Abstract
A series of biocide-containing polyethylene composites were obtained using novel guanidine-containing copolymers immobilized on an inert mineral carrier. Multispecies microbial communities were isolated from the surface of polyethylene samples either incubated or found in the environment, and their taxonomic composition was determined. Biofilms reconstructed using microorganisms obtained from different ecotopes were shown to intensively foul polyethylene surfaces. The presence of polyguanidine biocide suppressed the growth and survival of both binary and multispecies biofilms, with a cumulative effect during long-term incubation. When microorganisms were co-cultivated in binary biofilms, the phenomenon of a decrease in biocide effectiveness was demonstrated. This protective effect is potentially based on cooperative interactions inside the binary biofilm community. Scanning electron microscopy showed a pronounced difference in the architecture of reconstructed biofilms incubated in the presence of biocide in comparison to control samples, where biocide suppressed the formation of dense and well-organized three-dimensional structures. Biofilm disruption by immobilized biocides occurred primarily during the later stages of biofilm formation, probably caused by polycation interaction with their negatively charged extracellular components.
1. Introduction
Polyethylene (PE) is the most produced synthetic plastic, and it is widespread in various fields of industry and medicine. Plastics (including polyethylene) are widely used in devices or equipment using outdoors, in contact with soil or environmental waters. A quantity of industrial and household water tanks, pipes and plumbing elements, elements of children’s playgrounds and swimming pools are made of polyethylene. Although PE-based materials are highly resistant to microbial biocorrosion, they are susceptible to biofouling by multispecies microbial biofilms [1]. The formation of those biofilms might be an essential factor influencing the decomposition and overall damage sustained by those materials in both consumable products and packaging [2].
In addition, the formation of microbial biofilms on PE surfaces influences the state of ecosystems, as the microplastics can migrate over considerable distances (especially in hydro- and aerosphere) as a substrate for invasive species, including hazardous and pathogenic microorganisms, changing the cycle of biogenic elements and the composition of native microbiota [1].
Biofilm formation on PE surfaces has long attracted considerable attention both from the environmental (as a slowly biodegradable accumulative waste) and medical viewpoints. For medical applications of synthetic materials, contact with the human body (e.g., biofouling of catheters) has very harmful consequences, so preventing it is a primary challenge [3].
Unfortunately, the surface treatment of plastic products with anti-biofouling coatings is costly and none of the approaches used provide 100% protection against biofilm formation. Thus, a bulk composite approach for PE is more viable, with such materials being universally applicable (for pipeline manufacture, medical equipment, packing, hygienic finish materials for crowded areas, etc.) and since the rate of washing out of the protective component is much lower compared to surface treatment.
Various compounds are used to inhibit the growth of microorganisms. Polyhexamethyleneguanidine hydrochloride is a well-studied biocide against ESKAPE (Enterococcus faecium, Staphylococcus aureus, Klebsiella pneumoniae, Acinetobacter baumannii, Pseudomonas aeruginosa and Enterobacter species—group of pathogenic microorganisms most often show resistance to antibiotics and are the cause of most nosocomial infections) microorganisms [4] and is currently used in various applications, such as wound dressing impregnation [5], and polymeric guanidines may be used as a scaffold for synthesizing novel biocides with potentially different spectra of antimicrobial activity [6]. Previously, we profiled a series of such novel biocides against several model microorganisms (Pseudomonas aeruginosa PAO1, Yarrowia lipolytica 367-3, S. epidermidis 14990), both as plankton cultures and monospecies biofilms [7]. In addition, the biofilm formation of some microorganisms on PE surfaces was investigated. For PE-degrading microorganisms, the specifics of three-species biofilm formation from pure planktonic cultures were shown to be selectively inhibited by polyguanidine biocidal compounds added as a complex organomineral filler, without it affecting the initial stages of their adhesion, as well as the growth of planktonic cultures [8].
The question of how natural strains will behave when trying to reconstruct their biofilms on the surface of PE composites with biocidal polyguanidine additives had not yet been studied. This work was devoted to this problem; the effect of biocides included in polyethylene-based composites on the growth and survival of bacterial biofilms was studied for the first time.
In the present study, we investigated the effectiveness of polyguanidine biocides concerning the natural microorganism communities that form on the surface of macro- and microplastics. The problem of reconstructing natural biofilm strains and their interaction with biocides is rarely addressed. Our first task was to find and isolate species that naturally form biofilms on PE surfaces. Then, using a collection of strains considered capable of degrading PE, the effectiveness of biocides was tested against single-species biofilms. Finally, binary biofilms were reconstructed, and the results were compared.
2. Materials and Methods
Biofilms were grown on the surface of unfilled PE (designated PE-158) and a series of biocide-containing composite materials.
The industrial low-density PE used was grade 15803–020 (PJSC Kazanorgsintez, GOST 16337–77, Kazan, Russia) with a molecular mass of 3 × 105 Da, 30% crystallinity, and 20 short-chain branches per 1000 carbon atoms.
Composite materials (designated S.1–S.6, Table 1) were prepared based on PE-158 with the addition of montmorillonite (MMT) and several biocidal additives [8]. The MMT employed was Cloisite Na+ sodium montmorillonite (Southern Clay Products, Louisville, KY, USA), with a 95 meq/100 g clay cation exchange capacity, 10 μm mean size, and formula of (Na0.42Ca0.04)(Al1.55Fe0.23Mg0.22Ti0.01)(Si4O10)(OH)2·nH2O [9]. The biocidal additives consisted of guanidine-based copolymers (samples S.2, S.3, S.4), synthesized at the Topchiev Institute of Petrochemical Synthesis (TIPS RAS) and industrial poly-hexamethyleneguanidine hydrochloride (PHMG, samples S.5, S.6), purchased from Alterhim Pro Ltd. (Dzerzhinsk, Russia).
Table 1.
Sample composition. Total filler content was 5% by mass.
Initially, biocidal guanidine-based polymers were immobilized on montmorillonite (used as an inert carrier) by the method described in [6] to obtain organomineral complexes used as fillers for composite materials. Then, a MiniLab HAAKE Rheomex CTW5 (Thermo Electron GmbH, Karlsruhe, Germany) twin-screw extruder was used to mix the PE, organomineral fillers, and compatibilizers, followed by hot-pressing into 200–250 μm films at 180 °C and 5 MPa. The compatibilizer used for samples 1–5 was a 1.8% maleinated polyethylene “Metalen F-1018” (JSC Metaclay, Karachev, Russia), without further purification, and for sample 6, the compatibilizer used was an “Arquad 2HT-75” quaternary ammonium compound (Akzo Nobel, Stenungsund, Sweden), which was preliminarily purified by freeze-drying for 12 h to remove polar isopropanol (15%) and water (8%–10%), as their presence negatively impacts the properties of the target product. ATR-FTIR spectroscopy in the 4000–650 cm−1 range (Bruker IFS 66 v/s FTIR spectrometer, ZnSe crystal, 1 cm−1 resolution, Billerica, MA, USA), film transmission spectroscopy in the 4000–400 cm−1 range (same instrument), and wide-angle X-ray diffraction (Rigaku Rotaflex RU-200 diffractometer with Bragg–Brentano θ-2θ geometry and a rotating anode tube with CuKα radiation, Tokyo, Japan) were used for characterizing the organomineral fillers and composites, and mechanical tests were performed on a TIRAtest-2200 tensile testing machine (Testsystems Ltd., Ivanovo, Russia) at a strain rate of 20 mm/min.
2.1. Preparation of Test PE-158 and Composite Samples
Hot-pressed films of PE-158 (120–250 μm thick) were cut into strips (1 cm × 2 cm), placed on paper filters in Petri dishes, and sterilized under UV light for 15 min on each side in an Ufikon ultraviolet sterilizer with a SYLVANIA bactericidal lamp (Erlangen, Germany) generating radiation at 254 nm, at a power of 9 W. Sterile samples of the films prepared by hot pressing were stored at room temperature in Parafilm-sealed Petri dishes.
Composite samples were cut into 5 mm × 5 mm squares to simulate microplastics and then processed via the same procedure as blank PE-158.
2.2. Strains
The microorganisms used in this study were obtained from the collection of the Winogradsky Institute of Microbiology (Federal Research Centre “Fundamentals of Biotechnology” Moscow, Russian Academy of Sciences). These microorganisms were Kocuria rhizophila 4A-2G, P. aeruginosa PAO1, and Y. lipolytica 367-3 [12,13]. In addition, a range of microorganisms was isolated and identified during this work.
