Effect of WC Content on the Wear and Corrosion Properties of Oscillating Laser-Cladding-Produced Nickel-Based Coating
Abstract
:1. Introduction
2. Materials and Methods
3. Results and Discussion
3.1. Microstructure
3.2. Phase Composition
3.3. Microhardness
3.4. Wear Property
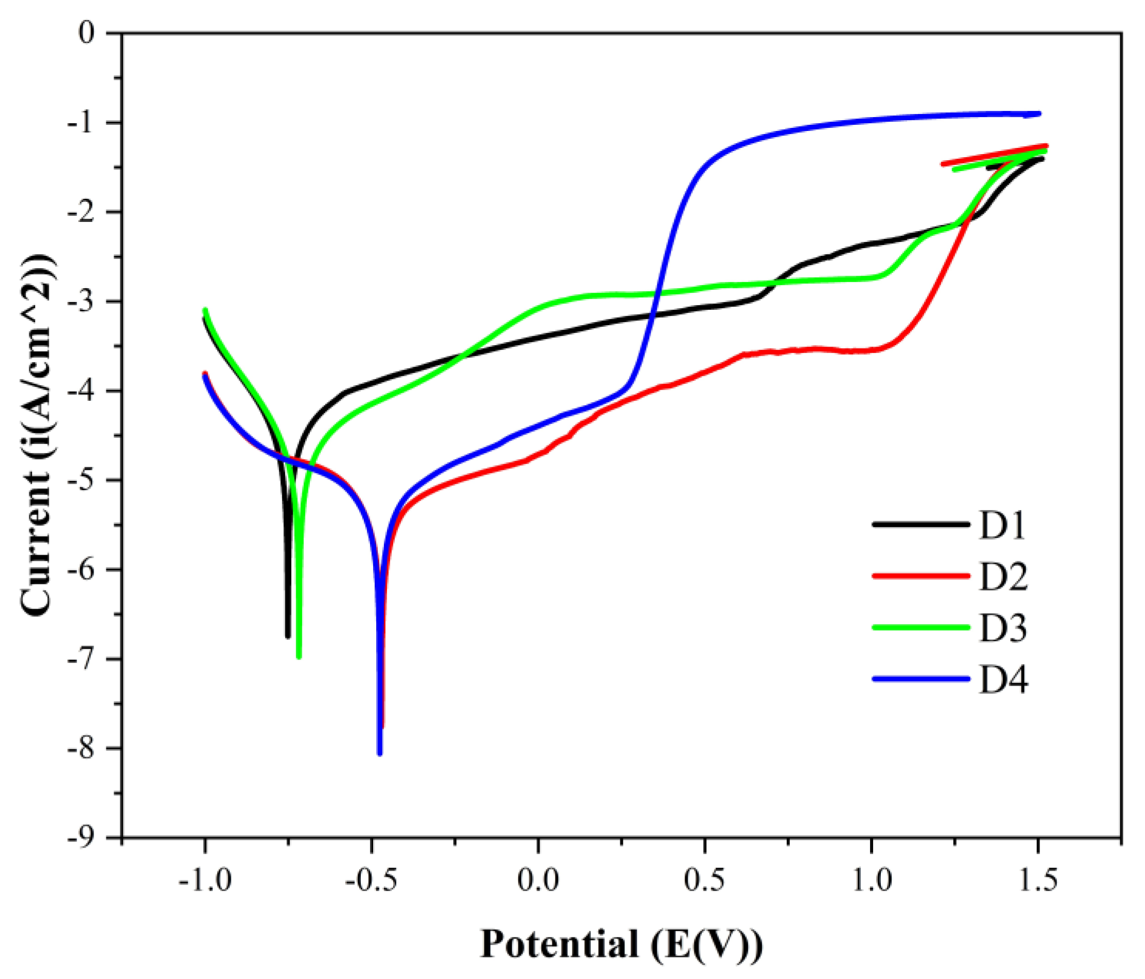
3.5. Electrochemical Property
4. Conclusions
- (1)
- The microstructure of the oscillating laser-cladded layer gradually transforms from the plane crystal and cellular crystal at the bottom to the columnar crystal and equiaxed crystal at the top. With an increase in WC content, the fine grains formed in the laser-cladded layer become more and more uniform.
