Influence Mechanism of (NH4)2SO4 on the Composition and Structure of Fe-Co Alloys
Abstract
1. Introduction
2. Experiment
2.1. Preparation of Fe-Co Alloys
2.2. Electrochemical Characterization
3. Results and Discussion
3.1. Electrodeposition Process of Fe-Co films
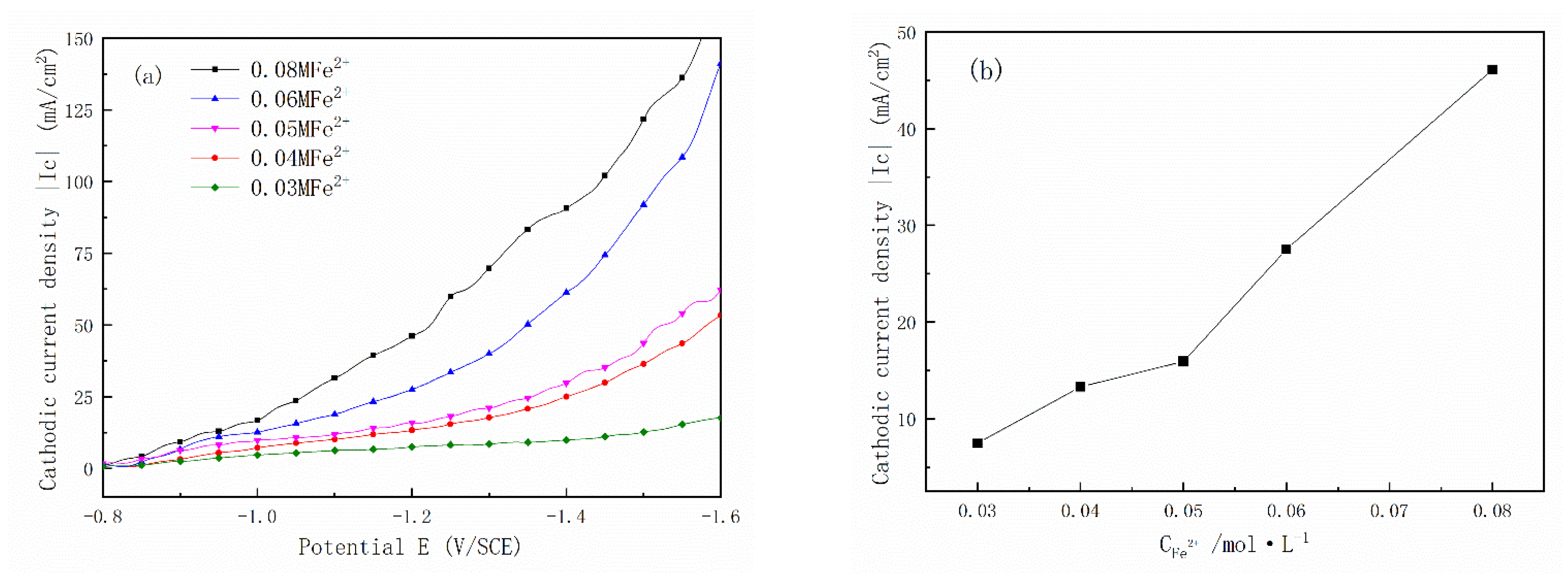
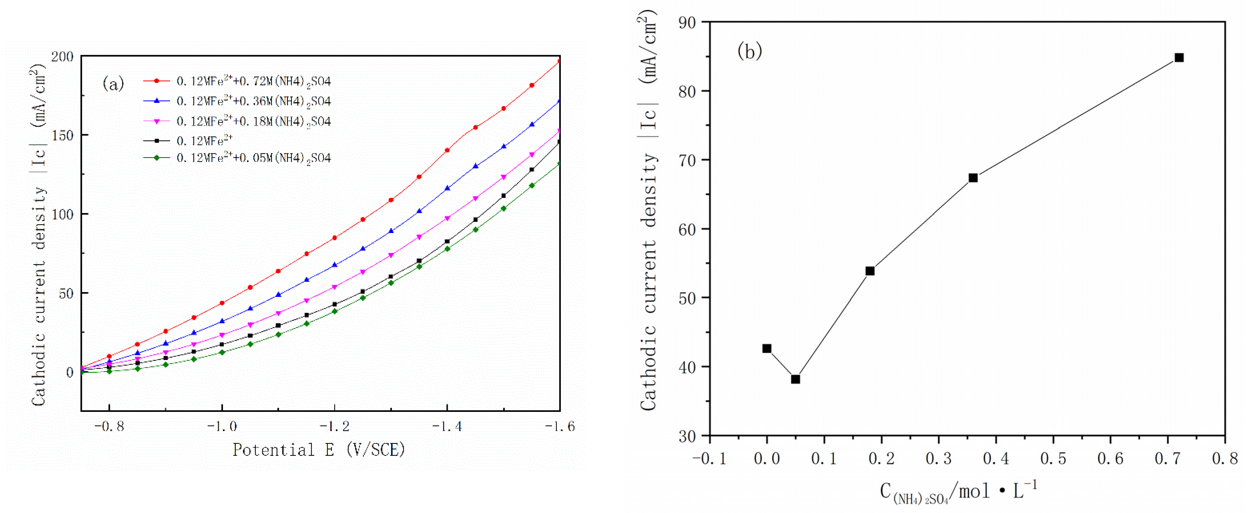
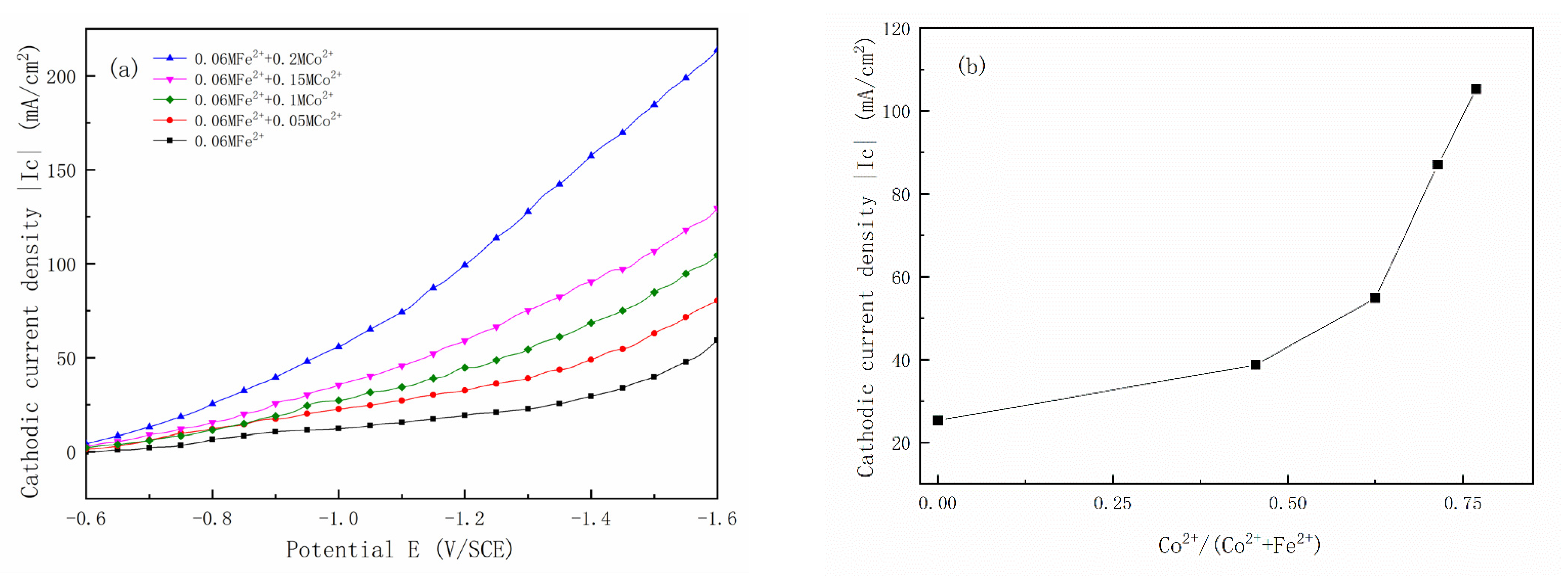
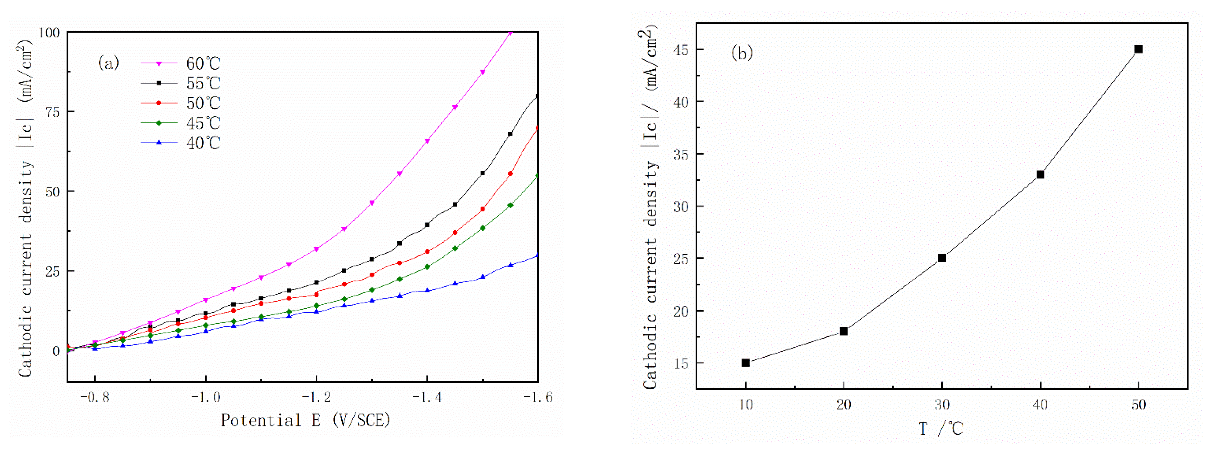
3.1.1. Analyses by Cathodic Polarization of Fe2+
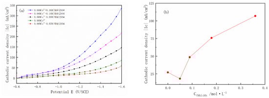
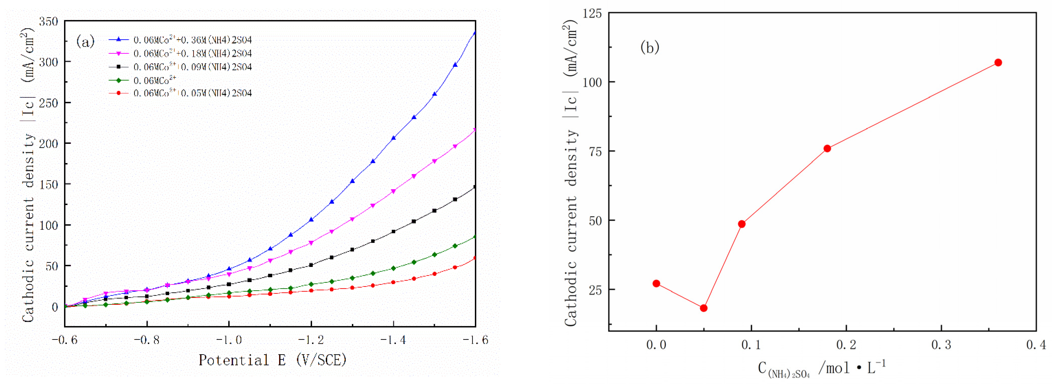
3.1.2. Analyses by Cathodic Polarization of Co2+
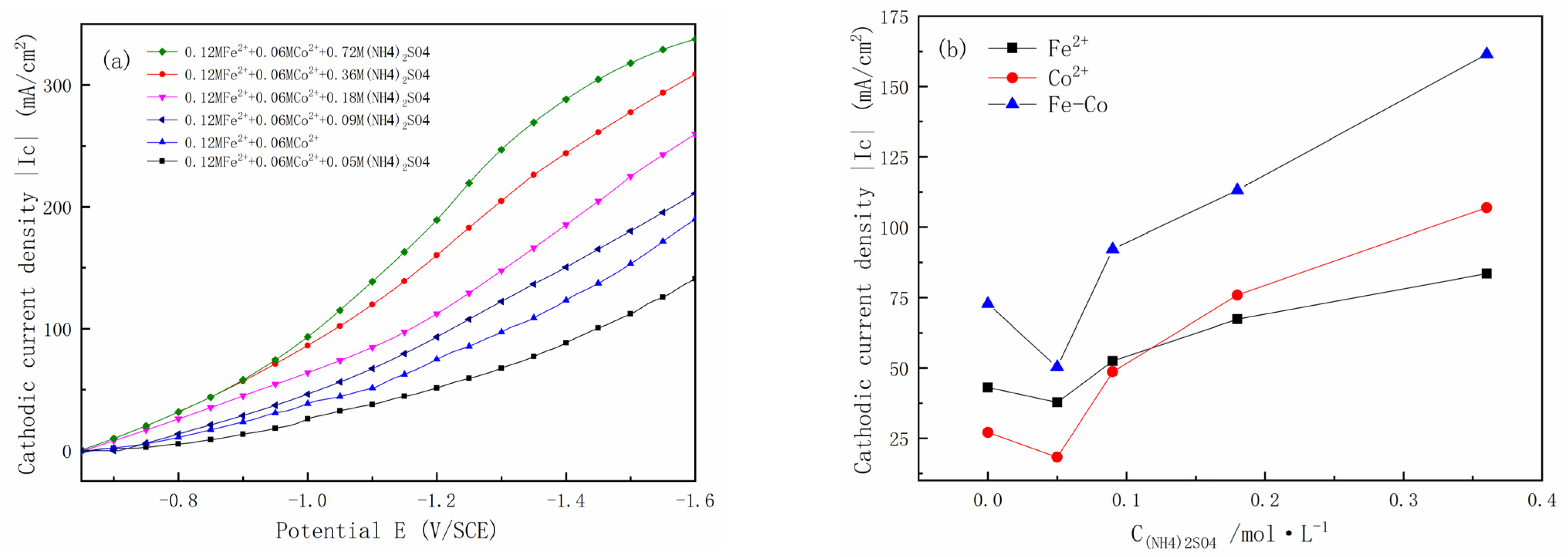
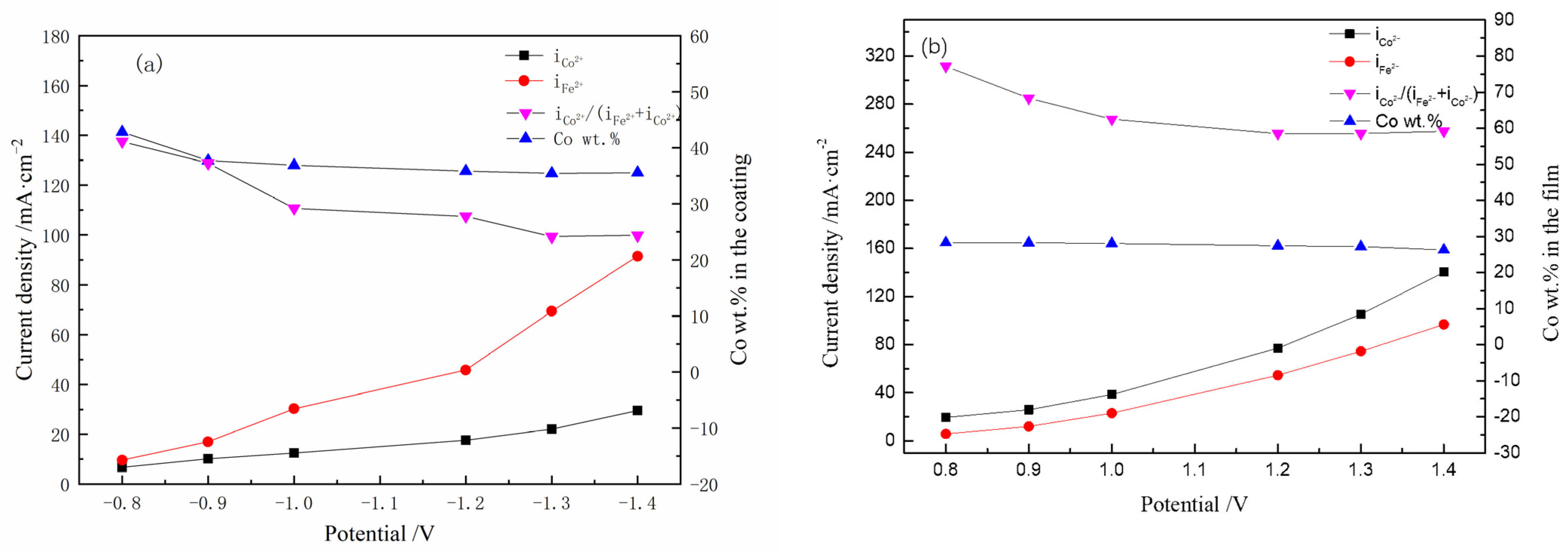
3.1.3. Analyses by Cathodic Polarization of Fe2+ and Co2+
3.2. Analyses of the Composition
3.3. Structure Analysis
4. Conclusions
Author Contributions
Funding
Institutional Review Board Statement
Informed Consent Statement
Data Availability Statement
Acknowledgments
Conflicts of Interest
References
- Osaka, T. Electrodeposition of highly functional thin films for magnetic recording devices of the next century. Electrochimica Acta 2000, 45, 3311–3321. [Google Scholar] [CrossRef]
- Alper, M.; Kockar, H.; Sahin, T.; Karaagac, O. Properties of Co–Fe Films: Dependence of Cathode Potentials. IEEE Trans. Magn. 2010, 46, 390–392. [Google Scholar] [CrossRef]
