the time-domain signals of the reflection waves within the range of the phase shift and spring models. It can be observed that there is a significant difference in the signal amplitude between the 5 μm and 10 μm thickness oil films. As the oil film thickness gradually increases and enters the calculation range of the phase shift model, the amplitude of the reflected sound wave signals is almost identical, making it impossible to distinguish between the thicknesses of oil films within the phase shift model based solely on the time-domain amplitude. However, the phase change of the reflected sound wave remains distinct, allowing for the calculation of the oil film thickness based on the sound wave phase.
Figure 16. Time-domain reflection acoustic waveforms within the spring model and phase shift model ranges.
Performing a discrete Fourier transform on the time-domain signals from Figure 17 yields the amplitude and phase of the reflection acoustic waveforms in the frequency domain, as shown in Figure 17.
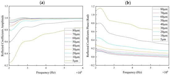
Figure 17. Amplitude and Phase of the Reflected Signals in the Spring Model and Phase Shift Model Range: (a) Amplitude, (b) Phase.
In Figure 17a, a noticeable variation trend in the amplitude among thickness ranges suitable for the spring model can be observed, with the reflected coefficient amplitude increasing as the oil film thickness increases. However, within the phase shift model range, the amplitude differences among oil film thicknesses are minor, making it difficult to calculate the corresponding oil film thickness based on the change in the reflected coefficient amplitude. In Figure 17b, with the increase in oil film thickness, the overall phase of the reflected coefficient shifts downward. The phase change of the 5 μm and 10 μm thickness oil films is much more significant than that of the other thicknesses.
Substituting the amplitude and phase information of the reflected signals from Figure 17 into Equations (11) and (12), the reflected coefficient amplitude and phase within the spring and phase shift model ranges are obtained. The calculated results are shown in Figure 18.
Figure 18. Amplitude and Phase of Reflected Coefficients in the Spring Model and Phase Shift Model Ranges: (a) Amplitude, (b) Phase.
In Figure 18a, the reflected coefficient amplitude gradually increases as the frequency increases. When the oil film thickness is between 5 μm and 10 μm, the trend of the reflected coefficient amplitude changes significantly, with noticeable differences between the curves. However, within the phase shift model range, the reflected coefficient amplitude curves intertwine, and each curve is almost identical. Therefore, it is impossible to accurately distinguish the reflected coefficients corresponding to each oil film using the reflected coefficient amplitude curves, making it impossible to calculate the thickness of the oil film within the phase shift model range based on the reflected coefficient amplitude.
In Figure 18b, the reflected coefficient phase gradually decreases as the frequency increases. The reflected coefficient phases corresponding to different oil films can be identified, allowing for the determination of the oil film’s changing trend from the phase change trend. With the increase in oil film thickness, the reflected coefficient phase curves gradually approach each other. Unlike the trend in reflected coefficient amplitude, the reflected coefficient phase curves do not overlap or intersect, showing a regular changing trend. Therefore, without considering calculation precision, the thickness of different oil films can be calculated based on the reflected coefficient phase.
Based on the data in Figure 18, the calculated oil film thickness measured by the spring model is shown in Figure 19.
Figure 19. Prediction of oil film thickness based on square of reflection coefficient. (a) Square of reflection coefficient versus oil film thickness, (b) Prediction curve of oil film thickness.
In Figure 19a; when the oil film thickness is 5 μm and 10 μm; the oil film thickness curve is relatively smooth and exhibits regular changes. The reflection coefficient amplitude and phase can accurately calculate the oil film thickness. When the oil film thickness exceeds 15 µm; the oil film thickness curve shows fluctuations. With the increase in oil film thickness; the oil film thickness curve calculated by the spring model exhibits breakpoints; and some frequencies cannot compute the oil film thickness; resulting in significant errors in the oil film thickness calculated based on the reflection coefficient amplitude. In Figure 19b; when the oil film thickness is 5 µm and 10 µm; the oil film thickness range is smooth and stable; and the calculated oil film thickness is close to the set thickness. With the increase in oil film thickness; the oil film thickness curve gradually approaches a parabolic trend; and some oil film thickness curve values have far exceeded the thickness set in the experiment within the range of the phase shift model; rendering the oil film thickness calculated based on the spring model ineffective. The variation curve of the bearing oil film thickness calculated based on the spring model amplitude and phase demonstrates that the spring model is only suitable for measuring thin oil film thicknesses. As the oil film thickness increases; its calculation error gradually increases. When the oil film layer is within the range of the phase shift model; the oil film thickness should be calculated using the phase shift model formula. When the measurement accuracy requirements are not high; the spring model can calculate the bearing oil film thickness
The reflection coefficient phase from Figure 18b was substituted into Equation (10) to calculate the oil film thickness using the phase shift model, as shown in Figure 20. When the oil film thickness is between 5–10 μm, the oil film thickness curve is relatively smooth, and the trend is roughly similar to the calculation results of the spring model. When the oil film thickness is between 20–70 μm, fluctuations occur with increasing thickness in the oil film thickness curve. Within the range of oil film thickness variation, there is no crossover phenomenon among the oil film thickness curves calculated by the phase shift model, and the differences between the curves are significant, demonstrating the effectiveness of the phase shift model in calculating the oil film thickness.
Figure 20. Oil film thickness curves in the phase shift model.

