Microbiological Deterioration of Epoxy Coating on Carbon Steel by Pseudomonas aeruginosa
Abstract
1. Introduction
2. Experimental Section
2.1. Materials and Coating Preparation
2.2. Bacterium and Culture Medium
2.3. Immersion Tests
2.4. Surface Characterization
2.5. Electrochemical Measurements
2.6. Starvation Tests
3. Results and Discussion
3.1. Growth of Planktonic P. aeruginosa Cells
3.2. Biofilm Distribution
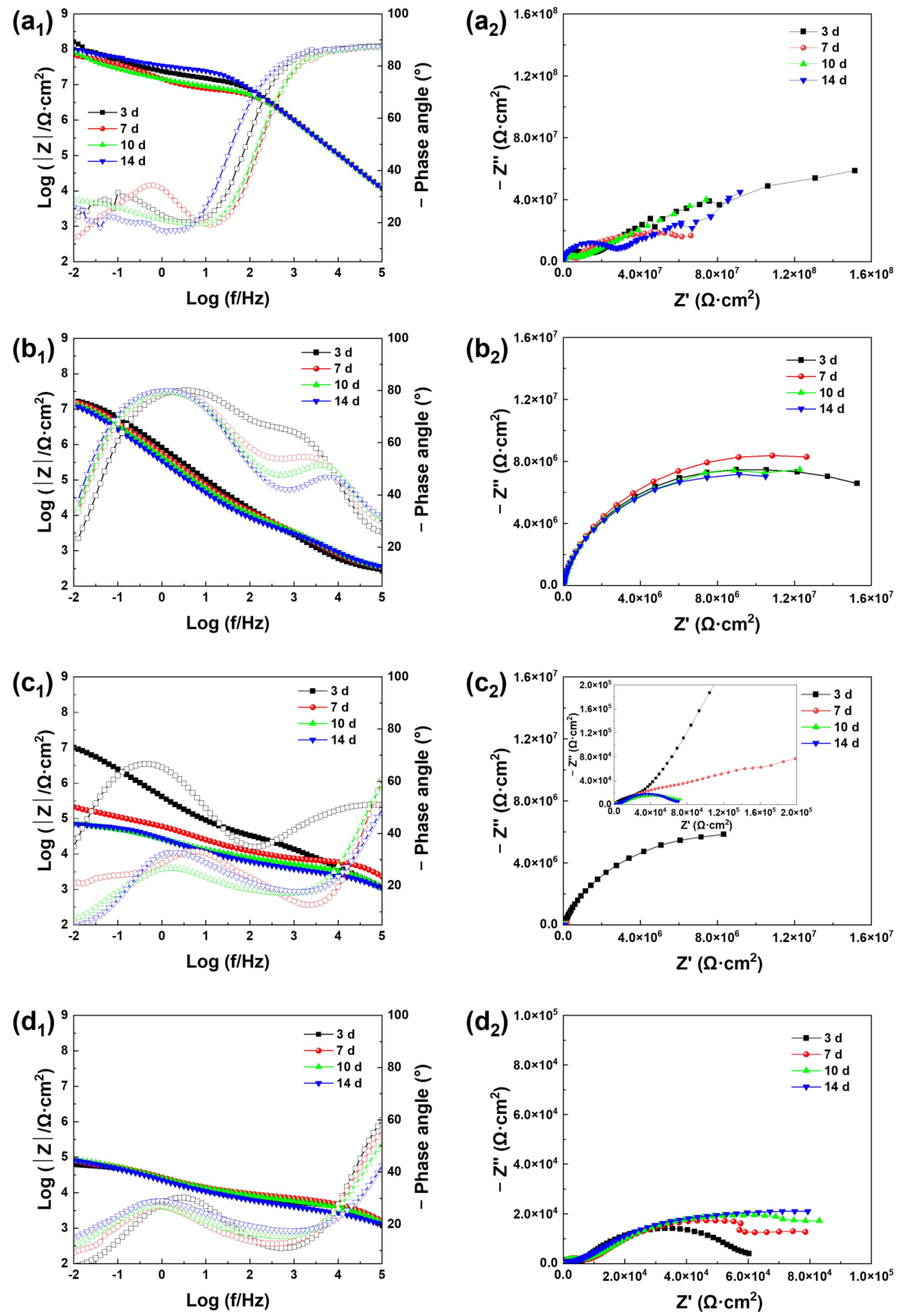
3.3. Electrochemical Analysis
3.4. Contact Angle Measurements
3.5. FTIR Analysis
4. Conclusions
Author Contributions
Funding
Institutional Review Board Statement
Informed Consent Statement
Data Availability Statement
Conflicts of Interest
References
- Lyon, S.B.; Bingham, R.; Mills, D.J. Advances in corrosion protection by organic coatings: What we know and what we would like to know. Prog. Org. Coat. 2017, 102, 2–7. [Google Scholar] [CrossRef]
- Nazari, M.H.; Zhang, Y.; Mahmoodi, A.; Xu, G.; Yu, J.; Wu, J.; Shi, X. Nanocomposite organic coatings for corrosion protection of metals: A review of recent advances. Prog. Org. Coat. 2022, 162, 106573. [Google Scholar] [CrossRef]
- Zhang, D.; Qian, H.; Wang, L.; Li, X. Comparison of barrier properties for a superhydrophobic epoxy coating under different simulated corrosion environments. Corros. Sci. 2016, 103, 230–241. [Google Scholar] [CrossRef]
- Rammelt, U.; Reinhard, G. Application of electrochemical impedance spectroscopy (EIS) for characterizing the corrosion-protective performance of organic coatings on metals. Prog. Org. Coat. 1992, 21, 205–226. [Google Scholar] [CrossRef]
- Zhao, X.; Wang, J.; Wang, Y.; Kong, T.; Zhong, L.; Zhang, W. Analysis of deterioration process of organic protective coating using EIS assisted by SOM network. Electrochem. Commun. 2007, 9, 1394–1399. [Google Scholar] [CrossRef]
- Qian, H.; Xu, D.; Du, C.; Zhang, D.; Li, X.; Huang, L.; Deng, L.; Tu, Y.; Mol, J.M.C.; Terryn, H.A. Dual-action smart coatings with a self-healing superhydrophobic surface and anti-corrosion properties. J. Mater. Chem. A 2017, 5, 2355–2364. [Google Scholar] [CrossRef]
- Gu, T.; Jia, R.; Unsal, T.; Xu, D. Toward a better understanding of microbiologically influenced corrosion caused by sulfate reducing bacteria. J. Mater. Sci. Technol. 2019, 35, 631–636. [Google Scholar] [CrossRef]
- Hou, B.; Li, X.; Ma, X.; Du, C.; Zhang, D.; Zheng, M.; Xu, W.; Lu, D.; Ma, F. The cost of corrosion in China. Npj Mat. Degrad. 2017, 1, 4. [Google Scholar] [CrossRef]
- Qian, H.C.; Chang, W.W.; Cui, T.Y.; Li, Z.; Guo, D.W.; Kwok, C.T.; Tam, L.M.; Zhang, D.W. Multi-mode scanning electrochemical microscopic study of microbiologically influenced corrosion mechanism of 304 stainless steel by thermoacidophilic archaea. Corros. Sci. 2021, 191, 109751. [Google Scholar] [CrossRef]
