Optimization of the Electrophoretic Deposition Parameters and Mechanism of Formation of Ag-TiO2 Nanocoatings on a NiTi Shape Memory Alloy: Part I
Abstract
:1. Introduction
2. Materials and Methods
2.1. Substrate
2.2. Synthesis of Ag-TiO2 Nanocomposite
2.3. Preparation of Suspension, Electrophoretic Deposition, and Heat Treatment
2.4. Method of Testing
3. Results and Discussion
3.1. Optimization of Coating Deposition Parameters, Characterization of the Deposited Coatings, and Mechanism of Formation
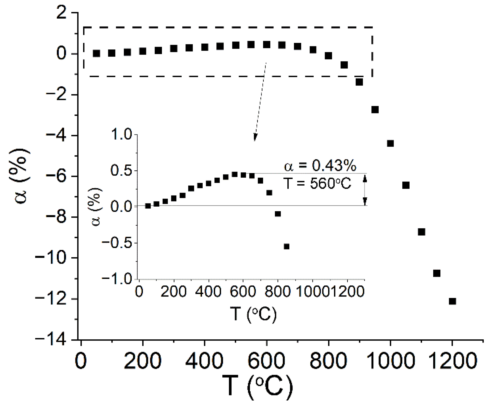
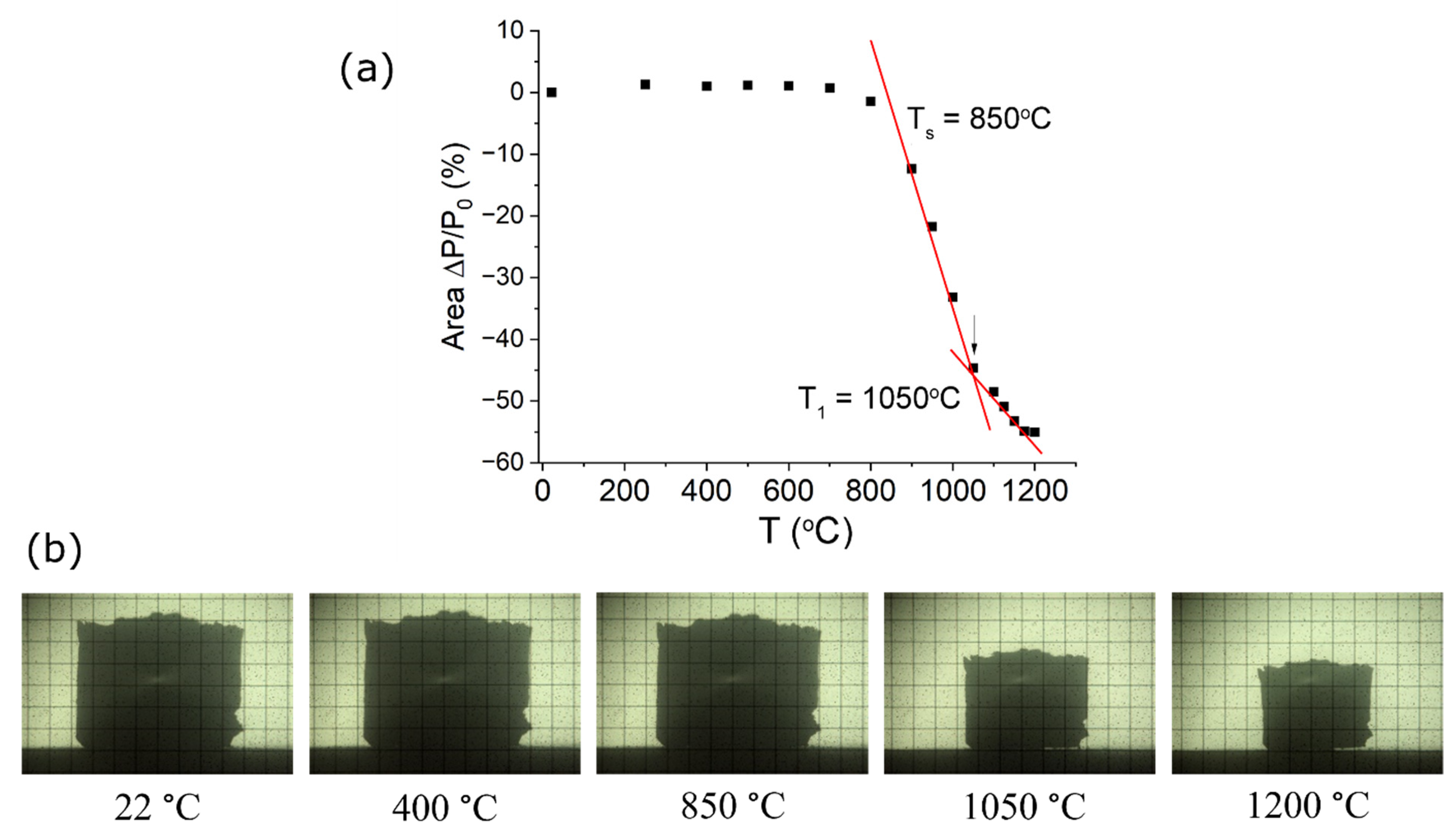
3.2. Determination of the Heat Treatment Temperature of Ag-TiO2 Coatings
3.3. Characterization of the Coatings after Heat Treatment, Phase Transitions, and Mechanism of Formation
4. Conclusions
Author Contributions
Funding
Institutional Review Board Statement
Informed Consent Statement
Data Availability Statement
Conflicts of Interest
References
- Lai, M.; Jin, Z.; Su, Z. Surface Modification of TiO2 Nanotubes with Osteogenic Growth Peptide to Enhance Osteoblast Differentiation. Mater. Sci. Eng. C Mater. Biol. Appl. 2017, 73, 490–497. [Google Scholar] [CrossRef] [PubMed]
- Santiago-Medina, P.; Sundaram, P.A.; Diffoot-Carlo, N. Titanium oxide: A bioactive factor in osteoblast differentiation. Int. J. Dent. 2015, 2015, 357653. [Google Scholar] [CrossRef] [PubMed]
- Jia, L.; Qiu, J.; Du, L.; Li, Z.; Liu, H.; Ge, S. TiO2 Nanorod Arrays as a Photocatalytic Coating Enhanced Antifungal and Antibacterial Efficiency of Ti Substrates. Nanomedicine 2017, 12, 761–776. [Google Scholar] [CrossRef]
- Liu, L.; Bhatia, R.; Webster, T.J. Atomic Layer Deposition of Nano-TiO2 Thin Films with Enhanced Biocompatibility and Antimicrobial Activity for Orthopedic Implants. Int. J. Nanomed. 2017, 12, 8711–8723. [Google Scholar] [CrossRef] [PubMed]
- Lorenzetti, M.; Dogša, I.; Stošicki, T.; Stopar, D.; Kalin, M.; Kobe, S.; Novak, S. The influence of surface modification on bacterial adhesion to titanium-based substrates. ACS Appl. Mater. Interfaces 2015, 7, 1644–1651. [Google Scholar] [CrossRef]
- Losic, D.; Aw, M.S.; Santos, A.; Gulati, K.; Bariana, M. Titania nanotube arrays for local drug delivery: Recent advances and perspectives. Expert Opin. Drug Deliv. 2015, 12, 103–127. [Google Scholar] [CrossRef]
- Gao, A.; Hang, R.Q.; Huang, X.B.; Zhao, L.Z.; Zhang, X.Y.; Wang, L.; Tang, B.; Ma, S.L.; Chu, P.K. The effects of titania nanotubes with embedded silver oxide nanoparticles on bacteria and osteoblasts. Biomaterials 2014, 35, 4223–4235. [Google Scholar] [CrossRef]
- Russell, A.D.; Hugo, W.B. 7 Antimicrobial Activity and Action of Silver. Prog. Med. Chem. 1994, 31, 351–370. [Google Scholar] [CrossRef]