5. Measurement Results Analysis

Figure 15 shows that when there is a resonance effect between the oil film layer and the incident sound wave, the amplitude curve of the reflection coefficient exhibits a minimum value. In contrast, the phase curve of the reflection coefficient exhibits a zero-crossing point. Moreover, both the minimum value point and the zero-crossing point shift towards the right as the oil film thickness decreases. By substituting the frequencies corresponding to the minimum value point and the zero-crossing point into Equation (5), the oil film thickness corresponding to the resonance frequency can be calculated, as shown in Figure 21.
Figure 21. Resonance Model Oil Film Thickness Calculation Results.
As the resonance frequencies of the reflected sound waves are the same, the oil film thickness calculated based on the resonance frequencies is consistent, with an error of less than 2 μm, meeting the measurement requirements for relatively thick oil film layers.
When the oil film thickness calculated by the phase shift model exceeds 30 μm, significant fluctuations are observed in the oil film thickness curve. Calculating the average value of the curve results in a substantial error. Similarly, the variation in the oil film thickness curves in the spring model is also substantial, making the averaging method unsuitable. Since the accuracy of the calculation results of ultrasonic waves at the central frequency is the highest, the oil film thickness at 5 MHz in the oil film thickness curve is selected as the calculated oil film thickness. The results of the above models are shown in Figure 22.
Figure 22. Spring Model and Phase Shift Model Oil Film Thickness Calculation Results.
When the oil film thickness calculated by the spring model is relatively thin, the results obtained from both amplitude and phase are close to the set thickness. However, as the oil film thickness gradually increases, the calculated results from the spring model deviate from the set thickness, with the amplitude calculation results tending to underestimate and the phase calculation results tending to overestimate. The phase shift model maintains a certain level of accuracy during the measurement process, with the calculated oil film thickness being almost identical to the set thickness, demonstrating the accuracy of the phase shift model in measuring oil film thickness in the range of 20–80 μm.
The practical values of the calculation results from the three models are taken, and the effective measurement range intervals are defined. The results are shown in Figure 23
Figure 23. Oil Film Thickness Measurement Results.

6. Detailed Discussion on Sources of Error

In order to gain a deeper understanding of the sources of measurement error, the following factors need to be analyzed in detail:
  • Probe alignment: Alignment deviations of the ultrasonic probe can lead to changes in the angle of acoustic wave incidence, affecting the amplitude and phase of the reflected signal.
  • Surface roughness: the surface roughness of the contact interface will lead to the scattering and attenuation of sound waves, affecting the measurement of the reflection coefficient.
  • Signal Processing: There may be electrical noise, environmental noise, etc. in the data acquisition process, and the filtering and data analysis methods in the signal processing process will also affect the results.