- Jia, R.; Unsal, T.; Xu, D.; Lekbach, Y.; Gu, T. Microbiologically influenced corrosion and current mitigation strategies: A state of the art review. Int. Biodeter. Biodegr. 2019, 137, 42–58. [Google Scholar] [CrossRef]
- Wakai, S.; Eno, N.; Mizukami, H.; Sunaba, T.; Miyanaga, K.; Miyano, Y. Microbiologically influenced corrosion of stainless steel independent of sulfate-reducing bacteria. Front. Microbiol. 2022, 13, 982047. [Google Scholar] [CrossRef]
- Lekbach, Y.; Liu, T.; Li, Y.; Moradi, M.; Dou, W.; Xu, D.; Smith, J.A.; Lovley, D.R. Microbial corrosion of metals: The corrosion microbiome. Adv. Microb. Physiol. 2021, 78, 317–390. [Google Scholar] [PubMed]
- Liu, T.; Pan, S.; Wang, Y.; Guo, Z.; Wang, W.; Zhao, Q.; Zeng, Z.; Guo, N. Pseudoalteromonas lipolytica accelerated corrosion of low alloy steel by the endogenous electron mediator pyomelanin. Corros. Sci. 2020, 162, 108215. [Google Scholar] [CrossRef]
- Wu, J.; Zhang, W.; Chai, K.; Yu, A. Corrosion Behavior of AISI 1045 Steel in Seawater in the Presence of Flavobacterium sp. Front. Microbiol. 2020, 11, 303. [Google Scholar] [CrossRef] [PubMed]
- Dou, W.; Liu, J.; Cai, W.; Wang, D.; Jia, R.; Chen, S.; Gu, T. Electrochemical investigation of increased carbon steel corrosion via extracellular electron transfer by a sulfate reducing bacterium under carbon source starvation. Corros. Sci. 2019, 150, 258–267. [Google Scholar] [CrossRef]
- Liu, H.; Chen, C.; Yuan, X.; Tan, Y.; Meng, G.; Liu, H.; Cheng, Y.F. Corrosion inhibition behavior of X80 pipeline steel by imidazoline derivative in the CO2-saturated seawater containing sulfate-reducing bacteria with organic carbon starvation. Corros. Sci. 2022, 203, 110345. [Google Scholar] [CrossRef]
- Yang, J.; Zhang, Y.; Chang, W.; Lou, Y.; Qian, H. Microbiologically influenced corrosion of FeCoNiCrMn high-entropy alloys by Pseudomonas aeruginosa biofilm. Front. Microbiol. 2022, 13, 1009310. [Google Scholar] [CrossRef] [PubMed]
- Gu, J.D. Microbial biofilms, fouling, corrosion, and biodeterioration of materials. In Handbook of Environmental Degradation of Materials; William Andrew Publishing: Oxford, UK, 2018; pp. 273–298. [Google Scholar]
- Al Hosni, A.S.; Pittman, J.K.; Robson, G.D. Microbial degradation of four biodegradable polymers in soil and compost demonstrating polycaprolactone as an ideal compostable plastic. Waste Manag. 2019, 97, 105–114. [Google Scholar] [CrossRef]
- Mohanan, N.; Montazer, Z.; Sharma, P.K.; Levin, D.B. Microbial and enzymatic degradation of synthetic plastics. Front. Microbiol. 2020, 11, 580709. [Google Scholar] [CrossRef]
- Amobonye, A.; Bhagwat, P.; Singh, S.; Pillai, S. Plastic biodegradation: Frontline microbes and their enzymes. Sci. Total Environ. 2021, 759, 143536. [Google Scholar] [CrossRef]