- Petrini, L.; Migliavacca, F. Biomedical Applications of Shape Memory Alloys. J. Metall. 2011, 2011, 501483. [Google Scholar] [CrossRef]
- Yoneyama, T.; Miyazaki, S. (Eds.) Shape Memory Alloys for Biomedical Applications, 1st ed.; Woodhead Publishing: Cambridge, UK, 2008. [Google Scholar]
- Shabalovskaya, S.; Anderegg, J.; Van Humbeeckm, J. Critical overview of Nitinol surfaces and their modifications for medical applications. Acta Biomater. 2008, 4, 447–467. [Google Scholar] [CrossRef]
- Corni, I.; Ryan, M.P.; Boccaccini, A.R. Electrophoretic deposition: From traditional ceramics to nanotechnology. J. Eur. Ceram. Soc. 2008, 28, 1353–1367. [Google Scholar] [CrossRef]
- Boccaccini, R.; Keim, S.; Ma, R.; Li, Y.; Zhitomirsky, I. Electrophoretic deposition of biomaterials. J. R. Soc. Interface 2010, 7, S580–S613. [Google Scholar] [CrossRef] [PubMed]
- Ferrari, R.; Moreno, R. EPD kinetics: A review. J. Eur. Ceram. Soc. 2010, 30, 1069–1078. [Google Scholar] [CrossRef]
- Boccaccini, A.R.; Zhitomirsky, I. Application of Electrophoretic and Electrolytic Deposition Techniques in Ceramics Processing. Curr. Opin. Solid State Mater. Sci. 2002, 6, 251–260. [Google Scholar] [CrossRef]
- Dudek, K.; Dulski, M.; Łosiewicz, B. Functionalization of the NiTi Shape Memory Alloy Surface by HAp/SiO2/Ag Hybrid Coatings Formed on SiO2-TiO2 Glass Interlayer. Materials 2020, 13, 1648. [Google Scholar] [CrossRef]
- Antony, J. Full Factorial Designs. In Design of Experiments for Engineers and Scientists; Elsevier Ltd.: Amsterdam, The Netherlands, 2014. [Google Scholar] [CrossRef]
- Dudek, K.; Plawecki, M.; Dulski, M.; Kubacki, J. Multifunctional Layers Formation on the Surface of NiTi SMA during β-Tricalcium Phosphate Deposition. Mater. Lett. 2015, 157, 295–298. [Google Scholar] [CrossRef]
- Łosiewicz, B.; Popczyk, M.; Goryczka, T.; Lelątko, J.; Smołka, A.; Kowalski, P. Structure and Resistance to Electrochemical Corrosion of NiTi Alloy. Solid State Phenom. 2013, 203–204, 335–338. [Google Scholar] [CrossRef]
- Hollricher, O.; Ibach, W. High-Resolution Optical and Confocal Microscopy. Confocal Raman Microscopy; Springer: Berlin/Heidelberg, Germany, 2010; pp. 1–20. [Google Scholar] [CrossRef]
- Mazza, T.; Barborini, E.; Piseri, P.; Milani, P. Raman spectroscopy characterization of TiO2 rutile nanocrystals. Phys. Rev. B Condens. Matter Mater. Phys. 2007, 75, 045416. [Google Scholar] [CrossRef]
- Mali Sawanta, S.; Chirayath, A.B.; Bhosale Popatrao, N.; Patil Pramod, S. Hydrothermal synthesis of rutile TiO2 with hierarchical microspheres and their characterization. Cryst. Eng. Comm. 2011, 13, 6349–6351. [Google Scholar] [CrossRef]
