Correction: Silveira et al. Bond Strength between Different Zirconia-Based Ceramics and Resin Cement before and after Aging. Coatings 2022, 12, 1601
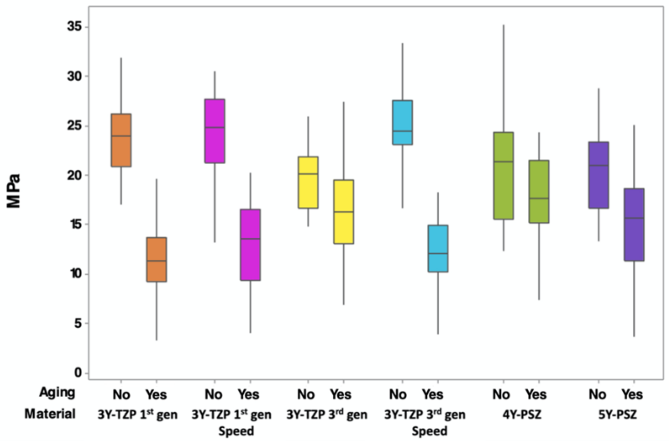
Error in Figure
Reference
- Silveira, M.P.M.; Ramos, N.d.C.; Lopes, G.d.R.S.; Tribst, J.P.M.; Bottino, M.A. Bond Strength between Different Zirconia-Based Ceramics and Resin Cement before and after Aging. Coatings 2022, 12, 1601. [Google Scholar] [CrossRef]

Disclaimer/Publisher’s Note: The statements, opinions and data contained in all publications are solely those of the individual author(s) and contributor(s) and not of MDPI and/or the editor(s). MDPI and/or the editor(s) disclaim responsibility for any injury to people or property resulting from any ideas, methods, instructions or products referred to in the content. |
© 2023 by the authors. Licensee MDPI, Basel, Switzerland. This article is an open access article distributed under the terms and conditions of the Creative Commons Attribution (CC BY) license (https://creativecommons.org/licenses/by/4.0/).
Share and Cite
Silveira, M.P.M.; Ramos, N.d.C.; Lopes, G.d.R.S.; Tribst, J.P.M.; Bottino, M.A. Correction: Silveira et al. Bond Strength between Different Zirconia-Based Ceramics and Resin Cement before and after Aging. Coatings 2022, 12, 1601. Coatings 2023, 13, 667. https://doi.org/10.3390/coatings13040667
Silveira MPM, Ramos NdC, Lopes GdRS, Tribst JPM, Bottino MA. Correction: Silveira et al. Bond Strength between Different Zirconia-Based Ceramics and Resin Cement before and after Aging. Coatings 2022, 12, 1601. Coatings. 2023; 13(4):667. https://doi.org/10.3390/coatings13040667
Chicago/Turabian StyleSilveira, Marcos Paulo Motta, Nathália de Carvalho Ramos, Guilherme da Rocha Scalzer Lopes, João Paulo Mendes Tribst, and Marco Antonio Bottino. 2023. "Correction: Silveira et al. Bond Strength between Different Zirconia-Based Ceramics and Resin Cement before and after Aging. Coatings 2022, 12, 1601" Coatings 13, no. 4: 667. https://doi.org/10.3390/coatings13040667
APA StyleSilveira, M. P. M., Ramos, N. d. C., Lopes, G. d. R. S., Tribst, J. P. M., & Bottino, M. A. (2023). Correction: Silveira et al. Bond Strength between Different Zirconia-Based Ceramics and Resin Cement before and after Aging. Coatings 2022, 12, 1601. Coatings, 13(4), 667. https://doi.org/10.3390/coatings13040667