- Han, M.; Lu, H.; Deng, L. Control of gigahertz permeability and permittivity dispersion by means of nano crystallization in Fe-Co based nanocrystalline alloy. Appl. Phys. Lett. 2010, 97, 192507. [Google Scholar] [CrossRef]
- Cheng, Y.; Ji, G.; Li, Z.; Lv, H.; Liu, W.; Zhao, Y.; Cao, J.; Du, Y. Facile synthesis of FeCo alloys with excellent microwave absorption in the whole Ku-band: Effect of Fe/Co atomic ratio. J. Alloys Compd. 2017, 704, 289–295. [Google Scholar] [CrossRef]
- Rubel, M.H.; Hossain, M.K. Crystal Structures and Properties of Nanomagnetic Materials. Fundam. Low Dimens. Magn. 2017, 5, 32. [Google Scholar]
- Khan, S.; Hossain, M.K. Classification and properties of nanoparticles. In Nanoparticle-Based Polymer Composites; Woodhead Publishing: Sawston, UK, 2022; pp. 15–54. [Google Scholar]
- Amsarajan, S.; Jagirdar, B.R. Air-stable magnetic cobalt-iron (Co7Fe3) bimetallic alloy nanostructures via co-digestive ripening of cobalt and iron colloids. J. Alloys Compd. 2020, 816, 152632. [Google Scholar] [CrossRef]
- Yanai, T.; Shiraishi, K.; Watanabe, Y.; Ohgai, T.; Nakano, M.; Suzuki, K.; Fukunaga, H. Magnetic Fe-Co films electroplated in a deep-eutectic-solvent-based plating bath. J. Appl. Phys. 2015, 117, 17A925. [Google Scholar] [CrossRef]
- Zong, B.; Wu, Y.; Ho, P.; Phuoc, N.N.; Yang, Y.; Guo, Z.; Ang, S.Z.; Yang, Z.; Li, Z. Growth Method to Improve the Resonant Frequency and Magnetic Permeability of FeCo Thin Films. IEEE Magn. Lett. 2015, 6, 1–4. [Google Scholar] [CrossRef]