2.3. Cultivation
Pure cultures of the microorganisms were stored in semisolid lysogeny Broth (LB) medium (the Lennox formulation; Diaem, Russia) (5 mL) under paraffin oil. Prior to the experiments, the cultures were plated with an exhausting streak on LA medium (LB medium supplemented with 2.5% agar) and incubated for 48 h at 30 °C.
For some tests, M9 medium was used, with Na2HPO4∙12H2O, KH2PO4, Na2SO4, NH4Cl, MgSO4∙6H2O, and CaCl2 at rates of 15.0, 3.0, 0.6, 1.0, 0.48, and 0.01 g/L of distilled water, respectively, and a pH of 7.0–7.2.
2.4. Enrichment Cultures
Medium (50 mL) and several PE-158 samples were placed in a row of bottles. Two variants of media were used— LB medium diluted 50-fold with M9 medium (M9 + LB/50), and LB medium diluted 50-fold with M9 medium with 0.05% yeast extract (Difco) (M9 + LB/50 + 0.05% Yeast extract). Amphotericin B at a concentration of 50 µg/mL was used to inhibit fungal growth in the planktonic cultures. Each bottle was inoculated with one source of PE-fouling microorganisms (soil, water, pieces of plastic found in natural locations, compost, etc.; Table 2). Each medium + inoculum variant was cultured in stationary conditions (without shaking) and with shaking at 150 rpm. The temperature was 30 °C. In addition, the variants with phototrophs were placed in luminostat stationary conditions.
Table 2.
The most active communities forming biofilms on the surface of PE-158: inoculum sources and isolation media.
The enrichment cultures were subcultured every two or three weeks by transferring a piece of polyethylene into a new vial filled with a medium of the same composition and with new samples of sterile PE-158. At least 20 reseedings were performed for each variant. The biofilm growth on the PE surface was assessed visually.
After 10 reseedings, the best fouling variants of the PE samples were submitted for NGS sequencing to determine the microorganism composition on their surfaces in the BioSpark laboratory by the new generation sequencing (NGS) method. The composition of the microbial community was analyzed by the number of 16S rRNA genes and ITS copies. DNA was isolated from the compost samples using the commercial FastDNA SpinKit (MP Bio, Salt Lake City, UT, USA) according to the manufacturer’s instructions.
Libraries of the V4 region of the 16S rRNA gene for Illumina MiSeq high-throughput sequencing were prepared according to the protocol [14]. The following primer system was used to prepare the amplicons: forward (5′-CAAGCAGAAGACGGCATACGAGATGTGACTGGAGTTCAGACGTGTGCTCTTCCGATCT XXXXXX ZZZZ GTGBCAGCMGCCGCGGTAA-3′), containing, respectively, the 5′ Illumina Linker Sequence, Index 1, the Heterogeneity Spacer [15], and the 515F primer sequence [16]; and the reverse primer (5′-AATGATACGGCGACCACCGAGATCTACACTCTTTCCCTACACGACGCTCTTCCGATCT XXXXXX ZZZZ GACTACNVGGGTMTCTAATCC-3′), containing the 3′ Illumina Linker Sequence, Index 2, the Heterogeneity Space, and the Pro-mod-805R primer sequence [17], respectively.
The ITS libraries were prepared in a similar way using the primer system ITS86F (F) 5′-GTGAATCATCGAATCTTTGAA-3′ [17]–ITS4 (R) 5′-TCCTCCGCTTATTGATATGC-3′ [18] at the 3′ termini, upstream of the described oligonucleotide constructs. For each DNA sample, two libraries were prepared, which were sequenced in parallel using the MiSeq Reagent Micro Kit v2 (300-cycles) MS-103-1002 (Illumina, San Diego, CA, USA) on a MiSeq sequencer (Illumina, San Diego, CA, USA) according to the manufacturer’s recommendations [19].
The primary processing of the raw reads was carried out as described earlier [20]. All 16S rRNA gene sequence reads were then processed by the SILVAngs 1.3 pipeline [21] using the default settings: 98% similarity threshold was used for creating the operation taxonomic unit (OTU) tables; 93% was the minimal similarity to the closest relative that was used for classification (other reads were assigned as “No Relative”). All ITS sequence reads were processed by the Knomics-Biota [22] using the “ITS fungi” pipeline, where the reads were classified by mapping against the UNITE database version 7.2 (QIIME release, version 01.12.2017) using the BWA-MEM algorithm (BWA version 0.7.12-r1039). A 97% similarity threshold was used for creating the OTUs.
2.5. Isolation of Pure Cultures from Enrichment Cultures
PE-158 samples with a biofilm on their surface were placed in liquid LB medium on a shaker (150 rpm) at 30 °C 24–48 h. A series of dilutions was made from the obtained plankton suspensions, applied to LB agar medium on Petri dishes, and grown for 24–96 h at 30 °C. The pure cultures were analyzed, described, studied under a light microscope, and saved.
Several microorganisms were identified. Their nucleotide sequences of the 16S rRNA gene were analyzed. Genomic DNA was extracted according to a previously described procedure [23]. The PCR of 16S rRNA and the sequencing of PCR products of the 16S rRNA genes were performed using the universal 16S primers [24]. The PCR fragments were prepared for sequencing and cloning using the standard Wizard PCRPreps and PGEMT Easy Systems protocols (Promega, Madison, WI, USA). Sequencing was performed on an ABI3730 sequencer (Applied Biosystems, Waltham, MA, USA) using the Big Dye Terminator version 3.1 reagent kit. Sanger sequencing was performed using scientific equipment from the Core Facility “Bioengineering”. Phylogenetic trees were constructed in the MEGA program. The primary analysis of the obtained sequences was carried out using the NCBI server BLAST program (www.ncbi.nlm.nih.gov/blast/ accessed on 4 March 2023). The 16S rRNA gene sequences from species of the same genus were uploaded from GenBank.
Phylogenetic trees were constructed in the MEGA program (https://www.megasoftware.net/, MEGA 11 version 11.0.13 build 220624 accessed on 4 April 2023). The sequences were aligned using the MUSCLE algorithm inside the MEGA program. Phylogenetic trees were constructed by the neighbor-joining method. The node support was calculated using bootstrap analysis based on the sampling of 1000 replicates.
2.6. Inoculum Preparation
2.6.1. For Pure Cultures
One colony from a 24–48-h cup of typical morphology aged for 24–48 h was placed in a flask with 20 mL of LB by a microbiological loop and incubated at 150 rpm on a shaker for 24 h at a temperature of 30 °C. Its optical density at a wavelength of 540 nm (OD540) was adjusted to 0.1 with sterile saline (0.9% NaCl).
2.6.2. For Binary Biofilms
Cell suspensions prepared from the pure cultures (OD540 = 0.1) were mixed to a ratio of 1:1.
2.6.3. For Multispecies Biofilms
PE samples with the biofilms were used to prepare the inoculum. The samples of PE were removed from the vials with enrichment cultures, placed in flasks with 20 mL of liquid LB medium, and incubated with rotation (150 rpm) until growth signs appeared at 28 °C (1–2 days for communities, 1 day for pure cultures). The optical density of the cultures was equalized by dilution with sterile saline solution (saline) up to OD540 = 0.2.
2.7. Growing Biofilms on the Surface of Composites and PE-158
Sterile samples of PE-158 were dipped into dense LB medium to about half of their height using sterile tweezers. Then, 0.1 mL of inoculum was added around the base of the plates. Thus, up to 6 polyethylene samples were placed in each Petri dish. For a blank control, PE-158 plates without added inoculum were placed in the dish. The plates were incubated at 30 °C. The incubation time depended on the planned experiment task.
2.8. Quantitative Determination of Biofilms on the Surface of PE-158 and Composites
The total biomass of biofilms was quantified by staining the ethanol extracts with crystal violet (CV, Panreac). When stained with CV, the biofilms on the PE-158 samples were fixed with 96% ethanol for approximately 30 min and placed in a 0.1% aqueous solution of CV for 1 h. After that, the excess unbound dye was removed by washing with distilled water. The biofilm-bound dye was extracted by keeping the samples in 96% ethanol for about 1 h. The absorbance of the extracts was measured at 590 nm against distilled water (spectrophotometer pe5400vi, EKROSKHIM, St. Petersburg, Russia). The control blank values were subtracted from the results obtained in the culture experiment.
