Next Article in Journal
The Anti-Snow Behaviour of Icephobic Coatings: Laboratory and In-Field Testing
Next Article in Special Issue
UV-C Irradiation and Essential-Oils-Based Product as Tools to Reduce Biodeteriorates on the Wall Paints of the Archeological Site of Baia (Italy)
Previous Article in Journal
Using Applied Electrochemistry to Obtain Nanoporous TiO2 Films on Ti6Al4V Implant Alloys and Their Preclinical In Vitro Characterization in Biological Solutions
Previous Article in Special Issue
Heritage Conservation and Restoration: Surface Characterization, Cleaning and Treatments
 
 
Font Type:
Arial Georgia Verdana
Font Size:
Aa Aa Aa
Line Spacing:
Column Width:
Background:
Article

Agar Foam: Properties and Cleaning Effectiveness on Gypsum Surfaces

by
Paulina Guzmán García Lascurain
1,*,
Sara Goidanich
1,
Francesco Briatico Vangosa
1,
Marilena Anzani
2,
Alfiero Rabbolini
2,
Antonio Sansonetti
3 and
Lucia Toniolo
1
1
Department of Chemistry, Materials and Chemical Engineering “Giulio Natta”, Politecnico di Milano, 20133 Milan, Italy
2
Aconerre Conservation Studio, 20154 Milan, Italy
3
Institute of Heritage Science, National Research Council (CNR-ISPC), 20125 Milan, Italy
*
Author to whom correspondence should be addressed.
Coatings 2023, 13(3), 615; https://doi.org/10.3390/coatings13030615
Submission received: 14 February 2023 / Revised: 8 March 2023 / Accepted: 9 March 2023 / Published: 14 March 2023

Abstract

In the past decade, the usage of soft materials, like gels, has allowed for a better control of the water release process into the substrate for cleaning interventions. Agar—a natural polysaccharide harvested from algae—has been used to perform cleaning of stone materials, gypsum works, and paintings with remarkably positive results. Agar presents the great advantage of being cheap, easily available, fast to produce and not toxic, allowing for more sustainable conservation works. More recently, a new type of agar fluid, agar foam, promises further control of the water release and ease of application on delicate surfaces. In the present study, this new type of agar, CO2 and N2O foams, has been characterized and compared with the conventional sol/gel agar system. Moreover, the cleaning effectiveness of the agar foam was tested both in laboratory conditions and in two case studies: a historical gypsum from the porch framing of the Abbey of Nonantola, and the 20th century gypsum cast of the Pietà Rondanini by Michelangelo, located in the Sforza Castle in Milan. The obtained results show that foaming changes the sol-gel transition temperature of the agar gel as well as incrementing its dissipative behavior. When freshly applied, the foams flow with a reduced velocity, thus allowing a better control and ease of application. Once gelified, they act as a soft solid-like material, as shown by their rheological properties. Moreover, it was found that CO2 foam slightly reduces the water release to the surface, while maintaining the moldability and ease of application. The study allows for the conclusion that agar foam offers an interesting alternative for delicate surfaces, with a non-coherent mineral deposit, and with complex geometries that often represent a challenge for the conventional agar applications

1. Introduction

Cleaning works of art is a complicated task that requires an understanding of both the surface to be cleaned and the materials to be used for cleaning. Today, the use of wet cleaning methods with water, solvents, or, if needed, specific active ingredients, are established as a standard methodology in conservation [1]. However, there are three main inconveniences arising from the use of wet cleaning methodologies: firstly, not all of the surfaces are water/solvent resistant; for example, in paints, the interaction with water or solvent might lead to swelling and/or leaching of organic components [2]. Secondly, these types of methods often require a swab to place and remove the cleaning agent, thus inducing some mechanical damage on the surface. Finally, some solvents can present health- and environmental-related problems due to their toxicity. The former is an inconvenience from the health point of view, and also introduces complications regarding the logistics of the intervention.
To maintain further control of the cleaning agent release and perform gentler interventions, scientists and restorers have focused on the use of soft matter cleaning methodologies [3,4,5,6]. These methods allow for the safe transportation of organic solvents to be released only at the targeted surfaces. Selective release is a great advantage of soft materials compared to ordinary cleaning methods because (a) their selective action allows for a reduction in the amount of solvents and surfactant molecules used, and (b) the entrapment of solvents by reduction of the rate of evaporation has a big impact on the reduced toxicity and safety for the operators.
Gels, in particular, offer the main advantage of controlling water release and reducing the mechanical action to the surface. Given their rheological properties, gels can ensure good contact with the surface and the reduction of residues after the cleaning process [7]. Moreover, gels can be designed to target specific substances to be removed from the surface [4,8,9], for example, the removal of soiling particles [6] and varnishes [10]. Additionally, these soft materials allow specific functionalization to ensure the complete removal of the gel [11].
Although lab-synthesized soft materials for cleaning offer many advantages, some of them (or their by-products) have one or a few inconveniences, namely: are hazardous, produce waste that is difficult to dispose, or require precursors that are harmful for the environment. Additionally, these materials might require higher user-safety considerations. Furthermore, some of these materials are complex to synthesize and/or expensive. Therefore, it is necessary to promote the usage of sustainable, safe, and economic cleaning methodologies that match the restoration’s objectives and needs.
Among the natural soft materials, agar gel has been successfully implemented as a green, cheap, and operator-safe methodology for the cleaning of diverse surfaces including historic buildings, sculptures, and paintings [12,13,14,15,16,17,18]. Agar gel is appreciated by many restorers due to its capacity to control the water release onto the surface of interest. Given its reduced price, agar is often used in cleaning campaigns that require large quantities of material. Furthermore, agar minimizes the remaining residues over the surface after its removal, and it can be combined with surfactants that act as hydrophobic and lipophilic to remove specific compounds (for example, it is quite common among conservators, to include the commercial product Tween20®, a nonionic surfactant of the polysorbate family) [19,20]. Additionally, it can be used together with laser cleaning, improving color saturation of the surface, temperature control, and cleaning efficiency [21]. Some of the limitations of agar gel include its usage on extremely water sensitive materials, since they cannot tolerate the water released from the agar. Moreover, agar preferably should be prepared the day of the intervention to avoid the development of microorganisms.
The exact details of the cleaning mechanism of agar gel are not completely known, and have mainly been studied on stone porous materials [20,22,23]. However, it is known that an absorption–diffusion mechanism of the free water takes place through capillarity moving from the agar gel to the substrate. The former is followed by the reabsorption of water to the agar gel matrix [24]. However, in this second step, the free water returns to the gel containing the substances removed from the substrate. This process could be driven by counter diffusion of ions into the gel matrix (slow rate) or by counter absorption due to the minor capillary radius (fast rate). The water release (and absorption) capacity of the agar gel decreases with increasing agar concentration, since water mobility decreases with higher density of the polymeric network. In turn, agar gel at 1% concentration behaves as a free water source, whereas at 5%, it offers the highest control on water transport [20]. Concentration values above 5% are normally not used.
Finally, the agar gel is a thermoreversible material; this property makes agar a versatile method for application into surfaces. Specifically, agar will maintain a random coil formation at high temperatures (above 35–40 °C), this is the sol state. When the temperature of the agar is below the abovementioned range, the polysaccharide chains will reorganize into a double helix structure held together by hydrogen bonds and Van der Waals forces, forming a gel [20,25]. Furthermore, agar can be used on a variety of surfaces with diverse shapes and orientations. The three main forms of application are: sol (its fluid form), on preformed gel blocks, and unstructured (obtained through milling the rigid gel blocks), each with its own advantages depending on the specifications of the object to be cleaned [20,26]. For example, the sol form is mainly used in complex surface morphologies that can tolerate a slight adhesion of the gel and temperatures around 40 °C. Moreover, it is evident from the literature [20] that this form contains the highest amount of free water, thus allowing for a higher efficacy of cleaning. On the other hand, both unstructured and rigid gel blocks are suitable for delicate surfaces (a surface with intrinsic or induced matrix decohesion) thanks to their lower adhesion given by the reduced mobility of the macromolecules in the double helix conformation. Additionally, unstructured agar is sometimes used in the presence of nonpolar solvents, according to the specific needs of the restorers. The drawback of both (rigid gel and unstructured agar) is related to the lower soiling removal.
In recent years, a new form of application of agar has been proposed and is rapidly becoming popular among conservators: agar foam generated by insufflating gasses in the sol phase (agar foam). The latter appears to have some advantages over the traditional agar applications, displaying a gentler action on very delicate surfaces and improving the ease of application. Moreover, the use of thermal isolating foaming chamber allows for the agar to be retained at stable temperature for longer. However, up to now, there have only been practical notes regarding the usage of agar foams, and no in-depth studies about their properties and behavior have been conducted. Consequently, the aim of the present work is to study the differences in the material properties and cleaning effectiveness amongst three agar systems: agar sol-gel, agar CO2 foam, and agar N2O foam. This was done through the study of the rheological properties and water release of these materials, together with the study of the cleaning effectiveness in laboratory conditions, and real case studies: a historical gypsum cast from the internal porch framing of the Abbey of Nonantola, and the 20th century gypsum cast of the Pietà Rondanini by Michelangelo, located in the Sforza Castle in Milan.