- (2)
- With an increase in WC content, the hardness of a coating gradually increases. When the WC content reaches 40%, the average hardness can reach 474.8 HV.
- (3)
- The friction coefficient curve decreases with an increase in WC content. A 40 wt.% WC content, a coating exhibits the best wear resistance, and the main wear mechanisms are abrasive wear and oxidative wear.
- (4)
- When the WC content is 20%, the oscillating laser-cladded layer exhibits the best corrosion resistance in a 3.5 wt.% NaCl solution, with a polarization resistance 16% lower than that of the cladding layer with a WC content of 10%.
Author Contributions
Funding
Institutional Review Board Statement
Informed Consent Statement
Data Availability Statement
Conflicts of Interest
References
- Mandal, R.; Maity, T. Operational process parameters of underground coal gasification technique and its control. J. Process Control 2023, 129, 103031. [Google Scholar] [CrossRef]
- Zhou, H.; Zhang, Y.; Ma, H.; Lei, Y.; Yang, Z.; Zhao, H.; Gao, Y.; Zhu, K. Inhibition of the erosion-corrosion of elbow by synergistic action of swirling flow and inhibitor. Wear 2023, 514–515, 204570. [Google Scholar] [CrossRef]
- Zdravecká, E.; Slota, J.; Tkáčová, J. Erosive failure of steel pipeline by solid pulverized particles. Eng. Fail. Anal. 2014, 46, 18–25. [Google Scholar] [CrossRef]
- Li, Y.; Wang, K.; Fu, H.; Guo, X.; Lin, J. Microstructure and wear resistance of in-situ TiC reinforced AlCoCrFeNi-based coatings by laser cladding. Appl. Surf. Sci. 2022, 585, 152703. [Google Scholar] [CrossRef]
- Wang, K.; Liu, W.; Hong, Y.; Du, D.; Chang, B.; Tong, Y.; Hu, Y.; Ji, X.; Ju, J. Effect of solution cooling rates on microstructure and mechanical properties of K648 high chromium superalloy additive-manufactured by the extreme high-speed laser metal deposition. J. Mater. Res. Technol. 2023, 24, 8391–8400. [Google Scholar] [CrossRef]
- Jin, M.; He, D.; Shao, W.; Tan, Z.; Cao, Q.; Guo, X.; Zhou, Z.; Cui, L.; Zhou, L. The microstructure and high-temperature oxidation resistance of Si-rich Mo-Si-B coatings prepared by ultrasonic vibration assisted laser cladding. J. Alloys Compd. 2023, 953, 170175. [Google Scholar] [CrossRef]
- Chen, C.; Feng, A.; Wei, Y.; Wang, Y.; Pan, X.; Song, X. Effect of multiple laser shock peening on the microstructure and properties of laser cladding nano-WC/Ni60 composite coatings. Opt. Laser Technol. 2023, 167, 109719. [Google Scholar] [CrossRef]
- Zhu, Q.; Zhou, X.; Yang, F.; Ji, Y.; Kong, Y.; Bi, A.; Zhou, Z.; Wang, X.; Wang, R.; Zhang, Z.; et al. Microstructure formation, corrosion properties, and tribological properties of laser-cladded CrCoNi medium-entropy alloy coatings. Mater. Lett. 2023, 347, 134649. [Google Scholar] [CrossRef]
- Zhang, F.; Qiu, Y.; Hu, T.; Clare, A.T.; Li, Y.; Zhang, L. Microstructures and mechanical behavior of beta-type Ti-25V-15Cr-0.2Si titanium alloy coating by laser cladding. Mater. Sci. Eng. A 2020, 796, 140063. [Google Scholar] [CrossRef]
