Water-Free SbOx ALD Process for Coating Bi2Te3 Particles
Abstract
1. Introduction
2. Materials and Methods
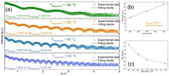
3. Results and Discussion
4. Conclusions
Supplementary Materials
Author Contributions
Funding
Institutional Review Board Statement
Informed Consent Statement
Data Availability Statement
Acknowledgments
Conflicts of Interest
References
- Ju, Z.; Crawford, C.; Adamczyk, J.; Toberer, E.S.; Kauzlarich, S.M. Study of the Thermoelectric Properties of Bi2Te3/Sb2Te3 Core–Shell Heterojunction Nanostructures. ACS Appl. Mater. Interfaces 2022, 14, 24886–24896. [Google Scholar] [CrossRef]
- He, S.; Lehmann, S.; Bahrami, A.; Nielsch, K. Current State-of-the-Art in the Interface/Surface Modification of Thermoelectric Materials. Adv. Energy Mater. 2021, 11, 2101877. [Google Scholar] [CrossRef]
- Meng, F.; Sun, S.; Ma, J.; Chronister, C.; He, J.; Li, W. Anisotropic thermoelectric figure-of-merit in Mg3Sb2. Mater. Today Phys. 2020, 13, 100217. [Google Scholar] [CrossRef]
- He, S.; Bahrami, A.; Ying, P.; Giebeler, L.; Zhang, X.; Nielsch, K.; He, R. Improving the thermoelectric performance of ZrNi(In,Sb)-based double half-Heusler compounds. J. Mater. Chem. A 2022, 10, 13476–13483. [Google Scholar] [CrossRef]
- Bahrami, A.; Ying, P.; Wolff, U.; Rodríguez, N.P.; Schierning, G.; Nielsch, K.; He, R. Reduced Lattice Thermal Conductivity for Half-Heusler ZrNiSn through Cryogenic Mechanical Alloying. ACS Appl. Mater. Interfaces 2021, 13, 38561–38568. [Google Scholar] [CrossRef] [PubMed]
- Zhang, Y.; Li, S.; Liu, F.; Zhang, C.; Hu, L.; Ao, W.; Li, Y.; Li, J.; Xie, H.; Xiao, Y.; et al. Zr vacancy interfaces: An effective strategy for collaborative optimization of ZrNiSn-based thermoelectric performance. J. Mater. Chem. A 2019, 7, 26053–26061. [Google Scholar] [CrossRef]
- Kim, S.-i.; An, J.; Lee, W.-J.; Kwon, S.H.; Nam, W.H.; Du, N.V.; Oh, J.-M.; Koo, S.-M.; Cho, J.Y.; Shin, W.H. Effect of ZnO and SnO2 Nanolayers at Grain Boundaries on Thermoelectric Properties of Polycrystalline Skutterudites. Nanomaterials 2020, 10, 2270. [Google Scholar] [CrossRef] [PubMed]
- Li, S.; Liu, Y.; Liu, F.; He, D.; He, J.; Luo, J.; Xiao, Y.; Pan, F. Effective atomic interface engineering in Bi2Te2.7Se0.3 thermoelectric material by atomic-layer-deposition approach. Nano Energy 2018, 49, 257–266. [Google Scholar] [CrossRef]
- Lim, S.-S.; Kim, K.-C.; Lee, S.; Park, H.-H.; Baek, S.-H.; Kim, J.-S.; Kim, S.K. Carrier Modulation in Bi2Te3-Based Alloys via Interfacial Doping with Atomic Layer Deposition. Coatings 2020, 10, 572. [Google Scholar] [CrossRef]
- Li, S.; Chu, M.; Zhu, W.; Wang, R.; Wang, Q.; Liu, F.; Gu, M.; Xiao, Y.; Pan, F. Atomic-scale tuning of oxygen-doped Bi2Te2.7Se0.3 to simultaneously enhance the Seebeck coefficient and electrical conductivity. Nanoscale 2020, 12, 1580–1588. [Google Scholar] [CrossRef]
- Chen, J.; Kim, J.; Poudel, N.; Hou, B.; Shen, L.; Shi, H.; Shi, L.; Cronin, S. Enhanced thermoelectric efficiency in topological insulator Bi2Te3 nanoplates via atomic layer deposition-based surface passivation. Appl. Phys. Lett. 2018, 113, 083904. [Google Scholar] [CrossRef]
- He, S.; Bahrami, A.; Zhang, X.; Martínez, I.G.; Lehmann, S.; Nielsch, K. Effect of Powder ALD Interface Modification on the Thermoelectric Performance of Bismuth. Adv. Mater. Technol. 2022, 7, 2100953. [Google Scholar] [CrossRef]
- He, S.; Yang, J.; Bahrami, A.; Zhang, X.; He, R.; Hantusch, M.; Lehmann, S.; Nielsch, K. Surface Modification of Bismuth by ALD of Antimony Oxide for Suppressing Lattice Thermal Conductivity. ACS Appl. Energy Mater. 2022, 5, 4041–4046. [Google Scholar] [CrossRef]
- Shi, X.-L.; Zou, J.; Chen, Z.-G. Advanced Thermoelectric Design: From Materials and Structures to Devices. Chem. Rev. 2020, 120, 7399–7515. [Google Scholar] [CrossRef] [PubMed]
- Bachmann, J.; Zierold, R.; Chong, Y.T.; Hauert, R.; Sturm, C.; Schmidt-Grund, R.; Rheinländer, B.; Grundmann, M.; Gösele, U.; Nielsch, K. A Practical, Self-Catalytic, Atomic Layer Deposition of Silicon Dioxide. Angew. Chem. Int. Ed. 2008, 47, 6177–6179. [Google Scholar] [CrossRef]
