Next Article in Journal
Nickel Coatings on Ceramic Materials Using Different Diffusion Techniques
Next Article in Special Issue
Effect of Rapeseed Imidazoline Addition on the Properties of Lab-Aged 35/50 Pen Grade Bitumen
Previous Article in Journal
Effect of TiO2@CaCO3 Waterborne Primer on the Coloring Performance of Inkjet-Printed Wood Product Coatings
Previous Article in Special Issue
Investigation on Fracture Performance of Hot-Mix Asphalt with Reclaimed Asphalt Pavement under Fatigue Loading
 
 
Font Type:
Arial Georgia Verdana
Font Size:
Aa Aa Aa
Line Spacing:
Column Width:
Background:
Article

Hydration Heat and Hydration Kinetics of Cement Paste Compound with Molybdenum Tailings Powder: A Research Article

1
School of Intelligent construction, Fuzhou University of International Studies and Trade, Fuzhou 350202, China
2
School of Civil Engineering, Central South University, Changsha 410075, China
*
Authors to whom correspondence should be addressed.
Coatings 2023, 13(12), 2073; https://doi.org/10.3390/coatings13122073
Submission received: 14 November 2023 / Revised: 6 December 2023 / Accepted: 8 December 2023 / Published: 12 December 2023
(This article belongs to the Special Issue Science and Technology of Pavement Coatings Materials)

Abstract

:
Molybdenum tailings powder (MTs) has potential pozzolanic activity and can be used as a mineral admixture. In order to comprehend the influence of MTs powder on the cement hydration process, the hydration heat and kinetics of composite cementitious materials (CCMs) were investigated using an isothermal calorimeter and the Krstulovic–Dabic model. Furthermore, the influences of fly ash (FA), slag (SL), and MTs powder on hydration heat were compared and analyzed, considering the same content. The results show that the proper amount of MTs can promote the hydration of CCMs. When the content of MTs is 5% and 15%, the second exothermic peak of the CCMs appears 2.30% and 4.27% earlier, and the exothermic peak increases by 2.72% and 1.34%, respectively. The cumulative heat release of CCMs gradually decreases with an increasing content of MTs powder. When the replacement of MTs, FA, and SL is 15%, respectively, the second exothermic peak of CCMs increases by 1.34%, −16.13%, and −12.04% for MTs, FA, and SL, respectively. The final heat release of MTs is higher than that of FA, but lower than that of SL. The hydration process of CCMs undergoes three stages: nucleation and crystal growth (NG), interactions at phase boundaries (I), and diffusion (D).