- Mostajeran, A.; Shoja-Razavi, R.; Hadi, M.; Erfanmanesh, M.; Barekat, M.; Savaghebi Firouzabadi, M. Evaluation of the mechanical properties of WC-FeAl composite coating fabricated by laser cladding method. Int. J. Refract. Met. Hard Mater. 2020, 88, 105199. [Google Scholar] [CrossRef]
- Ding, H.; Cao, Y.; Hua, K.; Tong, Y.; Li, N.; Sun, L.; Li, X.; Wu, H.; Wang, H. Fretting wear resistance at ambient and elevated temperatures of 316 stainless steel improved by laser cladding with Co-based alloy/WC/CaF2 composite coating. Opt. Laser Technol. 2023, 163, 109428. [Google Scholar] [CrossRef]
- Xu, Y.; Wang, G.; Song, Q.; Lu, X.; Li, Z.; Zhao, Q.; Chen, Y. Microstructure, mechanical properties, and corrosion resistance of SiC reinforced AlxCoCrFeNiTi1-x high-entropy alloy coatings prepared by laser cladding. Surf. Coat. Technol. 2022, 437, 128349. [Google Scholar] [CrossRef]
- Bai, J.; Bu, G. Progress in 4D printing technology. J. Adv. Manuf. Sci. Technol. 2022, 2, 2022001. [Google Scholar] [CrossRef]
- Soori, M.; Arezoo, B.; Dastres, R. Advanced virtual manufacturing systems: A review. J. Adv. Manuf. Sci. Technol. 2023, 3, 2023009. [Google Scholar] [CrossRef]
- Guo, N.; Gao, Y.; Gao, Y.; Gu, X.; Liu, X.; Zhang, S.; Fu, Y. Microstructure and properties of in-situ nickel-aluminum bronze coating by underwater wire-feed laser cladding. J. Mater. Res. Technol. 2023, 25, 6459–6471. [Google Scholar] [CrossRef]
- Hu, D.; Liu, Y.; Chen, H.; Wang, M. Microstructure and wear resistance of Ni-based tungsten carbide coating by laser cladding on tunnel boring machine cutter ring. Surf. Coat. Technol. 2020, 404, 126432. [Google Scholar] [CrossRef]
- Shi, X.; Wen, D.; Wang, S.; Wang, G.; Zhang, M.; Li, J.; Xue, C. Investigation on friction and wear performance of laser cladding Ni-based alloy coating on brake disc. Optik 2021, 242, 167227. [Google Scholar] [CrossRef]
- Li, X.; Zhang, C.H.; Zhang, S.; Wu, C.L.; Liu, Y.; Zhang, J.B.; Babar Shahzad, M. Manufacturing of Ti3SiC2 lubricated Co-based alloy coatings using laser cladding technology. Opt. Laser Technol. 2019, 114, 209–215. [Google Scholar] [CrossRef]
- He, B.; Liu, X.; Zhang, F.; Zhang, S.; Liu, Z.; Zhang, S. Tribological and oxidation behaviors of TiN reinforced Co matrix composite coatings on Inconel718 alloy by laser cladding. Tribol. Int. 2023, 188, 108781. [Google Scholar] [CrossRef]
- Rezaee Hajideh, M.; Farahani, M. Direct laser metal deposition cladding of IN718 on DIN 1.2714 tool steel reinforced by the SiC nanoparticles. J. Mater. Res. Technol. 2023, 23, 2020–2030. [Google Scholar] [CrossRef]
- Sun, X.; Ren, X.; Qiang, W.; Feng, Y.; Zhao, X.; Huang, B. Microstructure and properties of Inconel 718 matrix composite coatings reinforced with submicron TiC particles prepared by laser cladding. Appl. Surf. Sci. 2023, 637, 157920. [Google Scholar] [CrossRef]
- Shen, X.; Zhang, C.; Peng, H.; Liu, C.; Zhang, Y. Achieving high surface integrity of Fe-based laser cladding coating by optimized temperature field-assisted ultrasonic burnishing. J. Manuf. Process. 2022, 83, 270–280. [Google Scholar] [CrossRef]
