Abstract
Zeolites are used to store sunlight energy in the form of latent heat of adsorption. The energy is stored by dehydration of the substance and released by its rehydration. The availability of an online monitoring technique for this hydration/dehydration process is an extremely useful potentiality for an optimal exploitation of such technology, since it allows establishment of the degree of activation and saturation of the material. Here, an electrical method has been developed and used for monitoring the hydration/dehydration process of a sample of natural clinoptilolite. Clinoptilolite has been selected as a model zeolitic material for testing this monitoring technique since it is a widely spread, very inexpensive, and highly mechanically stable zeolite type, that could be used for such a purpose. The study has been performed in the presence of pure water vapor and wet air (75RH) after having dehydrated the sample by exposition to sunlight for 12 h. The developed monitoring method has also allowed us to have information on the kinetics of the process (Lagergren pseudo-first order), to establish the specific rate of hydration (3.3 × 10−3 min−1), and to have an idea of the involved adsorption mechanism. The sample of natural clinoptilolite was also chemically and structurally characterized by EDS, XRD, DSC, and TGA.
1. Introduction
The Greek noun zeolite means: ‘the boiling stone’ (from the words: Zein = to boil and Lithos = stone) [1], and it originates from the important characteristic of such a substance to lose water when it is heated [2]. In fact, water desorption from the zeolite surface (cationic sites) is an endothermic process that can be induced by heating this substance, while water adsorption on the same adsorption sites is an exothermic process. The amount of heat that can be stored by zeolite during the dehydration process is so large that it has been possible even to cook some tender foods, such as fish and vegetables, by using this very innovative and unusual approach known as ‘zeocooking’ [2,3]. The possibility to store sunshine energy in the form of latent heat in zeolitic materials and to reuse such energy simply by adding some water to it represents a very important technological potentiality. Zeolites are widely spread in nature (e.g., phillipsite, mordenite, and clinoptilolite), and they are being studied (principally faujasite) as materials to conveniently store the large quantity of sunshine energy available during the summer period (dehydration is induced by exposition to sunlight concentrated by means of mirrors or lenses) [4]. Then the stored energy is recovered by a controlled rehydration process obtained, for example, by exposing the material to a water vapor flow [5,6,7,8,9,10]. Clinoptilolite is a natural zeolite that could be preferred for investigating such a type of application principally because of its high mechanical stability (usually the structural porosity of zeolites makes them as highly friable solids) and large availability on the market, at a very low cost. Optimal zeolitic systems based on this principle (e.g., adsorption chillers, adsorption heat pumps, and other thermochemical storage systems) have reached energy densities of 150–200 kWm−3.
Cations contained in zeolites are responsible for the molecular adsorption of water and other small polar molecules. In particular, owing to the presence of extra-framework cations (i.e., the charge-balancing cations) in their crystal lattice, natural zeolites are minerals capable to absorb polar molecules having very small kinetic diameter (e.g., water, ammonia, methanol, ethanol, and formaldehyde) on their external and internal surface (i.e., micro-channels and meso-porosity) [11]. The small size is required for the permeation of molecules in the ordered porosity of the mineral, and the molecular adsorption takes place by ion–dipole interaction. In particular, zeolites have a very high capability to absorb water vapor molecules, and such a property has been exploited in different technological applications (e.g., desiccant materials [12,13], thermal energy storage [4,5,6,7,8,9,10,14], and humidity sensors [15,16]). The reason is that zeolites can potentially adsorb a number of small polar molecules on the own extra-framework cations by ion–dipole interaction; however, water molecules result preferentially adsorbed on zeolite for different reasons. Owing to the small size of the zeolite channels (for example, for clinoptilolite the maximum pore diameter is 7.4 Å), the small water molecules (kinetic diameter of ca. 2.75 Å) quickly permeate the crystal lattice. Diffusion rate depends on the pore size and large molecules are excluded or move very slowly in these channels. In addition, the dipole moment of the v-shaped water molecule is very high compared to that of other small polar molecules. Moreover, the special shape of water molecules has a role in facilitating their physical adsorption (shape selectivity effect) [2]. Consequently, this special molecule can displace almost all types of adsorbed polar molecules from the cationic sites.
Usually, alkali (Na+, K+) and alkaline-earth (Ca2+, Mg2+, etc.) metal cations are contained in the crystal lattice of the natural zeolites (e.g., clinoptilolite), and these species can act as charge carriers for the electrical transport in these materials. The amount of cations contained in the crystal lattice is related to the Si/Al atomic ratio, and consequently the electrical conductivity depends on this important structural parameter, which changes with the type of zeolite. However, the Coulomb interactions acting among these cations and the negatively charged aluminum atoms present in the framework (actually, the full nucleophilic areas is involved since, according to the resonance theory, the negative charge is not localized but it is spread among the aluminum atom and the four oxygen atoms bonded to it) are quite strong, and consequently the electrical conductivity of anhydrous zeolites is very low at room temperature [17]. The natural zeolite electrical conductivity can be significantly increased by exposing the mineral to a wet environment because cation hydration by one or more water molecules decreases the intensity of the electrostatic interaction with the nucleophilic area in the lattice, thus allowing cations to easily move under the application of an electric field [18]. When zeolite is exposed to moisture, such an increase in the cation mobility readily takes place.
