Abstract
Copper nitride (), a metastable poly-crystalline semiconductor material with reasonably high stability at room temperature, is receiving much attention as a very promising next-generation, earth-abundant, thin film solar light absorber. Its non-toxicity, on the other hand, makes it a very attractive eco-friendly (greener from an environmental standpoint) semiconducting material. In the present investigation, thin films were successfully grown by employing reactive radio-frequency magnetron sputtering at room temperature with an RF-power of 50 W, total working gas pressure of , and partial nitrogen pressures of and , respectively, onto glass substrates. We investigated how argon affected the optical properties of the thin films of CuN, with the aim of achieving a low-cost solar light absorber material with the essential characteristics that are needed to replace the more common silicon that is currently in present solar cells. Variable angle spectroscopic ellipsometry measurements were taken at three different angles, , , and , to determine the two ellipsometric parameters psi, , and delta, . The bulk planar layer was characterized by a one-dimensional graded index model together with the combination of a Tauc–Lorentz oscillator, while a Bruggeman effective medium approximation model with a air void was adopted in order to account for the existing surface roughness layer. In addition, the optical properties, such as the energy band gap, refractive index, extinction coefficient, and absorption coefficient, were all accurately found to highlight the true potential of this particular material as a solar light absorber within a photovoltaic device. The direct and indirect band gap energies were precisely computed, and it was found that they fell within the useful energy ranges of – eV and – eV, respectively. The atomic structure, morphology, and chemical composition of the CuN thin films were analyzed using X-ray diffraction, atomic force microscopy, and energy-dispersive X-ray spectroscopy, respectively. The CuN thin layer thickness, profile texture, and surface topography of the material were characterized using scanning electron microscopy.
1. Introduction
Transition metal nitride thin film materials such as copper nitride () exhibit very attractive and remarkable physical properties, such as electrical, optical, and energy-storage properties, which allow this particular material to be employed in many technological application fields [1,2]. Consequently, copper nitride has drawn a great deal of attention as a new eco-friendly (greener from an environmental standpoint) solar absorber material for use in flexible and lightweight thin film photovoltaic cells [3,4]. This earth-abundant, non-toxic, metastable semiconducting material’s band gap can potentially be easily adjusted depending on the manufacturing conditions and growth techniques and both the manufacturing conditions and deposition techniques. Among the fields of applications, the material can be included in the following: integrated circuits, photo-detectors, optoelectronics, and energy-conversion applications [5,6,7]. Emphasizing again the above-mentioned specific use of as a novel solar absorber thin-layer material for photovoltaic cell technology [8], its development has garnered notable interest, with the goal being to introduce it into novel designs within the next future generation of cost-effective solar cells. This recently-gained attention as a light absorber in solar cells is mainly based upon its above-mentioned clear non-toxicity and significant earth abundance, which result in it being an environmentally friendly material. Furthermore, the theoretically predicted band gap value for is approximately [9,10], but its experimentally obtained values for indirect and direct band gaps have been found to be within energy values ranging from to and from to , respectively [10,11]. These calculated values imply that the copper nitride semiconductor must be considered as a promising candidate for next-generation light absorbers, that is, it must be considered as a viable option to totally replace the more common silicon that is currently used in the solar cell sector.
Such a large range in the reported differences of the band gap energy could be explained as a possible difference in the stoichiometry of the Cu-N binary system and also due to the existence of oxygen impurities inside the crystal lattice. This particular material, on the other hand, interestingly possesses an extremely high absorption coefficient that is larger than above approximately [12], as will be accurately found in this work, which underlines once more its above-mentioned potential role as an solar light absorber for photovoltaic cell technologies.
In the present investigation, the complex index of refraction of the thin films was determined via variable angle spectroscopic ellipsometry (VASE) measurements [13], which were carried out at different angles of incidence to obtain the two ellipsometric parameters psi () and delta (). In order to find a remarkable fit with the measured values of and , it is of paramount importance to propose a valid optical model. In our particular case, a one-dimensional graded index model was used throughout the whole layer from bottom to top, which was combined with a mixture of one Tauc–Lorentz (TL) oscillator [14,15,16,17,18,19] and up to four Gaussian (Gau) oscillators; these were successfully chosen to account for the bulk copper-nitride layer. A Bruggeman effective medium approximation (BEMA) model [20] was selected in order to describe the existing surface roughness layer. As a result, the optical constants of the thin layers were accurately obtained in the measured UV/visible/NIR spectral range. Our constructed optical model for determining the optical functions of thin layers is similar to the optical model suggested by Yan et al. [21,22,23] for the particular case of cesium lead bromide () thin films, where the authors also adopted a similar combination of several TL and Gau oscillators and the front rough superficial layer was added to the model as well. More details will be provided later in the paper.
Finally, as a way of expressing the problem statement, it must be pointed out that there is generally very inconsistent and ambiguous information about the optical properties (especially regarding the refractive index) of copper nitride thin films, which is most likely caused by the existing differences in the particular synthesis technology that is employed in each particular case. All of the differences clearly represent an important disadvantage. Hence, it is particularly relevant and clarifying that the present spectro-ellipsometric study of the refractive index, n, extinction coefficient, k, and absorption coefficient in the UV/visible/NIR spectral range were carried out in this work, which is very scarce in the literature. This is the main novelty of the present work and the reason why it was undertaken.
2. Experimental Procedure: Materials and Methods
The growth of the thin films was performed by employing a commercial MVSystem LLC (Golden, CO, USA) single-chamber sputtering system, where the gun was radio frequency (RF) operated and was vertically movable. The transparent substrates that were employed were Corning glass 1737F (Corning Inc., Corning, NY, USA). The 3-inch diameter and 6-millimeter thick target of CuN was manufactured by Lesker Company (St. Leonards-on-Sea, UK), and it had a purity. The glass substrate, on the other hand, was cleaned using an ultrasonic bath with ethanol and deionized water for 10 min, and it was lastly immersed in isopropyl alcohol; by blowing nitrogen on the substrates, all of the utilized glass substrates were thoroughly dried. The reactive RF sputtering process chamber was pumped down to a base pressure of , and the environment’s total working gas pressure was set at during the deposition procedure; it was controlled by using a butterfly-type valve. The target-to-substrate distance was always adjusted to be conveniently selected at nearly . The RF power was set to , and the corresponding growth time was 60 and 90 min. Every thin film growth took place at ambient temperature. The complete set of the growth conditions of our specimens are listed in Table 1.