To assess the number of metabolically active cells in the remaining biofilms, staining with 3-(4,5-dimethylthiazol-2-yl)-2,5-diphenyltetrazolium bromide (MTT, Dia-M LLC, Moscow, Russia) was used: biofilm on a PE surface was incubated for 3 h in a 0.1% MTT solution in LB medium at ambient temperature. The stained samples were rinsed with distilled water. Then each sample was extracted with chemically pure dimethyl sulfoxide (DMSO, Moscow, Russia) for approximately 3 days. The optical concentration of the extracts was measured at 540 nm against distilled water. The control blank values were subtracted from the results obtained in the culture experiment.
2.9. Colony Formation Unit (CFU) Assessment from the Surface of Composites
In the experiments with composites, the total biomass was assessed as follows. After 3 and 7 days, parts of the composites were removed from the Petri dishes, then placed in 0.1% CV solution for 15 min for staining. The composite samples were rinsed in distilled water and placed for 1 h in 200 µL 96% ethanol on a shaker at 75–100 rpm to extract the dye. If necessary, the extract was diluted 2–3 times with ethanol, and the OD of the extract was measured at 590 nm on a plate reader (Azure Biosystems, Dublin, CA, USA).
To assess the cell viability, the remaining composites from the Petri dishes were placed in tubes with 2 mL of sterile saline and shaken on a vortex for 1 min to allow the bulk of the biofilms to separate from the composites and transfer to the saline. The biofilms that were not separated from the composites by shaking were cleaned off with a sterile brush (the removal of cells from the sample surface was checked by staining with CV). The cells were vortexed for 5 min. A standard series of dilutions in 10 mL of saline (10-2, 10-3, 10-4, and 10-5) was then prepared, and the samples were inoculated with LB culture medium using the classical spatula method (placing 40 µL of saline per plate with the culture). The plates were incubated for 2 days at 28 °C, the number of colonies was counted, and the CFU index was calculated using the standard formula:
2.10. Scanning Microscopy
The samples were prepared for scanning microscopy by fixing them with a 2.5% solution of glutaric aldehyde and washing them twice with sodium phosphate buffer. Then, they were successively treated with ethanol at concentrations of 30% (for 1–2 min), 50% (5–10 min), 70% (5 min), and 96% (5 min). The samples were attached to the columns for scanning microscopy (JEOL-IT 200 microscope, Tokyo, Japan) with double-sided Scotch tape and sprayed with gold.
2.11. Statistical Processing
The nonparametric Mann-Whitney U-test was used to assess the significance of differences (they were considered significant at p < 0.05). The medians of the absolute or relative values are shown in the plots, and variation in the data is reflected as a 95% confidence interval. The relative values (changes in surface roughness of LDPE sheets) were calculated by dividing the experimental values of the peak areas (in pixels) by the peak areas of the negative control. The correlation between the total biomass of the biofilms formed on the LDPE sheets and the changes in the surfaces of the sheets was calculated using the Spearman correlation coefficient. All measurements were performed in at least three statistical replications. The R environment was used for statistical processing and plotting.
3. Results
Polyethylene-based composites containing polyguanidine biocides were obtained and characterized.
The organomineral fillers were characterized by ATR-FTIR spectroscopy (Figure 1). In the [1500–1760 cm−1] region of the spectra, groups of bands were observed to correspond to the vibrations of the carbon–nitrogen bonds in guanidine moieties of organic biocide. The precise shapes and positions of these bands were unique to each individual guanidine-derived polymer used in the study. The most intense peaks in the 1250–1000 cm−1 region corresponded to vibrations of the Si-O bonds of montmorillonite, comprising upwards of 70% of the fillers by weight.
Figure 1.
ATR–FTIR spectra of organomineral filler powders.
In the FTIR transmission spectra for the composite materials (Figure 2), characteristic bands of montmorillonite were also observed: 1250–1000 cm−1 and 650–400 cm−1 (Si-O), and 3100–3800 cm−1 (O-H). Bands in the 1600–1700 cm−1 region corresponded to the guanidine content of the composite and were unchanged after composite processing; the strong bands at 3000–2500 cm−1, 1500–1400 cm−1, and 750–700 cm−1 were attributed to polyethylene.
