Surface Modification of Carbon Nanotubes in Silicone–Polyurethane for Improved Mechanical and Anticorrosion Properties
Abstract
1. Introduction
2. Experimental Section
2.1. Materials
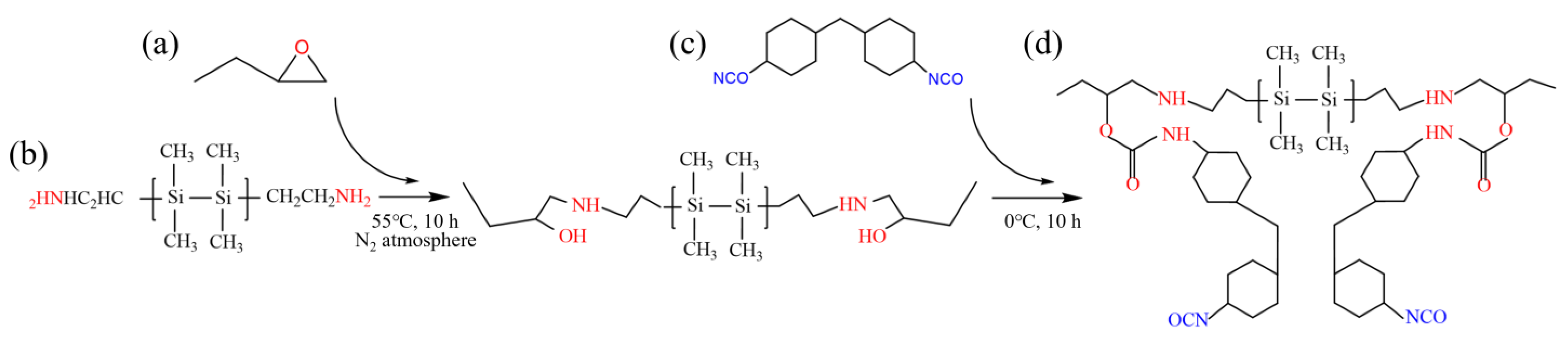
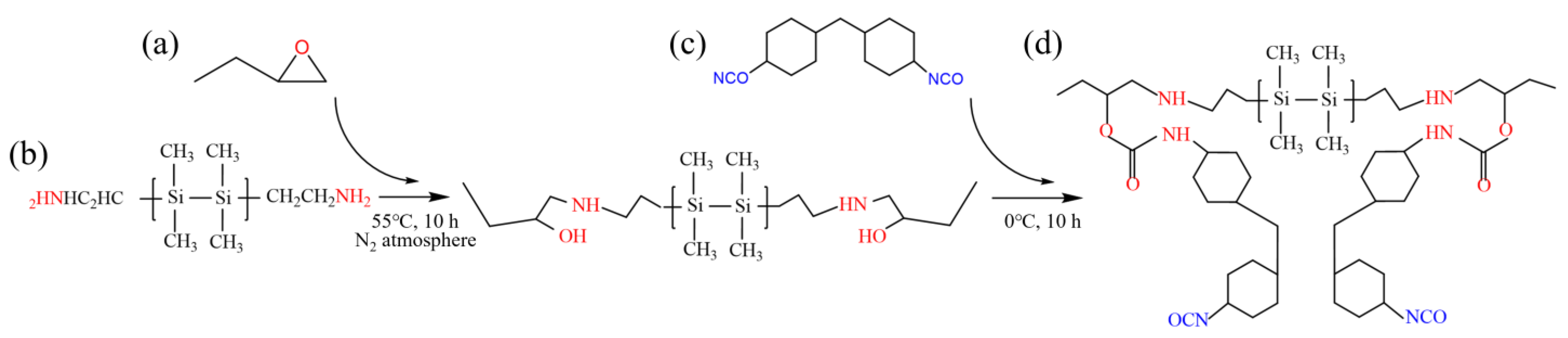
2.2. Preparation of SPU
- (1)
- Preparation of polyols
- (2)
- Synthesis of prepolymers
- (3)
- Synthesis of SPU
2.3. Modified CNT in SPU Film
- (1)
- Preparation of CNTMO-SPU
- (2)
- Preparation of CNTNH2-SPU
- (3)
- Preparation of CNTEP-SPU
- (4)
- Preparation of CNTNCO-SPU
2.4. Characterization
2.4.1. Structure Characterization
2.4.2. Mechanical Properties of Modified CNT-SPU Films
2.4.3. Water and Chemical Resistance Testing of Modified CNT-SPU Films
2.4.4. Anticorrosion Performance
3. Results and Discussion
3.1. Structure of Modified CNT
3.2. Mechanical Properties of SPU Films with Modified CNT
3.3. Anticorrosion Performance of SPU Films with Modified CNT
4. Conclusions
Author Contributions
Funding
Institutional Review Board Statement
Informed Consent Statement
Data Availability Statement
Acknowledgments
Conflicts of Interest
References
- Ristic, I.S.; Budinski-Simendic, J.; Krakovsky, I.; Valentova, H.; Radicevic, R.; Cakic, S.; Nikolic, N. The properties of polyurethane hybrid materials based on castor oil. Mater. Chem. Phys. 2012, 132, 74–81. [Google Scholar] [CrossRef]
- Yilgor, I.; Yilgor, E.; Wilkes, G.L. Critical parameters in designing segmented polyurethanes and their effect on morphology and properties: A comprehensive review. Polymer 2015, 58, A1–A36. [Google Scholar] [CrossRef]
- Rostami, A.; Moosavi, M.I. High-performance thermoplastic polyurethane nanocomposites induced by hybrid application of functionalized graphene and carbon nanotubes. J. Appl. Polym. Sci. 2020, 137, 48520. [Google Scholar] [CrossRef]
- Valuev, I.L.; Valuev, L.I.; Obydennova, I.V.; Sytov, G.A.; Vanchugova, L.V. Modified polyurethanes as a new type of thromboresistant polymers. Polym. Sci. Ser. A 2010, 52, 824–827. [Google Scholar] [CrossRef]
- Cheng, F.; Fan, Y.; He, N.; Song, Y.; Shen, J.; Gong, Z.; Tong, X.; Yang, X. Castor oil based high transparent UV cured silicone modified polyurethane acrylate coatings with outstanding tensile strength and good chemical resistance. Prog. Org. Coat. 2022, 163, 106624. [Google Scholar] [CrossRef]
- Galhenage, T.P.; Hoffman, D.; Silbert, S.D.; Stafslien, S.J.; Daniels, J.; Miljkovic, T.; Finlay, J.A.; Franco, S.C.; Clare, A.S.; Nedved, B.T.; et al. Fouling-release performance of silicone oil-modified siloxane-polyurethane coatings. ACS Appl. Mater. Interfaces 2016, 8, 29025–29036. [Google Scholar] [CrossRef] [PubMed]
