Kinetic Study of the Aging and Overaging of Alloy Pb0.058%Ca0.12%Sr1.09%Sn for Battery Grids
Abstract
:1. Introduction
2. Materials and Methods
2.1. Alloy Preparation
2.2. Hardness-Microhardness
2.3. Micrographic Observation Techniques
- (1)
- At room temperature, a chemical polishing was used for aging and overaging samples whose evolutions are so slow;
- (2)
- During the preparation of freshly quenched samples, we used an electrochemical polishing at low temperature to avoid transformations
2.3.1. The Chemical Polishing
2.3.2. The Electrochemical Polishing
3. Results
3.1. Study of Hardness
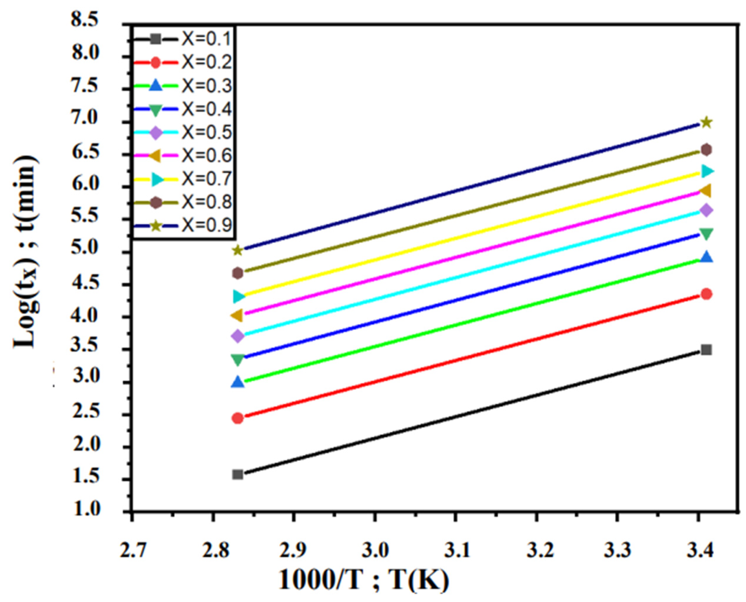
3.2. Kinetic Study of Aging Reaction
3.3. Kinetic Study of Overaging Reaction
4. Conclusions
Author Contributions
Funding
Institutional Review Board Statement
Informed Consent Statement
Data Availability Statement
Conflicts of Interest
References
- Kirchev, A.; Serra, L.; Dumenil, S.; Brichard, G.; Alias, M.; Jammet, B.; Vinit, L. Carbon honeycomb grids for advanced lead-acid batteries. Part III: Technology scale-up. J. Power Sources 2015, 299, 324–333. [Google Scholar] [CrossRef]
- Xiang, J.; Hu, C.; Chen, L.; Zhang, D.; Ding, P.; Chen, D.; Liu, H.; Chen, J.; Wu, X.; Lai, X. Enhanced performance of Zn(II)-doped lead-acid batteries with electrochemical active carbon in negative mass. J. Power Sources 2016, 328, 8–14. [Google Scholar] [CrossRef]
- White, C.; Deveau, J.; Swan, L.-G. Evolution of internal resistance during formation of flooded lead-acid batteries. J. Power Sources 2016, 327, 160–170. [Google Scholar] [CrossRef]
- Moseley, P.-T.; Rand, D.-A.-J.; Peters, K. Enhancing the performance of lead–acid batteries with carbon–In pursuit of an understanding. J. Power Sources 2015, 295, 268–274. [Google Scholar] [CrossRef]
- Yao, L.; Xi, Y.; Xi, G.; Feng, Y. Synthesis of cobalt ferrite with enhanced magnetostriction properties by the sol-gel-hydrothermal route using spent Li-ion battery. J. Alloys Comp. 2016, 680, 73–79. [Google Scholar] [CrossRef]
- Pino, M.; Herranz, D.; Chacón, J. Carbon treated commercial aluminum alloys as anodes for aluminum-air batteries in sodium chloride electrolyte. J. Power Sources 2016, 326, 296–302. [Google Scholar] [CrossRef]
- Hilali, E.; Bouirden, L.; Hilger, J.-P. Structural hardening of lead-cadmium alloys for battery’s grids. Ann. De Chim. Sci. Des Matériaux 1999, 24, 135–143. [Google Scholar] [CrossRef]
- Hilali, E.; Bouirden, L.; Hilger, J.-P. Structural hardening of lead-cadmium-tin alloys for battery’s grids. Ann. De Chim. Sci. Des Matériaux 2000, 25, 1–9. [Google Scholar] [CrossRef]
- Bouirden, L. Transformations Continues et Discontinues dans les Alliages de Plomb Microallies au Calcium et au Calcium Etain pour Batteries’ D’accumulateurs. Influence de la Vitesse de Refroidissement. Role des Impuretes Argent, Aluminium et Bismuth. Ph.D. Thesis, University of Nancy, Nancy, France, 1990. [Google Scholar]