Table 1.
Deposition conditions for the growth of CuN using RF magnetron sputtering deposition.
It should be highlighted that the atomic structure, morphology, and chemical composition of the CuN thin films were analyzed using X-ray diffraction (XRD), atomic force microscopy (AFM), and energy-dispersive X-ray spectroscopy (EDX) techniques, respectively. The polycrystalline structure of the CuN samples were studied by using the corresponding XRD diffraction patterns and measured using a PANalytical power diffractometer, X’Pert MPD/MRD model, and radiation (Å). The scanned range was 10–, with a step size of . The topography of the CuN film surface was measured using a standard AFM microscope (Dimension Icon, Bruker, USA) in the peakForce tapping mode and Bruker SeanAsyst-Air probes (radius ). The surface roughness of the thin film samples was estimated by its root-mean-square value. Finally, the normal incidence optical transmission spectra were measured by employing a UV/visible/NIR, double-beam, Perkin-Elmer Lambda-1050 spectrophotometer and a single-beam VASE spectroscopic ellipsometer.
Lastly, the CuN thin-layer thickness, profile texture, and surface topography of the material were characterized via scanning electron microscopy (SEM). As a first step, the samples were mechanically cleaved in order to obtain SEM micrographs from the cross-section profiles along the growth direction, which allowed for the determination of the average thickness of each CuN layer. Afterwards, gold thin layers were deposited on all samples surfaces to avoid charging effects as a result of the electron beam’s contact with the sample. This was achieved by using a magnetron deposition process via plasma in a 208HR-Cressington Sputter Coater (Cressington Scientific Instruments, Watford, UK). It should also be added that the relevant experimental detail of the thickness of the very thin gold layer that was coated during the SEM analysis was just a few nanometers.
The spectro-ellipsometric spectra and were measured over the spectral range of 300– with steps of at room temperature by making use of a Woollam V-VASE spectroscopic ellipsometer. Together with a Berek computer-controlled, adjustable MgF waveplate retarder, it functions effectively as a rotating, analyzing, variable-angle spectroscopic ellipsometer (the so-called automatic retarder). It is used over a broad spectral range to properly add a beam path delay. This variable retarder allows for the convenient adjustment of the input polarization in order to provide a reflected beam, which is always close to the circular polarization; thus, the system will measure accurately over the whole angular range of 0–. Moreover, the autoretarder ellipsometer configuration allows for the measurement of the “%-depolarization”, which can be associated with thickness nonuniformities in the studied specimens. In these particular circumstances, this method allows for a better fitting of the two ellipsometric angles and . The Woollam WVASE program was used to analyze the experimental data rigorously [24].
3. Preliminary Structural and Morphological Characterizations
The XRD patterns of three as-deposited thin films are shown in Figure 1. The main diffraction peaks, identified as the , , and crystallographic planes, represent a polycrystalline film (card number 00-047-1088) in cubic, anti- structures (space group P, number 221, first reported by Juza and Hahn [25]). No evidence whatsoever for Cu phase and CuO formation was found in the present XRD diagrams. Moreover, the inset of Figure 1c displays the very prominent Raman peak at nearly , which is associated with the stretching of the Cu-N chemical bond [2].
Figure 1.
X-ray diffraction (XRD) patterns of the three copper nitride thin films, which were deposited onto glass substrates and specifically correspond to (a) specimen , (b) specimen , and (c) specimen . The 3D cubic structure of Cu3N is clearly illustrated as an inset in Figure 1b. This cubic structure of the unit cell contains six Cu atoms, and their fractional coordinates are the following: , , and . The fractional coordinate of the N atom is , which is in the center position of the present Cu molecules [26]. The first Brillouin zone of Cu3N, with the high-symmetry points , M , R , and X , are labeled and joined by red lines [27] and is shown as an inset in Figure 1c. Moreover, in subFigure 1c, the corresponding Raman spectrum of a representative thin film sample of CuN is presented, which was prepared at an RF power of and at a total gas pressure of .
As it was previously mentioned, the surface morphology of the thin film samples was carefully analyzed using AFM microscopy. Figure 2 displays the and bi-dimensional AFM micrographs of the three layers, with all of them being sputtered at a total gas pressure of . Table 2 indicates the values of the three considered surface roughness parameters Sq, Sa, and Sz, respectively, which were determined with the help of the software that was connected to this device and by using the 2D-AFM images displayed in Figure 2. It should be stressed that all of these calculations led to an estimated uncertainty of less than around . According to the three measured surface roughness parameters Sq, Sa, and Sz, the as-deposited thin-layer samples under study certainly did exhibit a relatively large surface roughness.
Figure 2.
The two-dimensional AFM images of the thin films: (a,d) sample #1360, (b,e) sample #1460, (c,f) sample #1490, respectively.
Table 2.
Surface roughness parameters determined from AFM and images of the copper nitride thin layer, which were grown by RF magnetron sputtering on glass substrates. Values of the root-mean-square height Sq, arithmetical mean height Sa, and maximum height Sz correspond to the two representative thin film samples.
It is reasonable, therefore, that the corresponding values obtained by the ellipsometric models for the BEMA surface roughness layer (see Table 3) are larger than those determined by the and AFM images. That is, taking into account the fact that the size of the light spot of the spectroscopic ellipsometer is very much larger than that of the previous AFM images, it is indeed likely to occur that would be larger than the three parameters , , and , respectively.
Table 3.
Deposition conditions of the layers. The values of best fit parameters were obtained by employing the VASE ellipsometer (J.A.Woollam Co.) and their corresponding experimental uncertainties.
Figure 3, on the other hand, shows cross-sectional-view SEM images of the as-grown thin layers; deposition occurred in a environment (Figure 3a) in the particular case of the sample and without Ar in the case of sample . The SEM-measured values of the film thickness clearly confirm the excellent accuracy of the layer thickness that was calculated by the UV/visible/NIR spectroscopic ellipsometry, as will be shown in detail below. The SEM images also corroborated that the film surfaces were not extremely rough and nonuniform and were mainly composed of typical columnar grains, which is typical of the present sputtering deposition technique [28]. Importantly, all of the results found by the SEM microscopy are certainly consistent with those found from the previous AFM microscopy analysis.