Since cations can play the double role (i) to adsorb polar molecules and (ii) to allow electrical transport in zeolites, simple electrical measurements performed on pieces of natural zeolite (e.g., clinoptilolite) exposed to a constant and known humidity environment can be used to monitor the adsorption/desorption process and to investigate the kinetics of these adsorption processes with the intent of measuring the specific rate, reaction order, etc., and to clarify the mechanism of polar molecule adsorption on cations trough ion–dipole forces.
As proved by the large number of articles that have recently appeared in the literature, the long-term storage of thermal energy by natural zeolitic materials is an extremely actual and relevant topic for the technological development of new strategies for energy production and storage. In particular, the idea to develop a simple technique for real-time monitoring of the amount of water loaded by zeolite during the heat release process or the residual water content in the zeolite during the thermal activation process derives from the technological necessity to opportunely design the operation cycles of this promising innovative technological solution (i.e., the time required for the full zeolite activation at the different temperatures and/or the residual service time). In other words, the availability of a way to “visualize” the evolution of the process of water loading/unloading from the zeolite mineral is absolutely of a mandatory importance. Also relevant for the present technological application is the possibility to exploit abundant natural sources of this special mineral substance, since they are available in most of the world’s countries at a very low price and clinoptilolite is the most common.
To the best of our knowledge, an electrical method has never been proposed for the cycle assessment of zeolite thermal storage materials. In addition, this technique represents a universal approach (indeed, clinoptilolite is only one example of zeolitic material potentially useful for heat storage) and can be applied to all types of natural and synthetic zeolites.
Here, a method for monitoring the hydration and sunlight-induced dehydration processes and therefore the saturation/activation level of the zeolitic material has been described and used. Clinoptilolite was selected as model material and samples of natural clinoptilolite were exposed to sunlight for 12 h before testing. Then, the hydration process was investigated in presence of pure water vapor and under mild humidity conditions (i.e., constant humidity environment with 75RH) by following the temporal behavior of the electrical transport in the material (i.e., intensity of the current in the sample biased by a 20 Vpp, 5 kHz sinusoidal voltage). The hydration kinetics under mild humidity conditions (i.e., 75RH) has been also investigated. The tested mineral sample has been chemically structurally characterized by energy dispersive X-ray spectroscopy (EDS), powder diffraction (XRD), and thermal analysis (DSC, TGA), in order to know its composition.
2. Experimental Part
The clinoptilolite mineral was selected as model material for this study, because it is a mechanically stable hydrophilic zeolite. In addition, this mineral represents the most common type of natural zeolite, widely spread on the market at a very low cost. The mineral was provided by the TIP Technische Industrie-Produkte, GmbH (Waibstadt, Germany) and it was investigated in its pristine form. The mineral was chemically analyzed by Energy Dispersive X-ray Spectroscopy (EDS, FEI Quanta 200 FEG microscope, equipped with EDS Oxford Inca Energy System 250, equipped with INCAx-act LN2-free detector, Oxford, UK) in order to value the Si/Al ratio, cation types and relative amounts, minimum chemical formula, etc. Four different samples were chemically analyzed by measuring a surface area of ca. 900 μm2. The total water content was measured by thermogravimetric analysis (TGA, TA-Instrument Q500, TA Instrument, New Castle, PA, USA). Tests were performed on powdered clinoptilolite samples by using a TA-Instruments Q500, operating in flowing nitrogen with a constant rate of 10 °C/min. The desorption process of water molecules from the mineral was also investigated by differential scanning calorimetry tests (DSC, TA-Instrument Q200, TA Instrument, New Castle, PA, USA). The percentage of clinoptilolite present in the mineral was established by X-ray diffraction (X’Expert PRO, PANalytical, Oxford, UK).