2. Materials and Methods

2.1. Preparation of the Agar

The agar used in the present work is AgarArt from C.T.S. (M.W: 100,000–150,000 g/mol). This material is a fine ivory-color powder, obtained from the algae family Rodoficee, species Gelidium and Gracilaria. According to the datasheet, AgarArt in solution has a gelification temperature between 38–42 °C and a sol temperature between 85–90 °C. For each of the experiments, batches of 1000 mL of AgarArt sol are prepared in order to ensure that all of the agar used (foams, sol, and gel) would come from the same batch. In fact, AgarArt is a natural material for which chemical and physical properties can slightly change between batches; hence, this control is fundamental to reduce the intrinsic error in the experimental work.
The precursor for the agar foams is the agar sol. The former is prepared in a concentration of 4 wt% by dissolving agar powder in water, followed by microwave heating at 700 W for 7 to 7:15 min until a fast bubbling is observed. During cooking, manual stirring is performed on intervals of 3 min to promote good mixing. The resulting agar sol is left to gelify, and the same heating procedure is repeated a second time before introducing the sol to the foaming chamber. For the testing and the cleaning procedures, the reference agar sol/gel is that prepared as reported above.

2.2. Foaming Chamber

Each batch of agar foam is prepared with 400 mL of agar sol, poured into the foaming chamber (iSi Thermo Whipper) at 60 °C. To pressurize the chamber, 8.4 g of gas (CO2 or N2O from iSi) are inserted once the agar sol is inside. Finally, the system is left to stabilize for 3–10 min before the agar foam is used. When the foam is expelled from the foaming chamber, it has a temperature above the gelifying point of the agar sol; therefore, it can flow and be spread. With time, the agar foam gelifies and appears similar to the consolidated agar gel.
The thermal characterization of the foaming chamber revealed that the iSi Thermo Whipper is capable of maintaining the agar sol in its fluid form (above the gelifying point) for at least three hours (Figure S1). The system is characterized by a thermal loss rate of 0.050 °C/min when the ambient temperature is 25 °C and 0.055 °C/min when the ambient temperature is 18 °C.

2.3. Substrates

2.3.1. Water Release Samples

Gypsum samples sized 5 × 5 × 5 cm where stabilized in an oven at 40 °C for 10 days, until constant weight was obtained. After this, the samples were stored in a desiccator with Silica gel Rubin (Fluka Analytical) before they were used. Gypsum was selected as an appropriate material to assess the water release due to its porosity that allows water penetration; moreover, gypsum is one of the materials often cleaned with agar because it can be easily harmed when cleaned with conventional systems.

2.3.2. Cleaning Effectiveness

Artificially soiled gypsum samples were used to perform the cleaning efficacy evaluation in laboratory conditions. The samples were covered with a soiling made of water with 4 wt% of Carboxymethyl Cellulose Sodium Salt ( M . W : 220,000 g/mol), 11 wt% of gypsum powder, and 1 wt% of carbon black. One layer of soiling was spread on the gypsum surface and left to set for one month.
The analyses of two real case studies are considered as well in the present work: a historical gypsum from the Abbey of Nonantola, and a gypsum cast of the Pietà Rondanini of Michelangelo, located in the Castello Sforzesco, Milano (Figure 1).
The soiling present in the gypsum cast from the internal porch framing of the Abbey of Nonantola was composed by a layer ranging from 27 and 63 µm made of silicates, quartz, and feldspars, as revealed from Micro-FTIR analysis. As regards the soiling layer in the cast of the Pietà, it was formed by organic residues of an intentional treatment with beeswax and silicon-based detaching agents as observed in the Micro-FTIR analysis. In both cases, the analysis was performed using a Micro-FTIR ThermoFisher Nicolet iN-10-MX with a diamond macro ATR system.

2.4. Agar Systems Characterization

2.4.1. Microscopy Observations

Both foams were observed using a Leica DM6 microscope with an objective of 5×. The images were captured within the first 2 min after the foam was expelled from the foaming chamber (temperature ~50 °C) to ensure that the foam remained as similar to the initial conditions.