Figure 2.
Typical IR-spectra of composite films.
The nanostructures of the obtained composites were studied by means of X-ray diffraction analysis (Figure 3). Regardless of the type of compatibilizer used in the composites (Arquad or Metalen), the interlayer distance of the organomineral filler in composites d = 1.35 nm (calculated from the position of the basal reflection 2θ = 6.5°) remained unchanged and equal to the interlayer distance of the filler powder, indicating no intercalation of the LDPE polymer chains into the interlayer space of the filler. However, the interlayer distance of the filler was higher than the typical value for sodium montmorillonite (0.96–1.2 nm depending on the air humidity), indicating the intercalation of the guanidine-derived polymer into the MMT during the production of the organomineral fillers. The reflections at 2θ = 21.5° and 2θ = 23.8° are typical for the orthorhombic phase of LDPE.
Figure 3.
Typical X-ray diffractograms of composite films and organomineral filler powder.
The mechanical properties of some typical materials are given in Table 3. Despite the decreases in the elongation at break and tensile strength, the properties of the polymer composites remained satisfactory for many possible applications.
Table 3.
Mechanical characteristics of some composites.
3.1. Enrichment Cultures
The use of a low-nutrient culture medium for the enrichment cultures suppressed the growth of fast-growing aerobes in the liquid medium and allowed for obtaining biofilms on the polyethylene’s surface. After a series of passages, the communities were selected, the microbial components of which most actively formed biofilms on the surface of PE-158. Inoculum sources and isolation media for these communities are presented in Table 2.
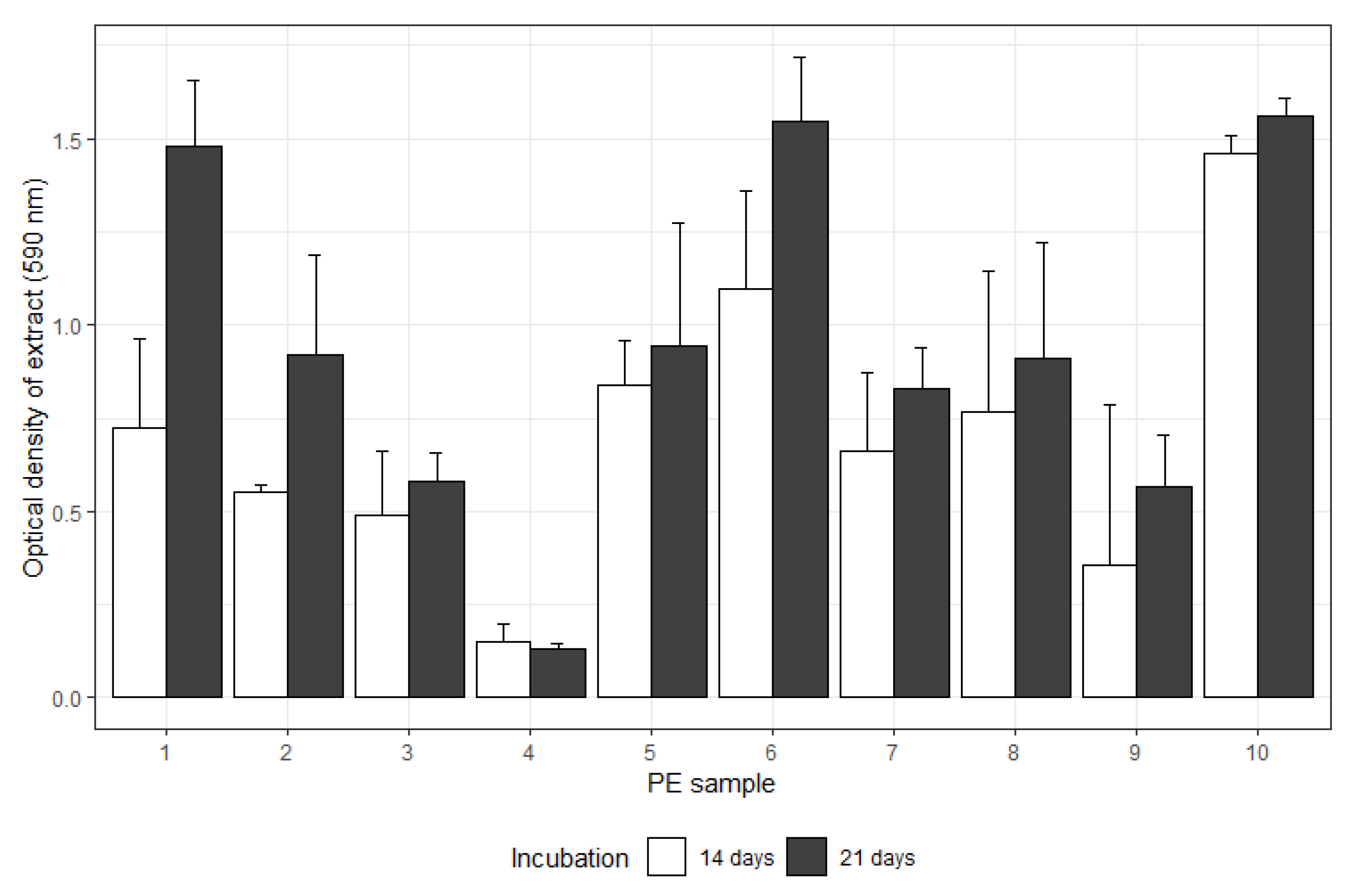
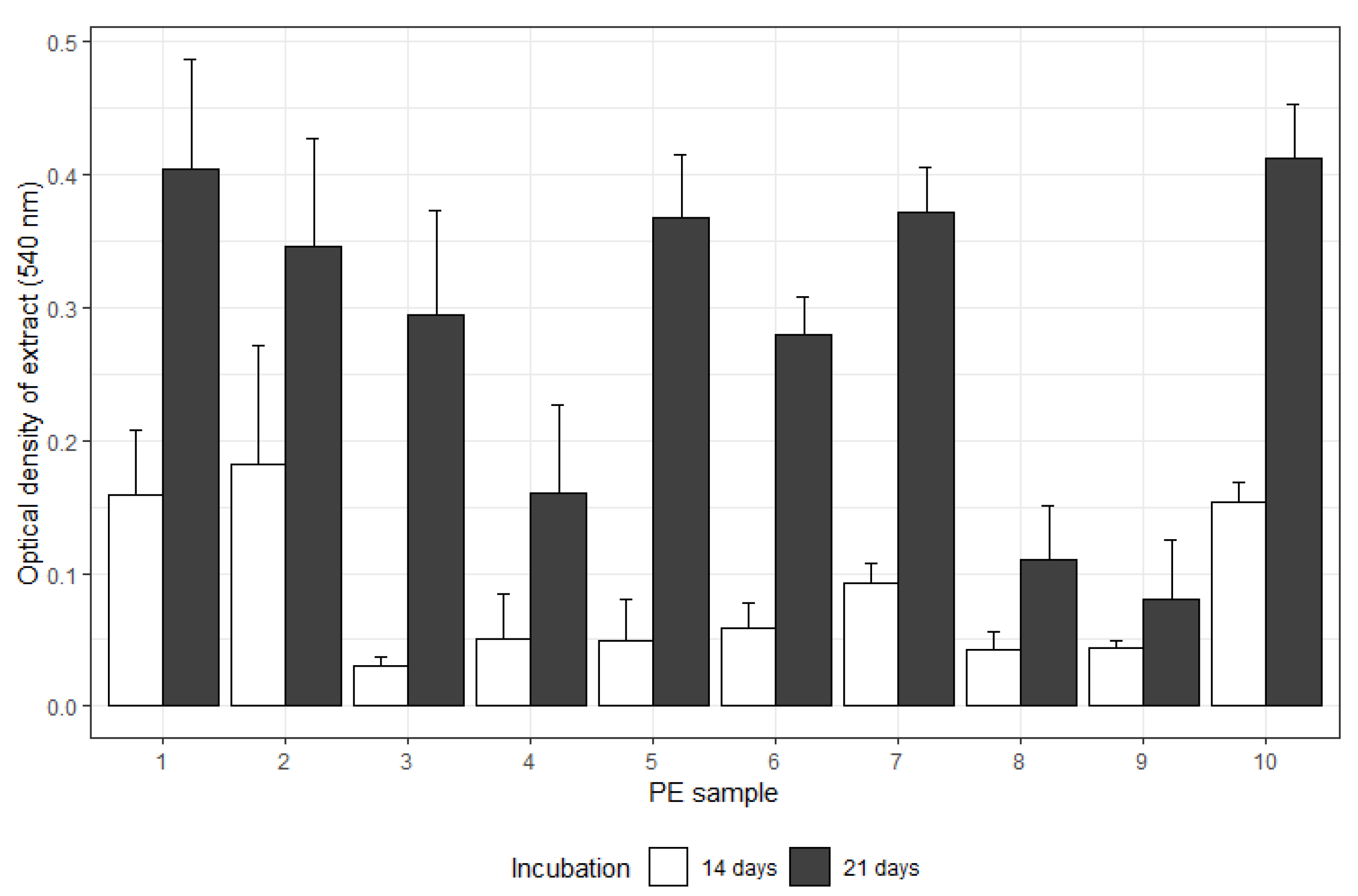
To compare the growth of biofilms from different communities on the surface of PE-158, the total biomass of the biofilms on the surface of PE-158 (Figure 4) and the number of metabolically active cells (Figure 5) were evaluated.
Figure 4.
Quantitative assessment of the total biofilm biomass formed on the surface of PE-158 by multispecies microbial communities isolated from: PE films from compost materials (1–3); surface of PE sample forming press (4–5); PE film from landfill in Novomoskovsk city (6); extrudates incubated for 180 days in Myanmar soil (7–8); surface of a plastic vessel (9); PE samples found in the Mozhaisk reservoir (10), dyeing with CV, extraction with EtOH.
Figure 5.
Quantitative assessment of the viability of cells within biofilm formed on the surface of PE-158 by multispecies microbial communities isolated from: PE films from compost materials (1–3); surface of PE sample forming press (4–5); PE film from landfill in Novomoskovsk city (6); extrudates incubated for 180 days in Myanmar soil (7–8); surface of a plastic vessel (9); PE samples found in the Mozhaisk reservoir (10); dyeing with MTT, extraction with DMSO.
Furthermore, the phylogenetic composition of the three most actively biofilm-forming communities of microorganisms was studied. Krona diagrams are shown in Figure 6, Figure 7 and Figure 8.
Figure 6.
Krona diagram for the microbial community isolated from PE found in Mozhaisk water reservoir (No 7 in Table 2).
Figure 7.
Krona diagram for the microbial community isolated from PE found in compost “59” (No 2 in Table 2).
Figure 8.
Krona diagram for the microbial community isolated from PE found in compost “113” (No 1 in Table 2).
3.2. Pure Cultures
As a result of the long-running isolation of pure cultures from selected multispecies communities, the collection of actively formed biofilms on PE-158 surface strains was created. Parts of the cultures were identified, and their part sequences of the 16S rRNA gene were uploaded to the GenBank:
- Brevundimonas olei 113-2 as OQ690763;
- Paenibacillus dendritiformis 59-7 as OQ690761;
- Rhodococcus pyridinivorans Mo-1 as OQ690720;
- Gordonia terrae 15-4 as OQ690717;
- Agrobacterium tumefaciens 15-2 as OQ690719;
- Parapedobacter soli 59-25 as OQ690662.
All of the selected pure cultures are presented in Table 4.
Table 4.
The strains selected for the research.
3.3. Effects of Biocides on Biofilms from Pure Cultures
Some of the isolated cultures and already tested strains were selected for research. The analysis was carried out according to the method described above.