- Bouirden, L.; Hilger, J.-P.; Hertz, J. Discontinuous and continuous hardening processes in calcium and calcium—Tin micro-alloyed lead: Influence of ‘secondary-lead’ impurities. J. Power Sources 1991, 33, 27–50. [Google Scholar] [CrossRef]
- Hilger, J.-P.; Bouirden, L. New representation of the hardening processes of lead alloys by transformation-time-temperature (TTT) diagrams. J. Alloys Compd. 1996, 236, 224–228. [Google Scholar] [CrossRef]
- Rossi, F.; Rossi, F.; Lambertin, M.; Delfaut-Durut, L.; Maitre, A.; Vilasi, M. Ageing and overageing of lead–calcium alloys. J. Microsc. 2009, 236 Pt 3, 219–235. [Google Scholar] [CrossRef] [PubMed]
- Furukawa, J.; Nehyo, Y.; Shiga, S. Development of new positive-grid alloy and its application to long-life batteries for automotive industry. J. Power Sources 2004, 133, 25–31. [Google Scholar] [CrossRef]
- Nabli, H.; Hilger, J.-P. Annales de Chimie. Sci. Des Matériaux 1996, 21, 33–47. [Google Scholar]
- Nabli, H. Study of the Mechanisms of Structural Hardening of Lead-Strontium and Lead-Cadmium-Strontium-tin Alloys for Battery Grids. Ph.D. Thesis, Ibn Zohr University, Agadir, Morocco, 1997. [Google Scholar]
- Guo, W.-X.; Shua, D.; Chena, H.-Y.; Li, A.-J.; Wang, H.; Xiao, G.-M.; Dou, C.-L.; Peng, S.-G.; Wei, W.-W.; Zhang, W.; et al. Study on the structure and property of lead tellurium alloy as the positive grid of lead-acid batteries. J. Alloy. Compd. 2009, 475, 102–109. [Google Scholar] [CrossRef]
- Aguizir, A.; Zantalla, E.; Ait Yassine, Y.; Kidari, R.; Ait Amar, M.; Selhaoui, N.; Bouirden, L. Mécanismes de durcissement structural des alliages plomb-Tellure. Ann. De Chim. Sci. Des Matériaux 2011, 36, 99–110. [Google Scholar] [CrossRef]
- Zantalla, E.; Ait Yassine, Y.; Aguizir, A.; Selhaoui, N.; Bouirden, L. Influence des additions mineures du strontium sur le durcissement structural des alliages plomb-calcium pour les grilles de batterie. Ann. De Chim. Sci. Des Matériaux 2009, 34, 297–311. [Google Scholar] [CrossRef]
- Zantalla, E.; Ait Yassine, Y.; Aguizir, A.; Kidari, R.; Selhaoui, N.; Bouirden, L. Influence des additions mineures de l’étain sur le durcissement structural des alliages plomb-calcium-strontium pour les grilles de batterie. Ann. De Chim. Sci. Des Matériaux 2011, 36, 177–192. [Google Scholar] [CrossRef]
- Yassine, Y.A.; Zantalla, E.; Azzaoui, K.; Jodeh, S.; Aguizir, A.; Saissi, S.; Lamhamdi, A.; Errich, A.; Hamed, O.; Saad, E.; et al. Eutectic Morphology in Alloy Pb–3.2% Cd–0.08% Sr for Battery Grids. Met. Sci. Heat Treat. 2018, 60, 407–410. [Google Scholar] [CrossRef]
- Ait Yassine, Y.; Zantalla, E.; Aguizir, A.; Selhaoui, N.; Bouirden, L. Mécanismes de durcissement structural des alliages plomb-cadmium-strontium pour les grilles de batterie. Ann. De Chim. Sci. Des Matériaux 2009, 34, 85–98. [Google Scholar] [CrossRef]
- Ait Yassine, Y.; Saissi, S.; Zantalla, E.; Aguizir, A.; Saad, E.; Ibnlfassi, A.; Zerrouk, L.; Selhaoui, N.; Bouirden, L. Mécanismes de durcissement structural des alliages plomb-cadmium-strontium-étain pour grilles de batterie. Metall. Res. Technol. 2017, 114, 1–9. [Google Scholar] [CrossRef]