Impedance spectroscopy, I–V characteristics, and time-resolved current intensity measurements were performed on the surface of rectangular monoliths obtained by cutting the raw material (electrical mini-grinder, 130W, VUM-40, Vigor, Fossano, Italy, with diamond cutting disc). The two electrical contacts were obtained by using a silver paint (ENSON, EN-0638, Beijing, China). For time-resolved measurements, a sinusoidal voltage signal (20 Vpp, 5 kHz), generated by a direct digital synthesis (DDS) function generator (GW Instek, mod. SFG-1013, Good Will Instrument Co., Ltd., New Taipei, Taiwan, China) was applied to the silver electrodes and the generated effective current intensity was measured by using a True-RMS digital multimeter (DMM) (Brymen, BM869s, New Taipei, Taiwan, China, 100 kHz bandwidth). Current intensity was recorded by a devoted multimeter data logger (Brymen, BU-86x, New Taipei, Taiwan, China, with the software: Bs86x Data Logging System, Ver. 6.0.0.3s, Brymen, New Taipei, Taiwan, China). For the hydration tests, zeolite samples were exposed to the vapor tension of pure water and to air having a constant humidity content (75RH), obtained by saturating water with sodium chloride salt (i.e., the saturated-salt solution technique, based on wet NaCl crystals).
3. Results and Discussion
Before to monitor the clinoptilolite water adsorption process and to study the related kinetics, the clinoptilolite sample was chemically characterized by Energy Dispersive X-ray Spectroscopy (EDS). EDS analysis is a simple spectroscopic technique, associated with a scanning electron microscope (SEM), capable to provide the most important chemical information on this mineral, for example: the characteristic Si/Al atomic ratio, type and relative amount of cations present in it, type of clinoptilolite mineral, chemical formula, content of empty nucleophilic sites, etc. The elemental composition of the sample achieved by EDS analysis is given in Table 1 in atomic, weight and molar percentages.
Table 1.
Atomic, weight, and molar percentages of the different elements contained in the clinoptilolite sample as determined by EDS (colors indicate the elements belonging to covalent framework or extra-framework region).
This elemental composition of the mineral substance can be compactly represented by using a Kiviat chart in semi-logarithmic scale, as shown in Figure 1. In particular, the framework elements have been grouped on the right-side of the regular polygon, while the extra-framework elements have been grouped on the left-side. For those inorganic compounds that count a quite large number of elements such as zeolites, this type of diagram is very convenient as representation method because it gives at a glance the idea of the system composition. Indeed, the irregular polygon inscribed within the regular polygon leans toward the most abundant elements contained in the substance. The semi-logarithmic scale is needed since the framework elements (i.e., oxygen, silicon, and aluminum) are largely more abundant than the extra-framework species (some element such as iron are present just at an impurity level). According to the measured Si and Al atomic percentages, the characteristic value of the Si/Al ratio was 5.3, which agrees with the values commonly observed for this type of mineral substance [19]. According to this Si/Al ratio, the clinoptilolite mineral is a hydrophilic zeolite type that should show enough water adsorption capability.
Figure 1.
EDS-spectrum of the clinoptilolite sample with the analyzed area in the inset (a) and Kiviat chart of the elemental composition (b). Framework elements have been conventionally grouped on the right-side, while extra-framework elements are on the left-side.
Four types of cations are present in the mineral: K+, Ca2+, Fe3+, and Mg2+. Calcium and potassium ions are the most abundant types and, therefore, the sample could be classified as clinoptilolite-K, Ca. These two ions are present in the system in comparable quantities, but owing to the lower charge density of K+, this ion is the only active charge-carrier in the electrical transport mechanism. Potassium ion moves by hopping among the free nucleophilic sites present in the framework, that are originated because of the presence of multi-charged cations (i.e., Ca2+, Mg2+, and Fe3+). In particular, the EDS analysis can provide the approximate value of the ratio between the amount of empty cationic sites and charge-carriers (i.e., K+ cations), which is given by the quantity:
Therefore, there are almost one and half empty sites for the hopping of each hydrated K+ cation. Such information is important because, when the conductive mechanism in a material is based on hopping, the electrical transport depends not only on the charge-carrier concentration but also on the quantity of available empty sites.
The common chemical formula of the clinoptilolite mineral is well-known and it corresponds to (K2,Ca)3Al6Si30O72.24H2O [20]. Since the EDS technique also provides the atomic percentage (or molar percentage) of the oxygen present in the compound, it is possible to compare the experimentally found mineral stoichiometric composition with that expected for the clinoptilolite by calculating the atomic ratio: , which results: 2.67 (see Table 1). Therefore, a good accordance has been found between experimental and theoretically expected (i.e., 96/(30 + 6) = 2.67) stoichiometric compositions.
The EDS analysis has been also used to test the homogeneity of the natural sample composition by performing the elemental analysis in different points of the same sample surface (see Figure 2). As visible, the composition data achieved by EDS are mostly consistent (low fluctuation of the measured values), especially for the most abundant elements.

Figure 2.
EDS analysis performed in different points of the sample surface (a) and consistency of the achieved measurements (b).