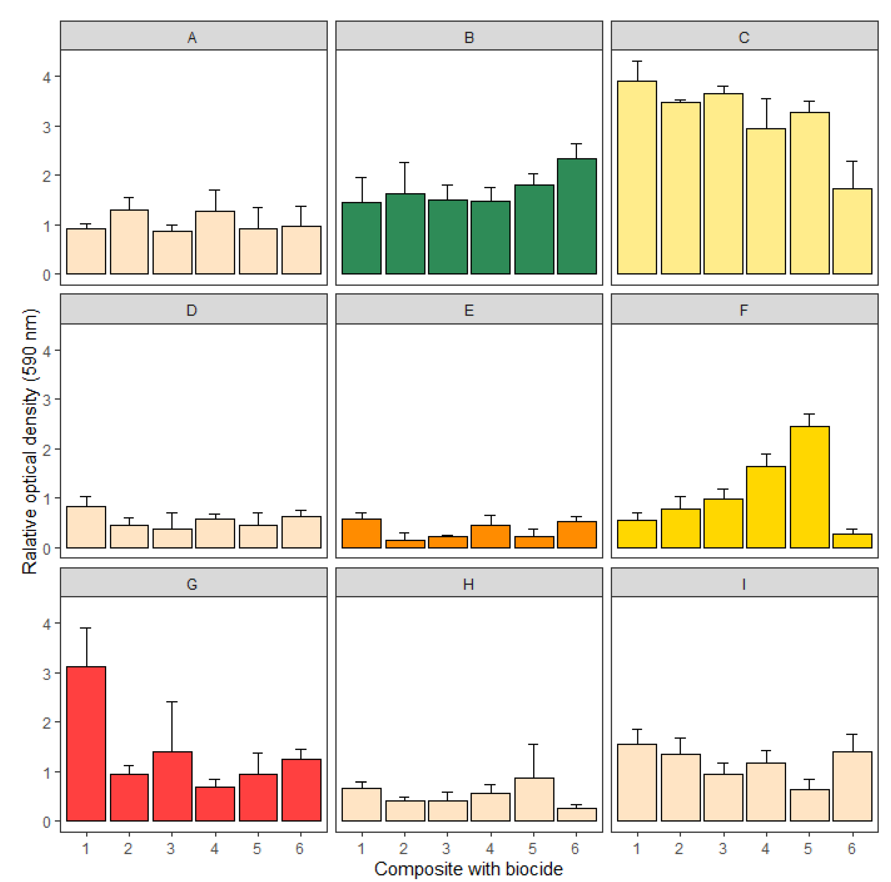
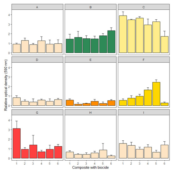
Figure 9 shows the median values of the results of the growth of monospecies biofilms of nine pure cultures on composites for 3 days (the experiment was carried out in five statistical replications). It follows from the diagrams that, in some cases, the inhibitory effect of biocides on the growth of biofilms of pure cultures was indeed present, but it depended more on the culture than on the biocide variant.
Figure 9.
Total biomass of biofilms formed by pure cultures after 3 days of incubation on the surface of composites protected with biocides. 1—control, without addition of biocide; 2–6—protected composites, with addition of biocide (Table 1). (A)—Y. lipolytica 367-3, (B)—P. aeruginosa PAO1, (C)—K. rhizophila 4A-2G, (D)—P. dendritiformis 59-7, (E)—R. pyridinivorans Mo-1, (F)—P. soli 59-25, (G)—G. terrae 15-4, (H)—A. tumefaciens 15-2, (I)—B. olei 113-2. The colors of the diagrams refer to the colors of the microcolonies. Dyed with CV, extraction with EtOH.
For example, inhibition of the growth of biofilms of G. terrae 15-4 was visually observed with all the studied biocides, while in the experiments with P. aeruginosa PAO1 and Y. lipolytica 367-3, there were no inhibitory effects at all. An interesting dependence was observed when studying the growth of Parapedobacter soli 59-25 biofilms: biocidal additives stimulated growth, but the growth was visually suppressed on a compatibilizer change from Metalen to Arquad. For other strains, partial inhibition of growth by biocides was observed.
Next, strains for the reconstruction of binary communities and a comparison of the effects of biocides on monospecies and multispecies biofilms were selected. In selecting the pure cultures for experiments on the reconstruction of binary communities, the following conditions were met:
- The cultures differed in morphological features (color, shape of cells);
- One of the cultures was Gram-negative, the other was Gram-positive;
- Inhibitory effects of biocides on both pure cultures were observed;
- The cultures did not show antagonism towards each other.
Therefore, after the preliminary experiments, the following pairs of strains were selected for the formation of binary biofilms on the surface of biocidal composites:
- G. terrae 15-4 and A. tumefaciens 15-2;
- P. soli 59-25 and R. pyridinivorans Mo-1.
3.4. Comparison of the Effects of Biocides on Monospecies and Binary Biofilms
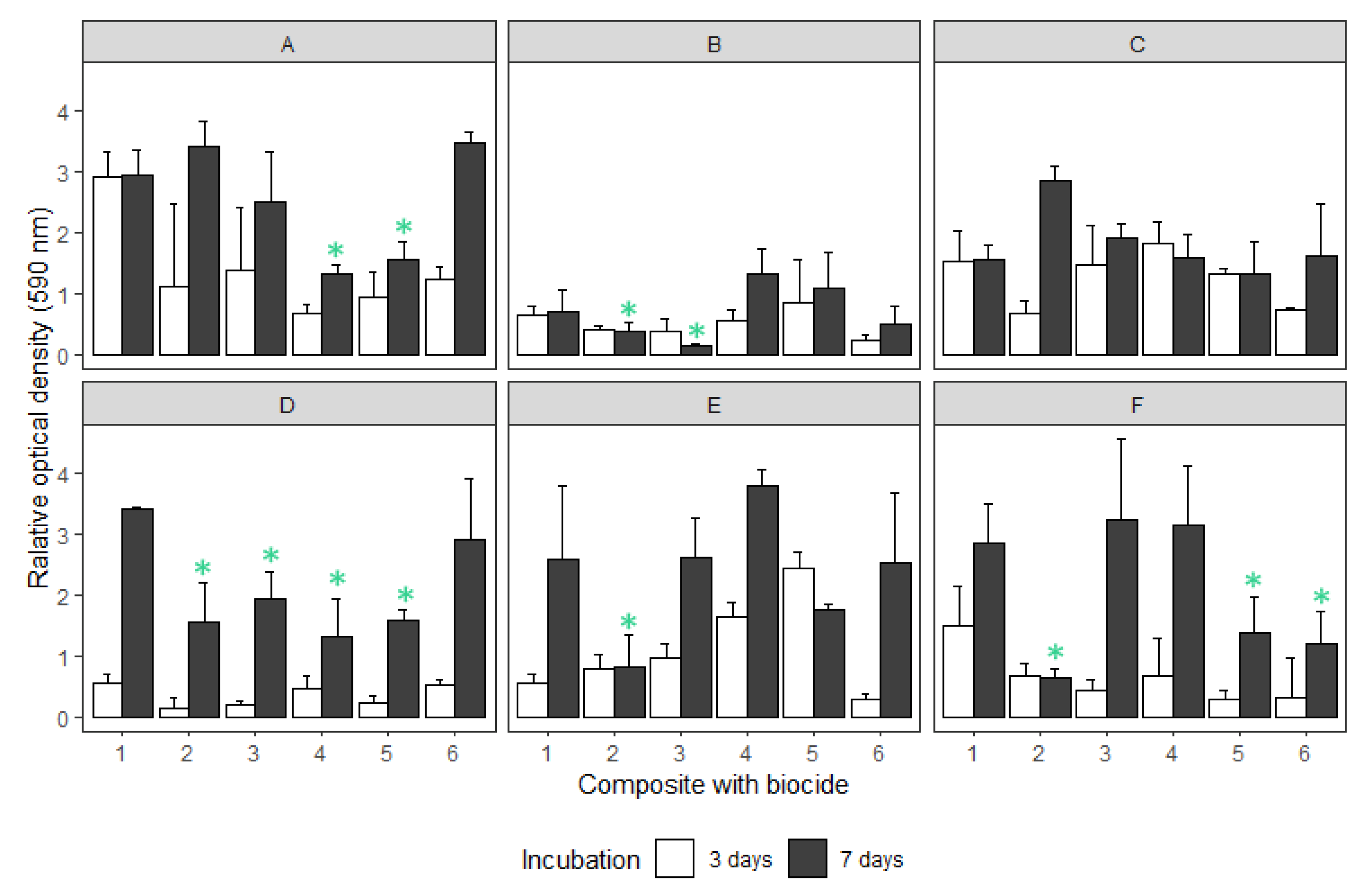
Figure 10 demonstrates the biomass of multispecies and binary biofilms formed on composites protected with biocides. Partial growth inhibition by biocides was observed for both the monospecies and binary biofilms.
Figure 10.
Total biomass of biofilms formed by pure cultures after 3 and 7 days of incubation on the surface of composites protected with biocides. 1—control, S.1; 2-6—protected composites, S.2-S.6. (A)—G. terrae 15-4, (B)—A. tumefaciens 15-2, (C)—G. terrae 15-4 + A. tumefaciens 15-2 (binary biofilms), (D)—R. pyridinivorans Mo-1, (E)—P. soli 59-25, (F)—R. pyridinivorans Mo-1 + P. soli 59-25 (binary biofilm). Significant values are marked with green asterisks (p < 0.05). Dyed with CV and extraction with EtOH.