Figure 3.
High-magnification cross-sectional SEM images of the studied in (a) , (specimen ), and (b) pure (specimen ) environments, (c) thickness of sample #1360 at different position, (d) thickness of sample #1360 with a higher magnification, (e) the same increased magnification for sample #1360, and (f) the same increased magnification for sample #1490. In these last two cross-sectional images the range of measured thickness are given.
Furthermore, in order to register SEM images that reveal the CuN layer texture, micrometric trenches were made transversely to the surface. This was carried out using a -ion beam via a focused ions beam (FIB) module. SEM images were recorded using secondary electron detectors, 5 kV accelerating voltages, and working distances ranging from 6 to . Furthermore, the chemical composition of the films were found by using an electron dispersive X-ray spectroscopy module, which was attached to the electron microscope. EDX spectra were obtained by using electron probes accelerated at 30 kV voltages.
We performed the conventional FIB sample-preparation procedures before undertaking the EDX analysis. In our EDX study of the present thin film specimens (see the measured EDX maps displayed in Figure 4), oxygen and nitrogen, as light elements, were not detected with high sensitivity; however, it can be observed that the oxygen signal was indeed more intense near the glass-substrate region (the glass having both silica and alumina). The nitrogen signal, on the other hand, notably decreased near the –glass interface and contrarily increased in the bulk layer. However, it must be pointed out that an increase in oxygen content and decrease in nitrogen content near the surface of the film was not observed. Significantly, from the present EDX maps (Figure 4), it is not reasonable to speculate the existence of a very thin copper oxide layer at the surface of the thin film.
Figure 4.
(a) Cross-sectional energy-dispersive X-ray (EDX) spectroscopy elemental mapping by performing a scanning electron microscopy (SEM) of copper nitride thin films, which were grown by RF magnetron sputtering on transparent glass substrates at room temperature. We have previously performed the FIB sample preparation before taking the EDX measurements. (b) SEM micrograph for a planar view of the surface of sample #1360 and (c) sample #1460.
Finally, Figure 4b,c shows the SEM topography of the surfaces of two representative as-deposited CuN thin films. All of the images of the AFM and SEM microscopies have clearly demonstrated the consistency of the CuN thin layers, which have a desired film surface morphology.
4. WVASE® Model Ellipsometric Fitting
In order to determine the optical constants n and k of the thin films, a commercial software package (WVASE version 3.942, J.A.Woollam), was used to construct a suitable model in order to fit the ellipsometric data and . It is certainly well-known that an ideal thin film must be homogeneous and must have a perfect flat surface, which very infrequently happens in reality. The most often found cases are obviously non-ideal thin films, with surface roughness at the top, thickness non-uniformity, and an optical constant variation from the top, down to the bottom, and through the whole thin film thickness [24].
The two ellipsometric angles and are related to the ratio of the Fresnel reflection coefficients and for p- and s-polarized light, respectively, as expressed in Equation (1):
The ratio of the two values is measured using the VASE technique; as a consequence, the obtained values are very accurate and are reproducible [24]. For the present thin film sample under study (a thin film onto a thick transparent glass substrate), the Sellmeier dispersion function is employed in order to describe the optical properties of the transparent glass substrate. In the optical model for the thin film, such a film is divided into two equivalent parts.
One of them is a bulk planar layer, and its corresponding bulk thickness is denoted by . The other one is a surface roughness layer, which consists of a mixture of voids and bulk layer material; the thickness of the vertical surface roughness is denoted by . To clearly illustrate the proposed model, a schematic sketch of this model is shown in Figure 5. For the surface roughness layer, a Bruggeman effective medium approximation is commonly appropriate, whereby the medium consists of the mixture of of voids and material and where it is verified that . For the layer (with thickness ), the Tauc–Lorentz (TL) and Gaussian (Gau) oscillators were successfully adopted to accurately describe the complex dielectric function of the material [23,29]. The “TL” and “Gau” oscillator functions are provided by Equations (2)–(8), respectively [24]:
where:
and
Figure 5.
(a) Schematic diagram of the sample structure under study, consisting of a copper nitride thin film onto a transparent glass substrate, with the rear surface roughened. (b) Adopted model for the fitting carried out in the present ellipsometric analysis.
In Equations (2) and (3), the subscript “T-L” encompasses the fact that this particular dispersion model is based upon the Tauc joint density of states and Lorentz oscillator. The four fitting parameters are , , , and , respectively, and all of these parameters are expressed in eV. Here, stands for the Cauchy principal value of the two previous integrals.
The “Gau” oscillator function, on the other hand, is provided by the following expression:
where:
and
and, finally,
The three fitting parameters that are employed for the WVASE® fitting in this particular case are , where the corresponding unit is dimensionless; , where the unit is eV; and , where the unit is also eV.
Another ellipsometric model that will be employed in this analysis is the aforementioned BEMA model. This model makes the self-consistent choice of the host material complex dielectric function equal to the multi-component material’s ultimate effective complex dielectric function. The BEMA model requires the numerical solution of the following expression for two constituents A and B, respectively:
For the glass substrate, the expression for the dielectric function is the following:
It is the so-called pole or Sellmeir term, which corresponds to a Lorentz oscillator with zero broadening. Additionally, two gaussian oscillators will also be added in order to complete the accurate description of the Corning® transparent glass substrate used in the UV and IR frontiers.
It is worth pointing out that several studies have reported that the variation of the two optical constants n and k of a thin film along the normal direction to the film is most frequently due to the drifting of the deposition process parameters [28]. This fact suggests that the optical model with a one-dimensional graded index along the normal direction to the thin layer can reasonably be adopted in the present case. Graded layers work by introducing a series of homogeneous layers, whose optical constants slightly and gradually change in each of the successive layers.