However, EDS information should be quite approximate since natural zeolites, like many other mineral substances, are heterogeneous systems, that include a number of crystalline solid-phases, and the zeolite phase is only the most abundant component. Powder diffraction (XRD) represents the standard structural characterization approach for crystalline materials, and it is used to identify each crystalline phase contained in the mineral. According to the XRD analysis performed on our sample, the main mineral components were clinoptilolite (48.4% by weight), anorthite (42.0% by weight), and cristobalite (8.9% by weight). A little amount of another zeolite named stilbite (0.7% by weight) has also been detected in the XRD diffractogram. Similarly, to the elemental composition of the mineral established by EDS, the distribution of the different crystalline solid-phases in the composite mineral can be conveniently represented by using the Kiviat chart in semi-logarithmic scale (see Figure 3). It must be pointed out that the anorthite presence in this mineral does not affect the clinoptilolite chemical composition determined by EDS because it is a silico-aluminate compound with equal quantities of aluminum, silicon, and oxygen.

Figure 3.
Kiviat chart of the crystalline solid-phase percentages present in the mineral, as obtained by the XRD analysis (a), and XRD diffractogram (b).
Since water is involved in the heat storage mechanism it is important to quantify its amount in the mineral. The total amount of water contained in the clinoptilolite sample, when it is in equilibrium with air, was established by Thermo-Gravimetric Analysis (TGA). A typical TGA-thermogram of the clinoptilolite sample is shown in Figure 4a. According to this TGA result, natural clinoptilolite is a hygroscopic substance and the percentage of water present in the sample was ca. 10% by weight. Water can be completely removed from the sample by heating it at a temperature higher than 500 °C, and therefore the effectiveness of the sample exposition to sunlight in the dehydration process depends on the geographic collocation and the used light concentration technology.

Figure 4.
TGA (a) and DSC (b) thermograms of the studied clinoptilolite sample.
The water contained in the natural clinoptilolite sample has been also qualitatively investigated by using DSC, with the aim to establish the nature of the different water types. The DSC thermogram of the mineral is given in Figure 4b. The very broad endothermic signal visible in the DSC thermogram, which extends from ca. 100 °C to ca. 450 °C, is generated by the desorption of at least three different types of physically adsorbed water molecules (i.e., water molecules adsorbed on the external surface and in the mesoporosity (1), water molecules adsorbed in the super-cages of the microporosity (2), and water molecules adsorbed in the sodalite cages of the microporosity (3)). It is important to observe that water adsorbed on the external surface and in mesoporosity is the most abundant fraction of the total water present in clinoptilolite and it is fully desorbed at a temperature close to 100 °C.
The impedance spectrum of the clinoptilolite sample in a 100 Hz–10 kHz frequency range is shown in Figure 5a. Such a type of electrical characterization allows to understand the behavior of the material electrical transport in a.c. conditions. According to the obtained curve profile, the clinoptilolite sample has a reactive nature and its equivalent circuit is a RC series model with a capacitance, C, of ca. 490pF and a resistance, R, of ca. 100 kΩ (for the sample geometry shown in Figure 6a). Figure 6b shows a detail of the surface of electrodes fabricated on clinoptilolite by silver paint. As visible, the electrode is made by a percolative structure of silver nanoparticles. As a consequence, the reactive contribution to the total sample impedance, XC = 1/ω·C, rapidly reduces with increasing of the frequency and it can be considered as negligible at a frequency equal or higher than 5 kHz (consequently, the measured sample impedance, Z, reduces to its resistance, Z ≈ R). In other words, at a frequency lower than 5 kHz the charge carriers (cations) are involved in the electrical transport, but they also partially accumulate at the sample-electrode interface; differently above 5 kHz all charge carriers participate to the electrical transport mechanism. As a consequence, at 5 kHz the charge carrier concentration is directly proportional to the current density, J = I/S, according to the law: J = z·e·µ·E [21], where z is the cation charge (i.e., 1 for the potassium cation), e is the elementary charge (1.6 × 10−19 C), E is the local electric field, and µ is a characteristic property of the cation known as mobility. This condition allows the electrical monitoring of the cation hydration/dehydration process by simple current intensity measurement.
Figure 5.
Impedance spectrum of the natural clinoptilolite sample (a) and I–V characteristics of the same sample at a frequency of 5 kHz (b).
Figure 6.
Photograph of the electrically tested sample (a) and SEM-micrograph of the silver electrode surface (b).
The I–V characteristics of the same clinoptilolite sample at equilibrium with an environment of 75RH is shown in Figure 5b. As visible, the sample biased by a sinusoidal voltage with a frequency of 5 kHz behaved like an ohmic conductor up to a voltage of 7 Veff (20 Vpp) and its surface resistance was of 93 kΩ.