- Marshall, D.; Chang, Y.-A. Constitution of the lead-tin-strontium system up to 36 atomic percent Sr. Metall. Trans. A 1984, 15, 43. [Google Scholar] [CrossRef]
- Cartigny, Y.; Fiorani, J.-M.; Maître, A.; Vilasi, M. Thermodynamic assessment of Ca-Pb system. Thermochim. Acta 2004, 414, 197–202. [Google Scholar] [CrossRef]
- Masalski, T.B. Binary Alloys Phase Diagrams, 2nd ed.; ASM International: Metals Park, OH, USA, 1990. [Google Scholar]
- Karakaya, I.; Thompson, W.-T. The PbSn system. Bull. Alloys Phase Diagr. 1987, 8, 326–334. [Google Scholar] [CrossRef]
- Schumacher, E.-E.; Bouton, G.-M. Age hardening lead-calcium alloys. Met. Alloys 1930, 1, 405–409. [Google Scholar]
- George, F.; Vander, V. American Society for Metals (ASM) ASM Handbook ume 09: Metallography and Microstructures, 8th ed.; ASM Materials Park: Novelty, OH, USA, 1973; pp. 415–423. [Google Scholar]
- Mao, G.-W.; Sc, B.; Larson, J.-G.; Rao, P. Recent results on lead-calcium alloys as grid materials for lead acid batteries. J. Electrochem. Soc. 1973, 120, 11–17. [Google Scholar] [CrossRef]
- Scharfenberger, W.; Borchers, H.; Henkel, S. Zum entmis chungsverhalten unverformter blei-kalzium legierungen bei raumtemperaturlagerung. Z. Fur Met. 1973, 64, 478–483. [Google Scholar]
- Borchers, H.; Scharfenberger, W.; Henkel, S. Uber die Beeinflussung des Ausscheidungsverhaltens von Blei-KalziumLegierungen durch Auslagertemperatur und Verformung. Z. Fur Met. 1975, 66, 111–118. [Google Scholar]
- Boulahrouf, A. Etude des Alliages de Plomb-Calcium Faiblement Allies en Calcium Destines à la Fabrication des Grilles D’accumulateurs de la Nouvelle Génération. Ph.D. Thesis, University of Nancy I, Nancy, France, 1989. [Google Scholar]
- Hilger, J.-P.; Boulahrouf, A. Observation of the first stages of discontinuous transformation in Pb-Ca alloys used for lead batteries. Mater. Charact. 1990, 24, 159–167. [Google Scholar] [CrossRef]
- Tsubakino, H.; Nozato, R.; Satoh, Y. Study on precipitation in a Pb−0.04%Ca alloy. Z. Fur Met. 1990, 81, 490–495. [Google Scholar]
- Tsubakino, H.; Nozato, R.; Yamamoto, A. Precipitation in Pb-Ca binary alloys. Z. Fur Met. 1993, 84, 29–32. [Google Scholar] [CrossRef]
- Tsubakino, H.; Yamamoto, A.; Nozato, R. High-resolution electron microscopy of lead and lead-calcium alloys. Mater. Charact. 1993, 30, 217–220. [Google Scholar] [CrossRef]
- Colmenero, J.C.; Akune, K. Precipitation in an as-cast Pb-0.04% Ca alloy. Mater. Charact. 1993, 30, 45–53. [Google Scholar] [CrossRef]
- Rossi, F. Etude et Comprehension des Mecanismes de Vieillissement des Alliages de Plomb-Calcium. Ph.D. Thesis, Arts et Metiers ParisTech, Paris, France, 2006. [Google Scholar]
- Rossi, F.; Lambertin, M.; Delfaut-Durut, L.; Maitre, A.; Vilasi, M. Influence of the cooling rate on the ageing of lead−calcium alloys. J. Power Source 2008, 188, 416–458. [Google Scholar] [CrossRef]
- Rossi, F.; Lambertin, M.; Delfaut-Durut, L.; Maitre, A.; Vilasi, M. Determination of new Time-Temperature-Transformation diagrams for lead-calcium alloys. J. Power Source 2018, 185, 1465–1470. [Google Scholar] [CrossRef]