Figure 5a displays a very detailed and realistic schematic of a thin film onto a bare transparent glass substrate. Figure 5b, on the other hand, is the suggested model to accurately fit the measured and parameters, where a BEMA model with 50% of air void is employed in order to provide an account for the effect of the existing rough surface; a one-dimensional graded index model throughout the whole film from bottom to top, combined with one T-L oscillator and up to four Gau oscillators, are employed in order to fully describe the three bulk flat layers under study. Finally, two zero-width oscillators and two additional Gau oscillators are chosen in order to accurately describe the Corning® glass transparent substrate employed in our RF magnetron sputtering depositions.
Next, we must first define a convenient statistical quantity that is called the maximum likelihood estimator. We will now elaborate a little bit more about this aspect by stating that the principle of maximum likelihood assumes that the population sample is a fair representation of the whole population and selects a correct estimator that maximizes the probability density function (in continuous cases) or probability mass function (in discrete cases). This particular choice represents the level of accuracy in correctly matching the data obtained from the constructed optical model to our experimentally measured data [30]. It must be mentioned that the parameters of the particular oscillators were all appropriately varied in the process. This maximum likelihood estimator must be necessarily positive and must go down to zero (or, at least, go down to an absolute minimum) when the model-generated data exactly matches the experimentally measured data. The present Woollam WVASE software employs the following mean-square error (MSE) estimator:
where N is the number of () ellipsometric angle pairs, M is the total number of free fitting parameters in the adopted optical model, and the introduced values of are the corresponding standard deviations associated with all of the collected and measured data points. Another very common estimator, the so-called chi-square, , is introduced in Equation (11) for the sake of illustration.
The measured and simulated values of and at the three selected angles of incidence of , , and , respectively, within the UV/Visible/NIR wavelength range from 300 up to , are depicted in Figure 6a–d. It can be clearly noticed that excellent fitting results were obtained for both ellipsometric parameters and . Through the optimization process carried out, it was found that the best fitting results were achieved with: (i) a graded index variation from bottom to top of approximately – and (ii) thicknesses of the bulk layer and surface roughness layer, and , of around 310 to and close to 20 to , respectively, with all of them being in close agreement with the estimated values from the independent SEM and AFM measurements (see Figure 2 and Figure 3). Lastly, the calculated parameters belonging to the best fit for each CuN sample and their experimentally measured values are all listed in Table 3. It has also been found that if either the adopted graded index model was not included or if all the oscillators were the fully chosen T-L oscillator, the associated fitting results were notably worsened, causing an incorrect derivation of the optical constants. Contrarily, if all of the oscillators adopted Gau oscillators, the resulting optical constants were only slightly affected in comparison with those presented in this work.
Figure 6.
(a,b) The measured and fitted values at the three angles of incidence of , , and in the wavelength range from up to . (c,d) The measured and fitted values at the same previous angles and in the same previous experimental spectral range. (e) Depolarization spectra of the two representative copper nitride thin films at the angle of incidence of . The curve fitted by employing the ellipsometric method is described in-depth in the text; it is also presented using a solid line. The depolarization has been modeled with and thickness non-uniformity in the cases of sample and , respectively.
Next, we show that a measurable depolarization effect has clearly been observed in all of the specimens. Depolarization arises when effects that deviate from ideality come into play in ellipsometric measurements. To begin with, it must be said that depolarization does occur if the reflected beam contains multiple polarization states. In the case of isotropic samples—as we assume in our case of the thin layers— depolarization D can be calculated from the values of the two ellipsometric angles, and , respectively, as follows:
The depolarization spectra of the samples were measured by also employing the Woollam VASE ellipsometer in the spectral range of 300–; some of these spectra are shown in Figure 6e. Evaluation of the depolarization spectra was also carried out using the WVASE software.
5. Results and Discussion
5.1. Complex Index of Refraction and Dielectric Function
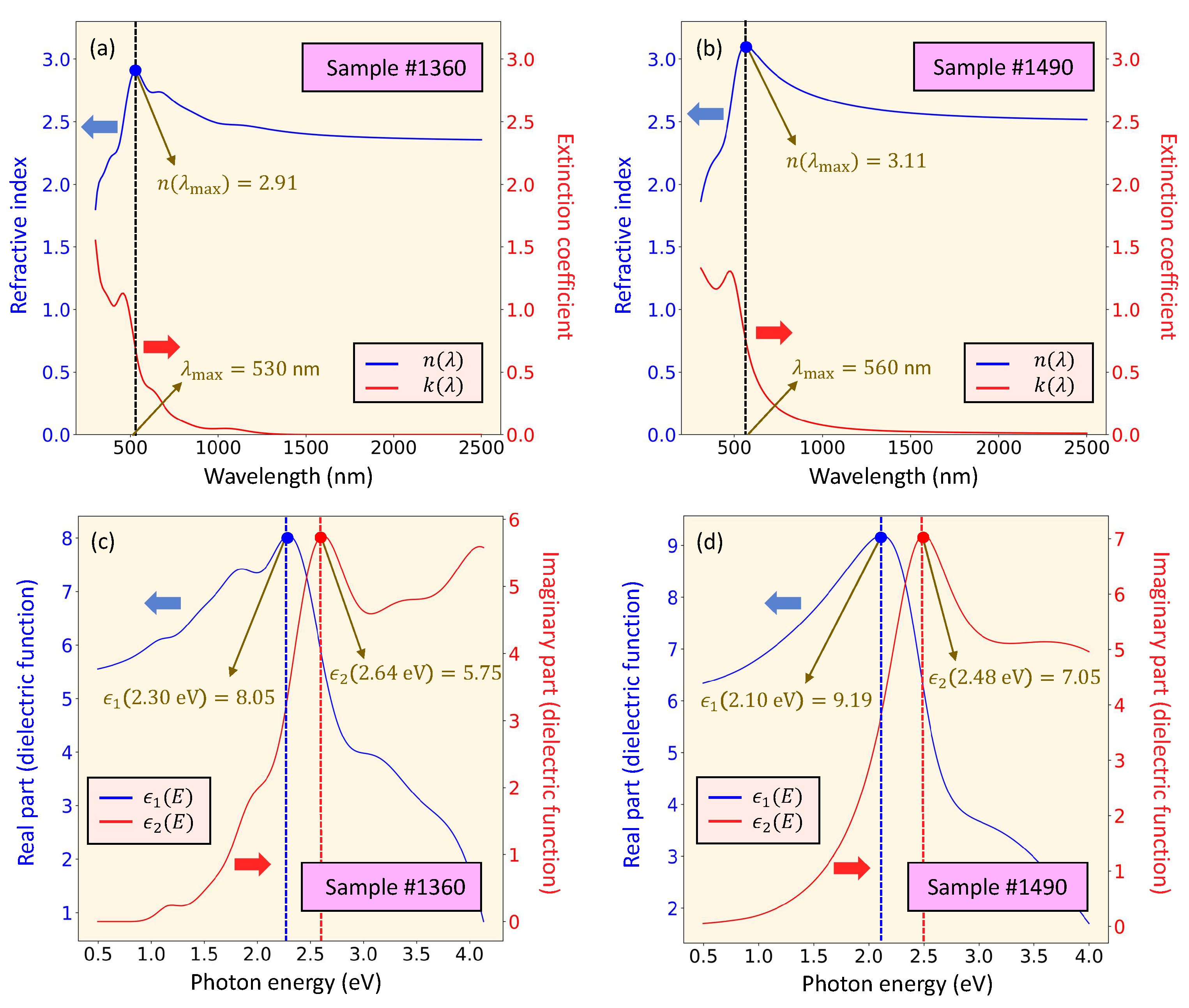