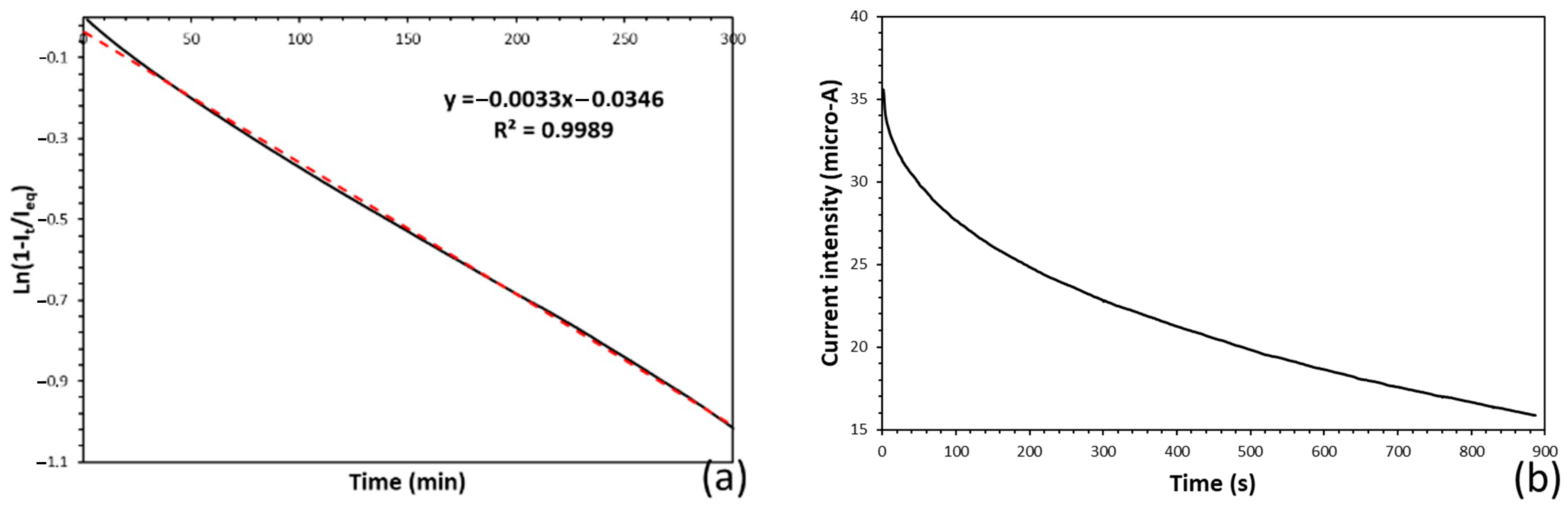
The kinetic study of the water adsorption process on K+ ions in clinoptilolite allows to determine the specific rate of the process. This kinetic study can be performed by measuring the temporal evolution of the electrical transport in the sample, when it is exposed to a wet atmosphere. Time-resolved measurements were made on clinoptilolite samples biased by a sinusoidal voltage (20 Vpp, 5 kHz). Since the two electrodes have been placed on the external surface of the piece of clinoptilolite (see Figure 6a), diffusion of the water molecules in the clinoptilolite micro- and meso-porosity is not necessary to have electrical transport in the material. As visible in Figure 7, when the sample is exposed to water vapor, a raising in the current intensity moving at the sample surface (and in the immediately sub-surface region) is readily observed. Since current intensity in clinoptilolite and therefore carrier concentration was promptly affected by exposing it to this wet environment, the role played by cations in the water adsorption mechanism is confirmed. In particular, if the electrically contacted sample is exposed to pure water vapor (tap water) inside a closed box, the current intensity raises very quickly and in a nonlinear manner, in a few seconds the sample transforms from a dielectric material to an electrical conductor. In order to slow down the hydration process, thus allowing an easier monitoring of the current intensity increase, the humidity content of the atmosphere in the box has been lowered to a known value, corresponding to 75RH, by using the saturated salt method based on wet NaCl crystals. Owing to the lower humidity content present in the atmosphere of the closed container, the current intensity showed a slower temporal increase, and it was easier to accurately record it. This very simple measurement allows to have an index evolving proportionally to the quantity of adsorbed water and therefore it is useful to establish when the material has saturated all surface adsorption sites. A different positioning of the electrodes could allow to obtain the same type of information also on the material bulk. Owing to the effect of the applied sinusoidal electrical field, the cations that are located in the region of the sample involved in the measurement make an oscillatory movement. The amplitude of such oscillations should be quite limited because of the very high voltage frequency that is applied during the measurements (i.e., 5 kHz). However, the phenomenon of water molecule adsorption on these oscillating cations should not be significantly affected by their movement, principally because of the very intensive ion–dipole interaction forces that are involved in the adsorption process [22]. Ion–dipole interactions represent a fundamental attractive force (300–40 kcal/mol), indeed such a type of physical interaction is responsible for the highly stable protein ternary and quaternary structure [22]. Finally, when the physical adsorption phenomenon is monitored by the here present electrical method, the heat storage performance of the mineral should not be affected, and the recorded temporal behaviour of the electrical current intensity could be considered as reliable.