- Yin, C.; Okamoto, R.; Kondo, M.; Tanaka, T.; Hattori, H.; Tanaka, M.; Sato, H.; Iino, S.; Koshiro, Y. Electrospinning of block and graft type silicone modified polyurethane nanofibers. Nanomaterials 2019, 9, 34. [Google Scholar] [CrossRef]
- Zadeh, Z.E.; Solouk, A.; Shafieian, M.; Nazarpak, M.H. Electrospun polyurethane/carbon nanotube composites with different amounts of carbon nanotubes and almost the same fiber diameter for biomedical applications. Mater. Sci. Eng. C 2021, 118, 111403. [Google Scholar] [CrossRef]
- Alberto, M.; Iliut, M.; Pitchan, M.K.; Behnsen, J.; Vijayaraghavan, A. High-grip and hard-wearing graphene reinforced polyurethane coatings. Compos 2021, 213, 108727. [Google Scholar] [CrossRef]
- Charpentier, P.A.; Burgess, K.; Wang, L.; Chowdhury, R.R.; Lotus, A.F.; Moula, G. Nano-TiO2/polyurethane composites for antibacterial and self-cleaning coatings. Nanotechnology 2012, 23, 425606. [Google Scholar] [CrossRef]
- Zou, B.; Huang, C.Z.; Wang, J.; Liu, B.Q. Effect of nano-scale TiN on the mechanical properties and microstructure of Si3N4 based ceramic tool materials. Adv. Mach. Manuf. Technol. Viii 2006, 315–316, 154–158. [Google Scholar] [CrossRef]
- Guerrero-Martinez, A.; Perez-Juste, J.; Liz-Marzan, L.M. Recent progress on silica coating of nanoparticles and related nanomaterials. Adv. Mater. 2010, 22, 1182–1195. [Google Scholar] [CrossRef]
- Gonzalez-Carrero, S.; Galian, R.E.; Perez-Prieto, J. Organometal halide perovskites: Bulk low-dimension materials and nanoparticles. Part. Part. Syst. Char. 2015, 32, 709–720. [Google Scholar] [CrossRef]
- He, Y.; Chen, C.; Zhong, F.; Chen, H.; Qing, D. Synthesis and properties of iron oxide coated carbon nanotubes hybrid materials and their use in epoxy coatings. Polym. Adv. Technol. 2015, 26, 414–421. [Google Scholar] [CrossRef]
- Bai, Y.; Park, I.S.; Lee, S.J.; Bae, T.S.; Watari, F.; Uo, M.; Lee, M.H. Aqueous dispersion of surfactant-modified multiwalled carbon nanotubes and their application as an antibacterial agent. Carbon 2011, 49, 3663–3671. [Google Scholar] [CrossRef]
- Bhattacharyya, A.; Joshi, M. Functional properties of microwave-absorbent nanocomposite coatings based on thermoplastic polyurethane-based and hybrid carbon-based nanofillers. Polym. Adv. Technol. 2012, 23, 975–983. [Google Scholar] [CrossRef]
- Wang, J.L.; Meng, L.J. Influence of carbon nano-fiber on mechanical property of PALC. Energy Eng. Environ. Eng. 2014, 535, 785–787. [Google Scholar] [CrossRef]