7. Conclusions

In this study, an experimental platform for oil film thickness measurement based on ultrasonic reflection method was constructed for the detection of oil film thickness of rolling mill bearings. Through the experimental measurement and finite element simulation of the ultrasonic reflection signals of different thicknesses of oil film, the influence of the oil film thickness on the acoustic wave reflection characteristics is analyzed. The results show that: For oil film thicknesses greater than 100 μm, the resonance model is used for calculation due to the presence of obvious resonance waves. Since the thickness of the oil film is only related to the resonance frequency, the results of the resonance model are stable and accurate. For the oil film thickness in the range of 15–80 μm, due to the different oil film corresponding to the reflection signal amplitude is close to, can only be calculated by the phase change of the oil film thickness, the phase shift model was chosen. Considering the noise interference, the thickness corresponding to the center frequency of the ultrasonic probe is chosen as the calculation result to ensure the accuracy of the calculation. For the thickness of oil film in the range of 0–20 μm, although the phase shift model and the spring model can be used for calculation, the spring model is usually used to calculate the thickness of thin oil film due to the larger calculation amount of the phase shift model. The experimental results show that smaller data sampling intervals are more effective in capturing small frequency variations, which is essential for accurately assessing bearing performance and preventing mechanical failures. The designed experimental setup has high accuracy, and the accuracy and reliability of the finite element simulation model is verified by comparing the experimental and simulation results. Therefore, the established finite element model can be used for further analysis and research, providing a reliable theoretical basis for the assessment of bearing oil film thickness.
Compared with the traditional single-crystal ultrasonic inspection method, the proposed method has significant improvement in inspection range, accuracy and efficiency, and can realize rapid scanning and imaging, which is suitable for online monitoring. At the same time, the spring model, phase shift model and resonance model are comprehensively adopted to optimize the oil film for different thickness ranges, which overcomes the limitation of using only a single model with limited scope of application, and avoids the bottleneck of high computational complexity of the full-wave model in real-time application.
For the complex working conditions of large rolling mill bearings, we used actual material parameters and accurate boundary conditions in the finite element simulation, and performed sensitivity analysis on key parameters (e.g., material sound velocity and density) to verify the robustness of the model. The experimentally measured reflection signals are in high agreement with the simulation results. Taking the oil film thickness of 100 μm as an example, the deviation of the experimental value of the reflection coefficient from the simulated value is less than 5%, and the trend of the phase change is consistent, which proves the accuracy and reliability of the model.
In summary, the proposed measurement method fills the research gap in the field of oil film thickness measurement of large bearings, and provides a new technical means for the condition monitoring of bearings in large mechanical equipment.

8. Industrial Application Prospects and Cost Analysis

  • Equipment Cost: Initial investment in phased array ultrasonic testing equipment is high. However, costs are expected to decrease as the technology evolves and market competition increases.
  • Operational Cost: The non-invasive and rapid nature of the testing process allows measurements to be conducted during equipment operation without the need for shutdowns, thereby reducing production losses.
  • Maintenance Cost: The maintenance and calibration requirements for the equipment are relatively low. Once trained, operators can proficiently use the equipment.
  • Technology Maturity: Phased array ultrasonic technology is already well-established in other industrial sectors, providing a reliable technological foundation.
  • Adaptability: This method can be customized according to different types of bearings and operating conditions, making it suitable for various large-scale mechanical equipment.
  • Economic Benefits: Real-time monitoring of bearing oil film thickness can prevent equipment failures, extend equipment lifespan, reduce maintenance and replacement costs, and enhance production efficiency.
  • Safety Production: The method enhances the safety of equipment operations, reducing the risk of accidents due to bearing failures.
  • Quality Control: Real-time monitoring helps ensure product quality and meet stringent process requirements.
  • Smart Manufacturing: This technology can be integrated with industrial IoT and big data analytics, advancing the intelligent and digital transformation of industrial equipment.

