Facile Preparation of Isocyanate-Modified Melamine Sponges as Efficient Absorbents for Oil and Organic Solvents
Abstract
:1. Introduction
2. Materials and Methods
2.1. Materials
2.2. Modification of MS
2.3. Measurement of Oil Absorption Capacity
2.4. Characterization
3. Results and Discussion
3.1. Preparation Procedure of Hydrophobic I-MS
3.2. FTIR Analysis
3.3. XPS Analysis
3.4. SEM
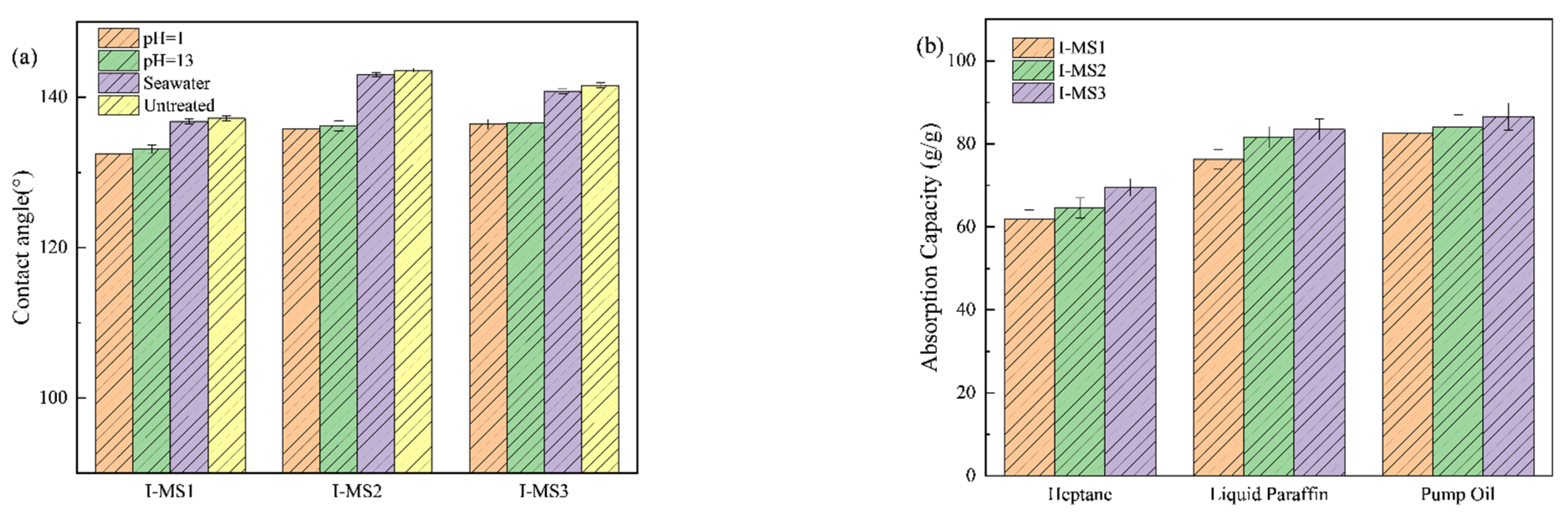
3.5. Wettability Analysis
3.6. Oil–Water Separation
3.7. Oil Absorption Performance
3.8. Recyclability and Stability
4. Conclusions
Author Contributions
Funding
Institutional Review Board Statement
Informed Consent Statement
Data Availability Statement
Conflicts of Interest
References
- Schrope, M. Oil spill: Deep wounds. Nature 2011, 472, 152–154. [Google Scholar] [CrossRef] [PubMed]
- Li, B.; Wu, L.; Li, L.; Seeger, S.; Zhang, J.; Wang, A. Superwetting double-layer polyester materials for effective removal of both insoluble oils and soluble dyes in water. ACS Appl. Mater. Interfaces 2014, 6, 11581–11588. [Google Scholar] [CrossRef] [PubMed]
- Jin, M.; Wang, J.; Yao, X.; Liao, M.; Zhao, Y.; Jiang, L. Underwater oil capture by a three-dimensional network architectured organosilane surface. Adv. Mater. 2011, 23, 2861–2864. [Google Scholar] [CrossRef] [PubMed]
- Shannon, M.A.; Bohn, P.W.; Elimelech, M.; Georgiadis, J.G.; Mariñas, B.J.; Mayes, A.M. Science and technology for water purification in the coming decades. Nature 2008, 452, 301–310. [Google Scholar] [CrossRef] [PubMed]
- Wang, J.; Zheng, Y. Oil/water mixtures and emulsions separation of stearic acid-functionalized sponge fabricated via a facile one-step coating method. Sep. Purif. Technol. 2017, 181, 183–191. [Google Scholar] [CrossRef]
- Xie, A.; Cui, J.; Yang, J.; Chen, Y.; Lang, J.; Li, C.; Yan, Y.; Dai, J. Photo-Fenton self-cleaning PVDF/NH2-MIL-88B(Fe) membranes towards highly-efficient oil/water emulsion separation. J. Membr. Sci. 2020, 595, 117499. [Google Scholar] [CrossRef]
- Dalton, T.; Jin, D. Extent and frequency of vessel oil spills in US marine protected areas. Mar. Pollut. Bull. 2010, 60, 1939–1945. [Google Scholar] [CrossRef]
- Wang, Q.; Wang, H.; Xiong, S.; Chen, R.; Wang, Y. Extremely Efficient and Recyclable Absorbents for Oily Pollutants Enabled by Ultrathin-Layered Functionalization. ACS Appl. Mater. Interfaces 2014, 6, 18816–18823. [Google Scholar] [CrossRef]
- Ge, J.; Zhao, H.Y.; Zhu, H.W.; Huang, J.; Shi, L.A.; Yu, S.H. Advanced Sorbents for Oil-Spill Cleanup: Recent Advances and Future Perspectives. Adv. Mater. 2016, 28, 10459–10490. [Google Scholar] [CrossRef]
- Chen, S.; He, G.; Hu, H.; Jin, S.; Zhou, Y.; He, Y.; He, S.; Zhao, F.; Hou, H. Elastic carbon foam via direct carbonization of polymer foam for flexible electrodes and organic chemical absorption. Energy Environ. Sci. 2013, 6, 2435–2439. [Google Scholar] [CrossRef]
- Xu, Z.; Miyazaki, K.; Hori, T. Dopamine-Induced Superhydrophobic Melamine Foam for Oil/Water Separation. Adv. Mater. Interfaces 2015, 2, 1500255. [Google Scholar] [CrossRef]