- Wu, Q.; Miao, W.-S.; Zhang, Y.-D.; Gao, H.-J.; Hui, D. Mechanical properties of nanomaterials: A review. Nanotechnology 2020, 9, 259–273. [Google Scholar] [CrossRef]
- Wang, F.; Feng, L.; Lu, M. Mechanical properties of multi-walled carbon nanotube/waterborne polyurethane conductive coatings prepared by electrostatic spraying. Polymers 2019, 11, 714. [Google Scholar] [CrossRef]
- Zhang, C.; Vennerberg, D.; Kessler, M.R. In situ synthesis of biopolyurethane nanocomposites reinforced with modified multiwalled carbon nanotubes. J. Appl. Polym. Sci. 2015, 132, 42515. [Google Scholar] [CrossRef]
- Sainsbury, T.; Fitzmaurice, D. Templated assembly of semiconductor and insulator nanoparticles at the surface of covalently modified multiwalled carbon nanotubes. Chem. Mat. 2004, 16, 3780–3790. [Google Scholar] [CrossRef]
- Xiao, Y.-K.; Ji, W.-F.; Chang, K.-S.; Hsu, K.-T.; Yeh, J.-M.; Liu, W.-R. Sandwich-structured rGO/PVDF/PU multilayer coatings for anti-corrosion application. RSC Adv. 2017, 7, 33829–33836. [Google Scholar] [CrossRef]
- He, Y.; Ming, Y.; Li, W.; Li, Y.F.; Wu, M.Q.; Song, J.Z.; Li, X.J.; Liu, H. Highly stable and flexible pressure sensors with modified multi-walled carbon nanotube/polymer composites for human monitoring. Sensors 2018, 18, 1338. [Google Scholar] [CrossRef] [PubMed]
- Zeng, W.; Liu, F.; He, J. Physicochemical properties of Bis-GMA/TEGDMA dental resin reinforced with silanized multi-walled carbon nanotubes. Silicon 2019, 11, 1345–1353. [Google Scholar] [CrossRef]
- Rastogi, R.; Kaushal, R.; Tripathi, S.K.; Sharma, A.L.; Kaur, I.; Bharadwaj, L.M. Comparative study of carbon nanotube dispersion using surfactants. J. Colloid. Interf. Sci. 2008, 328, 421–428. [Google Scholar] [CrossRef] [PubMed]
- Aguiar, V.O.; Pita, V.J.R.R.; Marques, M.D.F.V. Nanocomposites of ultrahigh molar mass polyethylene and modified carbon nanotubes. J. Appl. Polym. Sci. 2019, 136, 47459. [Google Scholar] [CrossRef]
- Meng, H.; Yan, T.; Yu, J.; Jiao, F. Super-hydrophobic and super-lipophilic functionalized graphene oxide/polyurethane sponge applied for oil/water separation. Chin. J. Chem. Eng. 2018, 26, 957–963. [Google Scholar] [CrossRef]
- Haghdadeh, P.; Ghaffari, M.; Ramezanzadeh, B.; Bahlakeh, G.; Saeb, M.R. Polyurethane coatings reinforced with 3-(triethoxysilyl)propyl isocyanate functionalized graphene oxide nanosheets: Mechanical and anti-corrosion properties. Prog. Org. Coat. 2019, 136, 105243. [Google Scholar] [CrossRef]