- Pathak, V.M. Review on the current status of polymer degradation: A microbial approach. Bioresour. Bioprocess. 2017, 4, 1–31. [Google Scholar] [CrossRef]
- Mohan, K. Microbial deterioration and degradation of polymeric materials. J. Biochemical. Technol. 2011, 2, 210–215. [Google Scholar]
- Gu, J.D. Microbial colonization of polymeric materials for space applications and mechanisms of biodeterioration: A review. Int. Biodeter. Biodegr. 2007, 59, 170–179. [Google Scholar] [CrossRef]
- Flemming, H.C. Relevance of biofilms for the biodeterioration of surfaces of polymeric materials. Polym. Degrad. Stabil. 1998, 59, 309–315. [Google Scholar] [CrossRef]
- Kopteva, Z.P.; Zanina, V.V.; Kozlova, I.A. Microbial corrosion of protective coatings. Surf. Eng. 2004, 20, 275–280. [Google Scholar] [CrossRef]
- Little, B.; Ray, R. A review of fungal influenced corrosion. Corros. Rev. 2001, 19, 401–418. [Google Scholar] [CrossRef]
- Ghasemi-Kahrizsangi, A.; Shariatpanahi, H.; Neshati, J.; Akbarinezhad, E. Degradation of modified carbon black/epoxy nanocomposite coatings under ultraviolet exposure. Appl. Surf. Sci. 2015, 353, 530–539. [Google Scholar] [CrossRef]
- Qian, H.; Zhang, D.; Deng, L.; Huang, L.; Xu, D.; Du, C.; Li, X. The role of surface morphology in the barrier properties of epoxy coatings in different corrosion environments. Prog. Org. Coat. 2017, 104, 199–209. [Google Scholar] [CrossRef]
- Wang, G.; Chai, K.; Wu, J.; Liu, F. Effect of Pseudomonas putida on the degradation of epoxy resin varnish coating in seawater. Int. Biodeter. Biodegr. 2016, 115, 156–163. [Google Scholar] [CrossRef]
- Deng, S.; Wu, J.; Li, Y.; Wang, G.; Chai, K.; Yu, A.; Liu, F. Effect of Bacillus flexus on the degradation of epoxy resin varnish coating in seawater. Int. J. Electrochem. Sci. 2019, 14, 315–328. [Google Scholar] [CrossRef]
- Tambe, S.P.; Jagtap, S.D.; Chaurasiya, A.K.; Joshi, K.K. Evaluation of microbial corrosion of epoxy coating by using sulphate reducing bacteria. Prog. Org. Coat. 2016, 94, 49–55. [Google Scholar] [CrossRef]
- Jia, R.; Yang, D.; Xu, J.; Xu, D.; Gu, T. Microbiologically influenced corrosion of C1018 carbon steel by nitrate reducing Pseudomonas aeruginosa biofilm under organic carbon starvation. Corros. Sci. 2017, 127, 1–9. [Google Scholar] [CrossRef]
- Huang, L.; Chang, W.; Zhang, D.; Huang, Y.; Li, Z.; Lou, Y.; Qian, H.; Jiang, C.; Li, X.; Mol, A. Acceleration of corrosion of 304 stainless steel by outward extracellular electron transfer of Pseudomonas aeruginosa biofilm. Corros. Sci. 2022, 199, 110159. [Google Scholar] [CrossRef]
- Qian, H.C.; Chang, W.W.; Liu, W.L.; Cui, T.Y.; Li, Z.; Guo, D.W.; Kwok, C.T.; Tam, L.M.; Zhang, D.W. Investigation of microbiologically influenced corrosion inhibition of 304 stainless steel by D-cysteine in the presence of Pseudomonas aeruginosa. Bioelectrochemistry 2022, 143, 107953. [Google Scholar] [CrossRef]