1. Introduction

With the rapid economic development in China, there is also a growing demand for mineral resources. This has led to the extensive exploitation of various minerals, including molybdenum minerals. However, the ore grade of molybdenum deposits is low [1,2]. After separating the valuable metals from the ore, the majority (95% of the total) is discharged as molybdenum tailings [3,4]. The accumulation of molybdenum tailings not only occupies large amounts of land, but also pollutes the surrounding environment [5,6]. Therefore, the utilization of molybdenum tailings as a resource is of great significance in reducing environmental pollution and achieving a low-carbon economy. Using molybdenum tailings powder (MTs) as an admixture in cementitious materials can not only effectively reduce cement consumption and carbon emission, but also contribute to the sustainable development of resources and the environment [2,3,4,7].
Mineral admixtures are essential components of modern concrete. Studies have shown [8,9,10,11,12,13,14] that tailings containing SiO2, Al2O3, CaO, and Fe2O3 can be used as concrete admixtures after being processed into fine powders. Han et al. [8] and Cheng et al. [9,10] confirmed the feasibility of using iron tailings powder as an admixture in concrete preparation. Geng [11] and Qiu et al. [14] reported that lead–zinc tailings powder can be used as an admixture in concrete preparation. Xu et al. [12] and Huang et al. [13] found that using copper tailings powder as a concrete admixture is feasible. Molybdenum tailings have a chemical composition similar to that of iron, lead–zinc, and copper tailings. Therefore, MTs powder can be used as an admixture in concrete. However, different types of tailings, which are fine powders, exhibit varying performances as concrete admixtures due to differences in the beneficiation process and ore composition. It has also been shown [15,16,17] that the addition of copper, iron, or bauxite tailings powders reduces the rate of hydration and heat release in cement paste. Furthermore, there are variations in the hydration process of cement depending on the type of tailings powder used. Meanwhile, studies have shown [18,19,20,21,22] that molybdenum tailings can be used as a fine aggregate to replace natural sand or as an admixture to replace cement in preparing mortar or concrete. Geng et al. [23] conducted a study on the pozzolanic activity and hydration products of cementitious materials made from molybdenum tailings. They discovered that molybdenum tailings exhibited pozzolanic activity and resulted in the formation of ettringite and C-S-H gel. Gao et al. [24] showed that when the amount of superfine molybdenum tailings that is used in place of cement is less than 10%, it is beneficial for improving the freeze–thaw resistance and carbonation resistance of concrete. At present, research on the influence of molybdenum tailings as fine aggregate or admixture on the performance of mortar or concrete primarily focuses on macro-performance and micro-performance. Furthermore, the influence of MTs powder as an admixture on the early hydration process of composite cementitious materials (CCMs) is of great significance to the subsequent performance of CCMs. Therefore, further studying the influence of MTs on the hydration hardening mechanism and kinetics of CCMs is of great significance. It is important to investigate the properties of molybdenum tailings powder and cement cementitious materials and gain a comprehensive understanding of how MTs affect the early hydration process of cement. This will enhance the utilization rate of molybdenum tailings resources.
Presently, there are more methods available to investigate the hydration process and kinetics of CCMs [25,26,27,28,29], with the Krstulovic–Dabic model being the most commonly used. Krstulovic et al. [29] proposed a hydration kinetic model that can calculate the rate curve of the hydration reaction and the kinetic parameters. This model is based on hydration heat and can be used to determine the hydration process and kinetic parameters of the CCMs. Yan et al. [30,31] discovered that the Krstulovic–Dabic model can better characterize the hydration process of the CCMs when the fly ash (FA) content is not more than 65% and when the slag (SL) content does not exceed 70%. Cheng et al. [16] found that the Krstulovic–Dabic model can also simulate the hydration kinetics of cement–iron tailings powder composite cementitious materials. Therefore, the Krstulovic–Dabic model could be used to characterize the hydration process of CCMs with MTs.
In this paper, the MTs powder comes from Yichun Luming Mining Co., Ltd., Yichun, China. The hydration heat of the CCMs was measured using an isothermal calorimeter to investigate the influence of MTs on the hydration heat of cement. Based on the Krstulovic–Dabic model, the hydration process and kinetic parameters of the CCMs were calculated and analyzed. The influences of MTs, FA, and SL on the hydration heat and hydration kinetics of cement were compared and analyzed under the same dosage. Additionally, the influence of MTs on the early hydration process of cement was discussed. The purpose of this paper is to explore the influence of MTs powder as mineral admixture on the cement hydration process and to study whether it can promote the hydration process of cement. At the same time, compared with FA and SL, it is studied whether the performance of MTs is similar to FA and SL, and whether it is stronger than FA. This research aims to provide a theoretical and experimental basis for the efficient utilization of molybdenum tailings as a valuable resource.
Subtitle: The Influence of Molybdenum Tailings Powder on the Hydration Heat and Kinetics of Cement Paste and a Comparative Study of Molybdenum Tailings Powder with Fly Ash and Slag. (The experiment was conducted at Central South University in May 2023, China).