9. Limitations and Future Outlook

Although this study verified the feasibility of measuring the oil film thickness of bearings based on phased array ultrasonic technology, there are still some limitations. First, the experiments were conducted under laboratory conditions, which did not fully simulate the complex conditions in real industrial environments, such as high temperature, high pressure and vibration. Second, the inspection process requires a high level of bearing surface condition (e.g., roughness, contaminants), which may pose a challenge in practical applications.
Future research will focus on the following aspects: first, further optimize the detection device to improve its adaptability under complex working conditions; second, carry out field tests to verify the reliability and stability of the method in actual industrial environments; and third, combine machine learning and big data analysis technologies to achieve intelligent monitoring and early warning of the bearing condition.

Author Contributions

Conceptualization, F.S. and B.S.; methodology, B.S.; software, H.C.; validation, B.S., S.W. and Y.H.; formal analysis, W.L.; resources, H.C.; data curation, F.M.; writing—original draft preparation, F.S. and B.S.; writing—review and editing, Y.H. and Z.L.; visualization, W.L.; supervision, S.W.; project administration, F.S.; funding acquisition, S.W. and H.C. All authors have read and agreed to the published version of the manuscript.

Funding

This research was funded by the Key R&D and Achievement Transformation Plan Project in Inner Mongolia Autonomous Region 2022YFSH0126 and by the Fundamental Research Funds for Inner Mongolia University of Science & Technology, grant number 2023QNJS072, and by the Natural Science Foundation of Inner Mongolia Autonomous Region, grant number 2023ZD12, and by the Basic scientific research business expenses project of universities directly under the Inner Mongolia Autonomous Region, grant number 2024YXXS058.

Institutional Review Board Statement

Not applicable.

Data Availability Statement

Due to laboratory regulations, the method of obtaining experimental data is temporarily unavailable.

Acknowledgments

Thank you to Inner Mongolia University of Science and Technology and the following project funds for supporting our work. In this paper, a large language model was used to optimize the grammatical content of the article.

Conflicts of Interest

Author Fengchun Miao was employed by the company Inner Mongolia North Heavy Industry Group Co., Ltd. The remaining authors declare that the research was conducted in the absence of any commercial or financial relationships that could be construed as a potential conflict of interest.