2.4.2. Density Measurement

The density of all systems was characterized through gravimetry using a Sartorius Acculab ATL-224-l scale. Measures were carried out in already gelified samples with the same volume, all obtained from the same batch of agar preparation. A total of 10 samples for each system were used.

2.4.3. Flow Characterization

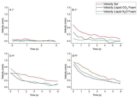
During cleaning procedures, it is fundamental that the applied agar be maintained in the area of interest. The studied agar systems are often applied at temperatures above the gel point; thus, they behaves as a fluid. To understand the effect that foaming has in the flow of the agar sol, the three systems at 50 °C (agar sol, agar foam CO2 and agar foam N2O) were recorded while flowing along a gypsum surface. The former was fixed with a given degree of inclination. The working angles of inclination were 0°, 15°, 45°, and 90°. All moving profiles were recorded with a camera Nikon D610 mounted on a Manfrotto stabilizing arm, and the moving profile was analyzed with Tracker software.

2.4.4. Rheological Measurements

Rheological experiments in an oscillatory regime were performed to determine the gelification temperature and the mechanical response of the material. An Anton Paar MCR 502 rheometer equipped with a Peltier plate and hood system was used. The testing configuration was a plate–plate with a 50 mm diameter. For each of the tests, three measurements were taken to ensure reproducibility, and the average value was obtained from the three repetitions.
To measure the gel temperature, the materials were subjected to an oscillatory test at a constant frequency of 1 Hz and shear strain amplitude of 0.01%. The thermal history applied consisted of a 10-min isothermal step at 60 °C, followed by a cooling ramp from 60 to 25 °C at 1 °C/min, and a final isothermal step at 25 °C. The agar samples were loaded into the rheometer in their fluid form at 60 °C to avoid any thermal shock. The response in terms of the conservative and dissipative components of the dynamic modulus, (also referred to as storage and loss moduli, G′ and G″ respectively) were obtained.
To determine the linear viscoelastic region (LVER) of the gel-agar foam (meaning the agar foam after this has gelified), a strain amplitude sweep test (AS) was performed. Following the protocol used by M. Bertasa, et al. [27], the agar samples for each system were prepared as cylinders of 2–3.5 mm thickness and 50 mm diameter, and left to gelify for one hour before performing the test. The AS was performed at a constant frequency of 1 Hz, temperature of 20 °C, and a normal force of 0.15 N to ensure good contact between the sample and the rheometer’s plates. The strain amplitude was varied in the range of 0.0001–1%. The LVER limit was determined as the maximum strain amplitude for which G′ and G″ remained constant.
The frequency response of the shear modulus was measured. For these tests a frequency sweep (FS) protocol was used in the range 0.1–100 Hz, with a constant strain amplitude value in the LVER. Sample preparation, testing temperature and normal force parameters were the same as AS test.
Finally, to understand the stability of the viscoelastic properties of the systems over time, a time sweep test (TS) was performed. In this case, a constant strain amplitude within the LVER and a constant frequency of 1 Hz were applied. The complex modulus was measured over a one-hour period, which is the average application time in the restoration practice. The temperature and normal force values were the same as the previous test protocols; the samples were prepared in the same manner as the AS and FW tests.

2.4.5. Evaluation of the Water Release

The phenomena of water release for all agar systems was analyzed based on the change in weight of the agar samples after 30 min in contact with the gypsum surface prepared as previously described (Section 2.3.1). The amount of weight loss by the agar was quantified taking into consideration the evaporation of water to the atmosphere.
The measurements were performed for all four agar systems: agar sol, preformed agar gel, agar foam with CO2, and agar foam with N2O. For each of these agar systems, six gypsum specimens were used. The reported result is the average for each system. Both agar and gypsum specimens were weighted individually before having any contact. Then, 15 g of each agar system were placed on the gypsum specimen’s top surface for 30 min. This selected time of application is sufficiently fast to avoid water evaporation from the gypsum samples to the environment and compatible with that of agar application in real restoration works.
It is important to specify that the agar sol and both foams were applied at 50 °C. Since these systems are fluid at 50 °C, parafilm frameworks were used to maintain the agar systems on the desired surface of the gypsum sample.
After the 30 min, the agar was removed, and both the agar and the gypsum specimens were weighted separately. This allowed for a characterization of the water released onto the gypsum block and of the evaporated water from the agar system. The water released by the agar was calculated as the weight loss percentage of the applied agar system towards the gypsum surface.

2.5. Cleaning Effectiveness Evaluation

The effectiveness of cleaning of the agar foams was compared with that of the agar sol. This effectiveness was evaluated using colorimetric measurements before and after cleaning. Colors coordinates were measured with a Konica Minolta Spectrophotometer CM-600d in CIELab color space with the corresponding L*, a* and b* color coordinates. Three agar systems (4 wt% of agar): agar sol, agar CO2 foam, and agar N2O foam, were applied at 50 °C, and left to clean for 30 min. The colorimetric coordinates were processed to obtain the color change after cleaning: E = L * + a * + b * , where, a higher value of ∆E indicated a higher cleaning effectiveness.

3. Results and Discussion

Agar foam is applied in the same manner as agar sol, meaning while it is still fluid, allowing the operator to spread the foam along the surface to be cleaned. However, unlike agar sol, which appears as a transparent film when applied, both agar foams have a whitish color due to the high light scattering of bubbles, as can be observed in Figure 2. Over the gelification time, and due to the bubble coalescence, the amount of bubbles is reduced, and progressively, the agar foam turns transparent.
Even though both foams appear similar to the naked eye, when observed under the microscope (Figure 3), it becomes clear that the bubble density inside each foam is different. Both foams are formed by bubbles that range between 70–420 µm in diameter; however, the amount of bubbles per unit volume is higher for CO2 than for N2O foam. This is consistent with the density measurements obtained for the agar gel (1.067 ± 0.035 g/cm3), agar CO2 foam (0.483 ± 0.167 g/cm3), and the agar N2O foam (0.760 ± 0.062 g/cm3), with CO2 foam being the least dense material. Therefore, the amount of agar inside the CO2 foam is the lowest for the same volume of material.