- Kadyrzhanov, K.K.; Shlimas, D.I.; Kozlovskiy, A.L.; Zdorovets, M.V. Research of the shielding effect and radiation resistance of composite CuBi2O4 films as well as their practical applications. J. Mater. Sci. Mater. Electron. 2020, 31, 11729–11740. [Google Scholar] [CrossRef]
- Sharko, S.A.; Serokurova, A.I.; Novitskii, N.N.; Ketsko, V.A.; Smirnova, M.N.; Almuqrin, A.H.; Sayyed, M.I.; Trukhanov, S.V.; Trukhanov, A.V. A New Approach to the Formation of Nanosized Gold and Beryllium Films by Ion-Beam Sputtering Deposition. Nanomaterials 2022, 12, 470. [Google Scholar] [CrossRef]
- Bautin, V.A.; Kholodkov, N.S.; Seferyan, A.G.; Usov, N.A. Chemically Synthesized FeCo Powder for Advanced Applications. J. Supercond. Nov. Magn. 2018, 31, 3371–3378. [Google Scholar] [CrossRef]
- Rizal, C.; Kolthammer, J.; Pokharel, R.K.; Choi, B.C. Magnetic properties of nanostructured Fe-Co alloys. J. Appl. Phys. 2013, 113, 113905. [Google Scholar] [CrossRef]
- Sun, K.; Wang, K.; Yu, T.; Liu, X.; Wang, G.; Jiang, L.; Bu, Y.; Xie, G. High-performance Fe Co P alloy catalysts by electroless deposition for overall water splitting. Int. J. Hydrogen Energy 2019, 44, 1328–1335. [Google Scholar] [CrossRef]
- Liu, X.; Morisako, A. Magnetic properties of Fe-Co films prepared by co-sputtering and hydrogenous gas reactive sputtering. IEEE Trans. Magn. 2008, 44, 3910–3912. [Google Scholar]