References

  1. Huang, Q.; Li, Y.; Shen, G.; Chen, Z.; Shu, X.; Shi, R.; Zhao, H.; Chen, B. Self-aligning even load mechanism of multi-row bearings of large strip rolling mill. Chin. J. Mech. Eng. (Engl. Ed.) 2006, 19, 246–250. [Google Scholar] [CrossRef]
  2. Wang, J.M.; Huang, Q.X.; Zhao, C.J.; Ma, L.F. Numerical Analysis on Fatigue Failure of Sleeve in Oil-Film Bearing. Key Eng. Mater. 2006, 324, 323–326. [Google Scholar] [CrossRef]
  3. Guo, F.; Wong, P.L. A Wide Range Measuring System for Thin Lubricating Film: From Nano to Micro Thickness. Tribol. Lett. 2004, 17, 521–531. [Google Scholar] [CrossRef]
  4. Guo, L.; Wong, P.L.; Guo, F.; Liu, H.C. Determination of thin hydrodynamic lubricating film thickness using dichromatic interferometry. Appl. Opt. 2014, 53, 6066. [Google Scholar] [CrossRef]
  5. Kapulainen, M.; Ronkainen, H.; Hokkanen, A.; Stuns, I.; Varjus, S.; Nyyssönen, S.; Turunen, R.; Halme, J. Fibre Optic Sensors for Long-Term Monitoring of Oil Film Pressure in Diesel Engine Main Bearing. Tribol. Lett. 2014, 56, 47–54. [Google Scholar] [CrossRef]
  6. Maruyama, T.; Radzi, F.; Sato, T.; Iwase, S.; Maeda, M.; Nakano, K. Lubrication Condition Monitoring in EHD Line Contacts of Thrust Needle Roller Bearing Using the Electrical Impedance Method. Lubricants 2023, 11, 223. [Google Scholar] [CrossRef]
  7. Cen, H.; Bai, D.; Chao, Y.; Li, Y.; Li, R. EHL film thickness in rolling element bearings evaluated by electrical capacitance method: A review. Tribol. Mater. Surf. Interfaces 2021, 15, 55–77. [Google Scholar] [CrossRef]
  8. Schneider, V.; Bader, N.; Liu, H.; Poll, G. Method for in situ film thickness measurement of ball bearings under combined loading using capacitance measurements. Tribol. Int. 2022, 171, 107524. [Google Scholar] [CrossRef]
  9. Wen, B.; Ren, H.; Dang, P.; Hao, X.; Han, Q. Measurement and calculation of oil film thickness in a ball bearing. Ind. Lubr. Tribol. 2018, 70, 1500–1508. [Google Scholar] [CrossRef]
  10. Shang, F.; Zhang, H. Application and development of nonlinear ultrasonic testing technology. Tech. Acoust. 2022, 41, 846–853. [Google Scholar]
  11. Daemen, J.; Martens, A.; Kersemans, M.; Verboven, E.; Delrue, S.; Van Paepegem, W.; Van Den Abeele, K. Numerical Study of a Phased Array-Based Ultrasonic Polar Scan to Determine Plane-Wave Reflection Coefficients of Plates. IEEE Trans. Ultrason. Ferroelectr. Freq. Control 2019, 66, 1874–1886. [Google Scholar] [CrossRef] [PubMed]
  12. Wang, X.; Wang, J.; Huang, Z.; Li, X. Measurement Interface Stiffness of Bonded Structures Using Air-Coupled Ultrasonic Transmission Technology. IEEE Access 2021, 9, 43494–43503. [Google Scholar] [CrossRef]
  13. Beamish, S.; Reddyhoff, T.; Hunter, A.; Dwyer-Joyce, R.S. A method to determine acoustic properties of solids and its application to measuring oil film thickness in bearing shells of unknown composition. Measurement 2022, 195, 111176. [Google Scholar] [CrossRef]
  14. Adeyemi, G.J.; Dwyer-Joyce, R.S.; Stephen, J.T.; Adebayo, A. Ultrasonic technique for measurement of oil-film thickness in metal cold rolling. Tribol.—Mater. Surf. Interfaces 2022, 16, 177–186. [Google Scholar] [CrossRef]
  15. Shang, F.; Sun, B.; Zhang, H. Measurement of Air Layer Thickness under Multi-Angle Incidence Conditions Based on Ultrasonic Resonance Reflection Theory for Flange Fasteners. Appl. Sci. 2023, 13, 6057. [Google Scholar] [CrossRef]