- Li, Z.; Huang, L.; Hao, W.; Yang, J.; Qian, H.; Zhang, D. Accelerating effect of pyocyanin on microbiologically influenced corrosion of 304 stainless steel by the Pseudomonas aeruginosa biofilm. Bioelectrochemistry 2022, 146, 108130. [Google Scholar] [CrossRef]
- Liu, D.; Yang, H.; Li, J.; Li, J.; Dong, Y.; Yang, C.; Jin, Y.; Yassir, L.; Li, Z.; Hernandez, D.; et al. Electron transfer mediator PCN secreted by aerobic marine Pseudomonas aeruginosa accelerates microbiologically influenced corrosion of TC4 titanium alloy. J. Mater. Sci. Technol. 2021, 79, 101–108. [Google Scholar] [CrossRef]
- San, N.O.; Nazır, H.; Dönmez, G. Microbially influenced corrosion and inhibition of nickel–zinc and nickel–copper coatings by Pseudomonas aeruginosa. Corros. Sci. 2014, 79, 177–183. [Google Scholar] [CrossRef]
- Huang, L.Y.; Huang, Y.; Lou, Y.; Qian, H.; Xu, D.; Ma, L.; Jiang, C.; Zhang, D. Pyocyanin-modifying genes phzM and phzS regulated the extracellular electron transfer in microbiologically-influenced corrosion of X80 carbon steel by Pseudomonas aeruginosa. Corros. Sci. 2020, 164, 108355. [Google Scholar] [CrossRef]
- Sias, S.R.; Ingraham, J.L. Isolation and analysis of mutants of Pseudomonas aeruginosa unable to assimilate nitrate. Arch. Microbiol. 1979, 122, 263–270. [Google Scholar] [CrossRef] [PubMed]
- Liu, X.; Xiong, J.; Lv, Y.; Zuo, Y. Study on corrosion electrochemical behavior of several different coating systems by EIS. Prog. Org. Coat. 2009, 64, 497–503. [Google Scholar] [CrossRef]
- Wang, L.; Deng, L.; Zhang, D.; Qian, H.; Du, C.; Li, X.; Mol, J.M.C.; Terryn, H.A. Shape memory composite (SMC) self-healing coatings for corrosion protection. Prog. Org. Coat. 2016, 97, 261–268. [Google Scholar] [CrossRef]
- Qian, H.; Ma, L.; Zhang, D.; Li, Z.; Huang, L.; Lou, Y.; Du, C. Microbiologically influenced corrosion of 304 stainless steel by halophilic archaea Natronorubrum tibetense. J. Mater. Sci. Technol. 2020, 46, 12–20. [Google Scholar] [CrossRef]
- Chang, W.; Li, Y.; Li, Z.; Lou, Y.; Cui, T.; Qian, H.; Mol, A.; Zhang, D. The effect of riboflavin on the microbiologically influenced corrosion of pure iron by Shewanella oneidensis MR-1. Bioelectrochemistry 2022, 147, 108173. [Google Scholar] [CrossRef]
- Lou, Y.; Dai, C.; Chang, W.; Qian, H.; Huang, L.; Du, C.; Zhang, D. Microbiologically influenced corrosion of FeCoCrNiMo0. 1 high-entropy alloys by marine Pseudomonas aeruginosa. Corros. Sci. 2020, 165, 108390. [Google Scholar] [CrossRef]
- Golru, S.S.; Attar, M.M.; Ramezanzadeh, B. Studying the influence of nano-Al2O3 particles on the corrosion performance and hydrolytic degradation resistance of an epoxy/polyamide coating on AA-1050. Prog. Org. Coat. 2014, 77, 1391–1399. [Google Scholar] [CrossRef]