Figure 7.
Temporal evolution of the current intensity during the hydration in presence of pure water vapour (a) and at 75RH (b).
It is possible to establish the type of kinetic control that is active in the adsorption process and to formulate an hypothesis on the involved reaction mechanism, by mathematically elaborating the current intensity temporal behavior shown in Figure 7b. Owing to the current intensity proportionality with the concentration of the charge carriers (i.e., ), the current intensity measurements can be used to calculate the numerical value of the ratio between the carrier concentration at t time and at equilibrium (i.e., ). The complementary value of this ratio corresponds to the unsolvated K+ ions (i.e., ), that become charge carriers only after solvation by water. As visible in Figure 8, the logarithm of this quantity behaves linearly vs. time (a linear best-fitting with a correlation factor R of 0.9989 has been found). As a consequence, the water adsorption process follows a Lagergren pseudo-first kinetic order and, according to the performed linear best-fitting of the experimental data, the specific adsorption rate is 3.3 × 10−3 min−1 at a temperature of 25 °C.
Figure 8.
Experimental data elaboration and calculation of the specific kinetic rate of water adsorption on clinoptilolite (a) and monitoring of the water desorption from the clinoptilolite sample (b).
Usually, the adsorption reaction involves a bimolecular interaction between the adsorption site (K+) and the water molecule and consequently it should have a second-order kinetics. However, since in this experiment the water vapor concentration is kept constant (75RH) during the time by using the saturated salt method, the adsorption reaction becomes of the first kinetic order. Therefore, the kinetic behavior observed in a condition of low humidity content is compatible with an adsorption mechanism based on the following elementary step that involves a single water molecule addition to the cation:
An important point concerning the positioning of the water molecule adsorbed on the potassium cation. According to thermodynamics, physical interactions must be maximized in the final chemical conformation of the adsorption site, in order to lower the system energy content at a minimum value. Consequently, the adsorbed water molecule must be placed at the interface between framework and cation. In particular, when the cation bonds the oxygen atom of the water molecule (ion–dipole interaction), its positive charge transfers to the oxygen and consequently the resulting molecular adduct should prefer to electrostatically interact with the negative site (aluminum atom) through the water molecule oxygen atom. Therefore, the water molecule spontaneously moves at the interface with the alumino-silicate framework (see Scheme 1).
Scheme 1.
Chemical structure of the cationic site in the hydrated state.
Obviously, reaction (1) is reversible because the hydrated cations spontaneously decompose, giving back K+ and water. Moreover, desorption in air under sunlight can be monitored by the same electrical technique (see Figure 8b) and the kinetic rate of the inverse reaction can be measured too.
Owing to the present need for new energy sources, the use of zeolite as heat storage material is an actual and relevant research field [23,24,25]. Monitoring of the extent of the hydration/dehydration process represents a determining aspect that has been carried out by using different physical approaches in an off-line manner. The zeolite hydration kinetics has been principally investigated by using differential scanning calorimetry (DSC) in a humid gas stream [26]. Tests are typically performed under hysothermal conditions within a thermal analysis device that records simultaneously DSC and thermogravimetric analysis (TGA) signals. Monitoring changes in sample mass (corresponding to the extent of reaction progress) coincident with a quantitative measurement of heat flow allows for direct detection of ΔH as a function of the extent of hydration, which can be integrated to determine ΔHtot. The behaviour of natrolite, analcime, and chabazite have been investigated by using this strategy [26]. Such a characterization method allows to have direct information on the heat generated during the hydration process; however it is a quite expensive and complex approach that requires to minimize the errors associated with significant baseline uncertainties (see Figure 4). Other calorimetric techniques and regression of phase equilibrium data have also been used [27,28,29]. Adsorption has been investigated also by other off-line approaches, for example, the gravimetrical method [30], finding a perfect accordance with the behaviours obtained by the here presented electrical method (i.e., the Lagergren pseudo first-order kinetic behaviour). Moreover, the dehydration process has been studied by DSC [31] and more complex approaches, for example, by in situ synchrotron powder diffraction [32].