  16. Wei, S.; Wang, J.; Cui, J.; Song, S.; Li, H.; Fu, J. Online monitoring of oil film thickness of journal bearing in aviation fuel gear pump. Measurement 2022, 204, 112050. [Google Scholar] [CrossRef]
  17. Wang, J.; He, Y.; Shu, K.; Zhang, C.; Yu, H.; Gu, L.; Wang, T.; Li, Z.; Wang, L. A sensitivity-improved amplitude method for determining film thickness based on the partial reflection waves. Tribol. Int. 2023, 189, 109010. [Google Scholar] [CrossRef]
  18. Dou, P.; Jia, Y.; Zheng, P.; Wu, T.; Yu, M.; Reddyhoff, T.; Peng, Z. Review of ultrasonic-based technology for oil film thickness measurement in lubrication. Tribol. Int. 2022, 165, 107290. [Google Scholar] [CrossRef]
  19. Li, Y.; Cai, Z.; Chen, L. Detection of Sloped Aluminum Plate Based on Electromagnetic Acoustic Resonance. IEEE Trans. Instrum. Meas. 2022, 71, 1–12. [Google Scholar] [CrossRef]
  20. Yu, H.; Tan, C.; Dong, F. Particle Size Characterization in Liquid–Solid Dispersion With Aggregates by Broadband Ultrasound Attenuation. IEEE Trans. Instrum. Meas. 2021, 70, 7501611. [Google Scholar] [CrossRef]
  21. Jia, Y.; Dou, P.; Zheng, P.; Wu, T.; Yang, P.; Yu, M.; Reddyhoff, T. High-accuracy ultrasonic method for in-situ monitoring of oil film thickness in a thrust bearing. Mech. Syst. Signal Pract. 2022, 180, 109453. [Google Scholar] [CrossRef]
  22. Wang, J.; He, Y.; Zhang, C.; Gu, L.; Li, P.; Zheng, D.; Wang, L.; Mao, Y. A unified model for large-scale thickness measurement of lubricating film based on ultrasonic lag phase slope. Ultrasonics 2023, 131, 106956. [Google Scholar] [CrossRef] [PubMed]
  23. Jingpin, J.; Qiang, Z.; Bin, W.; Cunfu, H. Measurement of lubricant film thickness using normal incidence ultrasound. In Proceedings of the 2008 IEEE Ultrasonics Symposium, Beijing, China, 2–5 November 2008; pp. 836–839. [Google Scholar] [CrossRef]
  24. Zhu, J.; Li, X.; Beamish, S.; Dwyer-Joyce, R.S. An ultrasonic method for measurement of oil films in reciprocating rubber O-ring seals. Tribol. Int. 2022, 167, 107407. [Google Scholar] [CrossRef]
  25. Jia, Y.; Wu, T.; Dou, P.; Yu, M. Temperature compensation strategy for ultrasonic-based measurement of oil film thickness. Wear 2021, 476, 203640. [Google Scholar] [CrossRef]
  26. Jin, Y.; Guo, Z.; Li, Z.; Han, C.; Liu, T.; Yang, G. Propagation characteristics of acoustic emission signals in solid-liquid-solid coupling interface. Measurement 2023, 213, 112686. [Google Scholar] [CrossRef]
  27. Dou, P.; Wu, T.; Luo, Z.; Yang, P.; Peng, Z.; Yu, M.; Reddyhoff, T. A finite-element-aided ultrasonic method for measuring central oil-film thickness in a roller-raceway tribo-pair. Friction 2022, 10, 944–962. [Google Scholar] [CrossRef]
  28. Wang, J.; He, Y.; Wu, J.; Shu, K.; Zhang, C.; Gu, L.; Yu, H.; Wang, T.; Li, Z.; Wang, L. Accuracy-improved ultrasonic phase algorithm for measuring lubricant film thickness. Int. J. Mech. Sci. 2024, 268, 109058. [Google Scholar] [CrossRef]
  29. Zhai, L.; Xu, B.; Xia, H.; Jin, N. Simultaneous measurement of velocity profile and liquid film thickness in horizontal gas–liquid slug flow by using ultrasonic Doppler method. Chin. J. Chem. Eng. 2023, 58, 323–340. [Google Scholar] [CrossRef]
  30. Shi, Y.; Qi, S.; Zhao, J.; Sun, J. Error analysis of ultrasonic method for measurement of oil film thickness. J. Harbin Eng. Univ. 2019, 40, 586–592. [Google Scholar] [CrossRef]
  31. Pawłowski, Z.; Wehr, J.; Filipczynski, L. Ultrasonic Methods of Testing Materials; Butterworths: London, UK, 1966. [Google Scholar]
