Experimental Study on the Bending Resistance of Hollow Slab Beams Strengthened with Prestressed Steel Strand Polyurethane Cement Composite
Abstract
:1. Introduction
2. Test Overview
2.1. Test Materials
2.2. Design of Test Beam
2.3. Toughening Scheme
2.4. Measuring Point Arrangement and Loading Scheme
3. On-Site Reinforcement Processes
4. Test Results and Analysis
4.1. Experimental Phenomenon
4.2. Load–Deflection
4.3. Ductility Analysis
4.4. Beam Bottom Strain
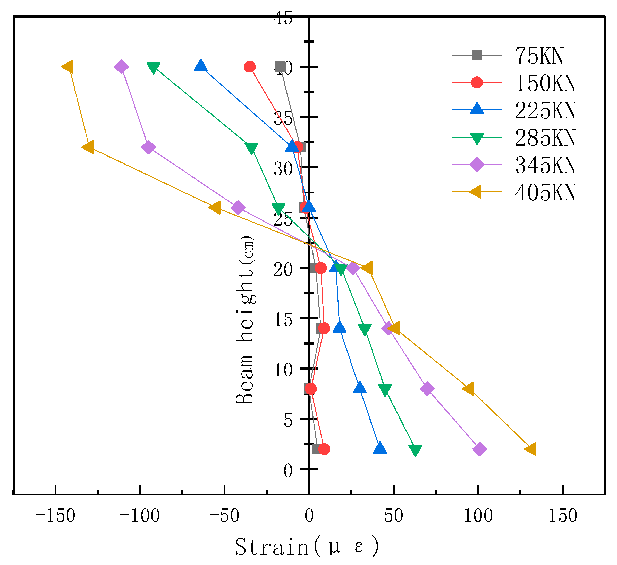
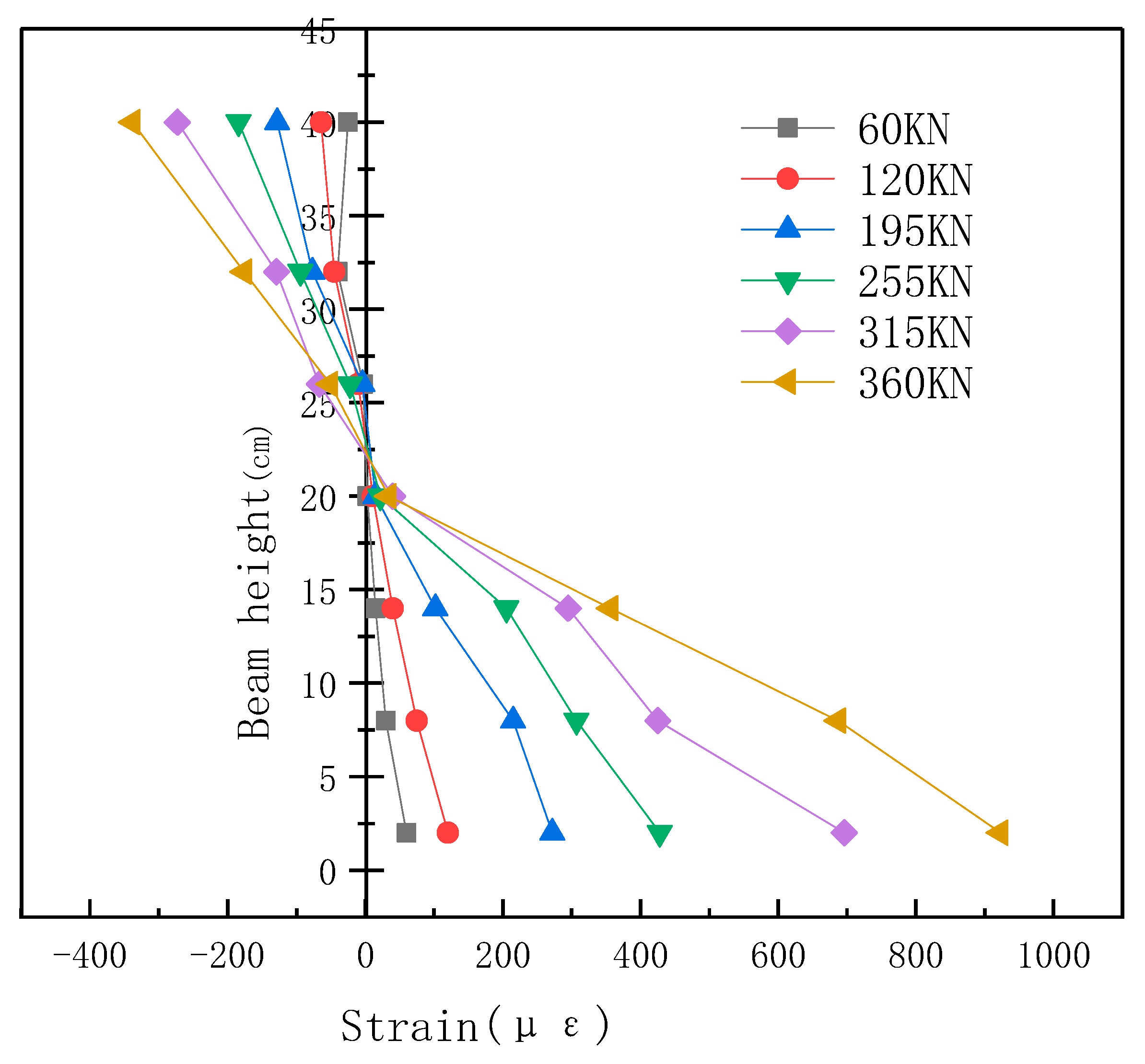
4.5. Strain along Beam Height
4.6. SEM Observation
5. Conclusions
- (1)
- Prestressed steel strand polyurethane cement composite material was used for reinforcement, which significantly improved the crack resistance of the test beam. The crack resistance was as follows: test beam L2 > test beam L3 > test beam L1 > test beam L0;
- (2)
- The slope of the load–deflection curve of the test beam without cracks reflected the rigidity of the test beam at this stage. The rigidity of the test beam was as follows: test beam L2 > test beam L3 ≈ test beam L1 > test beam L0. The combined reinforcement of prestressed steel strand and polyurethane cement composite material reduced the deflection of the test beam under load and effectively improved the rigidity of the test beam;
- (3)
- The ductility of test beams L0, L1, L2 and L3 under load was 1.35, 1.59, 1.60 and 1.67, respectively. The capacity of the test beam to resist inelastic deformation was as follows: test beam L2 > test beam L3 > test beam L1 > test beam L0. The combined toughening of the prestressed steel strand and polyurethane cement composite material effectively improved the ground ductility of hollow slab beams, providing greater safety reserves for the subsequent application of bridge reinforcement;
- (4)
- According to the high strain diagram along the beam of each test beam, it was noted that the high strain along the beam of test beams L0, L1, L2 and L3 under load conformed to the assumption of the plane section when the test beam was under elastic stress, elastic–plastic stress and failure stage;
- (5)
- Use of prestressed steel strand and polyurethane cement composite material to strengthen hollow slab beams effectively improved the flexural bearing capacity of the test beam, and this strengthening technology can be further extended to engineering applications.