- Lujala, V.; Skarp, J.; Tammenmaa, M.; Suntola, T. Atomic layer epitaxy growth of doped zinc oxide thin films from organometals. Appl. Surf. Sci. 1994, 82–83, 34–40. [Google Scholar] [CrossRef]
- Lakomaa, E.L.; Haukka, S.; Suntola, T. Atomic layer growth of TiO2 on silica. Appl. Surf. Sci. 1992, 60–61, 742–748. [Google Scholar] [CrossRef]
- Brostow, W.; Datashvili, T.; Hagg Lobland, H.E.; Hilbig, T.; Su, L.; Vinado, C.; White, J. Bismuth telluride-based thermoelectric materials: Coatings as protection against thermal cycling effects. J. Mater. Res. 2012, 27, 2930–2936. [Google Scholar] [CrossRef]
- Yang, J.; Bahrami, A.; Ding, X.; Zhao, P.; He, S.; Lehmann, S.; Laitinen, M.; Julin, J.; Kivekäs, M.; Sajavaara, T.; et al. Low-Temperature Atomic Layer Deposition of High-k SbOx for Thin Film Transistors. Adv. Electron. Mater. 2022, 8, 2101334. [Google Scholar] [CrossRef]
- Nozariasbmarz, A.; Poudel, B.; Li, W.; Kang, H.B.; Zhu, H.; Priya, S. Bismuth Telluride Thermoelectrics with 8% Module Efficiency for Waste Heat Recovery Application. iScience 2020, 23, 101340. [Google Scholar] [CrossRef]
- He, X.; Zhang, H.; Lin, W.; Wei, R.; Qiu, J.; Zhang, M.; Hu, B. PVP-Assisted Solvothermal Synthesis of High-Yielded Bi2Te3 Hexagonal Nanoplates: Application in Passively Q-Switched Fiber Laser. Sci. Rep. 2015, 5, 15868. [Google Scholar] [CrossRef] [PubMed]
- Jun-feng, H.; Gan-hua, F.; Krishnakumar, V.; Cheng, L.; Jaegermann, W. CdS annealing treatments in various atmospheres and effects on performances of CdTe/CdS solar cells. J. Mater. Sci. Mater. Electron. 2013, 24, 2695–2700. [Google Scholar] [CrossRef]
- Bayesteh, S.; Sailler, S.; Schlörb, H.; He, R.; Schierning, G.; Nielsch, K.; Pérez, N. Mobility-enhanced thermoelectric performance in textured nanograin Bi2Se3, effect on scattering and surface-like transport. Mater. Today Phys. 2022, 24, 100669. [Google Scholar] [CrossRef]
- Pettes, M.T.; Kim, J.; Wu, W.; Bustillo, K.C.; Shi, L. Thermoelectric transport in surface- and antimony-doped bismuth telluride nanoplates. APL Mater. 2016, 4, 104810. [Google Scholar] [CrossRef]






| Sample | Seebeck Coefficient S | Thermal Conductivity κtot | Electrical Conductivity σ | zT |
|---|---|---|---|---|
| [µVK−1] | [Wm−1K−1] | [S/m] | ||
| Uncoated | −52.6 | 2.4 | 3.28 × 104 | 0.01 |
| 200 cycles SbOx | −59.7 | 2.0 | 4.35 × 104 | 0.02 |
| 300 cycles SbOx | −62.5 | 1.8 | 8.70 × 104 | 0.06 |
| 500 cycles SbOx | −64.8 | 1.8 | 1.73 × 105 | 0.12 |
Disclaimer/Publisher’s Note: The statements, opinions and data contained in all publications are solely those of the individual author(s) and contributor(s) and not of MDPI and/or the editor(s). MDPI and/or the editor(s) disclaim responsibility for any injury to people or property resulting from any ideas, methods, instructions or products referred to in the content. |
© 2023 by the authors. Licensee MDPI, Basel, Switzerland. This article is an open access article distributed under the terms and conditions of the Creative Commons Attribution (CC BY) license (https://creativecommons.org/licenses/by/4.0/).
Share and Cite
Lehmann, S.; Mitzscherling, F.; He, S.; Yang, J.; Hantusch, M.; Nielsch, K.; Bahrami, A. Water-Free SbOx ALD Process for Coating Bi2Te3 Particles. Coatings 2023, 13, 641. https://doi.org/10.3390/coatings13030641
Lehmann S, Mitzscherling F, He S, Yang J, Hantusch M, Nielsch K, Bahrami A. Water-Free SbOx ALD Process for Coating Bi2Te3 Particles. Coatings. 2023; 13(3):641. https://doi.org/10.3390/coatings13030641
Chicago/Turabian StyleLehmann, Sebastian, Fanny Mitzscherling, Shiyang He, Jun Yang, Martin Hantusch, Kornelius Nielsch, and Amin Bahrami. 2023. "Water-Free SbOx ALD Process for Coating Bi2Te3 Particles" Coatings 13, no. 3: 641. https://doi.org/10.3390/coatings13030641
APA StyleLehmann, S., Mitzscherling, F., He, S., Yang, J., Hantusch, M., Nielsch, K., & Bahrami, A. (2023). Water-Free SbOx ALD Process for Coating Bi2Te3 Particles. Coatings, 13(3), 641. https://doi.org/10.3390/coatings13030641