- Zhu, Z.; Li, J.; Peng, Y.; Shen, G. In-situ synthesized novel eyeball-like Al2O3/TiC composite ceramics reinforced Fe-based alloy coating produced by laser cladding. Surf. Coat. Technol. 2020, 391, 125671. [Google Scholar] [CrossRef]
- Wu, S.; Liu, Z.; Gong, Y.; Liang, X.; Wu, Y.; Zhao, X. Analysis of the sequentially coupled thermal–mechanical and cladding geometry of a Ni60A-25 %WC laser cladding composite coating. Opt. Laser Technol. 2023, 167, 109595. [Google Scholar] [CrossRef]
- Wu, T.; Shi, W.; Xie, L.; Gong, M.; Huang, J.; Xie, Y.; He, K. Study on the effect of Ni60 transition coating on microstructure and mechanical properties of Fe/WC composite coating by laser cladding. Opt. Laser Technol. 2023, 163, 109387. [Google Scholar] [CrossRef]
- Liu, Y.; Gu, X.; Lou, C.; Kang, L.; Hou, Q.; Ma, C. Influence of WC ceramic particles on structures and properties of laser cladding Ni50-WC coatings. J. Mater. Res. Technol. 2023, 26, 14–21. [Google Scholar] [CrossRef]
- Shu, X.; Wu, Y.; Zheng, J.; Shou, B. Experimental study on the minimum design metal temperature of Q345R steel. J. Zhejiang Univ.-Sci. A 2018, 19, 491–504. [Google Scholar] [CrossRef]
- Deng, D.; Li, T.; Huang, Z.; Jiang, H.; Yang, S.; Zhang, Y. Multi-response optimization of laser cladding for TiC particle reinforced Fe matrix composite based on Taguchi method and grey relational analysis. Opt. Laser Technol. 2022, 153, 108259. [Google Scholar] [CrossRef]
- Shu, L.; Li, J.; Wu, H.; Heng, Z. Optimization of Multi-Track Laser-Cladding Process of Titanium Alloy Based on RSM and NSGA-II Algorithm. Coatings 2022, 12, 1301. [Google Scholar] [CrossRef]
- Fan, P.; Zhang, G. Study on process optimization of WC-Co50 cermet composite coating by laser cladding. Int. J. Refract. Met. Hard Mat. 2020, 87, 105133. [Google Scholar] [CrossRef]
- Huang, Y.; Hu, Y.; Zhang, M.; Mao, C.; Wang, K.; Tong, Y.; Zhang, J.; Li, K. Multi-Objective Optimization of Process Parameters in Laser Cladding CoCrCuFeNi High-Entropy Alloy Coating. J. Therm. Spray Technol. 2022, 31, 1985–2000. [Google Scholar] [CrossRef]
- Tang, B.; Tan, Y.; Zhang, Z.; Xu, T.; Sun, Z.; Li, X. Effects of Process Parameters on Geometrical Characteristics, Microstructure and Tribological Properties of TiB2 Reinforced Inconel 718 Alloy Composite Coatings by Laser Cladding. Coatings 2020, 10, 76. [Google Scholar] [CrossRef]
- Shi, B.; Mu, X.; Zhan, H.; Deng, L.; Li, T.; Zhang, H. Crack Behavior of Ni60A Coating Prepared by Laser Cladding on a Tilted Substrate. Coatings 2022, 12, 966. [Google Scholar] [CrossRef]
- Zuo-Jiang, S.; Yu, H.; Jiang, X.; Gao, W.; Sun, D. A thermal field FEM of titanium alloy coating on low-carbon steel by laser cladding with experimental validation. Surf. Coat. Technol. 2023, 452, 129113. [Google Scholar] [CrossRef]
- Dong, H.; Guo, P.; Han, Y.; Bai, R.; Yang, Z.; Zhang, S. Enhanced corrosion resistance of high speed laser-cladded Ni/316L alloy coating by heat treatment. J. Mater. Res. Technol. 2023, 24, 952–962. [Google Scholar] [CrossRef]