3.1. Flow Characterization

From the practical point of view, when the agar is applied to a surface in its fluid state, it is important that the material remains as much as possible in the area of interest without dripping or flowing. If the surfaces to be cleaned are oriented with a certain inclination with respect to the horizontal, naturally, the agar will tend to flow. Furthermore, the absorption–diffusion mechanism through which the cleaning takes place is favored by a good adhesion between the agar and the surface. On this basis, it is hypothesized that the reduction of flow will also have an influence on the cleaning efficacy, since the material remains in the same position of contact for longer effective time.
In order to characterize the flow behavior of the three fluid systems (agar sol, agar CO2, and N2O foam), an inclined plane experiment was set. As can be observed in Figure 4, the front velocity of the three agar systems without any inclination is practically null; actually, the only motion is the layer’s flattening under the material’s weight. For all the following degrees of inclination, as expected from the density values, a clear dominance of velocity is observed for the agar sol. The faster flow is maintained until its matrix is gelified, hindering further movement.
In contrast with agar sol, the agar foam systems show a lower flow velocity for all angles. In particular, it is observed that the movement is never totally impeded; however, the velocity decrease over time is faster, regardless of its onset (Figure 4C,D). It is possible to observe that for the limit case (90°), after one-minute motion, the velocity of the systems was reduced by 42.3% for CO2 and 22.5% for N2O foams, and only 9.5% for the sol.
One possible explanation of the flow reduction observed in the foams is that the gas bubbles inside the sol have a different behavior and flow differently than the sol. Bubbles apparently interfere with one another, slowing down the sol flow. Actually, these bubbles collide with each other, acting as a sort of entanglement to the free movement.
It is expected that for an increasing amount of bubbles, the velocity movement will be further impeded. This behavior is observed for both 45° and 90°, where the N2O foam, which is denser (that is, with a lower amount of bubbles), has also a lower capacity of flow-speed reduction than the CO2 foam. Slightly different is the case of an inclination of 15°; this is most probably due to the fact that at such shallow angles, the flowing effect is not so strong as to dominate over the initial velocity after pouring the samples onto the substrate.
The flowing behavior of the three systems confirms that both foams have the capacity to control the flowing movement of the agar in its fluid state. As stated before, this represents an advantage from the application point of view, since the reduction of the flow will also ease the application and reduce undesired dripping. The agar foam allows for a gentler approach towards the artworks: since the volumes of both foams are larger than that of the agar sol, when the foams are applied the layer formed by the foams is initially thicker than the one formed by the sol. Once applied, and while the material is still fluid, it is spread using a tool such as a painting brush. When using agar foams, the action of the spreading tool will naturally occur further away from the surface, acting as a sort of protective system toward the artwork surface.

3.2. Rheological Properties

The present rheological characterization of the agar systems was done through the analysis of both the storage (G′) and loss (G″) moduli. In general, the rheological behavior of a viscoelastic material can be characterized as solid-like behavior when G′ > G″, since the material will store more elastic energy than that dissipated, whereas the dominance of G″ over G′ depicts a more viscous or liquid-like behavior [28].
In a polymeric solution, such as the agar one, a gel will be formed when its constituents start to change from the random coil conformation to a double helix, which ultimately provides a network to form the gel [29]. This process is also referred to as sol-gel transition [20,25]. In systems such as the agar, the onset of the conformation transformation (Tsol-gel) is defined as the temperature at which G′ equals G″ during a cooling step [30].
This change in molecular conformation continues to progress over time until a plateau is reached and no further change in G′ and G″ is observed (Tgel). From this point on, there is a complete solidification of the material and this is no longer changing its structure. According to the datasheet of AgarArt, the gelation temperature of the sol occurs between 38–42 °C. Moreover, in the literature, it is reported that Tgel for agar sols oscillates between 33 and 39 °C, depending on increasing agar concentration [31]. However, these values also have an important dependency on the cooling rate, where a slower process will lead to a higher value of Tgel. The origin of the raw material for the agar preparation also affects the gelification temperature (Tgel) [32]. Considering all the possible parameters, the general accepted range for Tgel is 28–50 °C.
With the aim of understanding if foaming would have any effect on the sol-gel transition temperature (Tsol-gel) and the onset of the plateau region (Tgel), a temperature sweep experiment (TS) was performed starting from 60 °C. In this test, the effect of temperature on both the conservative component (G′) and the loss component (G″) of the complex modulus behavior is observed for the agar sol and the two foams (CO2, and N2O) (Figure 5). It was found that for the agar sol, the sol-gel temperature can be observed at around 58 °C, whereas for the foams, the sol-gel transition is never observed, because G′ > G″ at all tested temperatures, indicating that they already behave in a solid-like manner at 60 °C.
The lack of a sol-gel transition point for both foams below 60 °C is an interesting result. It seems to indicate that even at a temperature where the agar molecules are non-structured, the material behaves as a solid, as would be expected for a material that has formed a three-dimensional network. It is hypothesized that the absence of Tsol-gel is a consequence of the formation of the agar network at a higher temperature, possibly due to the local increment in pressure inside the foaming thermal chamber.
On the other hand, Tgel was obtained by calculating the first derivative of the curves and using this criterion to determine the inflection point. Despite the differences in the sol-gel transition temperature between agar sol and the two foams, the gelification temperature (start of the plateau behavior) is observed in all three systems around 34 °C, in agreement with the datasheet (38–42 °C) and the value reported on the literature (ca. 30 °C). The present result confirms that foaming affects the conformation transformation process, but only in terms of the kinetics, and not in the temperature at which the gelification is completed. Moreover, a decrease of 20 kPa in the magnitude of the storage modulus is observed for the foams when all three systems are completely gelified.
The shear strain response was measured in order to determine the linear visco-elastic region (LVER) for the three systems. This is considered as the region in which both G′ and G″ are parallel and strain-independent. It was found that the response of the three agar systems to oscillatory strain is independent from shear strain amplitude up to a value of 10−1%, which is taken as the limit of the LVER.
Within the LVER, frequency sweep tests reported in Figure 6 show a very limited frequency dependence of G′ for all investigated systems. This, and the dominance of G′ over G″, confirms the solid-like behavior expected for both the gel and the foams. At the mid frequency, the storage modulus, G′, is 14.27 ± 1.24 kPa in the case of sol, 14.56 ± 2.75 kPa for CO2 and 16.7 ± 8 kPa for N2O foams, respectively. The values of all three systems are similar, confirming that foaming has little influence on the storage modulus of the material. It is worth observing that the value of the storage modulus (G′) of all three systems is a low value, typical of soft, easily deformable materials [33,34].
Unlike the behavior of G′, the loss modulus (G″) for the foams is higher than that of the gel in the investigated frequency range. This indicates a higher dissipation ability of the foams, which may originate from both a contribution of gas entrapped in bubbles and a higher mobility of the chains, and which might result in a better adhesion to the surface.
The time stability of the agar systems was studied by means of a time sweep test at constant amplitude and frequency over one hour. The results shown in Figure 7 show a strong invariance of both G′ and G″ for the three systems over the tested period. The initial variations of the systems are related to the immediate relaxation response at the onset of the experiment. The time response of the agar gel was as expected from the results obtained by Bertasa, et al. [27]; however, it is important to highlight that foaming does not affect this performance.
Time stability of the systems is a desired characteristic for cleaning methodologies in the restoration framework. This becomes even more important for the mechanism of detachment of the cleaning agent. Agar is commonly used in periods of 30 min to 1 h, and its removal is performed by peeling of the layer with a movement that resembles the detachment of a thin membrane from a substrate. If the viscoelastic properties changed throughout the time of application, it could be possible that part of the material remained attached to the surface. Therefore, having a material that behaves in the same constant and predictable manner for the time of application ensures reliability of usage.