- Porto, S.P.; Fleury, P.A.; Damen, T.C. Raman Spectra of TiO2, MgF2, ZnF2, FeF2, and MnF2. Phys. Rev. J. Arch. 1967, 154, 522–526. [Google Scholar] [CrossRef]
- Balachandran, U.; Eror, N.G. Raman spectra of titanium dioxide. J. Solid State Chem. 1982, 42, 276–282. [Google Scholar] [CrossRef]
- Zahornyi, M.M.; Tyschenko, N.I.; Lobunet, T.F.; Kolomys, O.F.; Strelchuk, V.V.; Naumenko, K.S.; Biliavska, L.O.; Zahorodnia, S.D.; Lavrynenko, O.M.; Ievtushenko, A.I. The Effect of Ag Content on the Structural, Optical, and Cytotoxicity Properties of TiO2 Nanopowders Grown from TiO(OH)2 Precursor by the Chemical Deposition Method. J. Nano- Electron. Phys. 2021, 13, 06009. [Google Scholar] [CrossRef]
- Tian, F.; Zhang, Y.; Zhang, J.; Pan, C. Raman Spectroscopy: A New Approach to Measure the Percentage of Anatase TiO2 Exposed (001) Facets. J. Phys. Chem. C 2012, 116, 7515–7519. [Google Scholar] [CrossRef]
- Ohsaka, T.; Izumi, F.; Fujiki, Y. Raman spectrum of anatase, TiO2. J. Raman Spectrosc. 1978, 7, 321–324. [Google Scholar] [CrossRef]
- Alcántara, R.; Navas, J.; Fernández-Lorenzo, C.; Martín, J.; Guillén, E.; Anta, J.A. Synthesis and Raman spectroscopy study of TiO2 nanoparticles. Phys. Status Solidi C 2011, 8, 1970–1973. [Google Scholar] [CrossRef]
- Martina, I.; Wiesinger, R.; Jembrih-Simbürger, D.; Schreiner, M. Micro-Raman Characterisation of Silver Corrosion Products: Instrumental Set Up and Reference Database. E-Preserv. Sci. 2012, 9, 1–8. [Google Scholar]
- Slager, T.L.; Lindgren, B.J.; Mallmann, A.J.; Greenler, R.G. Infrared spectra of the oxides and carbonates of silver. J. Phys. Chem. 1972, 76, 940–943. [Google Scholar] [CrossRef]
- Bao, X.; Muhler, M.; Pettinger, B.; Schlögl, R. On the nature of the active state of silver during catalytic oxidation of methanol. Catal. Lett. 1993, 22, 215–225. [Google Scholar] [CrossRef]
- Millar, G.J.; Metson, J.B.; Bowmaker, G.A.; Cooney, R.P. In situ Raman studies of the selective oxidation of methanol to formaldehyde and ethene to ethylene oxide on a polycrystalline silver catalyst. J. Chem. Soc. 1995, 91, 4149–4159. [Google Scholar] [CrossRef]
- Pettinger, B.; Bao, X.; Wilcock, I.C.; Muhler, M.; Ertl, G. Surface-enhanced Raman scattering from surface and subsurface oxygen species at microscopically well-defined Ag surfaces. Phys. Rev. Lett. 1994, 72, 1561–1564. [Google Scholar] [CrossRef]
- Bao, X.; Muhler, M.; Pettinger, B.; Uchida, Y.; Lehmpful, G.; Schlögl, R.; Ertl, G. The effect of water on the formation of strongly bound oxygen on silver surfaces. Catal. Lett. 1995, 32, 171–183. [Google Scholar] [CrossRef]
- Zhitomirsky, I. Cathodic electrodeposition of ceramic and organoceramic materials. Fundamental aspects. Adv. Colloid Interfac. 2002, 97, 279–317. [Google Scholar] [CrossRef] [PubMed]