4. Conclusions
The capability of zeolite to absorb water can be conveniently exploited for a number of technological applications, for example, water vapor sensing, dehydration, and humidity control in buildings. However, zeolites can be also used in the energy field as heat storage material based on the latent heat of the zeolite hydration process. For such a reason, it is very useful to make available a method for monitoring the progress of the zeolite hydration, that can offer also the possibility to study the kinetics and the mechanism of this process. Clinoptilolite is a very common type of natural zeolite, potentially useful to fabricate zeolite-based heat storage systems; consequently, it has been selected for this study as model material. The clinoptilolite hydration process can be easily monitored by measuring the intensity of a sinusoidal electric current moving in it during the hydration process (for example, the surface current intensity, resulting from a.c. biasing, can be monitored). An a.c. current of convenient frequency (5 kHz) is required, and its generation and measurement can be achieved by a simple electronic setup (i.e., low-frequency sinusoidal generator and broadband a.c. micro-ammeter connected in series with the sample). Based on this electrical monitoring approach the kinetics of the hydration process for clinoptilolite has been studied and the hydration specific rate has been determined ( min−1). A hypothesis on the hydration mechanism could be formulated on the basis of the found kinetic order (pseudo-first order) and it should correspond to the addition of a single water molecule to each K+ cation.
Funding
This research received no external funding.
Institutional Review Board Statement
Not applicable.
Informed Consent Statement
Not applicable.
Data Availability Statement
Data sharing is not applicable to this article.
Conflicts of Interest
The author declare no conflict of interest.
References
- Derbe, T.; Temesgen, S.; Bitew, M. A short review on synthesis, characterization, and applications of zeolites. Adv. Mater. Sci. Eng. 2021, 2021, 6637898. [Google Scholar] [CrossRef]
- Ghobarkar, H.; Schaf, O.; Guth, U. Zeolites—From kitchen to space. Prog. Solid St. 1999, 27, 29–73. [Google Scholar] [CrossRef]
- Shibano, Y. Cooking Equipment Using Zeolite. JP Patent JPH07148073A, 1993. Available online: https://patents.google.com/patent/JPH07148073A/en (accessed on 28 January 2023).
- Bilgin, O. Natural zeolite minerals as storage of solar energy. Int. J. Eng. Res. Technol. 2014, 3, 741–744. [Google Scholar]
- Jung, D.; Khelifa, N.; Lävemann, E.; Sizmann, R. Energy Storage in Zeolites and Application to Heating and Air Conditioning. Stud. Surf. Sci. Catal. 1985, 24, 555–562. [Google Scholar]
- Aiello, R.; Nastro, A.; Colella, C. Solar energy storage through water adsorption-desorption cycles in zeolitic tuffs. Thermochim. Acta 1984, 79, 271–278. [Google Scholar] [CrossRef]
- Di Palo, M.; Sabatelli, V.; Buzzi, F.; Gabbrielli, R. Experimental and Numerical Assessment of a Novel All-In-One Adsorption Thermal Storage with Zeolite for Thermal Solar Applications. Appl. Sci. 2020, 10, 8517. [Google Scholar] [CrossRef]
- Fasano, M.; Bergamasco, L.; Lombardo, A.; Zanini, M.; Chiavazzo, E.; Asinari, P. Water/Ethanol and 13X Zeolite Pairs for Long-Term Thermal Energy Storage at Ambient Pressure. Front. Energy Res. 2019, 7, 148. [Google Scholar] [CrossRef]
- Vasta, S.; Brancato, V.; La Rosa, D.; Palomba, V.; Restuccia, G.; Sapienza, A.; Frazzica, A. Adsorption Heat Storage: State-of-the-Art and Future Perspectives. Nanomaterials 2018, 8, 522. [Google Scholar] [CrossRef]
- Henninger, S.K.; Jeremias, F.; Kummer, H.; Schossig, P.; Henning, H.-M. Novel Sorption Materials for Solar Heating and Cooling. Energy Procedia 2012, 30, 279–288. [Google Scholar] [CrossRef]
- Ackley, M.W.; Rege, S.U.; Saxena, H. Application of natural zeolites in the purification and separation of gases. Microporous Mesoporous Mater. 2003, 61, 25–42. [Google Scholar] [CrossRef]
- Djaeni, M.; Kurniasari, L.; Sasongko, S. Preparation of natural zeolite for air dehumidification in food drying. Int. J. Sci. Eng. 2015, 8, 80–83. [Google Scholar]