- Zhang, K.; Ju, H.; Xing, F.; Wang, W.; Li, Q.; Yu, X.; Liu, W. Microstructure and properties of composite coatings by laser cladding Inconel 625 and reinforced WC particles on non-magnetic steel. Opt. Laser Technol. 2023, 163, 109321. [Google Scholar] [CrossRef]
- Lv, G.; Yang, X.; Gao, Y.; Wang, S.; Xiao, J.; Zhang, Y.; Chen, K.; Yang, H. Investigation on fretting Wear performance of laser cladding WC/Co06 coating on 42CrMo steel for hydraulic damper. Int. J. Refract. Met. Hard Mater. 2023, 111, 106068. [Google Scholar] [CrossRef]
- Wang, J.; Zhou, J.; Zhang, T.; Meng, X.; Li, P.; Huang, S.; Zhu, H. Ultrasonic-Induced Grain Refinement in Laser Cladding Nickel-Based Superalloy Reinforced by WC Particles. Coatings 2023, 13, 151. [Google Scholar] [CrossRef]
- Li, T.; Long, H.; Qiu, C.; Wang, M.; Li, D.; Dong, Z.; Gui, Y. Multi-Objective Optimization of Process Parameters of 45 Steel Laser Cladding Ni60PTA Alloy Powder. Coatings 2022, 12, 939. [Google Scholar] [CrossRef]
- Nian, L.; Wang, M.; Ge, X.; Wang, X.; Xu, Y. Thermo-Mechanical Coupling Numerical Simulation for Extreme High-Speed Laser Cladding of Chrome-Iron Alloy. Coatings 2023, 13, 879. [Google Scholar] [CrossRef]
- Lv, J.; Zhou, J.; Zhang, T.; Meng, X.; Li, P.; Huang, S. Microstructure and Wear Properties of IN718/WC Composite Coating Fabricated by Ultrasonic Vibration-Assisted Laser Cladding. Coatings 2022, 12, 412. [Google Scholar] [CrossRef]
- Hu, Z.; Li, Y.; Lu, B.; Tan, N.; Cai, L.; Yong, Q. Effect of WC content on microstructure and properties of high-speed laser cladding Ni-based coating. Opt. Laser Technol. 2022, 155, 108449. [Google Scholar] [CrossRef]
- Gao, Y.; Chen, H.; Zhou, J.; Tian, W.; Nie, H.; Wang, W.; Liang, J. Microstructures and wear behaviors of WC particle reinforced nickel-based composites fabricated by selective laser melting. J. Manuf. Process. 2023, 95, 291–301. [Google Scholar] [CrossRef]
- Wang, W.; Cai, Z.; Li, S.; Wang, D.; Li, Y.; Luo, D.; Wu, D.; Fan, X.; Yamaguchi, T. Microstructure and wear resistance of in-situ synthesized stellate Mo2C reinforced WC/amorphous composite coatings by resistance seam welding (RSW). Tribol. Int. 2023, 186, 108599. [Google Scholar] [CrossRef]
- Wang, K.; Liu, W.; Hong, Y.; Sohan, H.M.S.; Tong, Y.; Hu, Y.; Zhang, M.; Zhang, J.; Xiang, D.; Fu, H.; et al. An Overview of Technological Parameter Optimization in the Case of Laser Cladding. Coatings 2023, 13, 496. [Google Scholar] [CrossRef]
- Du, L.M.; Lan, L.W.; Zhu, S.; Yang, H.J.; Shi, X.H.; Liaw, P.K.; Qiao, J.W. Effects of temperature on the tribological behavior of Al0.25CoCrFeNi high-entropy alloy. J. Mater. Sci. Technol. 2019, 35, 917–925. [Google Scholar] [CrossRef]
- Xue, J.; Guo, W.; Yang, J.; Xia, M.; Zhao, G.; Tan, C.; Wan, Z.; Chi, J.; Zhang, H. In-situ observation of microcrack initiation and damage nucleation modes on the HAZ of laser-welded DP1180 joint. J. Mater. Sci. Technol. 2023, 148, 138–149. [Google Scholar] [CrossRef]