- Goryczka, T.; Dudek, K.; Lelątko, J.; Wierzchoń, T. Martensitic transformation in NiTi alloy covered by protective multi-layers. Mater. Today Proc. 2015, 2, S779–S783. [Google Scholar] [CrossRef]
- Dudek, K.; Goryczka, T. Electrophoretic deposition and characterization of thin hydroxyapatite coatings formed on the surface of NiTi shape memory alloy. Ceram. Int. 2016, 42, 19133–19141. [Google Scholar] [CrossRef]
- Parker, J.C.; Siegel, R.W. Calibration of the Raman spectrum to the oxygen stoichiometry of nanophase TiO2. Appl. Phys. Lett. 1990, 57, 943–945. [Google Scholar] [CrossRef]
- Kernazhitsky, L.; Shymanovska, V.; Gavrilko, T.; Naumov, V.; Fedorenko, L.; Kshnyakin, V.; Baran, J. Laser-Excited Excitonic Luminescence of Nanocrystalline TiO2 Powder. Ukr. J. Phys. 2018, 59, 246. [Google Scholar] [CrossRef]
- Norby, P.; Dinnebier, R.; Fitch, A.N. Decomposition of Silver Carbonate- the Crystal Structure of Two High-Temperature Modifications of Ag2CO3. Inorg. Chem. 2002, 41, 3628–3637. [Google Scholar] [CrossRef]
- Waterhouse, G.I.N.; Bowmaker, G.A.; Metson, J.B. The thermal decomposition of silver (I, III) oxide: A combined XRD, FT-IR and Raman spectroscopic study. Phys. Chem. Chem. Phys. 2001, 3, 3838–3845. [Google Scholar] [CrossRef]
- Nakano, M.; Fujiwara, T.; Koga, N. Thermal Decomposition of Silver Acetate: Physico-Geometrical Kinetic Features and Formation of Silver Nanoparticles. J. Phys. Chem. C 2016, 120, 8841–8854. [Google Scholar] [CrossRef]
- Zhang, D.; Zhang, C.; Liu, J.; Chen, Q.; Zhu, X.; Liang, C. Carbon-Encapsulated Metal/Metal Carbide/Metal Oxide Core–Shell Nanostructures Generated by Laser Ablation of Metals in Organic Solvents. ACS Appl. Nano Mater. 2019, 2, 28–39. [Google Scholar] [CrossRef]
- Li, J.G.; Tsai, C.Y.; Kuo, S.W. Fabrication and Characterization of Inorganic Silver and Palladium Nanostructures within Hexagonal Cylindrical Channels of Mesoporous Carbon. Polymers 2014, 6, 1794–1809. [Google Scholar] [CrossRef]
- Murray, J.L.; Bhansali, K.J. The Ag-Ti (Silver-Titanium) System National. Bull. Alloy Phase Diagr. 1983, 4, 178–183. [Google Scholar] [CrossRef]
- Deng, Y.Q.; Sheng, G.M.; Xu, C. Evaluation of the microstructure and mechanical properties of diffusion bonded joints of titanium to stainless steel with a pure silver interlayer. Mater. Des. 2013, 46, 84–87. [Google Scholar] [CrossRef]
- Balasubramanian, M. Application of Box-Behnken design for fabrication of titanium alloy and 304 stainless steel joints with a silver interlayer by diffusion bonding. Mater. Des. 2015, 77, 161–169. [Google Scholar] [CrossRef]







| Time (min.) | Voltage (V) | ||||
|---|---|---|---|---|---|
| Basic level | 3 | 40 | |||