2. Hydration Kinetic Model

The hydration process of CCMs is generally divided into five stages: the initial interaction period (I), induction period (II), reaction acceleration period (III), deceleration period (IV), and slow interaction period (V) [32,33]. In early hydration, its heat release normally accounts for only about 5% of the total heat release, which can be ignored compared to the whole hydration process. Therefore, in the study of hydration kinetics, the influence of the first exothermic peak is generally ignored, and the simulation discussion begins at the end of the induction phase [34,35,36].
The Krstulovic–Dabic model shows the relationship between the hydration degree (α) and the hydration time (t), and the kinetic model is divided into the following three stages [29,37]:
Nucleation and crystal growth, NG
[ ln ( 1 α ) ] 1 / n = K 1 ( t t 0 ) = K 1 ( t t 0 )
Interactions at phase boundaries, I
[ 1 ( 1 α ) 1 / 3 ] 1 = K 2 r 1 ( t t 0 ) = K 2 ( t t 0 )
Diffusion, D
[ 1 ( 1 α ) 1 / 3 ] 2 = K 3 r 2 ( t t 0 ) = K 3 ( t t 0 )
Differentiating Equations (1)–(3) yield Equations (4)–(6).
NG
d α / d t = F 1 ( α ) = K 1 n ( 1 α ) [ ln ( 1 α ) ] ( n 1 ) / n
I
d α / d t = F 2 ( α ) = K 2 3 ( 1 α ) 2 / 3
D
d α / d t = F 3 ( α ) = K 3 3 ( 1 α ) 2 / 3 / [ 2 2 ( 1 α ) 1 / 3 ]
where α is the hydration degree; n is the reaction order; Ki and Ki′ (i = 1, 2, 3) are the reaction rate constants of three hydration processes; t is the hydration time; t0 is the end time of the induction period, which is the point at which the hydration exothermic rate starts to increase uniformly [38]; r is the reaction particle radius; and /dt is the hydration rate.
Based on the hydration heat test measured using isothermal calorimetry, the hydration heat release rate and accumulated heat release of CCMs were obtained. Formulas (7) and (8) were used to convert the hydration heat data into the data needed in the hydration kinetic model. The hydration kinetic formula (Equation (9)) proposed by Knudsen [39] was used to calculate the Qmax. The formula is as follows.
α ( t ) = Q ( t ) / Q max
d α / d t = d Q / d t 1 / Q max
1 / Q ( t ) = 1 / Q max + t 50 / [ Q max ( t t 0 ) ]
where Q(t) is the heat released by time t; Qmax is the total heat release at the end of hydration; and t50 is the hydration time required for exothermic reaction to reach 50% of Qmax.

3. Experimental Procedure

3.1. Raw Materials

P.I 42.5 Portland cement (PC) satisfied Chinese GB 175 was supplied by China Fushun Aocell Technology Co., Ltd., Fushun, China. Molybdenum tailings powder (MTs) was obtained from Yichun Luming Mining Co., Ltd., China. The low-calcium class F fly ash (FA) and S95-grade fine slag (SL) were employed, produced by Xiangtan Power Plant and Xiangtan Steel Plant (Xiangtan, China), respectively. Distilled water was used. The photos of raw materials are shown in Figure 1, and their chemical compositions and physical properties are shown in Table 1. Table 2 lists the main technical indexes of MTs. The particle size distribution of raw materials is shown in Figure 2. The XRD pattern of MTs is shown in Figure 3a. The main mineralogical compositions of MTs are quartz, feldspar, mica and chlorite. The SEM pattern of MTs is shown in Figure 3b; the MTs particles have irregular shapes and rough surfaces.

3.2. Mixture Proportions and Testing Methods

The mixture proportions of the CCMs pastes are summarized in Table 3. The MTs substitution rates were 0%, 5%, 15%, 25%, and 35%, the FA and SL replacement rates were both 15%, and the water-to-binder (w/b) ratio of 0.4 was used in this study.
An eight-channel TAM Air isothermal calorimeter was used to determine the exothermic characteristics of CCMs pastes. In the preparation of pastes, each CCMs sample was 50 g, and it had the same mixing periods (dry stirring for 60 s, slow and fast stirring for 60 s after adding water). The test temperature was set at 20 °C, and the test time was 120 h.
MTs were dried in an oven at 60 °C, the micro powder below 200 mesh was collected, and the sample was stored in a sealed bag. XRD was used to analyze the phase composition of the sample. The diffraction source was Cu target, the scanning range was 5–75, the step size was 0.02, and the scanning speed was 6°/min.
The micro-morphology of MTs was observed using an FEI Quanta FEG 250 environmental field scanning electron microscope.