By using the previous best-fitting results, we can find the corresponding dispersive n and k values. They are displayed in Figure 7, and it must be emphasized that we extended our values of the complex refractive index up to the NIR wavelength of ; it represents an excellent opportunity to perform useful designs and simulations on high-efficiency solar cells. To additionally confirm the correctness of ellipsometrically calculated optical constants, the independent comparison of the measured and predicted values of the normal incidence transmission in the wavelength range under study is shown in Figure 7. We have calculated the normal incidence transmission exclusively based on the results found from the ellipsometric analysis. For this purpose, we have carefully tried to carry out all of the measurements on the very same spot of each thin film sample. The difference observed between the predicted and experimental values of transmittance were mainly due to the unavoidable differences in the positions on the sample and due to the experimental uncertainty of the transmission intensity measurements that were performed by the Woollam single-beam VASE ellipsometer. However, it can be observed that an outstanding agreement between the experimentally measured and calculated transmission spectra was reached in our samples; thus, it provides extra confidence upon the n and k that were exclusively determined from the VASE measurements in the spectral range from 300 up . Moreover, it is worth pointing out that the color of our semi-transparent thin films is reddish dark brown, or mahogany red (see the respective insets in Figure 8, which shows the visual appearance of the three specimens). The differences in color of the investigated samples are obviously a direct consequence of their measured transmission spectra, as shown in Figure 8.
Figure 7.
(a) Real part of the complex refractive index, n, and (b) imaginary part of the complex refractive index, k, of the thin layers. (c) The real, , and (d) imaginary , parts of the complex dielectric function.
Figure 8.
Experimentally measured optical transmission intensity data, acquired by using the varied angle spectroscopic ellipsometer and the computationally predicted values of transmittance in the studied spectral range: (a) sample #1360, (b) sample #1490, and (c) sample #1460.
Let us now discuss the optical dispersion, or chromatic dispersion, which is an important parameter for more deeply understanding the optical properties of quasi-transparent (weakly-absorbing) Cu3N films. Optical dispersion is the required parameter in order to quantify the change in the material’s refractive index with respect to the incident light wavelength . Typically, in non-absorbing materials, the real refractive index increases with incident light frequency; that is, in the normal dispersion regimen. In the opposite case, where , we are in the anomalous dispersion regimen; that is, increasing the light frequency results in a decrease in the real index of refraction. In our RF-sputtered samples, the values of the vacuum light wavelength where the transition takes place (the so-called refractive index threshold wavelength), i.e., where , are and for the two representative samples #1360 and #1490, respectively (see Figure 7a,b).
The real and imaginary parts of the complex dielectric function and , on the other hand, are obtained as a function of the refractive index n and extinction coefficient k, respectively, which are obtained from the fundamental expressions (based upon the basic relationship, ):
Concerning the obtained shape of the real and imaginary parts of the complex dielectric function upon the photon energy (see Figure 7c,d), as is typical for a semiconductor or insulator material, it certainly agrees well with the previously reported data [4]. However, in our particular specimens, the magnitude of the peaks of and of about and , respectively, is a multiplying factor of around and smaller than the values reported in [4], respectively (all of them being one order of magnitude thinner than our Cu3N films and with an optical gap of ). These results could be an effect that is strongly correlated with the values of the film thickness, which was much thicker in our presently prepared Cu3N layers.
5.2. Additional Calculation of the Indirect and Direct Tauc Gap and Urbach Energy
At this point in the paper, it must be stressed that each semiconductor material has both direct and indirect gaps; whichever is lower shall determine the specific nature of its energy band gap. It must be remembered that the band gap is a property that is basically associated with the lattice constant of the material; in fact, its band gap can readily be changed by varying the value of its lattice constant. This particular value can be changed by various ways, e.g., by applying pressure, by heating or cooling, or by mixing with another semiconductor material. Both the direct and indirect band gaps will be modified with the change of the lattice constant, but at different rates.
Regarding the calculation of the energy band gap of the investigated Cu3N thin layer material, it should be recalled that while investigating the electronic properties of a-Ge, Tauc et al. [31] proposed a nowadays well-established method for determining the band gap by using optical data that is plotted conveniently versus photon energy. The optical absorption strength depends upon the difference between the photon energy and the band gap, and it is expressed by the following relation:
where ℏ is the Dirac’s constant, is the absorption coefficient, is the band gap, and A is a proportionality constant (energy-independent), also called the band tailing parameter; A is actually a function of the refractive index of the material and its carrier effective mass. The value of the exponent denotes the actual nature of the corresponding electronic transition, whether it be allowed or forbidden and whether it be direct or indirect:
- (i)
- Direct and allowed transitions, ;
- (ii)
- Direct and forbidden transitions, ;
- (iii)
- Indirect and allowed transitions, ;
- (iv)
- Iindirect and forbidden transitions, .