3.5. Assessment of the Viability of Pure Cultures in the Community after Incubation on Polyethylene with the Addition of Biocides
According to the method described above, the CFUs for the binary communities of R. pyridinivorans Mo-1 and P. soli 59-25 were calculated after 3 and 7 days of incubation on biocidal composites (Figure 11).
Figure 11.
Viability of R. pyridinivorans Mo-1 and P. soli 59-25 within a binary biofilm after 3 (A) and 7 (B) days of incubation on the surface of composites protected with biocides. 1—control, without addition of biocide (S.1); 2–6—protected composites, with addition of biocide (S.2-S.6 in Table 1). Dyed with MTT and DMSO extraction. Significant values are marked with green asterisks (p < 0.05).
As shown in the graphs, some composites affected the survival of cells in biofilms in the same way as the biofilm growth on their surfaces. Figure 11A shows that after 3 days, P. soli 59-25 cells survived incubation better than R. pyridinivorans Mo-1. The smallest number of surviving cells of both strains was observed in the biofilms grown on composites S.5 and S.6. After 7 days (Figure 11B), the CFU number increased by two orders of magnitude for both cultures, while a suppressing effect of the composite materials S.5 and S.6 was observed. Interestingly, after 7 days, almost all biocide-containing composite materials had a statistically significant inhibitory effect on the monospecies R. pyridinivorans Mo-1, but only composites S.3 and S.4 affected the survival of cells of this culture in a binary biofilm. This phenomenon can be explained by increased cell protection in binary communities. The biocide had no influence on the P. soli 59-25 (Figure 11B). Thus, it can be assumed that this culture provided growth and protection from the biocide for R. pyridinivorans Mo-1 in a binary community.
3.6. Architecture of Biofilms Formed on Composites with Biocides
Scanning electron microscopy of mature 30-day-old binary biofilms formed by R. pyridinivorans Mo-1 and P. soli 59-25 binary biofilms grown on the control composites S.1 and the composites with biocide S.5 was performed. This community was chosen because it had shown the best results in previous experiments. The micrographs are shown in Figure 12 and Figure 13 for S.1 and S.5, respectively.
Figure 12.
Binary biofilm of R. pyridinivorans Mo-1 and P. soli 59-25, formed on the surface of biocide-free composite (S.1 in Table 1).
Figure 13.
Binary biofilm of R. pyridinivorans Mo-1 (1, light cocci) and P. soli 59-25 (2, dark rods), formed on the surface of composite with the addition of biocide (S.5 in Table 1).
As can be seen in the images, the cells formed a sufficiently dense and thick biofilm on the control composite, whereas a sufficiently sparse and thin biofilm was formed on the biocide composite. This phenomenon is explained by the overwhelming effect of the biocide both on the cell growth and the synthesis of polysaccharides for matrix formation.
4. Discussion
PE is a large-scale synthetic polymer used in various fields of industry and human activities. Like many other plastics, polyethylene is a suitable substrate for biofilm formation. In several situations, the fouling of materials with biofilms is undesirable. Unfortunately, it is impossible to completely eliminate it, since the diversity of microorganisms and their communities is so great that they are able to colonize virtually any niches with physicochemically suitable conditions for life. The main ways to combat the formation of biofilms on the surface of synthetic plastics are discussed in recently published reviews [25,26]. The method of introducing biocidal compounds into the composition of plastics has become widespread. Since most of these studies are carried out on artificial models using pure cultures of microorganisms, we tested the effectiveness of protection using guanidine biocides on communities isolated from the surface of PE incubated in natural ecosystems.
For further work, we have chosen pure cultures based on two criteria: either known for their ability to form biofilms or known as degraders of plastics and other difficult-to-dispose compounds (this process begins on the surface of a material and so it requires the formation of biofilms). For reconstruction biofilms, we combined pure cultures that corresponded to the above parameters. All of these pure cultures (B. olei 113-2, P. dendritiformis 59-7, R. pyridinivorans Mo-1, G. terrae 15-4, A. tumefaciens 15-2, and P.r soli 59-25) formed biofilms in an amount comparable (Figure 9) with the formation of biofilms on the PE surfaces of our model strains (P. aeruginosa PAO1, Y. lipolytica 367-3, and K. rhizophila 4A-2G) studied in our previous study [8].
Our results show that all inoculum variants can form biofilms on the polyethylene surface. To choose communities for further work, we evaluated two parameters—first, the total growth on the surface of PE-158 samples by the OD of ethanol extracts after dyeing with CV. According to the results, all enrichment cultures from the phototrophic conditions and a number of others that weakly formed biofilms on the PE surface were discarded, even in the case of the formation of a significant number of planktonic cells. Secondly, viable microbial cells in the biofilms were quantified by the optical density of DMSO extracts after MTT dyeing [27]. This made it possible to choose communities forming biofilms with an abundance of metabolically active cells for further work. During a series of passages of enrichment cultures, the most adapted to PE-fouling microorganisms were selected. Thus, out of hundreds of cultures of PE-foulers in natural conditions [7], only the strains most adapted to the formation of biofilms on the surface of PE remained. A study of the composition of these communities was performed (Figure 6, Figure 7 and Figure 8). To suppress the active growth of planktonic forms of micromycetes, the antimycotic amphotericin was added. However, this group of organisms is known for its ability to grow on PE surfaces [28], so ascomycete Y. lipolytica 367-3 was additionally used in the set of cultures. From Figure 9, Figure 10 and Figure 11, it should be noted that the biocide content in the organomineral filler (20% in sample S.2 or 30% in samples S.3–S.6) showed no significant effect on the biofouling of the composites. The compatibilizer type (quaternary ammonium compound in sample S.6 or maleinated polyethylene in sample S.5) also appeared to be a less influential factor than the biocidal polymer structure and the biofilm composition. Among the biocidal (co)polymers used in the study, polyhexamethylene guanidine hydrochloride (samples S.5, S.6) showed the overall highest biocidal efficiency.
Figure 10 demonstrates the biomass of the multispecies and binary biofilms formed on the composites protected with biocides. Partial growth inhibition by biocides was observed for both monospecies and binary biofilms. At the same time, there were no statistically significant differences in the growth rates between the biocidal composites and the control unmodified sample (only visual inhibition was observed) after 3 days. However, significant inhibition of biofilm growth was observed in some cases after 7 days. This can be explained by prolonged biocide action on mature biofilm. While mature biofilm spreads over the surface, it meets more areas of high biocide concentration, inhibiting its growth. To test this hypothesis, scanning electron microscopy of mature binary 30-day-old biofilms formed by communities of R. pyridinivorans Mo-1 and P. soli 59-25 on the surfaces of composite materials was conducted (see the section “Architecture of biofilms formed on composites with biocides”). After 7 days of incubation, the monospecies R. pyridinivorans Mo-1 biofilm growth was suppressed on all composites with biocides, but the P. soli 59-25 biofilm growth was not suppressed in any case. It can be assumed that the effect of the biocide manifests itself depending on the structure of the cell wall, and the suppression of the growth of Gram-positive bacteria is stronger due to the absence of an external cell membrane. In other cases, differences between the Gram-positive and Gram-negative bacteria were also observed. Composites S.2 and S.3 inhibited the growth of Gram-negative A. tumefaciens 15-2, and composites S.4 and S.5 inhibited the growth of Gram-positive G. terrae 15-4.
The growth of binary biofilms was suppressed to a lesser extent, which can be explained by the interaction between cultures. The biocide effects on the R. pyridinivorans Mo-1 and P. soli 59-25 community were stronger than its effects on the G. terrae 15-4 and A. tumefaciens 15-2 community. It can be assumed that in the binary community, the growth of biofilm depended more on the culture that was less affected by the biocide.
Indeed, in comparing the growth graphs of the binary biofilm R. pyridinivorans Mo-1 and P. soli 59-25 and monoid biofilm P. soli 59-25, it can be noted that the distribution of the effects of biocides was visually similar: composite S.2 had an inhibitory effect, composites S.5 and S.6 had a smaller effect, and composites S.3 and S.4 had no effect. The same was observed for the second community, but the biomass of A. tumefaciens 15-2 was generally smaller. At the same time, between the graphs on the monoid biofilm of G. terrae 15-4 and the binary community, there was a correlation for composites S.2 and S.3. Moreover, the absence of an inhibitory effect on the binary community of G. terrae 15-4 and A. tumefaciens 15-2 can be explained by their pronounced ability to destroy PE, as shown for this pair of cultures in a previous work [29].