4. Results

4.1. Effect of Hydration Heat

4.1.1. MTs Powder Content

The hydration heat of CCMs with different MTs powder contents is shown in Figure 4. As presented in Figure 4a, the end time of the induction period of CCMs is delayed, and the rate of heat release decreases with the increase in MTs. When the content of MTs is not more than 15%, the second exothermic peak of the CCMs is advanced, and its peak heat release is enhanced. When the content of MTs exceeds 15%, the second exothermic peak of CCMs is delayed, and its peak heat release decreases. The addition of MTs influences the peak pattern of the second exothermic peak of CCMs. The PC undergoes a relatively gentle exothermic phase before reaching the second peak of the exothermic reaction. However, as the MTs powder content increases, the gentle section before the peak of the second exothermic peak of the CCMs gradually shortens until it disappears. Furthermore, the pozzolanic activity of MTs is activated in the later stage of hydration, and its pozzolanic effect leads to a higher heat release rate for MTs5, MTs15, MTs25, and MTs35 compared to PC.
As shown in Figure 4b, the cumulative heat release of CCMs gradually decreases with an increasing MTs powder content. When the hydration time is not more than 20 h, there are minimal differences in the cumulative heat release curves of MTs5, MTs15, and PC. However, the difference between the cumulative heat release curves of MTs5 and MTs15 and that of PC gradually increases as the hydration time extends.
Table 4 presents the influence of the MTs powder content on the acceleration period of CCMs. The incorporation of MTs delays the end time (t0) of the induction period of CCMs. Furthermore, as the amount of MTs increased, t0 was progressively delayed. When the content of MTs increased from 0% to 35%, the time t0 was delayed from 1.07 h to 3.72 h. Compared with PC, the times t1 for MTs5 and MTs15 to reach the second exothermic peak were 2.30% and 4.27% earlier, and the exothermic peak V was increased by 2.72% and 1.34%, respectively. MTs25 and MTs35 reached the second exothermic peak with a later time t1 and a lower exothermic peak V. However, the incorporation of MTs shortened the time from the end of the induction period to the second exothermic peak. This resulted in a shortened acceleration period (t1t0).
Table 5 indicates the relative percentage of hydration heat of CCMs. The relative percentage of hydration heat is the ratio of the hydration heat of CCMs with the mixture to the hydration heat of the reference sample [15]. It can be seen from Table 5 that the incorporation of MTs decreases the relative percentage of hydration heat in CCMs. With the extension of the hydration time, the relative percentage of hydration heat of CCMs gradually stabilizes, which is greater than the mass fraction of cement in CCMs. MTs powder has a certain potential for activity. However, in the early stage of hydration, the filler effect and nucleation of MTs play significant roles [40,41,42,43]. In the later stages of hydration, the pozzolanic activity of MTs is stimulated, resulting in a pozzolanic exothermic effect. As a result, the percentage of hydration heat is greater than the mass fraction of cement in CCMs.

4.1.2. Mineral Admixture Types

Figure 5 shows the influences of MTs, FA, and SL with the same replacement ratio of 15% on the hydration heat of CCMs. According to Figure 5a, the incorporation of MTs, FA, and SL delays the end time of the induction period in the cementitious system, among which MTs powder has a significant influence on the end time of the induction period of CCMs, and the end time of the induction period of CCMs mixed with FA and SL is similar. The incorporation of MTs, FA, and SL reduces the heat release rate at the end of the induction period of CCMs, and the reduction range is similar, which decreases from 0.5 mW/g to about 0.35 mW/g. The incorporation of MTs, FA, and SL influences the peak value and peak pattern of the second exothermic peak of CCMs. The second exothermic peak of CCMs with MTs is advanced, and its peak heat release increases; the second exothermic peak of CCMs with FA is delayed, and its peak heat release decreases, and that of CCMs with SL is reduced. This shows that, compared with FA and SL, the same replacement ratio of MTs resulted in faster hydration products in CCMs during the acceleration period (as shown in Figure 5a-2). After 60 h of hydration of CCMs (as shown in Figure 5a-3), the hydration heat release rates of MTs15 and SL15 gradually exceed that of PC and FA15.
According to Figure 5b, when the hydration time is not more than 30 h, the cumulative heat release curves of the PC, MTs15, FA15, and SL15 are similar. When the hydration time is 120 h, the order of cumulative heat release is PC > SL15 > FA15 > MTs15.
The influences of different admixture types on the acceleration period of CCMs is presented in Table 6. The inclusion of MTs, FA, and SL prolongs the duration of the induction period in the cementitious system, with MTs having the most significant impact on its end time. The second exothermic peak of CCMs with MTs is advanced, and its peak heat release increases. On the other hand, the second exothermic peak of CCMs with FA or SL is delayed, and its peak heat release decreases. When the replacement of MTs, FA, and SL is 15%, respectively, the second exothermic peak of CCMs increases by 1.34%, −16.13%, and −12.04% for MTs, FA, and SL, respectively. The inclusion of FA extends the acceleration phase of CCMs, while the inclusion of MTs and SL reduces the acceleration phase of CCMs. The acceleration period of MTs15 is the shortest, indicating that the inclusion of MTs speeds up the hydration rate of CCMs and reduces the hydration time of CCMs.
Table 7 shows the relative percentage of hydration heat for CCMs with MTs, FA, and SL, respectively. The relative percentages of hydration heat of MTs15 are 94% and 82% at 3 h and 6 h, respectively, which are lower than 100%. The relative percentages of hydration heat for FA15 are 139% at 3 h and 109% at 6 h. Similarly, the relative percentages of hydration heat for SL15 are 139% at 3 h and 115% at 6 h. These values are higher than 100%. With the increase in hydration time, the relative percentages of hydration heat for MTs15, FA15, and SL15 gradually approach 91%, 93%, and 96%, respectively. These values are all higher than the mass fraction of cement in CCMs. It shows that the pozzolanic activities of MTs, FA, and SL are activated during the stable hydration period. This results in a relative percentage of hydration heat that is greater than the mass fraction of cement in CCMs.