- Reichel, L.; Giannopoulos, G.; Kauffmann-Weiss, S.; Hoffmann, M.; Pohl, D.; Edström, A.; Oswald, S.; Niarchos, D.; Rusz, J.; Schultz, L. Increased magneto crystalline anisotropy in epitaxial Fe-Co-C thin films with spontaneous strain. J. Appl. Phys. 2014, 116, 213901. [Google Scholar] [CrossRef]
- Wu, Y.; Liu, T.; Ji, B.; Wang, W. Mossbauer study of disordering in thin sputtered Fe-Co-SiO2 and Fe-Co films. J. Alloys Compd. 2012, 536, 33–37. [Google Scholar]
- Mehrizi, S.; Sohi, M.H. Electrical resistivity and magnetic properties of electrodeposited nanocrystalline CoFe thin films. J. Mater. Sci. Mater. Electron. 2015, 26, 7381–7389. [Google Scholar] [CrossRef]
- Kozlovskiy, A.L.; Zdorovets, M.V. Synthesis, structural, strength and corrosion properties of thin films of the type CuX (X = Bi, Mg, Ni). J. Mater. Sci. Mater. Electron. 2019, 30, 11819–11832. [Google Scholar] [CrossRef]
- Zubar, T.I.; Usovich, T.I.; Tishkevich, D.I.; Kanafyev, O.D.; Fedkin, V.A.; Kotelnikova, A.N.; Panasyuk, M.I.; Kurochka, A.S.; Nuriev, A.V.; Idris, A.M.; et al. Features of Galvanostatic Electrodeposition of NiFe Films with Composition Gradient: Influence of Substrate Characteristics. Nanomaterials 2022, 12, 2926. [Google Scholar] [CrossRef]
- Denisova, E.A.; Chekanova, L.A.; Komogortsev, S.V.; Nemtsev, I.V.; Iskhakov, R.S.; Dolgopolova, M.V. Iron-Cobalt Coatings Produced Using an Eco-friendly Route. J. Supercond. Nov. Magn. 2021, 34, 2681–2688. [Google Scholar] [CrossRef]