Usually, the allowed transitions clearly dominate the basic optical absorption processes, giving either or for direct and indirect electronic transitions, respectively. Hence, the main procedure for a “Tauc analysis” is to accurately determine the optical absorption coefficient data that spans a photon energy range from below the band gap transition to above the transition. Thus, plotting against is a way of testing either or in order to compare which provides the better fit, thus identifying the correct electronic transition type. We will next experimentally find that the smaller value of the indirect band gap is, as expected, accompanied by the larger spectral range of agreement in the fit in its corresponding “Tauc-extrapolation plot”. It must be emphasized that the calculated value of the indirect band gap for our layers is well within the optimal band gap range for solar cell applications, which is approximately –.
The indirect band gap was obtained by plotting the versus curve and by extrapolating the full line to the abscissa of (see Figure 9). Similarly, the direct band gap was found by extrapolating the full line to the abscissa of in the versus curve (see again Figure 9). The direct and indirect band gap values for the two representative specimens #1360 and #1490 were found to be and , respectively, and and , respectively. The alternate calculation of the indirect and direct band gap by using UV/visible/NIR normal incidence transmission measurements gave rise to practically the same values as those shown in Figure 9. This is explained by the fact that the simulated transmission almost coincides with the experimentally measured transmission up to the value of transmission of about 0.20 (see Figure 8).
Figure 9.
versus plot for the determination of the indirect energy band gap and versus plot for the calculation of the direct energy band gap, presented for the samples (a) #1360 and (b) #1490, respectively.
It must now be mentioned that there is generally highly inconsistent and discrepant information about the optical properties of layers; those optical properties of have been the subject of strong controversy with respect to the bulk band gap values as well as the precise nature of its electronic transitions. The band gap values are found to widely vary between and , and the concrete nature of the band gap transition has paradoxically been reported to be both direct as well as indirect.
Going even more deeply into the optical properties of the thin films, it is well-known that the structural disorder in a material gives rise to a tailing of the density of states in the forbidden energy gap, the so-called Urbach tail, and that the width of the tail is the Urbach energy . In this way, a higher value of means a lower degree of structural order. The absorption coefficient is linked to the structural order parameter by the following expression [32,33,34,35,36]:
where is a constant; the structural parameter is therefore obtained from the linear fitting of the semilogarithmic graph of versus (see Figure 10, where the optical absorptionedge is shown). Specifically, the inverse of the slope provides the value of the parameter : The value is found to be in the particular case of specimen , in the particular case of specimen , and for specimen #1460 (see Table 3 and Figure 10). From these values of , it is inferred that in the first of the three CuN samples, with a different gaseous environment of , the degree of structural disorder is notably smaller than in the other two samples, with a gaseous environment of just N.
Figure 10.
A semilogarithmic plot of the absorption coefficient as a function of incident photon energy for copper nitride thin films grown on glass substrates. The exponential dependence is valid in the near band-edge region. The slope of the linear fit is used to calculate the Urbach-energy parameter, : (a) sample #1360, (b) sample #1490, and (c) sample #1460.
Moreover, these previous values of are indeed comparable to those reported by other authors in the case of thin films, which allows us to interpret this Urbach energy as the bandwidth of the electronic states located within the band gap width. That is, the Urbach tail is associated with the density of localized electronic states. In other words, the calculated value of is an excellent indicator of the level of structural defects existing in the atomic structure of the semiconducting material under study.
Concerning the electronic properties of our material under investigation, it ought to be indicated that the calculated energy band structure of shows that it is undoubtedly a semiconductor at ambient pressure [26]. Specifically, the Cu orbitals dominate the conduction bands at the R and M points of the first Brillouin zone (see all of the details shown in the inset of Figure 1c), and the valence band consist of a orbital of N atoms for the same symmetric points. From the partial density of states, strong hybridization has been observed between the N and Cu states, which is mainly related to both the N and Cu orbitals, respectively. The maximum valence band is at the R point of the first Brillouin zone, and the minimum conduction band is at the M point. It was finally concluded that the initial potential transition is the one between the highest occupied state at the R point and the lowest unoccupied state at the M point when all direct and indirect electron transitions were taken into account. This unambiguously shows that is an indirect band-gap semiconductor material, as has clearly been corroborated in our work.
6. Conclusions
- (i)
- In the present investigation, polycrystalline CuN thin films were deposited by making use of reactive RF magnetron sputtering at room temperature using a total pressure of , RF power of 50 W, and two different gaseous environments of and , respectively. The film thicknesses ranged between 330 and 610 nm. The XRD patterns showed that the thin films exhibited an anti- structure. In order to enrich the depth of the analysis of the semiconductor material, AFM, SEM (by using FIB sample preparation), and EDX measurements were systematically performed in all of the RF-sputtered thin layers. The results of the SEM and AFM microscopy demonstrated the film’s consistency with a desired surface morphology.
- (ii)
- The complex refractive index of the RF-sputtered thin films was accurately determined via VASE measurements at three angles of incidence: , , and . The constructed ellipsometric model consisted of a one-dimensional graded index plus a BEMA model with a air void in order to describe both the bulk layer and the rough surface. The experimentally measured normal incidence transmission spectrum and the predicted transmission spectrum based upon the obtained ellipsometric results showed reasonably good agreement in all cases. The calculated optical constants allowed us to design and simulate a potential photovoltaic electronic device. The absorption strength, on the other hand, reached a magnitude of from approximately , suggesting a very promising potential for solar cell-based applications. The lower Urbach energy value for the case of the sample #1360 with a gaseous environment of is associated with the presence of a much lower level of defects in its atomic structure compared with the samples of a gaseous environment of just N.
- (iii)
- Last but not the least, the investigated material with the corresponding values of in the energy range of 1.45–1.71 eV can unambiguously be considered as satisfactory for use as a solar light absorber material. The specific aspect of the solar cell technology that could certainly benefit the most from the use of the CuN thin film material would be that which is related to the photovoltaic electronic devices, as the material provides a flexible texture and is relatively inexpensive to manufacture.