What mechanism can be assumed for this phenomenon? It is generally accepted that polyguanidine-based biocides act on cells through the disruption of the structure of the lipid bilayer of the cell membrane [30]. However, we showed in a previous work that biocidal compounds of the guanidine series added to low-density polyethylene as part of a complex filler can selectively suppress the growth of biofilms of some microorganisms without affecting the initial stages of their adhesion, as well as the growth of planktonic cultures [8]. This fact deserves attention because many antibiofilm agents act precisely at the stage of cell adhesion to the surface [31]. Since the cells in biofilms are surrounded by a matrix, composite materials can affect the components of the matrix more than the cells in its thickness.
As PHMG, which has shown itself most well in the composition of composites, is a polycation, we can assume that it binds to negatively charged components of the matrix (there may be negatively charged proteins, polysaccharides, and DNA), thus disrupting its structure. The latest work [32] shows one of the possible mechanisms of this phenomenon—the formation of a complex between eDNA biofilm and the polymeric biocide polyhexamethyleneguanidine hydrochloride.
Our results show that composites containing polyguanidine biocides reduce the formation of biofilms on their surface. Compounds with high biocidal activity are usually toxic to humans and animals, and therefore, cannot be recommended for use in most situations. An important advantage of some biocidal guanidine polymers as antimicrobial agents is their relatively low toxicity. For instance, the toxicity index of polymethacryloyl guanidine hydrochloride (tested with the use of Daphnia magna Straus) was determined to be significantly lower than the toxicity index of its monomer as well as that of common antiseptic chlorhexidine [33].
Thus, the use of this group of biocides has been of increasing interest to researchers in recent years. Both our studies [7] and the works of other authors [32] show the anti-biofilm properties of this group of compounds. We have a wide range of biocidal guanidine-based polymers [7] to inhibit the growth of various cultures of microorganisms, allowing for the creation of different coatings for different practical considerations. The creation of a universal antibiofilm coating has not yet been achieved, but the combination of the integrated approaches we have applied undoubtedly brings its creation closer.
5. Conclusions
As a result of this work, a collection of polyethylene degrading strains isolated from different habitats was created. For the first time, the formation of biofilms on composites based on polyethylene with the inclusion of polyguanidine biocidal additives was studied. A suppressive effect of some biocides on the growth of both monospecies and binary biofilms was found, and the accumulating effect of the biocide was noted during longer incubation (i.e., its long-term preservation in the composition of the composite material). A significant advantage of some of the polyguanidines used by us is their low toxicity to macroorganisms compared to widely used biocides (for example, quaternary ammonium salts or antiseptic chlorhexidine) [33]. An important plus of polyguanidine biocides is their activity as antibiofilm agents [7,32]. However. one should take into consideration the possibility of a protective effect of the microbial component of multispecies biofilms, which is more resistant to these biocides, on its satellites that are more sensitive to the biocide This is probably due to the cooperative interactions of microbial cultures inside the biofilm as a result the access of the biocide to the targets of the sensitive microorganism is reduced by reason of suppression of its diffusion or because of chemical destruction.
Author Contributions
Conceptualization: M.V.Z. and V.K.P.; methodology for biological part of the research: M.V.Z., K.I.B. and V.K.P.; methodology for chemical part of the research: V.A.G.; investigation of composite materials: V.V.K., D.I.M. and V.A.T.; investigation of SEM: M.V.Z. and K.I.B.; bioinformatic analysis: K.I.B. and E.M.P.; investigation: M.V.Z., V.K.P., K.I.B., E.M.P., V.V.K., V.A.G., V.A.T. and D.I.M.; writing, original draft preparation: M.V.Z., D.I.M. and K.I.B.; original draft editing: A.V.G. All authors have read and agreed to the published version of the manuscript.
Funding
This work was supported by the Ministry of Science and Higher Education of the Russian Federation under the State tasks for Federal Research Center for Biotechnology RAS “Microbiology of Innovative Biotechnology” (assignment 122040800164-6) and Topchiev Institute of Petrochemical Synthesis of Russian Academy of Sciences (assignment AAAA-A19-119020490054-7).
Institutional Review Board Statement
Not applicable.
Informed Consent Statement
Not applicable.
Data Availability Statement
Not applicable.
Acknowledgments
The authors are grateful to V.V. Mironov for providing samples of compost material. The authors are grateful to V.V. Gannesen for providing samples of polyethylene from waste landfill deposit of Novomoskovsk.
Conflicts of Interest
The authors declare no conflict of interest.
References
- Zhurina, M.V.; Bogdanov, K.I.; Gannesen, A.V.; Mart’yanov, S.V.; Plakunov, V.K. Microplastics as a New Ecological Niche for Multispecies Microbial Biofilms within the Plastisphere. Microbiology 2022, 91, 107–123. [Google Scholar] [CrossRef]
- Carrascosa, C.; Raheem, D.; Ramos, F.; Saraiva, A.; Raposo, A. Microbial Biofilms in the Food Industry-A Comprehensive Review. Int. J. Environ. Res. Public Health 2021, 18, 2014. [Google Scholar] [CrossRef] [PubMed]
- Li, X.; Sun, L.; Zhang, P.; Wang, Y. Novel Approaches to Combat Medical Device-Associated BioFilms. Coatings 2021, 11, 294. [Google Scholar] [CrossRef]
- Zhou, Z.; Wei, D.; Lu, Y. Polyhexamethylene guanidine hydrochloride shows bactericidal advantages over chlorhexidine digluconate against ESKAPE bacteria. Biotechnol. Appl. Biochem. 2015, 62, 268–274. [Google Scholar] [CrossRef] [PubMed]
- Zhang, J.; Hu, L.; Zhang, Q.; Guo, C.; Wu, C.; Shi, Y.; Shu, R.; Tan, L. Polyhexamethylene guanidine hydrochloride modified sodium alginate nonwoven with potent antibacterial and hemostatic properties for infected full-thickness wound healing. Int. J. Biol. Macromol. 2022, 209, 2142–2150. [Google Scholar] [CrossRef] [PubMed]
- Gerasin, V.A.; Mendeleev, D.I.; Kurenkov, V.V.; Menyashev, M.R. Guanidine-Containing Organomineral Complexes as Biocide Additives to Polymeric Composites. Russ. J. Appl. Chem. 2018, 91, 1297–1304. [Google Scholar] [CrossRef]
- Zhurina, M.V.; Gannesen, A.V.; Martyanov, S.V.; Kallistova, A.Y.; Gerasin, V.A.; Sivov, N.A.; Tikhomirov, V.A.; Myint, A.K.; Plakunov, V.K. Use of Polyguanidine-Derivatives-Based Biocides for Microbial Growth Inhibition and for the Development of a Novel Polyethylene-Based Composite Material Resistant to the Formation of Multispecies Microbial Biofilms. KnE Life Sci. 2022, 7, 456–468. [Google Scholar] [CrossRef]
- Zhurina, M.V.; Kallistova, A.Y.; Panyushkina, A.E.; Gannesen, A.V.; Mart’yanov, S.V.; Gerasin, V.A.; Sivov, N.A.; Tikhomirov, V.A.; Plakunov, V.K. Specific Features of Formation of Multispecies Microbial Biofilms on Polyethylene Surface. Microbiology 2020, 89, 396–404. [Google Scholar] [CrossRef]
- Gerasin, V.A.; Pogodin, I.M.; Kurenkov, V.V.; Mendeleev, D.I. Successive Modification of Montmorillonite with Quaternary Alkylammonium Salts of Various Structures as a Method of Preparing Nanofillers for in situ Synthesis of Polymer Nanocomposites. Russ. J. Appl. Chem. 2022, 95, 59–69. [Google Scholar] [CrossRef]
- Gerasin, V.A.; Zhurina, M.V.; Kleshcheva, N.A.; Sivov, N.A.; Mendeleev, D.I. Cyclic Methacrylate Tetrahydropyrimidinones: Synthesis, Properties (Co) Polymerization. Polymers 2021, 14, 107. [Google Scholar] [CrossRef]
- Sivov, N.A.; Kleshcheva, N.A.; Valuev, I.L.; Valuev, L.I. Biocidal Copolymers of Methacryloylguanidine Hydrochloride with Methacrylamide and Diallyldimethylammonium Chloride. Polym. Sci. 2021, 63, 531–535. [Google Scholar] [CrossRef]
- Mart’ianov, S.V.; Zhurina, M.V.; Él’-Registan, G.I.; Plakunov, V.K. Activation of formation of bacterial biofilms by azithromycin and prevention of this effect. Mikrobiologiia 2015, 84, 27–36. [Google Scholar] [CrossRef] [PubMed]
- Gannesen, A.V.; Zhurina, M.V.; Veselova, M.A.; Khmel’, I.A.; Plakunov, V.K. Regulation of biofilm formation by Pseudomonas chlororaphis in an in vitro system. Microbiology 2015, 84, 319–327. [Google Scholar] [CrossRef]
- Gohl, D.M.; MacLean, A.; Hauge, A.; Becker, A.; Walek, D.; Beckman, K.B. An Optimized Protocol for High-Throughput Amplicon-Based Microbiome Profiling, 25 July 2016, PROTOCOL (Version 1) Available at Protocol Exchange. Available online: https://protocolexchange.researchsquare.com/article/nprot-4831/v1 (accessed on 20 March 2023).