Author Contributions
Funding
Institutional Review Board Statement
Informed Consent Statement
Data Availability Statement
Conflicts of Interest
References
- Yang, G.-L.; Li, R.-G. Diseases Analysis on an Old Arch Bridge and Reinforcement Design and Construction. China Concr. Cem. Prod. 2013, 33, 71–74. [Google Scholar]
- Qi-Lin, H. Disease analysis and reinforcement of Yongan Daxi Bridge. Highway 2006, 51, 90–92. [Google Scholar]
- Luo, Y.; Wu, Z.-L.; Tang, G.; Mao, J.-P. Analysis and Treatment of Crack Disease in Existing Highway Bridge with Hollow Slab. J. China Foreign Highw. 2020, 40, 151–153. [Google Scholar]
- Bin-Jie, Z.; Ping, Y. Analysis of horizontal displacement disease and reinforcement technology of pile bearing bridge abutment during operation. Highway 2021, 66, 385–389. [Google Scholar]
- Bo, S.; Deng-Yan, Z.; Ming, Y. Hollow plate disease analysis and improved design. Highway 2016, 61, 105–108. [Google Scholar]
- Pu, G.-N.; Zhong, R.; Meng, T.-L.; Ding, X.-L. Cause analysis and countermeasure of 30 m prestressed concrete hollow slab. Highway 2008, 53, 175–179. [Google Scholar]
- Zhang, K.-P.; Jiang, Y.-L.; Zeng, X.-F. Development and prospect of bridge reinforcement. Highway 2005, 50, 299–301. [Google Scholar]
- Wei, J.-G.; Huang, L.; Li, Y.-P.; Wu, Q.-X. Research on Continuous Transformation and Reinforcement for Old Simply Supported Hollow Slab Bridge. J. Archit. Civ. Eng. 2014, 31, 103–109. [Google Scholar]
- Guo, R.; Wang, R.-X.; Zhao, S.-W. Experiment of Bending Performance of Hollow Slab Beam Strengthened by Planting Bars and External Prestressing. J. Highw. Transp. Res. Dev. 2013, 30, 40–45. [Google Scholar]
- Fu, X.-R.; Hu, C.-Z.; Gao, H.-B. Research on Anchoring External Prestressing Tendons with Wedges in Long-Span T Beam Strengthening. World Bridges 2021, 49, 101–106. [Google Scholar]
- Zhou, J.-G.; Xu, Z.-M. Repair of fatigue cracks in steel box girders by adhesive steel plate technology. Highway 2020, 65, 224–230. [Google Scholar]
- Xu, X.-Y.; Jia, Y.; Shi, G.-S. Application Analysis of Ultra-high Performance Fiber Reinforced Concrete in Highway Bridge Reinforcement. Highw. Eng. 2020, 45, 92–95+135. [Google Scholar]
- Yang, X.-F. Comparative Analysis for Reinforcement Methods of Prestressed Concrete Bridges with Hollow Slabs. J. China Foreign Highw. 2019, 39, 94–96. [Google Scholar]
- Yang, N.; Sun, Q.-S. Experimental Study on Mechanical Properties of Carbon Fiber Polyurethane Cement. Polyurethane Ind. 2019, 34, 35–38. [Google Scholar]
- Zhang, K.X.; Sun, Q.S. Research on mechanical properties of the high-toughness polyurethane-cement composite (PUC) materials. New Build. Mater. 2018, 45, 126–128. [Google Scholar]
- Liu, J.-C.; Xu, C.-C.; Jiang, K.; Long, G.-X.; Wang, Y.-C.; Li, Z.-H. Influencing Factors on the Properties of Ultra-High Toughness Polyurethane Composite. Eng. Plast. Appl. 2021, 49, 104–108. [Google Scholar]
- Yang, N.; Sun, Q.-S.; Li, C.-W. Experimental Study on Pressure Sensitive Characteristics of Carbon Fiber Reinforced Polyurethane Cement Composites. Sci. Technol. Eng. 2018, 18, 27–32. [Google Scholar]
- Zhou, Y.-H. Basic study on rapid reinforcement of railway Bridges with MPC composite materials. Highway 2017, 62, 271–275. [Google Scholar]
- Zhang, L.-D.; Sun, Q.-S. Application of Simply Supported T-Beam Strengthened by MPC High Toughness Polymer. Highway 2016, 61, 90–94. [Google Scholar]
- Gu, D.-D.; Sun, Q.-S. Study of Static Tests for Using MPC Composite Material to Strengthen Void Plate Girder Bridge. World Bridges 2015, 43, 88–92. [Google Scholar]