In this sense, any practical applications of copper nitride shall be mainly conditioned by the size of its optical band gap. This binary compound will undoubtedly serve as a springboard for upcoming study fields that will have an influence on transition metal nitride material science. We will continue our research in the near future by using infrared spectroscopic ellipsometry analyses to examine down to the middle infrared spectral region.
Author Contributions
Conceptualization and mathodology: E.M., M.B. and M.G.-G.; software: M.C.P., M.B. and M.G.-G.; visualization: S.M.F. and M.I.R.-T.; Measurements: M.D.d.l.V., J.M.M. and E.B.; writing (original draft preparation): E.M.; reviewing and editing: E.M., M.B. and M.G.-G.; supervision: E.M.; funding acquisitions: E.M., S.M.F. and M.I.R.-T. All authors analyzed the results. All authors have read and agreed to the published version of the manuscript.
Funding
This research was funded by MCIN/AEI/10.13039/501100011033, grant number PID2019-109215RB-C42. M.A. Rodríguez-Tapiador acknowledges partial funding through MEDIDA C17.I2G: CIEMAT. Nuevas tecnologías renovables híbridas, Ministerio de Ciencia e Innovación, Componente 17 “Reforma Institucional y Fortalecimiento de las Capacidades del Sistema Nacional de Ciencia e Innovación”. Medidas del plan de inversiones y reformas para la recuperación económica funded by the European Union—NextGenerationEU. M.D.de la V. also acknowledges the financial support from the Spanish Ministerio de Ciencia e Innovación, under the project reference EQC 2018–004704-P FEDER 2014–2020.
Institutional Review Board Statement
Not applicable.
Informed Consent Statement
Not applicable.
Data Availability Statement
Not applicable.
Acknowledgments
J.M.M. would like to acknowledge the SC-ICYT of the University of Cádiz, and Dra. L. González-Souto for the received assistance.
Conflicts of Interest
The authors declare no conflict of interest.
References
- Figuera, C.A.; Del Rosario, G.; Pugliese, D.; Rodríguez-Tapiador, M.I.; Fernández, S. Effect of Argon on the Properties of Copper Nitride Fabricated by Magnetron Sputtering for the Next Generation of Solar Absorbers. Materials 2022, 15, 8973. [Google Scholar] [CrossRef]
- Rodríguez-Tapiador, M.I.; Merino, J.; Jawhari, T.; Muñoz-Rosas, A.L.; Bertomeu, J.; Fernández, S. Impact of the RF Power on the Copper Nitride Films Deposited in a Pure Nitrogen Environment for Applications as Eco-Friendly Solar Absorber. Materials 2023, 16, 1508. [Google Scholar] [CrossRef]
- Zakutayev, A. Design of nitride semiconductors for solar energy conversion. J. Mater. Chem. A 2016, 4, 6742. [Google Scholar] [CrossRef]
- Borsa, D.M.; Boerma, D.O. Growth, structural and optical properties of Cu3N films. Surf. Sci. 2004, 148, 95. [Google Scholar] [CrossRef]
- Jiang, A.; Qi, M.; Xiao, J. Preparation, structure, properties, and application of copper nitride (Cu3N) thin films: A review. J. Mater. Sci. Technol. 2018, 34, 1467–1473. [Google Scholar] [CrossRef]
- Bouazza, A. Deposition of Thin Films Materials used in Modern Photovoltaic Cells. Int. J. Thin Film. Sci. Technol. 2022, 11, 313. [Google Scholar]
- Paredes, P.; Rauwel, E.; Rauwel, P. Surveying the Synthesis, Optical Properties and Photocatalytic Activity of Cu3N Nanomaterials. Nanomaterials 2022, 12, 2218. [Google Scholar] [CrossRef]
- Tilemachou, A.; Zervos, M.Z.; Othonos, A.; Pavloudis, T.; Kioseoglou, J. p-Type Iodine-Doping of Cu3N and Its Conversion to γ-CuI for the Fabrication of γ-CuI/Cu3N p-n Heterojunctions. Electron. Mater. 2022, 3, 15–26. [Google Scholar] [CrossRef]
- Hahn, U.; Weber, W. Electronic structure and chemical-bonding mechanism of Cu3N, Cui3NPd, and related Cu(I) compounds. Phys. Rev. B 1996, 53, 12684. [Google Scholar] [CrossRef]
- Ghoohestani, M.; Karimipour, M.; Javdani, Z. The effect of pressure on the physical properties of Cu3N. Phys. Scr. 2014, 89, 035801. [Google Scholar] [CrossRef]
- Sahoo, G.; Meher, S.R.; Mahaveer, K.J. Room temperature growth of high crystalline quality Cu3N thin films by modified activated reactive evaporation. Mater. Sci. Eng. B 2015, 191, 7. [Google Scholar] [CrossRef]
- Matsuzaki, K.; Okazaki, T.; Lee, Y.S.; Hosono, H.; Susaki, T. Controlled bipolar doping in Cu3N (100) thin films. Appl. Phys. Lett. 2014, 105, 222102. [Google Scholar] [CrossRef]
- Márquez, E.; Blanco, E.; García-Vázquez, C.; Díaz, J.M.; Saugar, E. Spectroscopic ellipsometry study of non-hydrogenated fully amorphous silicon films deposited by room-temperature radio-frequency magnetron sputtering on glass: Influence of the argon pressure. J. Non-Cryst. Solids 2020, 547, 120305. [Google Scholar] [CrossRef]
- Márquez, E.; Díaz, J.; García-Vázquez, C.; Blanco, E.; Ruíz-Pérez, J.; Minkov, D.; Angelov, G.; Gavrilov, G. Optical characterization of amine-solution-processed amorphous AsS2 chalcogenide thin films by the use of transmission spectroscopy. J. Alloys Compd. 2017, 721, 363. [Google Scholar] [CrossRef]
- Blanco, E.; Domínguez, M.; González-Leal, J.; Márquez, E.; Outón, J.; Ramírez-del Solar, M. Insights into the annealing process of sol-gel TiO2 films leading to anatase development: The interrelationship between microstructure and optical properties. Appl. Surf. Sci. 2018, 439, 736. [Google Scholar] [CrossRef]