- Fadrosh, D.W.; Ma, B.; Gajer, P.; Sengamalay, N.; Ott, S.; Brotman, R.M.; Ravel, J. An improved dual-indexing approach for multiplexed 16S rRNA gene sequencing on the Illumina MiSeq platform. Microbiome 2014, 2, 6. [Google Scholar] [CrossRef] [PubMed]
- Hugerth, L.W.; Wefer, H.A.; Lundin, S.; Jakobsson, H.E.; Lindberg, M.; Rodin, S.; Engstrand, L.; Andersson, A.F. DegePrime, a Program for Degenerate Primer Design for Broad-Taxonomic-Range PCR in Microbial Ecology Studies. Appl. Environ. Microbiol. 2014, 80, 5116–5123. [Google Scholar] [CrossRef]
- Merkel, A.Y.; Tarnovetskii, I.Y.; Podosokorskaya, O.A.; Toshchakov, S.V. Analysis of 16S rRNA Primer Systems for Profiling of Thermophilic Microbial Communities. Microbiology 2019, 88, 671–680. [Google Scholar] [CrossRef]
- Turenne, C.Y.; Sanche, S.E.; Hoban, D.J.; Karlowsky, J.A.; Kabani, A.M. Rapid identification of fungi by using the ITS2 genetic region and an automated fluorescent capillary electrophoresis system. J. Clin. Microbiol. 1999, 37, 1846–1851. [Google Scholar] [CrossRef]
- White, T.J.; Bruns, T.; Lee, S.; Taylor, J. Amplification and Direct Sequencing of Fungal Ribosomal RNA Genes for Phylogenetics. In PCR Protocols: A Guide to Methods and Applications; Innis, M.A., Gelfand, D.H., Sninsky, J.J., White, T.J., Eds.; Academic Press: Cambridge, MA, USA, 2020; pp. 315–322. [Google Scholar]
- Kallistova, A.; Merkel, A.; Kanapatskiy, T.; Boltyanskaya, Y.; Tarnovetskii, I.; Perevalova, A.; Kevbrin, V.; Samylina, O.; Pimenov, N. Methanogenesis in the Lake Elton saline aquatic system. Extremophiles 2020, 24, 657–672. [Google Scholar] [CrossRef]
- Quast, C.; Pruesse, E.; Yilmaz, P.; Gerken, J.; Schweer, T.; Yarza, P.; Peplies, J.; Glöckner, F.O. The SILVA ribosomal RNA gene database project: Improved data processing and web-based tools. Nucleic Acids Res. 2013, 41, D590–D596. [Google Scholar] [CrossRef]
- Efimova, D.; Tyakht, A.V.; Popenko, A.S.; Vasilyev, A.; Altukhov, I.A.; Dovidchenko, N.; Odintsova, V.; Klimenko, N.; Loshkarev, R.; Pashkova, M.; et al. Knomics-Biota—A system for exploratory analysis of human gut microbiota data. BioData Min. 2018, 11, 25. [Google Scholar] [CrossRef]
- Bulygina, E.S.; Kuznetsov, B.B.; Marusina, A.I.; Turova, T.P.; Kravchenko, I.K.; Bykova, A.S.; Kolganova, T.V.; Gal’Chenko, V.F. Study of nucleotide sequences of nifH genes in methanotrophic bacteria. Mikrobiologiia 2002, 71, 500–508. [Google Scholar] [PubMed]
- Lane, D.J. 16S/23S rRNA Sequencing. In Nucleic Acid Techniques in Bacterial Systematics; Stackebrandt, E., Goodfellow, M., Eds.; John Wiley and Sons: Chichester, UK, 1991; pp. 115–175. Available online: https://scirp.org/reference/referencespapers.aspx?referenceid=2274738 (accessed on 20 March 2023).
- Caykara, T.; Fernandes, S.; Braga, A.; Rodrigues, J.; Rodrigues, L.R.; Silva, C.J. Can Superhydrophobic PET Surfaces Prevent Bacterial Adhesion? Nanomaterials 2023, 13, 1117. [Google Scholar] [CrossRef] [PubMed]
- Plakunov, V.K.; Gannesen, A.V.; Mart’yanov, S.V.; Zhurina, M.V. Biocorrosion of synthetic plastics: Degradation mechanisms and methods of protection. Microbiology 2020, 89, 647–659. [Google Scholar] [CrossRef]
- Plakunov, V.K.; Mart’yanov, S.V.; Teteneva, N.A.; Zhurina, M.V. A universal method for quantitative characterization of growth and metabolic activity of microbial biofilms in static models. Microbiology 2016, 85, 509–513. [Google Scholar] [CrossRef]
- Srikanth, M.; Sandeep, T.S.R.S.; Sucharitha, K.; Godi, S. Biodegradation of plastic polymers by fungi: A brief review. Bioresour. Bioprocess 2022, 9, 42. [Google Scholar] [CrossRef]
- Bogdanov, K.I.; Kostina, N.V.; Plakunov, V.K.; Zhurina, M.V. Effect of Humic Acids on Biofilm Formation on Polyethylene Surface and Its Biodegradation by Soil Bacteria. Eurasian Soil Sci. 2022, 55, 474–484. [Google Scholar] [CrossRef]
- Protasov, A.; Bardeau, J.F.; Morozovskaya, I.; Boretska, M.; Cherniavska, T.; Petrus, L.; Tarasyuk, O.; Metelytsia, L.; Kopernyk, I.; Kalashnikova, L.; et al. New promising antifouling agent based on polymeric biocide polyhexamethylene guanidine molybdate. Environ. Toxicol. Chem. 2017, 36, 2543–2551. [Google Scholar] [CrossRef]
- Plakunov, V.K.; Zhurina, M.V.; Gannesen, A.V.; Mart’yanov, S.V.; Nikolaev, Y.A. Antibiofilm Agents: Therminological Ambiguity and Strategy for Search. Microbiology 2019, 88, 747–750. [Google Scholar] [CrossRef]
- Moshynets, O.V.; Baranovskyi, T.P.; Iungin, O.S.; Kysil, N.P.; Metelytsia, L.O.; Pokholenko, I.; Potochilova, V.V.; Potters, G.; Rudnieva, K.L.; Rymar, S.Y.; et al. eDNA Inactivation and Biofilm Inhibition by the Polymeric Biocide Polyhexamethylene Guanidine Hydrochloride (PHMG-Cl). Int. J. Mol. Sci. 2022, 23, 731. [Google Scholar] [CrossRef]
- Menyashev, M.R.; Martynenko, A.I.; Popova, N.I.; Kleshcheva, N.A.; Sivov, N.A. Guanidine methacrylate and methacryloyl guanidine hydrochloride: Synthesis and polymerization. Polym. Sci. Ser. B 2016, 58, 556–563. [Google Scholar] [CrossRef]
Disclaimer/Publisher’s Note: The statements, opinions and data contained in all publications are solely those of the individual author(s) and contributor(s) and not of MDPI and/or the editor(s). MDPI and/or the editor(s) disclaim responsibility for any injury to people or property resulting from any ideas, methods, instructions or products referred to in the content. |
© 2023 by the authors. Licensee MDPI, Basel, Switzerland. This article is an open access article distributed under the terms and conditions of the Creative Commons Attribution (CC BY) license (https://creativecommons.org/licenses/by/4.0/).