- Djaeni, M.; Kurniasari, L.; Purbasari, A.; Sasongko, S. Activation of natural zeolite as water adsorbent for mixed-adsorption drying. In Proceeding of the 1st International Conference on Materials Engineering (ICME) and 3rd AUN/SEED-Net Regional Conference on Materials (RCM), Yogyakarta, Indonesia, 25–26 November 2010. [Google Scholar]
- Rönsch, S.; Auer, B.; Kinateder, M.; Gleichmann, K. Zeolite Heat Storage: Key Parameters from Experimental Results with Binder-Free NaY. Chem. Eng. Technol. 2020, 43, 2530–2537. [Google Scholar] [CrossRef]
- Xu, X.; Wang, J.; Long, Y. Zeolite-based Materials for Gas Sensors. Sensors 2006, 6, 1751–1764. [Google Scholar] [CrossRef]
- Nagai, M.; Hibino, M.; Nishino, T. Humidity Sensor Characteristics of Porous Zeolite Ceramics at Elevated Temperatures. J. Ceram. Soc. Jpn. 1989, 97, 1296–1299. [Google Scholar] [CrossRef]
- Kelemen, G.; Schon, G. Ionic conductivity in dehydrated zeolites. J. Mater. Sci. 1992, 27, 6036–6040. [Google Scholar] [CrossRef]
- Schaf, O.; Ghobarkar, H.; Adolf, F.; Knauth, P. Influence of ions and molecules on single crystal zeolite conductivity under in situ conditions. Solid State Ion. 2001, 143, 433–444. [Google Scholar] [CrossRef]
- Deshpande, V.; Bhoskar, B. Dielectric study of zeolite clinoptilolite. Int. J. Eng. Res. Technol. 2012, 1, 2278. [Google Scholar]
- Hajialigol, S.; Taher, M.A.; Malekpour, A. A New Method for the Selective Removal of Cadmium and Zinc Ions from Aqueous Solution by Modified Clinoptilolite. Adsorpt. Sci. Technol. 2006, 24, 487–496. [Google Scholar] [CrossRef]
- Kasap, S.; Capper, P. (Eds.) Springer Handbook of Electronic and Photonic Materials; Springer Science & Business Media, Inc.: Wurzburg, Germany, 2017. [Google Scholar] [CrossRef]
- Sippel, K.H.; Quiocho, F.A. Ion-dipole interactions and their functions in proteins. Protein Sci. 2015, 24, 1040–1046. [Google Scholar] [CrossRef]
- De Gennaro, B.; Cappi, A.; de Gennaro, M.; Bianco, N.; Langella, A.; Cappelletti, P.; Marocco, A.; Aprea, P.; Pansini, M. Use of Zeolites in the Capture and Storage of Thermal Energy by Water Desorption—Adsorption Cycles. Materials 2022, 15, 5574. [Google Scholar] [CrossRef]
- Banaei, A.; Zanj, A. A Review on the Challenges of Using Zeolite 13X as Heat Storage Systems for the Residential Sector. Energies 2021, 14, 8062. [Google Scholar] [CrossRef]
- Kouchachvili, L.; Bardy, D.A.; Djebbar, R.; Hogg, L.E.W. Natural zeolite as host matrices for the development of low-cost and stable thermochemical energy storage materials. J. Porous Mater. 2023, 30, 163–173. [Google Scholar] [CrossRef]
- Neuhoff, P.S.; Wang, J. Isothermal measurement of heats of hydration in zeolites by simultaneous thermogravimetry and differential scanning calorimetry. Clays Clay Miner. 2007, 55, 239–252. [Google Scholar] [CrossRef]
- Carey, J.W.; Bish, D.L. Calorimetric measurement of the enthalpy of hydration of clinoptilolite. Clays Clay Miner. 1997, 45, 826–833. [Google Scholar] [CrossRef]
- Chipera, S.J.; Bish, D.L. Rehydration behavior of natural analcime. In Clay Minerals Society, 28th Annual Meeting; Lunar and Planetary Institute: Huston, TX, USA, 1991; p. 29. [Google Scholar]
- Gatta, G.D. Direct determination of adsorption heats. Thermochim. Acta 1985, 96, 349–363. [Google Scholar] [CrossRef]
- Zettl, B.; Englmair, G.; Somitsch, W. An open sorption heat storage concept and materials for building heat supply. Energy Procedia 2015, 73, 297–304. [Google Scholar] [CrossRef]
- Drebushchak, V. Measurements of Heat of Zeolite Dehydration by Scanning Heating. J. Therm. Anal. Calorim. 1999, 58, 653–662. [Google Scholar] [CrossRef]
- Cruciani, G.; Gualtieri, A. Dehydration dynamics of analcime by in situ synchrotron powder diffraction. Am. Miner. 1999, 84, 112–119. [Google Scholar] [CrossRef]
Disclaimer/Publisher’s Note: The statements, opinions and data contained in all publications are solely those of the individual author(s) and contributor(s) and not of MDPI and/or the editor(s). MDPI and/or the editor(s) disclaim responsibility for any injury to people or property resulting from any ideas, methods, instructions or products referred to in the content. |
© 2023 by the author. Licensee MDPI, Basel, Switzerland. This article is an open access article distributed under the terms and conditions of the Creative Commons Attribution (CC BY) license (https://creativecommons.org/licenses/by/4.0/).