3.3. Water Release

Water release differences amongst agar systems can give insight into the cleaning process and efficacy. It is known that the amount of water released by the agar depends inversely on the concentration of the polysaccharide. The water contained by the agar gel is divided into free water (freezable) and bounded water (non-freezable). As the agar concentration increases, so does the amount of non-freezable water (which is bounded to the polymer network), and thus, the water release is reduced [20]. In this sense, agar at low concentrations, such as 1%, acts as a free water source (c.a. 90% freezable water), whereas agar at 3% concentration has only around 80% of freezable water. However, in practice, there is a limitation: the consistency of the agar and speed of gelation increase with concentration. Therefore, a compromise between freezable water and the practical consistency of the material has to be made.
The behavior of the water release for each of the agar systems showed that at constant agar concentration, foaming slightly reduces the amount of water that is released to the surface. Nevertheless, agar gel, sol, and N2O foam show very similar water release values (Table 1). CO2 agar foam releases a slightly lower amount of water (8.5%, as reported in Table 1). Moreover, these results are consistent with what is reported in the literature for agar sol and gel, in which, the former releases the highest amount of water [15,24].
The observed reduction of water release can be explained through the reduction in density due to foaming, where agar CO2 foam, being the least dense material, releases the lowest amount of water. A foam drainage effect might also be considered, where a material with lower density corresponds to a lower amount of freezable water close to the surface [35].
As previously discussed in the present work, foaming has a relevant effect on the control of practical consistency of the agar, making it easier to handle. From the point of view of the application, the use of foam implies a better control when working on delicate surfaces. Moreover, CO2 foaming slightly influences the amount of water that is released to a surface.

3.4. Cleaning Effectiveness Evaluation

Three cleaning tests were analyzed: one reference laboratory test performed on artificially soiled gypsum specimens and two case studies with different surface conditions. All the cleaning tests were performed with the reference agar sol/gel and the two foams in the same conditions (30-min cleaning). Cleaning effectiveness was evaluated through color measurements aimed to assess the total color difference achieved in the different tests (Figure 8).
The laboratory cleaning experiments highlight that the three systems perform similarly in terms of their cleaning effectiveness. When observed more in depth, both agar sol/gel and N2O foam have the same behavior, in accordance with the water release testing. On the other hand, CO2 foam shows a slightly higher ∆E, despite the lower water release.
In the case of the cast of the Pietà Rondanini (Figure 8), it is possible to observe that the agar sol/gel has the highest effect on ∆E, followed closely by the CO2, and finally, by the N2O foam. This was clearly evident upon visual observation on site (Figure 9). On the other hand, the cleaning behavior on the historical gypsum cast of the porch framing of the Nonantola Abbey shows the complete reversed order of ∆E, with the N2O foam providing the highest cleaning effect. This difference between the results of the laboratory testing and the real case studies highlights the relevance of the nature and characteristics of the layers to be removed. The cast of the Pietà Rondanini and the historical gypsum cast from the porch framing of the Nonantola Abbey have very different surface layers. Micro-FTIR investigations (Figure 10b) allowed for a characterization of the surface patination over the Pietà cast, showing organic residues of an intentional treatment with beeswax (red regions in the Figure 10b) and silicon-based detaching agents (1260, 1020, 870, and 800 cm−1). As regards the Nonantola Abbey historical gypsum cast (Figure 10a), micro-FITR revealed that the surface deposit is composed of inorganic minerals coming from the environment: mainly feldspars, aluminosilicates (1355, 667 and 597 cm−1), and quartz. Therefore, the adhesion and solubility of these two different surface mixtures is quite different.
The most coherent and adherent surface layer present on the Pietà cast is better removed by the agar sol/gel. While the less coherent deposit present in the Nonantola Abbey gypsum cast is better cleaned by N2O foam. This correlates with the rheological properties, and specifically with the difference in G″ values reported in Figure 6, where it is demonstrated that the agar N2O foam shows the highest viscous behavior.
It is worth mentioning that in real-case applications, it is important to control the cleaning process as much as possible. The obtained results showed that thanks to the different properties of the three agar systems, it is possible to tune the cleaning effects according to the nature and level of soiling. Restorers have a great sensibility in selecting specific methodology according to the surface and the desired cleaning level. Despite the common chemical nature of the three systems, the rheological properties modified by the foaming process thus allow for a differentiation of the cleaning effectiveness.

4. Conclusions

The main objective of this work was to characterize and compare the material properties and cleaning effectiveness of three agar systems: sol/gel, CO2 foam, and N2O foam.
As expected, microscopy and density measurements showed that foaming reduces the density with respect to the conventional agar. In particular, CO2 foaming produces a material with a higher amount of bubbles and a lower density, whereas N2O provides a material with a moderate density reduction.
By means of the rheological test, it was possible to confirm that the gelification temperature remained unmodified for all three agar systems (33 °C), while the onset of sol-gel transition increased for the foams. Moreover, it is noteworthy to point out that the foams, when applied fresh, flow with a reduced velocity, thus allowing for better control and ease of application. Once gelified, the foams act as a soft solid-like material, as shown by rheological studies. Finally, agar foams, as the reference agar sol/gel, show a stable behavior for the typical time of application (30–60 min).
As concerns the water release, the laboratory test showed that the agar N2O foam and the sol/gel behave similarly, while CO2 foam releases a slightly lower amount of water.
Finally, the cleaning effectiveness was evaluated by colorimetric measurements on both artificially soiled gypsum samples and historical gypsum case studies. Results showed that in laboratory cleaning experiments, the three systems perform similarly. However, in real cases, the behavior of foams highly depends on the nature of the surface and soiling. For instance, the presence of organic materials, such as waxes, strongly affects the interaction with water, and therefore, the effectiveness of the cleaning. The availability of the three agar systems allows restorers to tune the desired cleaning effect.
To summarize, although the selection of a cleaning methodology depends on the specific case at hand, agar foam is a good cleaning system that is ideal for delicate surfaces with geometries and orientations that represent a challenge for conventional cleaning methods. Agar foam is more likely to remain in the application area and allow the water diffusion to remain active for longer. From the practical point of view, when the restorers apply the agar foam they use a lower amount of active material than with the conventional agar methodologies. The former has a direct impact in the cost of the intervention and the supply of material required. Additionally, the use of the thermally insulating chamber permits the maintainance of the precursor agar sol at an adequate temperature for longer periods of time. In this sense, the ability to control better the application temperature allows for the use of a larger spectrum of active ingredients.