- Wang, J.-L.; Liu, G.-W.; Ye, L.S. Research on application technology of reinforced hollow slab bridge with MPC composite material. Highway 2013, 58, 39–43. [Google Scholar]




















| Composition | Proportion (%) |
|---|---|
| Isocyanate | 30.5 |
| Modified polyether | 35 |
| Cement | 33.2 |
| Defoaming agent | 0.5 |
| Catalyst | 0.8 |
| Fiber | Fiber Performance Index | |||
|---|---|---|---|---|
| Diameter (μm) | Length (mm) | Density (g/cm3) | Elastic Modulus (GPa) | |
| Carbon fiber | 4 | 12 | 1.8 | 280 |
| Glass fiber | 9 | 12 | 2.5 | 73 |
| Category | Nominal Diameter (mm) | Effective Cross Section (mm2) | Design Value of Tensile Strength (MPa) | Elastic Modulus (GPa) | Poisson’s Ratio |
|---|---|---|---|---|---|
| 1 × 7 standard | 15.2 | 140 | 1860 | 0.195 | 0.3 |
| Test Beam No. | Quantity of Steel Strand (Root) | Tension (MPa) | Reinforcement Material | Fiber Add | Thickness of the Material (cm) |
|---|---|---|---|---|---|
| L0 | 0 | 0 | / | / | / |
| L1 | 3 | 300 | Steel strand, polyurethane cement composite material | / | 4 |
| L2 | 3 | 400 | Steel strand, polyurethane cement composite material | / | 4 |
| L3 | 3 | 300 | Steel strand, polyurethane cement composite material | 0.04 and 0.04% carbon fiber and glass fiber | 4 |
| Test Beam No. | Cracks Appear | Multiple Cracks and Increasing Deflection | Rapid Crack Extension | Fracture of Toughened Material |
|---|---|---|---|---|
| L0 | 150 kN | 165 kN | 195 kN | 240 kN (crack propagation beam top) |
| L1 | 225 kN | 330 kN | 370 kN | 450 kN |
| L2 | 315 kN | 330 kN | 450 kN | 495 kN |
| L3 | 240 kN | 300 kN | 380 kN | 465 kN |
| Test Beam | |||
|---|---|---|---|
| L0 | 31.7 | 42.8 | 1.35 |
| L1 | 25.4 | 40.5 | 1.59 |
| L2 | 23 | 38.6 | 1.67 |
| L3 | 27.8 | 44.7 | 1.60 |
Disclaimer/Publisher’s Note: The statements, opinions and data contained in all publications are solely those of the individual author(s) and contributor(s) and not of MDPI and/or the editor(s). MDPI and/or the editor(s) disclaim responsibility for any injury to people or property resulting from any ideas, methods, instructions or products referred to in the content. |
© 2023 by the authors. Licensee MDPI, Basel, Switzerland. This article is an open access article distributed under the terms and conditions of the Creative Commons Attribution (CC BY) license (https://creativecommons.org/licenses/by/4.0/).
Share and Cite
Li, J.; Cui, Y.; Xiong, D.; Lu, Z.; Dong, X.; Zhang, H.; Cui, F.; Zhou, T. Experimental Study on the Bending Resistance of Hollow Slab Beams Strengthened with Prestressed Steel Strand Polyurethane Cement Composite. Coatings 2023, 13, 458. https://doi.org/10.3390/coatings13020458
Li J, Cui Y, Xiong D, Lu Z, Dong X, Zhang H, Cui F, Zhou T. Experimental Study on the Bending Resistance of Hollow Slab Beams Strengthened with Prestressed Steel Strand Polyurethane Cement Composite. Coatings. 2023; 13(2):458. https://doi.org/10.3390/coatings13020458
Chicago/Turabian StyleLi, Jin, Yongshu Cui, Dalu Xiong, Zhongmei Lu, Xu Dong, Hongguang Zhang, Fengkun Cui, and Tiancheng Zhou. 2023. "Experimental Study on the Bending Resistance of Hollow Slab Beams Strengthened with Prestressed Steel Strand Polyurethane Cement Composite" Coatings 13, no. 2: 458. https://doi.org/10.3390/coatings13020458
APA StyleLi, J., Cui, Y., Xiong, D., Lu, Z., Dong, X., Zhang, H., Cui, F., & Zhou, T. (2023). Experimental Study on the Bending Resistance of Hollow Slab Beams Strengthened with Prestressed Steel Strand Polyurethane Cement Composite. Coatings, 13(2), 458. https://doi.org/10.3390/coatings13020458