- Li, S.; Du, X.; Hou, C.; Hao, X.; Jia, J.; Guan, T.; Yi, T.; Ma, G. One-pot two-step perfluoroalkylsilane functionalization of multi-walled carbon nanotubes for polyurethane-based composites. Compos. Sci. Technol. 2017, 143, 46–55. [Google Scholar] [CrossRef]
- Taraghi, I.; Paszkiewicz, S.; Fereidoon, A.; Szymczyk, A.; Stanik, R.; Gude, M.; Linares, A.; Ezquerra, T.A.; Piesowicz, E.; Wilpiszewska, K.; et al. Thermally and electrically conducting polycarbonate/elastomer blends combined with multiwalled carbon nanotubes. J. Thermoplast. Compos. 2021, 34, 1488–1503. [Google Scholar] [CrossRef]
- Navidfar, A.; Sancak, A.; Yildirim, K.B.; Trabzon, L. A study on polyurethane hybrid nanocomposite foams reinforced with multiwalled carbon nanotubes and silica nanoparticles. Polym. Plast. Technol. Eng. 2018, 57, 1463–1473. [Google Scholar] [CrossRef]
- Wang, A.; Wang, Y.; Yu, W.; Huang, Z.; Fang, Y.; Long, L.; Song, Y.; Cifuentes, M.P.; Humphrey, M.G.; Zhang, L.; et al. TiO2-multi-walled carbon nanotube nanocomposites: Hydrothermal synthesis and temporally-dependent optical properties. RSC Adv. 2016, 6, 20120–20127. [Google Scholar] [CrossRef]
- Ţucureanu, V.; Matei, A.; Avram, A.M. FTIR spectroscopy for carbon family study. Crit. Rev. Anal. Chem. 2016, 46, 502–520. [Google Scholar] [CrossRef] [PubMed]
- Li, X.; Yang, J.; Wang, J.; Chang, X.; Xu, J.; Wu, Z. A stable super-amphiphilic surface created from superhydrophobic silica/epoxy coating by low-temperature plasma-treatment. Surf. Eng. 2021, 37, 1282–1289. [Google Scholar] [CrossRef]
- Yang, J.; Zhang, J.; Zou, B.; Zhang, H.; Wang, J.; Schubert, U.; Rui, Y. Black SnO2–TiO2 nanocomposites with high dispersion for photocatalytic and photovoltalic applications. ACS Appl. Nano Mater. 2020, 3, 4265–4273. [Google Scholar] [CrossRef]
- Zhang, D.; Shi, L.; Fang, J.; Li, X.; Dai, K. Preparation and modification of carbon nanotubes. Mater. Lett 2005, 59, 4044–4047. [Google Scholar] [CrossRef]
- Deng, H.; Zhang, H. In situ synthesis and hydrothermal crystallization of nanoanatase TiO2–SiO2 coating on aramid fabric (HTiSiAF) for UV protection. Microsc. Res. Tech. 2015, 78, 918–925. [Google Scholar] [CrossRef]
- Ren, C.; Qiu, W.; Zhang, H.; He, Z.; Chen, Y. Degradation of benzene on TiO2/SiO2/Bi2O3 photocatalysts under UV and visible light. J. Mol. Catal. A Chem. 2015, 398, 215–222. [Google Scholar] [CrossRef]
- Zhang, M.; Lin, Z.; Huang, Q.; Zhu, Y.; Hu, H.; Chen, X. Green synthesis of submicron-sized Ti-rich MWW zeolite powders via a novel mechanochemical dry gel conversion in mixed steam environment. Adv. Powder Technol. 2020, 31, 2025–2034. [Google Scholar] [CrossRef]