Supplementary Materials

The following supporting information can be downloaded at: www.mdpi.com/article/10.3390/coatings13030615/s1, Figure S1: Temperatures of the agar gel inside the ThermoWhipper for initial temperature of 80 °C.

Author Contributions

Conceptualization, S.G. and L.T.; methodology, S.G., A.S. and F.B.V.; investigation, P.G.G.L. and F.B.V.; resources, M.A., A.R. and A.S.; data curation, P.G.G.L. and S.G.; writing—original draft preparation, P.G.G.L.; writing—review and editing, P.G.G.L., S.G., F.B.V., M.A., A.R., A.S. and L.T.; supervision, S.G. and L.T.; project administration, S.G.; funding acquisition, L.T. All authors have read and agreed to the published version of the manuscript.

Funding

The present work was financed by Mexican Consejo Nacional de Ciencia y Tecnología (CONACyT) scholarship number: 2019-000034-01EXTF-00140, and the silver merit-based scholarship given by Politecnico di Milano. The elaboration and writing phase was supported by PhD Fellowship DOT1316197 (IMTR) CUP D45F21003710001 (Green) financed by Italian PON “Ricerca e Innovazione” 2014–2020 funding program.

Institutional Review Board Statement

Not applicable.

Informed Consent Statement

Not applicable.

Data Availability Statement

The data that support the findings of this study are available from the coordinator of the project, Sara Goidanich (sara.goidanich@polimi.it), upon reasonable request.

Acknowledgments

The authors would like to thank Davide Moscatelli and Edoardo Terreni for providing the Carboxymethyl Cellulose Sodium Salt employed in the present work.

Conflicts of Interest

The authors declare no conflict of interest.