- Lei, Z.; Deng, Y.; Wang, C. Ambient-temperature fabrication of melamine-based sponges coated with hydrophobic lignin shells by surface dip adsorbing for oil/water separation. RSC Adv. 2016, 6, 106928–106934. [Google Scholar] [CrossRef]
- GB/T 30693-2014; Measurement of Water-Contact Angle of Plastic Films. Guangzhou City Quality Supervision and Testing Academy: Guangzhou, China, 2014.
- Xue, J.; Zhu, L.; Zhu, X.; Li, H.; Ma, C.; Yu, S.; Sun, D.; Xia, F.; Xue, Q. Tetradecylamine-MXene functionalized melamine sponge for effective oil/water separation and selective oil adsorption. Sep. Purif. Technol. 2020, 259, 118106. [Google Scholar] [CrossRef]
- Zhu, H.; Yang, S.; Chen, D.; Li, N.; Xu, Q.; Li, H.; He, J.; Lu, J. A Robust Absorbent Material Based on Light-Responsive Superhydrophobic Melamine Sponge for Oil Recovery. Adv. Mater. Interfaces 2016, 3, 1500683. [Google Scholar] [CrossRef]
- Yin, Z.; Li, Y.; Song, T.; Bao, M.; Li, Y.; Lu, J.; Li, Y. An environmentally benign approach to prepare superhydrophobic magnetic melamine sponge for effective oil/water separation. Sep. Purif. Technol. 2020, 236, 116308. [Google Scholar] [CrossRef]
- Merline, D.J.; Vukusic, S.; Abdala, A.A. Melamine formaldehyde: Curing studies and reaction mechanism. Polym. J. 2012, 45, 413–419. [Google Scholar] [CrossRef]
- Arkles, B.J.C. Tailoring Surfaces with Silanes. Chemtech 1977, 7, 766–778. [Google Scholar]
- Patil, Y.A.; Mehta, V.R.; Boraste, D.R.; Shankarling, G.S. Facile preparation of Cucurbit[6]uril modified melamine sponge for efficient oil spill cleanup. J. Environ. Chem. Eng. 2021, 9, 106603. [Google Scholar] [CrossRef]
- Zhu, J.; Hu, J.; Peng, T.; Jiang, C.; Liu, S.; Li, Y.; Guo, T.; Xie, L. Superhydrophobic Melamine–Formaldehyde Sponge Functionalized by Coupling Agent–Isocyanate Siloxane as Efficient Absorbents for Oil and Organic Solvents. Adv. Mater. Interfaces 2019, 6, 1900025. [Google Scholar] [CrossRef]
- Wan, Z.; Liu, Y.; Chen, S.; Song, K.; Yu, P.; Zhao, N.; Ouyang, X.; Wang, X. Facile fabrication of a highly durable and flexible MoS2@RTV sponge for efficient oil-water separation. Colloids Surf. A Physicochem. Eng. Asp. 2018, 546, 237–243. [Google Scholar] [CrossRef]
- Wang, C.F.; Lin, S.J. Robust superhydrophobic/superoleophilic sponge for effective continuous absorption and expulsion of oil pollutants from water. ACS Appl. Mater. Interfaces 2013, 5, 8861–8864. [Google Scholar] [CrossRef] [PubMed]
- Zhu, H.; Chen, D.; Li, N.; Xu, Q.; Li, H.; He, J.; Lu, J. Graphene Foam with Switchable Oil Wettability for Oil and Organic Solvents Recovery. Adv. Funct. Mater. 2015, 25, 597–605. [Google Scholar] [CrossRef]
- Bi, H.; Yin, Z.; Cao, X.; Xie, X.; Tan, C.; Huang, X.; Chen, B.; Chen, F.; Yang, Q.; Bu, X.; et al. Carbon fiber aerogel made from raw cotton: A novel, efficient and recyclable sorbent for oils and organic solvents. Adv. Mater. 2013, 25, 5916–5921. [Google Scholar] [CrossRef]
- Zhou, L.; Zhai, S.; Chen, Y.; Xu, Z. Anisotropic Cellulose Nanofibers/Polyvinyl Alcohol/Graphene Aerogels Fabricated by Directional Freeze-drying as Effective Oil Adsorbents. Polymers 2019, 11, 712. [Google Scholar] [CrossRef] [PubMed]