- Chen, Z.; Yang, X.; Fu, Y. Influence of sodium propargyl sulfonate on electrodeposition of Fe–Co alloy. J. Alloys Compd. 2020, 826, 154167. [Google Scholar] [CrossRef]
- Zhou, D.; Zhou, M.; Zhu, M.; Yang, X.; Yue, M. Electrodeposition and magnetic properties of FeCo alloy films. J. Appl. Phys. 2012, 111, 07A319. [Google Scholar] [CrossRef]
- Su, H.L.; Wang, R.L.; Chen, Y.Q. AC electrodeposition frequency dependence of composition and magnetic properties of Fe-Co nanowire arrays. J. Univ. Sci. Technol. China 2009, 39, 699–705. [Google Scholar]
- Pourkhayyat, S.; Manafi, S.; Yahyaei, B. Synthesis of nanocrystalline Fe-Co and Fe-Co-TiO2 ferro magnetic films obtained by pulse electrodeposition. J. Mater. Rese. 2021, 36, 397–405. [Google Scholar] [CrossRef]
- Bento, F.R.; Mascaro, L.H. Analysis of the initial stages of electro crystallization of Fe, Co, and Fe-Co alloys in chloride solutions. J. Braz. Chem. Soc. 2002, 13, 502–509. [Google Scholar] [CrossRef]
- Lin, X.H.; Ji, G.B.; Du, Y.W. Ultrafine Fe-Co nanowires: Fabrication and heat treatment structure and magnetic properties. Soli. Stat. Comm. 2011, 151, 1708–1711. [Google Scholar] [CrossRef]
- Yang, X.; Gong, L.Q.; Li, F.S. Magnetic properties of Fe-Co films with tunable in-plane uniaxial anisotropy prepared by electrodeposition. Mater. Sci. Eng. Appl. 2011, 160, 951–956. [Google Scholar]