References

  1. UNI EN 17138:2019; Conservation of Cultural Heritage—Methods and Materials for Cleaning Porous Inorganic Materials. Ente Nazionale Italiano di Unificazione: Milano, Italy, 2019.
  2. Ormsby, B.; Learner, T. The Effects of Wet Surface Cleaning Treatments on Acrylic Emulsion Artists’ Paints—A Review of Recent Scientific Research. Stud. Conserv. 2009, 54, 29. [Google Scholar] [CrossRef]
  3. Baglioni, M.; Giorgi, R.; Berti, D.; Baglioni, P. Smart Cleaning of Cultural Heritage: A New Challenge for Soft Nanoscience. Nanoscale 2012, 4, 42. [Google Scholar] [CrossRef]
  4. Segel, K.; Brajer, I.; Taube, M.; de Fonjaudran, C.M.; Baglioni, M.; Chelazzi, D.; Giorgi, R.; Baglioni, P. Removing Ingrained Soiling from Medieval Lime-Based Wall Paintings Using Nanorestore Gel® Peggy 6 in Combination with Aqueous Cleaning Liquids. Stud. Conserv. 2020, 65, 284. [Google Scholar] [CrossRef]
  5. Domingues, J.; Bonelli, N.; Giorgi, R.; Baglioni, P. Chemical Semi-IPN Hydrogels for the Removal of Adhesives from Canvas Paintings. Appl. Phys. A 2014, 114, 705. [Google Scholar] [CrossRef]
  6. Bartoletti, A.; Barker, R.; Chelazzi, D.; Bonelli, N.; Baglioni, P.; Lee, J.; Angelova, L.; Ormsby, B. Reviving WHAAM! A Comparative Evaluation of Cleaning Systems for the Conservation Treatment of Roy Lichtenstein’s Iconic Painting. Herit. Sci. 2020, 8, 1. [Google Scholar]
  7. Baglioni, P.; Baglioni, M.; Bonelli, N.; Chelazzi, D.; Giorgi, R. Smart Soft Nanomaterials for Cleaning. In Nanotechnologies and Nanomaterials for Diagnostic, Conservation and Restoration of Cultural Heritage; Lazzara, G., Fakhrullin, R.F., Eds.; Elsevier: Amsterdam, The Netherlands, 2018; pp. 171–204. [Google Scholar]
  8. Baglioni, P.; Berti, D.; Bonini, M.; Carretti, E.; Dei, L.; Fratini, E.; Giorgi, R. Microemulsions, and Gels for the Conservation of Cultural Heritage. Adv. Colloid Interface Sci. 2014, 205, 361. [Google Scholar] [CrossRef] [PubMed]
  9. Carretti, E.; Grassi, S.; Cossalter, M.; Natali, I.; Caminati, G.; Weiss, R.G.; Baglioni, P.; Dei, L. Poly (Vinyl Alcohol)-Borate Hydro/Cosolvent Gels: Viscoelastic Properties, Solubilizing Power, and Application to Art Conservation. Langmuir 2009, 25, 8656. [Google Scholar] [CrossRef]
  10. Buemi, L.P.; Petruzzellis, M.L.; Chelazzi, D.; Baglioni, M.; Mastrangelo, R.; Giorgi, R.; Baglioni, P. Chain Polymer Networks Loaded with Nanostructured Fluids for the Selective Removal of a Non-Original Varnish from Picasso’s “L’Atelier” at the Peggy Guggenheim Collection, Venice. Herit. Sci. 2020, 8, 77. [Google Scholar] [CrossRef]
  11. Bonini, M.; Lenz, S.; Giorgi, R.; Baglioni, P. Nanomagnetic Sponges for the Cleaning of Works of Art. Langmuir 2007, 23, 8681. [Google Scholar] [CrossRef]
  12. Bertasa, M.; Canevali, C.; Sansonetti, A.; Lazzari, M.; Malandrino, M.; Simonutti, R.; Scalarone, D. An In-Depth Study on the Agar Gel Effectiveness for Built Heritage Cleaning. J. Cult. Herit. 2021, 47, 12. [Google Scholar] [CrossRef]
  13. Gulotta, D.; Saviello, D.; Gherardi, F.; Toniolo, L.; Anzani, M.; Rabbolini, A.; Goidanich, S. Setup of a Sustainable Indoor Cleaning Methodology for the Sculpted Stone Surfaces of the Duomo of Milan. Herit. Sci. 2014, 2, 6. [Google Scholar] [CrossRef]
  14. Diamond, O.; Barkovic, M.; Cross, M.; Ormsby, B. The Role of Agar Gel in Treating Water Stains on Acrylic Paintings: Case Study of Composition, 1963 by Justin Knowles. J. Am. Inst. Conserv. 2019, 58, 144. [Google Scholar] [CrossRef]
  15. Giordano, A.; Caruso, M.R.; Lazzara, G. New Tool for Sustainable Treatments: Agar Spray—Research and Practice. Herit. Sci. 2022, 10, 1. [Google Scholar] [CrossRef]
  16. Senserrich-Espuñs, R.; Anzani, M.; Rabbolini, A.; Font-Pagès, L. Deconstructed Agar Gels in the Restoration of the Wall Paintings in the Chapel of Sant Miquel, in Monestir Reial de Santa Maria de Pedralbes, Barcelona. In Proceedings of the Gels in the Conservation; Angelova, L.V., Bronwyn, O., Eds.; Archetype Pubblications Ltd.: London, UK, 2017; pp. 148–151. [Google Scholar]
  17. Sansonetti, A.; Casati, M.; Striova, J.; Canevali, C.; Anzani, M.; Rabbolini, A. A Cleaning Method Based on the Use of Agar Gels: New Tests and Perspectives. In Proceedings of the 12th International Congress on the Deterioration and Conservation of Stone, New York, NY, USA, 21–25 October 2012. [Google Scholar]
  18. Gulotta, D.; Anzani, M.; Petiti, C.; Rabbolini, A.; Cucciniello, O.; Goidanich, S. Un Approccio Integrato per La Conoscenza e Conservazione in Funzione Della Mostra Alla Galleria d’Arte Moderna: 100 Anni. Scultura a Milano 1815–1915. In Proceedings of the “Lo Stato Dell’Arte 15” XV Congresso Nazionale IGIIC, Bari, Italy, 12–14 October 2017; Nardini editore. pp. 209–216. [Google Scholar]
  19. Anzani, M. Utilizzo Dei Gel Rigidi Di Agar per La Pulitura Delle Superfici Lapidee. In Tecniche Di Restauro; Musso, S.F., Ed.; UTET: Belluno, Italy, 2013. [Google Scholar]
  20. Sansonetti, A.; Bertasa, M.; Canevali, C.; Rabbolini, A.; Anzani, M.; Scalarone, D. A Review in Using Agar Gels for Cleaning Art Surfaces. J. Cult. Herit. 2020, 44, 285–296. [Google Scholar] [CrossRef]
  21. Striova, J.; Anzani, M.; Borgioli, L.; Brunetto, A.; Rabbolini, A.; Roati, G.; Sansonetti, A. A Novel Approach:Laser Cleaning Intermediated by Agar Gel. In Proceedings of the LACONA IX: 9th Conference on Lasers in the Conservation of Artworks, London, UK, 7–10 September 2011. [Google Scholar]
  22. Canevali, C.; Fasoli, M.; Bertasa, M.; Botteon, A.; Colombo, A.; di Tullio, V.; Capitani, D.; Proietti, N.; Scalarone, D.; Sansonetti, A. A Multi-Analytical Approach for the Study of Copper Stain Removal by Agar Gels. Microchem. J. 2016, 129, 249. [Google Scholar] [CrossRef]
  23. Volk, A.; van den Berg, K.J. Agar—A New Tool for the Surface Cleaning of Water Sensitive Oil Paint? In Issues in Contemporary Oil Paint; van den Berg, K.J., Burnstock, A., de Keijzer, M., Krueger, J., Learner, T., Tagle, A., Heydenreich, G., Eds.; Springer International Publishing: New York City, NY, USA, 2014; pp. 389–406. [Google Scholar]
  24. Bertasa, M.; Poli, T.; Riedo, C.; di Tullio, V.; Capitani, D.; Proietti, N.; Canevali, C.; Sansonetti, A.; Scalarone, D. A Study of Non-Bounded/Bounded Water and Water Mobility in Different Agar Gels. Microchem. J. 2018, 139, 306. [Google Scholar] [CrossRef]
  25. Arnott, S.; Fulmer, A.; Scott, W.E.; Dea, I.C.M.; Moorhouse, R.; Rees, D.A. The Agarose Double Helix and Its Function in Agarose Gel Structure. J. Mol. Biol. 1974, 90, 269. [Google Scholar] [CrossRef]
  26. Anzani, M.; Rabbolini, A. Il Restauro Del Materiale Lapideo Con i Gel Di Agar Agar: Il Gesso “La Bella Pallanza” e Il Marmo “Busto Di Donna” Di Paolo Troubetzkoy. In Proceedings of theVII Congresso Nazionale IGIIC—Lo Stato Dell’Arte, Naples, Italy, 8–10 October 2009. Atti del VII Congresso Nazionale IGIIC Napoli. [Google Scholar]
  27. Bertasa, M.; Dodero, A.; Alloisio, M.; Vicini, S.; Riedo, C.; Sansonetti, A.; Scalarone, D.; Castellano, M. Agar Gel Strength: A Correlation Study between Chemical Composition and Rheological Properties. Eur. Polym. J. 2020, 123, 109442. [Google Scholar] [CrossRef]
  28. Stokes, J.R.; Frith, W.J. Rheology of Gelling and Yielding Soft Matter Systems. Soft Matter 2008, 4, 1133. [Google Scholar] [CrossRef]
  29. Mohammed, Z.H.; Hember, M.W.N.; Richardson, R.K.; Morris, E.R. Kinetic and Equilibrium Processes in the Formation and Melting of Agarose Gels. Carbohydr. Polym. 1998, 36, 15. [Google Scholar] [CrossRef]
  30. Zhao, Y.; Cao, Y.; Yang, Y.; Wu, C. Rheological Study of the Sol−Gel Transition of Hybrid Gels. Macromolecules 2003, 36, 855. [Google Scholar] [CrossRef]
  31. Labropoulos, K.C.; Rangarajan, S.; Niesz, D.E.; Danforth, S.C. Dynamic Rheology of Agar Gel Based Aqueous Binders. J. Am. Ceram. Soc. 2001, 84, 1217. [Google Scholar] [CrossRef]
  32. Labropoulos, K.C.; Niesz, D.E.; Danforth, S.C.; Kevrekidis, P.G. Dynamic Rheology of Agar Gels: Theory and Experiments. Part I. Development of a Rheological Model. Carbohydr. Polym. 2002, 50, 393. [Google Scholar] [CrossRef]
  33. Ross-Murphy, S. Rheological Characterisation of Gels 1. J. Texture Stud. 1995, 26, 391. [Google Scholar] [CrossRef]
  34. Wyss, H.M. Rheology of Soft Materials. Fluids, Colloids and Soft Materials: An Introduction to Soft Matter Physics; John Wiley & Sons: Hoboken, NJ, USA, 2016; p. 149. [Google Scholar]
  35. Cox, S.J.; Weaire, D.; Hutzler, S.; Murphy, J.; Phelan, R.; Verbist, G. Applications and Generalizations of the Foam Drainage Equation. Proc. R. Soc. London. Ser. A Math. Phys. Eng. Sci. 2000, 456, 2441. [Google Scholar] [CrossRef]
Figure 1. Historical surfaces used for the real case study cleaning analysis (a) cast element from the internal porch framing of the Abbey of Nonantola and (b) Cast of the Pietà Rondanini.
Figure 1. Historical surfaces used for the real case study cleaning analysis (a) cast element from the internal porch framing of the Abbey of Nonantola and (b) Cast of the Pietà Rondanini.
Coatings 13 00615 g001
Figure 2. Application of the Agar foam to the gypsum cast of the Pietà Rondanini.
Figure 2. Application of the Agar foam to the gypsum cast of the Pietà Rondanini.
Coatings 13 00615 g002
Figure 3. Stereomicroscopy (5× magn). Agar foam 2 min. after preparation (A) CO2, and (B) N2O.
Figure 3. Stereomicroscopy (5× magn). Agar foam 2 min. after preparation (A) CO2, and (B) N2O.
Coatings 13 00615 g003
Figure 4. Behavior of the velocity front of the three fluid agar systems deposited onto a gypsum surface at different degrees of inclination (A) 0°, (B) 15°, (C) 45°, (D) 90°.
Figure 4. Behavior of the velocity front of the three fluid agar systems deposited onto a gypsum surface at different degrees of inclination (A) 0°, (B) 15°, (C) 45°, (D) 90°.
Coatings 13 00615 g004
Figure 5. Temperature ramp analysis for the three systems (A) agar sol/gel, (B) CO2 foam, and (C) N2O foam. The sol-gel transition temperature (Tsol-gel) is marked for graph (A) and depicted as the crossover point between G′ and G″. The values of the gelification temperature (start of the plateau region) are marked as Tgel for all graphs.
Figure 5. Temperature ramp analysis for the three systems (A) agar sol/gel, (B) CO2 foam, and (C) N2O foam. The sol-gel transition temperature (Tsol-gel) is marked for graph (A) and depicted as the crossover point between G′ and G″. The values of the gelification temperature (start of the plateau region) are marked as Tgel for all graphs.
Coatings 13 00615 g005
Figure 6. Viscoelastic modulus analyzed in frequency sweep test performed in the Linear Viscoelastic Region.
Figure 6. Viscoelastic modulus analyzed in frequency sweep test performed in the Linear Viscoelastic Region.
Coatings 13 00615 g006
Figure 7. Viscoelastic modulus analyzed on a time sweep test.
Figure 7. Viscoelastic modulus analyzed on a time sweep test.
Coatings 13 00615 g007
Figure 8. Cleaning performance based on ∆E* for the different cleaning systems (agar sol/gel—AS; agar CO2 foam—CO2; and agar N2O foam—N2O) in laboratory conditions and with two case studies.
Figure 8. Cleaning performance based on ∆E* for the different cleaning systems (agar sol/gel—AS; agar CO2 foam—CO2; and agar N2O foam—N2O) in laboratory conditions and with two case studies.
Coatings 13 00615 g008
Figure 9. Image after cleaning procedure with agar sol, agar CO2 foam and agar N2O foam on the cast of the Pietà Rondanini.
Figure 9. Image after cleaning procedure with agar sol, agar CO2 foam and agar N2O foam on the cast of the Pietà Rondanini.
Coatings 13 00615 g009
Figure 10. FTIR spectra of (a) atmospheric soiling on gypsum from cast of Nonantola Abbey and (b) wax over gypsum of the cast of the Pietà Rondanini.
Figure 10. FTIR spectra of (a) atmospheric soiling on gypsum from cast of Nonantola Abbey and (b) wax over gypsum of the cast of the Pietà Rondanini.
Coatings 13 00615 g010
Table 1. Percentage water release for the four different agar systems.
Table 1. Percentage water release for the four different agar systems.
SystemsWater Release (%)
Agar gel9.44 ± 1.18
Agar sol9.63 ± 0.98
Agar CO2 foam8.49 ± 0.58
Agar N2O foam9.28 ± 1.06
Disclaimer/Publisher’s Note: The statements, opinions and data contained in all publications are solely those of the individual author(s) and contributor(s) and not of MDPI and/or the editor(s). MDPI and/or the editor(s) disclaim responsibility for any injury to people or property resulting from any ideas, methods, instructions or products referred to in the content.