- Taylor, L.; Robert, F.M. Metals Handbook, 8th ed.; American Society for Metals: Detroit, MI, USA, 1973; Volume 7, pp. 297–304. [Google Scholar]
- Burke, J. The Kinetics of Phase Transformations in Metals; Pergamon Press: Oxford, UK, 1965. [Google Scholar]
- Austin, J.-B.; Rickett, R.-L. Kinetics of the decomposition of austenite at constant temperature. Trans. AIME 1939, 135, 296–415. [Google Scholar]
- Robert, C.W.; David, R.L. Handbook of Chemistry and Physics, 70th ed.; CRC Press: Cleveland, OH, USA, 1989. [Google Scholar]
- Rand, D.-A.-J.; Boden, D.-P.; Lakshmi, C.-S.; Nelson, R.-F.; Prengaman, R.-D. Manufacturing and operational issues with lead-acid batteries. J. Power Sources 2002, 107, 280–300. [Google Scholar] [CrossRef]










| Temperature (°C) | n | K (s−1) |
|---|---|---|
| 20 °C | 0.73 | 4.29 × 10−7 |
| 80 °C | 0.80 | 2.71 × 10−5 |
| x | 0.1 | 0.2 | 0.3 | 0.4 | 0.5 | 0.6 | 0.7 | 0.8 | 0.9 |
| Q(kJ/mol) | 23.52 | 23.81 | 23.95 | 24.8 | 24.67 | 24.67 | 24.96 | 25.24 | 25.51 |
| Temperature (°C) | n | K (s−1) |
|---|---|---|
| 20 °C | 0.37 | 1.33 × 10−9 |
| 80 °C | 0.38 | 1.31 × 10−7 |
| x | 0.1 | 0.2 | 0.3 | 0.4 | 0.5 | 0.6 | 0.7 | 0.8 | 0.9 |
| Q (kJ/mol) | 28.11 | 27.97 | 28.12 | 28.40 | 28.40 | 28.11 | 28.12 | 27.83 | 28.54 |
Disclaimer/Publisher’s Note: The statements, opinions and data contained in all publications are solely those of the individual author(s) and contributor(s) and not of MDPI and/or the editor(s). MDPI and/or the editor(s) disclaim responsibility for any injury to people or property resulting from any ideas, methods, instructions or products referred to in the content. |
© 2023 by the authors. Licensee MDPI, Basel, Switzerland. This article is an open access article distributed under the terms and conditions of the Creative Commons Attribution (CC BY) license (https://creativecommons.org/licenses/by/4.0/).
Share and Cite
Ait Yassine, Y.; Lakhal, M.; Labchir, N.; Zantalla, E.; Saad, E.; Sannad, M. Kinetic Study of the Aging and Overaging of Alloy Pb0.058%Ca0.12%Sr1.09%Sn for Battery Grids. Coatings 2023, 13, 1534. https://doi.org/10.3390/coatings13091534
Ait Yassine Y, Lakhal M, Labchir N, Zantalla E, Saad E, Sannad M. Kinetic Study of the Aging and Overaging of Alloy Pb0.058%Ca0.12%Sr1.09%Sn for Battery Grids. Coatings. 2023; 13(9):1534. https://doi.org/10.3390/coatings13091534
Chicago/Turabian StyleAit Yassine, Youssef, Marwan Lakhal, Nabil Labchir, Elhassan Zantalla, Elmadani Saad, and Mohamed Sannad. 2023. "Kinetic Study of the Aging and Overaging of Alloy Pb0.058%Ca0.12%Sr1.09%Sn for Battery Grids" Coatings 13, no. 9: 1534. https://doi.org/10.3390/coatings13091534
APA StyleAit Yassine, Y., Lakhal, M., Labchir, N., Zantalla, E., Saad, E., & Sannad, M. (2023). Kinetic Study of the Aging and Overaging of Alloy Pb0.058%Ca0.12%Sr1.09%Sn for Battery Grids. Coatings, 13(9), 1534. https://doi.org/10.3390/coatings13091534