- Sun, P.; Wang, D.; Song, W.; Tang, C.; Yang, J.; Xu, Z.; Hu, Q.; Zeng, X. Influence of W content on microstructure and corrosion behavior of laser cladded Inconel 718 coating. Surf. Coat. Technol. 2023, 452, 129079. [Google Scholar] [CrossRef]















| C | Si | Mn | P | S | Al | Fe |
|---|---|---|---|---|---|---|
| ≤0.20 | ≤0.55 | 1.20–1.60 | ≤0.025 | ≤0.010 | ≥0.020 | Bal. |
| Specimen | H/μm | h/μm | w/μm | η/% | σ |
|---|---|---|---|---|---|
| D-1 | 426 | 285.2 | 3283.4 | 40.1 | 7.708 |
| D-2 | 622.8 | 321.4 | 3254.5 | 34.1 | 5.225 |
| D-3 | 537.5 | 262.5 | 3170 | 32.8 | 5.898 |
| D-4 | 305 | 190 | 3040 | 38.3 | 9.967 |
| Specimen | ||
|---|---|---|
| D-1 | −0.753 | 5.671 |
| D-2 | −0.472 | 4.769 |
| D-3 | −0.718 | 5.600 |
| D-4 | −0.478 | 4.971 |
| Our Experiment | Liu et al. Experiment [26] | ||
|---|---|---|---|
| Sample | Value | Sample | Value |
| 10 WC/Ni | 5.671 × 10−6 | Ni 10 WC/Ni 20 WC/Ni | 9.5 × 10−5 8.2 × 10−5 5.6 × 10−5 |
| 20 WC/Ni | 4.769 × 10−6 | ||
| 30 WC/Ni | 5.6 × 10−6 | ||
| 40 WC/Ni | 4.971 × 10−6 | ||
| Specimen | L | C | CPE | ||||
|---|---|---|---|---|---|---|---|
| ) | ) | (F) | ) | ) | n | ) | |
| D-1 | 0.6981 | 9.315 | 1007 | 0.6284 | |||
| D-2 | 0.6802 | 9.995 | 24.89 | 0.7352 | |||
| D-3 | 0.7030 | 8.586 | 141.4 | 0.5421 | |||
| D-4 | 0.6835 | 9.086 | 5364 | 0.8473 | |||
Disclaimer/Publisher’s Note: The statements, opinions and data contained in all publications are solely those of the individual author(s) and contributor(s) and not of MDPI and/or the editor(s). MDPI and/or the editor(s) disclaim responsibility for any injury to people or property resulting from any ideas, methods, instructions or products referred to in the content. |
© 2023 by the authors. Licensee MDPI, Basel, Switzerland. This article is an open access article distributed under the terms and conditions of the Creative Commons Attribution (CC BY) license (https://creativecommons.org/licenses/by/4.0/).
Share and Cite
Li, X.; Zhang, S.; Liu, W.; Pang, X.; Tong, Y.; Zhang, M.; Zhang, J.; Wang, K. Effect of WC Content on the Wear and Corrosion Properties of Oscillating Laser-Cladding-Produced Nickel-Based Coating. Coatings 2023, 13, 1614. https://doi.org/10.3390/coatings13091614
Li X, Zhang S, Liu W, Pang X, Tong Y, Zhang M, Zhang J, Wang K. Effect of WC Content on the Wear and Corrosion Properties of Oscillating Laser-Cladding-Produced Nickel-Based Coating. Coatings. 2023; 13(9):1614. https://doi.org/10.3390/coatings13091614
Chicago/Turabian StyleLi, Xuening, Songyan Zhang, Wei Liu, Xiaotong Pang, Yonggang Tong, Mingjun Zhang, Jian Zhang, and Kaiming Wang. 2023. "Effect of WC Content on the Wear and Corrosion Properties of Oscillating Laser-Cladding-Produced Nickel-Based Coating" Coatings 13, no. 9: 1614. https://doi.org/10.3390/coatings13091614
APA StyleLi, X., Zhang, S., Liu, W., Pang, X., Tong, Y., Zhang, M., Zhang, J., & Wang, K. (2023). Effect of WC Content on the Wear and Corrosion Properties of Oscillating Laser-Cladding-Produced Nickel-Based Coating. Coatings, 13(9), 1614. https://doi.org/10.3390/coatings13091614