  32. Yu, M.; Reddyhoff, T.; Dini, D.; Holmes, A.; O’Sullivan, C. Using Ultrasonic Reflection Resonance to Probe Stress Wave Velocity in Assemblies of Spherical Particles. IEEE Sens. J. 2021, 21, 22489–22498. [Google Scholar] [CrossRef]
  33. Cai, Y.; Fan, M.; Sun, P.; Xu, L.; Ma, J. Axial Super-Resolution Ultrasound Imaging with Quasi-Monopolar Pulses from a Dual-Frequency Transducer. IEEE Trans. Instrum. Meas. 2023, 72, 1–10. [Google Scholar] [CrossRef]
  34. Pialucha, T.; Cawley, P. The detection of thin embedded layers using normal incidence ultrasound. Ultrasonics 1994, 32, 431–440. [Google Scholar] [CrossRef]
  35. Dwyer-Joyce, R.S.; Drinkwater, B.W.; Donohoe, C.J. The measurement of lubricant–film thickness using ultrasound. Proc. R. Soc. Lond. Ser. A Math. Phys. Eng. Sci. 2003, 459, 957–976. [Google Scholar] [CrossRef]
  36. Kevin, K.; Tabor, D. An ultrasonic study of the area of contact between stationary and sliding surfaces. Proc. R. Soc. Lond. A Math. Phys. Sci. 1971, 323, 321–340. [Google Scholar] [CrossRef]
  37. Tattersall, H.G. The ultrasonic pulse-echo technique as applied to adhesion testing. J. Phys. D Appl. Phys. 1973, 6, 819–832. [Google Scholar] [CrossRef]
  38. Dou, P.; Wu, T.; Luo, Z. Wide Range Measurement of Lubricant Film Thickness Based on Ultrasonic Reflection Coefficient Phase Spectrum. J. Tribol. 2019, 141, 31702. [Google Scholar] [CrossRef]
  39. Yu, M.; Shen, L.; Mutasa, T.; Dou, P.; Wu, T.; Reddyhoff, T. Exact analytical solution to ultrasonic interfacial reflection enabling optimal oil film thickness measurement. Tribol. Int. 2020, 151, 106522. [Google Scholar] [CrossRef]
  40. Shang, F.; Sun, B.; Wang, S.; Han, Y.; Liu, W.; Kong, N.; Ba, Y.; Miao, F.; Liu, Z. Calibration of Oil Film Thickness Acoustic Reflection Coefficient of Bearing under Multiple Temperature Conditions. Lubricants 2024, 12, 125. [Google Scholar] [CrossRef]
  41. Courant, R.; Friedrichs, K.; Lewy, H. Über die partiellen Differenzengleichungen der mathematischen Physik. Math. Ann. 1928, 100, 32–74. [Google Scholar] [CrossRef]
  42. Shang, F.; Sun, B.; Cai, D. A comprehensive review of non-destructive methods for bearing lubricating oil film thickness measurement. Ind. Lubr. Tribol. 2024, 76, 441–451. [Google Scholar] [CrossRef]
  43. Mass, S.; Laukner, M. Ultrasonic Time Delay Difference Estimation with Analytic Signals and a Model System. IEEE Trans. Circuits Syst. II Express Briefs 2020, 67, 2234–2238. [Google Scholar] [CrossRef]
  44. Liu, E.; Liu, Y.; Wang, X.; Ma, H.; Chen, Y.; Sun, C.; Tan, J. Ultrasonic Measurement Method of Bolt Axial Stress Based on Time Difference Compensation of Coupling Layer Thickness Change. IEEE Trans. Instrum. Meas. 2021, 70, 1009212. [Google Scholar] [CrossRef]
  45. Reddyhoff, T.; Dwyer-Joyce, R.S.; Zhang, J.; Drinkwater, B.W. Auto-calibration of ultrasonic lubricant-film thickness measurements. Meas. Sci. Technol. 2008, 19, 45402. [Google Scholar] [CrossRef]
Disclaimer/Publisher’s Note: The statements, opinions and data contained in all publications are solely those of the individual author(s) and contributor(s) and not of MDPI and/or the editor(s). MDPI and/or the editor(s) disclaim responsibility for any injury to people or property resulting from any ideas, methods, instructions or products referred to in the content.

Article Metrics

Citations

Article Access Statistics

Multiple requests from the same IP address are counted as one view.