| Change interval | 2 | 10 | |||
| Higher level | 5 | 50 | |||
| Lower level | 1 | 30 | |||
| Symbol | X0 | X1 | X2 | X12 | Evaluation of the effectiveness of the selection of parameters (response function) Y, an average value |
| Experiment 1 | + | − | − | + | 4 |
| Experiment 2 | + | + | − | − | 3 |
| Experiment 3 | + | - | + | − | 3 |
| Experiment 4 | + | + | + | + | 1 |
| Regression coefficient | b0 | b1 | b2 | b12 | |
| 2.750 | −0.750 | −0.750 | −0.250 | ||
| Symbol | X1 | X2 | Evaluation of the Effectiveness of the Selection of Parameters (Response Function) Y, Average Value |
|---|---|---|---|
| Experiment 5 | 0.5 | 25 | 1 |
| Experiment 6 | 0.5 | 30 | 2 |
| Experiment 1 | 1.0 | 30 | 4 |
| Experiment 7 | 1.0 | 35 | 2 |
| Experiment 8 | 2.0 | 35 | 3 |
| Experiment 9 | 2.0 | 40 | 4 |
| Experiment 10 | 3.0 | 40 | 5 |
| Experiment 11 | 3.0 | 45 | 4 |
| Experiment 12 | 4.0 | 45 | 1 |
| Experiment 13 | 4.0 | 50 | - |
Disclaimer/Publisher’s Note: The statements, opinions and data contained in all publications are solely those of the individual author(s) and contributor(s) and not of MDPI and/or the editor(s). MDPI and/or the editor(s) disclaim responsibility for any injury to people or property resulting from any ideas, methods, instructions or products referred to in the content. |
© 2023 by the authors. Licensee MDPI, Basel, Switzerland. This article is an open access article distributed under the terms and conditions of the Creative Commons Attribution (CC BY) license (https://creativecommons.org/licenses/by/4.0/).
Share and Cite
Dudek, K.; Dulski, M.; Podwórny, J.; Kujawa, M.; Rawicka, P. Optimization of the Electrophoretic Deposition Parameters and Mechanism of Formation of Ag-TiO2 Nanocoatings on a NiTi Shape Memory Alloy: Part I. Coatings 2024, 14, 44. https://doi.org/10.3390/coatings14010044
Dudek K, Dulski M, Podwórny J, Kujawa M, Rawicka P. Optimization of the Electrophoretic Deposition Parameters and Mechanism of Formation of Ag-TiO2 Nanocoatings on a NiTi Shape Memory Alloy: Part I. Coatings. 2024; 14(1):44. https://doi.org/10.3390/coatings14010044
Chicago/Turabian StyleDudek, Karolina, Mateusz Dulski, Jacek Podwórny, Magdalena Kujawa, and Patrycja Rawicka. 2024. "Optimization of the Electrophoretic Deposition Parameters and Mechanism of Formation of Ag-TiO2 Nanocoatings on a NiTi Shape Memory Alloy: Part I" Coatings 14, no. 1: 44. https://doi.org/10.3390/coatings14010044
APA StyleDudek, K., Dulski, M., Podwórny, J., Kujawa, M., & Rawicka, P. (2024). Optimization of the Electrophoretic Deposition Parameters and Mechanism of Formation of Ag-TiO2 Nanocoatings on a NiTi Shape Memory Alloy: Part I. Coatings, 14(1), 44. https://doi.org/10.3390/coatings14010044