- Wang, G.; Wen, S.; Qian, S.; Wang, J.; Wang, C.; Chen, Y. Synthesis of novel nano hyperbranched polymer resin and its corrosion resistance in coatings. Prog. Org. Coat. 2020, 140, 105496. [Google Scholar] [CrossRef]
- Qian, Y.; Dong, F.; Guo, L.; Xu, X.; Liu, H. Terpene derivative-containing silicone two-component waterborne polyurethane for coatings. Prog. Org. Coat. 2021, 153, 106137. [Google Scholar] [CrossRef]
- Tijing, L.D.; Park, C.-H.; Kang, S.-J.; Amarjargal, A.; Kim, T.-H.; Pant, H.R.; Kim, H.J.; Lee, D.H.; Kim, C.S. Improved mechanical properties of solution-cast silicone film reinforced with electrospun polyurethane nanofiber containing carbon nanotubes. Appl. Surf. Sci 2013, 264, 453–458. [Google Scholar] [CrossRef]
- Kurańska, M.; Aleksander, P.; Mikelis, K.; Ugis, C. Porous polyurethane composites based on bio-components. Compos. Sci. Technol. 2013, 75, 70–76. [Google Scholar] [CrossRef]
- Zhang, X.J.; Cai, Y.Q.; Zhang, X.W.; Aziz, T.; Fan, H.; Bittencourt, C. Synthesis and characterization of eugenol-based silicone modified waterborne polyurethane with excellent properties. J. Appl. Polym. Sci. 2021, 138, 47562. [Google Scholar] [CrossRef]
- Xu, S.; Xie, L.; Yu, X.; Xiong, Y.; Tang, H. Synthesis and characterization of phenyl polysiloxane modified polyurea/polyurethanes. J. Polym. Sci. Part A Polym. Chem. 2015, 53, 1794–1805. [Google Scholar] [CrossRef]
- Cataldi, P.; Profaizer, M.; Bayer, I.S. Preventing water-induced mechanical deterioration of cardboard by a sequential polymer treatment. Ind. Eng. Chem. Res. 2019, 58, 6456–6465. [Google Scholar] [CrossRef]
- Guo, L.; Jing, L.Z.; Liu, Y.; Zou, B.J.; Hua, S.C.; Zhang, J.P.; Yu, D.Y.; Wang, S.C.; Wang, S.R.; Wang, L.D.; et al. Enhanced Dispersion of Graphene in Epoxy-Acrylic Waterborne Anticorrosion Coating: Bifunctional Ligands Linking Graphene to SiO2. Int. J. Electrochem. Sci. 2018, 13, 11867–11881. [Google Scholar] [CrossRef]
- Zou, B.; Chang, X.; Yang, J.; Wang, S.; Xu, J.; Wang, S.; Samukawa, S.; Wang, L. Plasma treated h-BN nanoflakes as barriers to enhance anticorrosion of acrylic coating on steel. Prog. Org. Coat. 2019, 133, 139–144. [Google Scholar] [CrossRef]
- Li, H.; Wang, J.; Yang, J.; Zhang, J.; Ding, H. Large CeO2 nanoflakes modified by graphene as barriers in waterborne acrylic coatings and the improved anticorrosion performance. Prog. Org. Coat. 2020, 143, 105607. [Google Scholar] [CrossRef]