- Márquez, E.; Ruíz-Pérez, J.; Ballester, M.; Márquez, A.P.; Blanco, E.; Minkov, D.; Fernández, S.M.; Saugar, E. Optical characterization of H-free a-Si layers grown by rf-Magnetron sputtering by inverse synthesis using Matlab: Tauc-Lorentz-Urbach Parameterization. Coatings 2021, 11, 1324. [Google Scholar] [CrossRef]
- Ruíz-Pérez, J.J.; Márquez, E. Optical transmittance for strongly-wedge-shaped semiconductor films: Appearance of envelope-crossover points in amorphous as-based chalcogenide materials. Coatings 2020, 10, 1063. [Google Scholar] [CrossRef]
- Ballester, M.; García, M.; Márquez, A.P.; Blanco, E.; Minkov, D.; Fernández-Ruano, S.; Willomitzer, F.; Cossairt, O.; Márquez, E. Application of the holomorphic Tauc-Lorentz-Urbach functions to extract the optical constants of amorphous semiconductor thin films. Coatings 2022, 12, 1549. [Google Scholar] [CrossRef]
- Marquez, E.; Ballester, M.; Garcia, M.; Cintado, M.; Marquez, A.; Ruiz, J.; Fernández, S.; Blanco, E.; Willomitzer, F.; Katsaggelos, A. Complex dielectric function of H-free a-Si films: Photovoltaic light absorber. Mater. Lett. 2023, 345, 134485. [Google Scholar] [CrossRef]
- Márquez, E.; Saugar, E.; Díaz, J.; García-Vázquez, C.; Fernández-Ruano, S.; Blanco, E.; Ruíz-Pérez, J.; Minkov, D. The influence of Ar pressure on the structure and optical properties of non-hydrogenated a-Si thin films grown by rf magnetron sputtering onto room-temperature glass substrates. J. Non-Cryst. Solids 2019, 517, 32. [Google Scholar] [CrossRef]
- Wensheng, Y.; Liu, L.; Wangnan, L.; Zhengli, W.; Yue, Z.; Yu, W.; Ke, L.; Meihua, C.; Zhicheng, Z. Toward high efficiency for long-term stable Cesium doped hybrid perovskite solar cells via effective light management strategy. J. Power Sources 2021, 510, 230410. [Google Scholar]
- Wensheng, Y.; Lingyun, M.; Peiyang, Z.; Mertens, A.; Dottermush, S.; Hang, H.; Zhong, J.; Richrads, B.S. Determination of complex optical constants and photovoltaic device design of all-inorganic CsPbBr3 perovskite thin films. Opt. Express 2020, 28, 15706. [Google Scholar]
- Wensheng, Y.; Yi, G.; Deski, B.; Dottermush, S.; Haining, C.; Zhong, J.; Richrads, B.S. Experimental Determination of Complex Optical Constants of Air-Stable Inorganic CsPbI3 Perovskite Thin Films. Phys. Status Solidi 2020, 14, 2000070. [Google Scholar]
- J.A. Woollam Company, Inc. Guide to Using WVASE® Spectroscopic Ellipsometry Data Acquisition and Analysis Software; J.A. Woollam Company, Inc.: Lincoln, NE, USA, 2012. [Google Scholar]
- Juza, R.; Hahn, H.; Anorg, Z. Über die Kristallstrukturen von Cu3N, GaN und InN Metallamide und Metallnitride. Z. Anorg. Allg. Chem. 1938, 239, 282. [Google Scholar] [CrossRef]
- Mukhopadhyay, A.K.; Momin, M.A.; Roy, A.; Das, S.C.; Abhijit, M. Optical and Electronic Structural Properties of Cu3N Thin Films: A First-Principles Study (LDA + U). ACS Omega 2020, 5, 31918. [Google Scholar] [CrossRef] [PubMed]
- Ye Sheng, Y.; Inoue, H.; Hultqvist, A.; Hanifi, D.; Salleo, A.; Magyari-Köpe, B.; Nishi, Y.; Bent, S.F.; Clemens, B.M. Copper interstial recombination centers in Cu3N. Phys. Rev. B 2018, 97, 245201. [Google Scholar]
- Smith, D. Thin-Film Deposition: Principles and Practice; McGraw-Hill: New York, NY, USA, 1995. [Google Scholar]
- Jellison, G., Jr.; Modine, F. Parameterization of the optical functions of amorphous materials in the interband region. Appl. Phys. Lett. 1996, 69, 371. [Google Scholar] [CrossRef]
- Casella, G.; Berger, R. Statistical Inference; Duxbury-Thomson Learning Publisher: Pacific Grove, CA, USA, 2007. [Google Scholar]
- Tauc, J.; Grigorovici, R.; Vancu, A. Optical properties and electronic structure of amorphous germanium. Phys. Status Solidi (b) 1966, 15, 627. [Google Scholar] [CrossRef]
- Urbach, F. The Long-Wavelength Edge of Photographic Sensitivity and of the Electronic Absorption of Solids. Phys. Rev. 1953, 92, 1324. [Google Scholar] [CrossRef]
- Tauc, J. Amorphous and Liquid Semiconductors; Springer: Berlin/Heidelberg, Germany, 1974. [Google Scholar]
- Tanaka, K.; Shimakawa, K. Amorphous Chalcogenide Semiconductors and Related Materials; Springer: Berlin/Heidelberg, Germany, 2011. [Google Scholar]
- Cody, G. Urbach edge of crystalline and amorphous silicon: A personal review. J. Non-Cryst. Solids 1992, 141, 3–15. [Google Scholar] [CrossRef]
- Tanaka, K. Minimal Urbach energy in non-crystalline materials. J. Non-Cryst. Solids 2014, 389, 35. [Google Scholar] [CrossRef]
Disclaimer/Publisher’s Note: The statements, opinions and data contained in all publications are solely those of the individual author(s) and contributor(s) and not of MDPI and/or the editor(s). MDPI and/or the editor(s) disclaim responsibility for any injury to people or property resulting from any ideas, methods, instructions or products referred to in the content. |
© 2023 by the authors. Licensee MDPI, Basel, Switzerland. This article is an open access article distributed under the terms and conditions of the Creative Commons Attribution (CC BY) license (https://creativecommons.org/licenses/by/4.0/).