- Lu, Y.; Wang, H.; Lu, Y. An architectural exfoliated-graphene carbon aerogel with superhydrophobicity and efficient selectivity. Mater. Des. 2019, 184, 108134. [Google Scholar] [CrossRef]
- Chung, C.-H.; Liu, W.-C.; Hong, J.-L. Superhydrophobic Melamine Sponge Modified by Cross-Linked Urea Network as Recyclable Oil Absorbent Materials. Ind. Eng. Chem. Res. 2018, 57, 8449–8459. [Google Scholar] [CrossRef]
- Gao, H.; Sun, P.; Zhang, Y.; Zeng, X.; Wang, D.; Zhang, Y.; Wang, W.; Wu, J. A two-step hydrophobic fabrication of melamine sponge for oil absorption and oil/water separation. Surf. Coat. Technol. 2018, 339, 147–154. [Google Scholar] [CrossRef]
- Zhou, X.; Zhang, Z.; Xu, X.; Men, X.; Zhu, X. Facile Fabrication of Superhydrophobic Sponge with Selective Absorption and Collection of Oil from Water. Ind. Eng. Chem. Res. 2013, 52, 9411–9416. [Google Scholar] [CrossRef]











| Absorbent Materials | Solvent/Oil | Absorption Capacity (g/g) | Ref. |
|---|---|---|---|
| MoS2@RTV sponge | CHCl3/gasoline | 104/56 | [21] |
| CNT/PDMS-coated PU sponge | Diesel oil/motor oil | 25/23 | [22] |
| Graphene foam | Pump oil/toluene | 72/68 | [23] |
| Carbon fiber aerogel | CHCl3/olive oil | 115/85 | [24] |
| CNF/PVA/GO aerogel | DMF/pump oil | 96/60 | [25] |
| NC-GO@NFC | CHCl3/lubricant | 75/68 | [26] |
| SMS27K | CHCl3/toluene | 100/62 | [27] |
| SiO2@VTMS sponge | Diesel/n-hexane | 73/60 | [28] |
| I-MS3 | CCl4/CHCl3/pump oil | 143/133/86 | This work |
Disclaimer/Publisher’s Note: The statements, opinions and data contained in all publications are solely those of the individual author(s) and contributor(s) and not of MDPI and/or the editor(s). MDPI and/or the editor(s) disclaim responsibility for any injury to people or property resulting from any ideas, methods, instructions or products referred to in the content. |
© 2023 by the authors. Licensee MDPI, Basel, Switzerland. This article is an open access article distributed under the terms and conditions of the Creative Commons Attribution (CC BY) license (https://creativecommons.org/licenses/by/4.0/).
Share and Cite
Chen, M.; Xie, F.; Chen, Y. Facile Preparation of Isocyanate-Modified Melamine Sponges as Efficient Absorbents for Oil and Organic Solvents. Coatings 2023, 13, 1501. https://doi.org/10.3390/coatings13091501
Chen M, Xie F, Chen Y. Facile Preparation of Isocyanate-Modified Melamine Sponges as Efficient Absorbents for Oil and Organic Solvents. Coatings. 2023; 13(9):1501. https://doi.org/10.3390/coatings13091501
Chicago/Turabian StyleChen, Mingkang, Fatu Xie, and Yongping Chen. 2023. "Facile Preparation of Isocyanate-Modified Melamine Sponges as Efficient Absorbents for Oil and Organic Solvents" Coatings 13, no. 9: 1501. https://doi.org/10.3390/coatings13091501
APA StyleChen, M., Xie, F., & Chen, Y. (2023). Facile Preparation of Isocyanate-Modified Melamine Sponges as Efficient Absorbents for Oil and Organic Solvents. Coatings, 13(9), 1501. https://doi.org/10.3390/coatings13091501