- Shen, Y.F.; Yang, J.X.; Wang, S.C.; Jing, L.Z.; Zheng, H.; Du, Y.Y.; Zou, B.J.; Lei, X.Z.; Xu, J.L. Size Influences of SiO2-graphene Barrier on the Corrosion Resistance of Epoxy-Acrylic Waterborne Coating. Int. J. Electrochem. Sci. 2021, 16, 151018. [Google Scholar] [CrossRef]
- Hsu, Y.W.; Wu, C.C.; Wu, S.M.; Su, C.C. Synthesis and Properties of Carbon Nanotube-Grafted Silica Nanoarchitecture-Reinforced Poly (Lactic Acid). Materials 2017, 10, 829. [Google Scholar] [CrossRef] [PubMed]
- Liao, Z.; Zhang, T.; Qiao, S.; Zhang, L. Preparation and Electrochemical Properties of Graphene/Epoxy Resin Composite Coating. IOP Conf. Ser. Earth Environ. Sci. 2017, 94, 012072. [Google Scholar] [CrossRef]
- Xu, H.Y.; Li, B.; Han, X.; Wang, Y.; Zhang, X.R.; Komarneni, S. Synergic enhancement of the anticorrosion properties of an epoxy coating by compositing with both graphene and halloysite nanotubes. J. Appl. Polym. Sci. 2019, 136, 47562. [Google Scholar] [CrossRef]
- Damej, M.; Hsissou, R.; Berisha, A.; Azgaou, K.; Sadiku, M.; Benmessaoud, M.; Labjar, N.; El hajjaji, S. New epoxy resin as a corrosion inhibitor for the protection of carbon steel C38 in 1M HCl. experimental and theoretical studies (DFT, MC, and MD). J. Mol. Struct. 2022, 1254, 132425. [Google Scholar] [CrossRef]
- Ji, R.; Ma, M.; He, Y.; Liu, C.; Fang, T.; Zhang, Z.; Wang, Y.; He, Y.; Wu, J. Improved corrosion resistance of Al2O3 ceramic coatings on AZ31 magnesium alloy fabricated through cathode plasma electrolytic deposition combined with surface pore-sealing treatment. Ceram. Int. 2018, 44, 15192–15199. [Google Scholar] [CrossRef]











| Wavenumber (cm−1) | Functional Group | Characteristic Vibration Mode for |
|---|---|---|
| 3600–3200 | -OH | surface carboxylic, -OH from absorbed H2O in the air |
| 3400 | -NH2 | N-CNT, NH or NH2 |
| 3000–2800 | CH2/CH3 | from alkyl chain |
| 2350 | CO2 | CO2 from the air |
| 2250 | -NCO | isocyanate (-N=C=O) |
| 1640 | C=O | the skeletal CNT and carboxyl or ketone groups |
| 1580–1530 | C=C | hexagonal structure on the pristine CNTs |
| 1210 | Ti-O-C | from tetrabutyl titanate |
| 970–1100 | Si-O-Si | SiO2 and silanes |
| 870 | Si-OH | silanes |
| 1120 | C-N | from KH540 |
| 500–800 | Ti-O-Ti | TiO2 |
| 663 | C-S | CNT |
| Sample | Tensile Strength (MPa) | Elongation Break (%) | Water Absorption (%) | Reference |
|---|---|---|---|---|
| CNTMO-SPU | 3.45 | 162 | 0.360 ± 0.053 | This work |
| WPU-Si | 3.47 ± 0.52 | 104.47 ± 9.21 | 12.58 ± 0.81 | Qian, Y. et al. [41] |