Share and Cite

MDPI and ACS Style

Guzmán García Lascurain, P.; Goidanich, S.; Briatico Vangosa, F.; Anzani, M.; Rabbolini, A.; Sansonetti, A.; Toniolo, L. Agar Foam: Properties and Cleaning Effectiveness on Gypsum Surfaces. Coatings 2023, 13, 615. https://doi.org/10.3390/coatings13030615

AMA Style

Guzmán García Lascurain P, Goidanich S, Briatico Vangosa F, Anzani M, Rabbolini A, Sansonetti A, Toniolo L. Agar Foam: Properties and Cleaning Effectiveness on Gypsum Surfaces. Coatings. 2023; 13(3):615. https://doi.org/10.3390/coatings13030615

Chicago/Turabian Style

Guzmán García Lascurain, Paulina, Sara Goidanich, Francesco Briatico Vangosa, Marilena Anzani, Alfiero Rabbolini, Antonio Sansonetti, and Lucia Toniolo. 2023. "Agar Foam: Properties and Cleaning Effectiveness on Gypsum Surfaces" Coatings 13, no. 3: 615. https://doi.org/10.3390/coatings13030615

APA Style

Guzmán García Lascurain, P., Goidanich, S., Briatico Vangosa, F., Anzani, M., Rabbolini, A., Sansonetti, A., & Toniolo, L. (2023). Agar Foam: Properties and Cleaning Effectiveness on Gypsum Surfaces. Coatings, 13(3), 615. https://doi.org/10.3390/coatings13030615

Note that from the first issue of 2016, this journal uses article numbers instead of page numbers. See further details here.

Article Metrics

Back to TopTop