- Takata, F.; Sumodjo, P. Electrodeposition of magnetic CoPd thin films: Influence of plating condition. Electrochim. Acta 2007, 52, 6089–6096. [Google Scholar] [CrossRef]
- Herzer, G. Grain size dependence of coercivity and permeability in nanocrystalline ferromagnets. IEEE Trans. Magn. 1990, 26, 1397–1402. [Google Scholar] [CrossRef]
- Trukhanov, S.V.; Vasiliev, A.; Balagurov, A.M.; Szymczak, H. Magnetic state of the structural separated anion-deficient La0.70Sr0.30MnO2.85 manganite. J. Exp. Theor. Phys. 2011, 113, 819–825. [Google Scholar] [CrossRef]
- Kozlovskiy, A.; Egizbek, K.; Zdorovets, M.V.; Ibragimova, M.; Shumskaya, A.; Rogachev, A.A.; Ignatovich, Z.V.; Kadyrzhanov, K. Evaluation of the Efficiency of Detection and Capture of Manganese in Aqueous Solutions of FeCeOx Nanocomposites Doped with Nb2O5. Sensors 2020, 20, 4851. [Google Scholar] [CrossRef]
- Wu, Y.; Liu, T.; Ji, B.; Wang, W. Effect of (NH4)2SO4 on the co-electrodeposition of Fe-Co alloys. Appl. Surf. Sci. 2022, 612, 155567. [Google Scholar] [CrossRef]
- Chang, C.N.; Cheng, H.B.; Chao, A.C. Applying the Nernst Equation ToSimulate Redox Potential Variationsfor Biological Ni-trification and Denitrification Processes. Nviron. Sci. Technol. 2004, 38, 1807–1812. [Google Scholar] [CrossRef] [PubMed]
- Eliaz, N.; Venkatakrishna, K.; Hegde, A.C. Electroplating and characterization of Zn–Ni, Zn–Co and Zn–Ni–Co alloys. Surf. Coat. Technol. 2010, 205, 1969–1978. [Google Scholar] [CrossRef]