| 0.1 wt% CNT/PU–silicone composite | 12.7 ± 2 | 710 ± 40 | / | Tijing, L. D. et al. [42] |
| P1-60 | / | / | 0.90 | Kurańska, M. et al. [43] |
| WPU-3 | 22.4 ± 0.5 | 781.1 ± 13 | 7.6 | Zhang, X. J. et al. [44] |
| SPU-4 | 7.0 | 366.5 | 0.50 | Xu, S. et al. [45] |
| MD | 72.5 ± 3.5 | 3.6 ± 0.3 | / | Cataldi, P. et al. [46] |
| Sample | Ecorr (V) | icorr (A/cm2) | ba (mV/decade) | −bc (mV/decade) | μ (g∙m−2∙h−1) |
|---|---|---|---|---|---|
| CNT-SPU coating | –0.297 | 1.599 × 10−5 | 3.877 | 2.681 | 1.66 × 10−1 |
| CNTMO-SPU coating | –0.672 | 9.246 × 10−9 | 5.046 | 4.882 | 9.62 × 10−5 |
| 5% coating [52] | –0.083 | 1.78 × 10−8 | |||
| H05G08EP [53] | –0.77 | 5.6 × 10−7 | |||
| 1 mM TTA [54] | –0.427 | 7.28 × 10−7 | 58.6 | –77.8 | |
| CPED/epoxy resin-treated [55] | –1.27 | 6.0 × 10−5 | |||
| EA+500nmSiO2+P+Gr [50] | –0.532 | 7.1 × 10−9 | 631 | 111 | 7.24 × 10−5 |
Disclaimer/Publisher’s Note: The statements, opinions and data contained in all publications are solely those of the individual author(s) and contributor(s) and not of MDPI and/or the editor(s). MDPI and/or the editor(s) disclaim responsibility for any injury to people or property resulting from any ideas, methods, instructions or products referred to in the content. |
© 2023 by the authors. Licensee MDPI, Basel, Switzerland. This article is an open access article distributed under the terms and conditions of the Creative Commons Attribution (CC BY) license (https://creativecommons.org/licenses/by/4.0/).
Share and Cite
Hao, G.; Li, X.; Wang, S.; Wang, S.; Ryu, M.; Yang, J. Surface Modification of Carbon Nanotubes in Silicone–Polyurethane for Improved Mechanical and Anticorrosion Properties. Coatings 2023, 13, 634. https://doi.org/10.3390/coatings13030634
Hao G, Li X, Wang S, Wang S, Ryu M, Yang J. Surface Modification of Carbon Nanotubes in Silicone–Polyurethane for Improved Mechanical and Anticorrosion Properties. Coatings. 2023; 13(3):634. https://doi.org/10.3390/coatings13030634
Chicago/Turabian StyleHao, Guoqiang, Xia Li, Shuchuan Wang, Shirong Wang, Moonhee Ryu, and Jingxia Yang. 2023. "Surface Modification of Carbon Nanotubes in Silicone–Polyurethane for Improved Mechanical and Anticorrosion Properties" Coatings 13, no. 3: 634. https://doi.org/10.3390/coatings13030634
APA StyleHao, G., Li, X., Wang, S., Wang, S., Ryu, M., & Yang, J. (2023). Surface Modification of Carbon Nanotubes in Silicone–Polyurethane for Improved Mechanical and Anticorrosion Properties. Coatings, 13(3), 634. https://doi.org/10.3390/coatings13030634