- Feng, T.; Wu, J.; Chai, K.; Liu, F. Effect of Pseudomonas sp. on the degradation of aluminum/epoxy coating in seawater. J. Mol. Liq. 2018, 263, 248–254. [Google Scholar] [CrossRef]
- Ramezanzadeh, B.; Attar, M.M. Studying the corrosion resistance and hydrolytic degradation of an epoxy coating containing ZnO nanoparticles. Mater. Chem. Phys. 2011, 130, 1208–1219. [Google Scholar] [CrossRef]
- Doblies, A.; Boll, B.; Fiedler, B. Prediction of thermal exposure and mechanical behavior of epoxy resin using artificial neural networks and Fourier transform infrared spectroscopy. Polymers 2019, 11, 363. [Google Scholar] [CrossRef]
- Ghasemi-Kahrizsangi, A.; Neshati, J.; Shariatpanahi, H.; Akbarinezhad, E. Improving the UV degradation resistance of epoxy coatings using modified carbon black nanoparticles. Prog. Org. Coat. 2015, 85, 199–207. [Google Scholar] [CrossRef]







| Medium | Sterile | P. aeruginosa + 100% Nutrients | P. aeruginosa + 10% Nutrients | P. aeruginosa + 0% Nutrients |
|---|---|---|---|---|
| |Z|0.01Hz (Ω·cm2) | 1.02 × 108 | 1.26 × 107 | 7.08 × 104 | 8.13 × 104 |
| Ecorr (V) | −0.85 | −0.82 | −0.78 | −0.75 |
| Icorr (A·cm−2) | 1.23 × 10−9 | 3.98 × 10−9 | 6.84 × 10−7 | 3.11 × 10−7 |
Disclaimer/Publisher’s Note: The statements, opinions and data contained in all publications are solely those of the individual author(s) and contributor(s) and not of MDPI and/or the editor(s). MDPI and/or the editor(s) disclaim responsibility for any injury to people or property resulting from any ideas, methods, instructions or products referred to in the content. |
© 2023 by the authors. Licensee MDPI, Basel, Switzerland. This article is an open access article distributed under the terms and conditions of the Creative Commons Attribution (CC BY) license (https://creativecommons.org/licenses/by/4.0/).
Share and Cite
Zhang, S.; Zheng, H.; Chang, W.; Lou, Y.; Qian, H. Microbiological Deterioration of Epoxy Coating on Carbon Steel by Pseudomonas aeruginosa. Coatings 2023, 13, 606. https://doi.org/10.3390/coatings13030606
Zhang S, Zheng H, Chang W, Lou Y, Qian H. Microbiological Deterioration of Epoxy Coating on Carbon Steel by Pseudomonas aeruginosa. Coatings. 2023; 13(3):606. https://doi.org/10.3390/coatings13030606
Chicago/Turabian StyleZhang, Shuyuan, Huaibei Zheng, Weiwei Chang, Yuntian Lou, and Hongchang Qian. 2023. "Microbiological Deterioration of Epoxy Coating on Carbon Steel by Pseudomonas aeruginosa" Coatings 13, no. 3: 606. https://doi.org/10.3390/coatings13030606
APA StyleZhang, S., Zheng, H., Chang, W., Lou, Y., & Qian, H. (2023). Microbiological Deterioration of Epoxy Coating on Carbon Steel by Pseudomonas aeruginosa. Coatings, 13(3), 606. https://doi.org/10.3390/coatings13030606