Disclaimer/Publisher’s Note: The statements, opinions and data contained in all publications are solely those of the individual author(s) and contributor(s) and not of MDPI and/or the editor(s). MDPI and/or the editor(s) disclaim responsibility for any injury to people or property resulting from any ideas, methods, instructions or products referred to in the content. |
© 2023 by the authors. Licensee MDPI, Basel, Switzerland. This article is an open access article distributed under the terms and conditions of the Creative Commons Attribution (CC BY) license (https://creativecommons.org/licenses/by/4.0/).
Share and Cite
Wu, Y.; Qiao, X.; Wang, W. Influence Mechanism of (NH4)2SO4 on the Composition and Structure of Fe-Co Alloys. Coatings 2023, 13, 629. https://doi.org/10.3390/coatings13030629
Wu Y, Qiao X, Wang W. Influence Mechanism of (NH4)2SO4 on the Composition and Structure of Fe-Co Alloys. Coatings. 2023; 13(3):629. https://doi.org/10.3390/coatings13030629
Chicago/Turabian StyleWu, Yan, Xue Qiao, and Wei Wang. 2023. "Influence Mechanism of (NH4)2SO4 on the Composition and Structure of Fe-Co Alloys" Coatings 13, no. 3: 629. https://doi.org/10.3390/coatings13030629
APA StyleWu, Y., Qiao, X., & Wang, W. (2023). Influence Mechanism of (NH4)2SO4 on the Composition and Structure of Fe-Co Alloys. Coatings, 13(3), 629. https://doi.org/10.3390/coatings13030629