4.1.3. Total Heat Release

The hydration heat only measured the cumulative heat release of CCMs for 120 h. The total heat release Qmax of CCMs was derived based on the hydration heat data and the Knudsen formula (Equation (9)). In this study, PC was used as an example to determine the total heat release Qmax and the time t50 required to reach 50% of Qmax. The curve in Figure 6 was fitted linearly based on the hydration heat data. The calculation process of other groups was similar to that of the PC. The Knudsen formula, Qmax, and t50 are shown in Table 8. It can be seen from Table 8 that as the content of MTs powder increases, the Qmax of CCMs gradually decreases, and the time t50 gradually prolongs. This conclusion aligns with the findings of the hydration heat test.
The Qmax can reflect the hydration trend and degree of CCMs to a certain extent. The higher the Qmax value, the greater the hydration degree of CCMs. According to Table 8, the Qmax of SL15 is the largest, followed by MTs15. This is in contrast to the 120 h cumulative heat release obtained from the hydration heat test. The activation effect of MTs powder may be stronger than that of FA in the later stage, thus resulting in a gradual increase in its accumulated heat release, surpassing that of FA. Compared to FA15 and SL15, the Qmax of MTs15 increased by 4.95% and decreased by 3.83%, respectively. This shows that the hydration degree of SL is higher, followed by MTs.

4.2. Hydration Kinetic Analysis

The Qmax of CCMs has been calculated according to the Knudsen formula. And the hydration degree (α) and hydration rate (/dt) required by the Krstulovic–Dabic model can be obtained according to Formulas (7) and (8). Taking PC as an example, the kinetic parameters K1′ and n of stage NG can be derived by Formula (1) and by linearly fitting the curve of ln[−ln(1 − α)] vs. ln(tt0), as shown in Figure 7a. The K2′ of stage I and K3′ of stage D can also be derived using Formulas (2) and (3) for linear fitting, respectively, as shown in Figure 7b,c. By substituting the parameters n, K1′, K2′, and K3′ into Formulas (4)–(6), the hydration reaction rate curves of NG, I, and D can be obtained. The hydration reaction rate curves and hydration kinetic parameters of other groups were similar to those of PC.

4.2.1. Hydration Process Simulation of CCMs

Based on the Krstulovic–Dabic model, the hydration process is divided into three stages: nucleation and crystal growth, interactions at phase boundaries, and diffusion. These three stages may occur at the same time, but the whole process of the hydration depends on the slowest reaction stage [35,44]. In the early stages of hydration, the CCMs contain more water and fewer hydration products. As a result, the ion migration resistance is smaller, and the rate is faster. Consequently, the hydration process is controlled by NG. As the hydration time extends, the hydration products in the CCMs increase, and the structure becomes denser. Therefore, the resistance to ion migration is increased, resulting in a decrease in the migration rate. As a result, the hydration process is initially controlled by the I stage and then by the D stage [17].
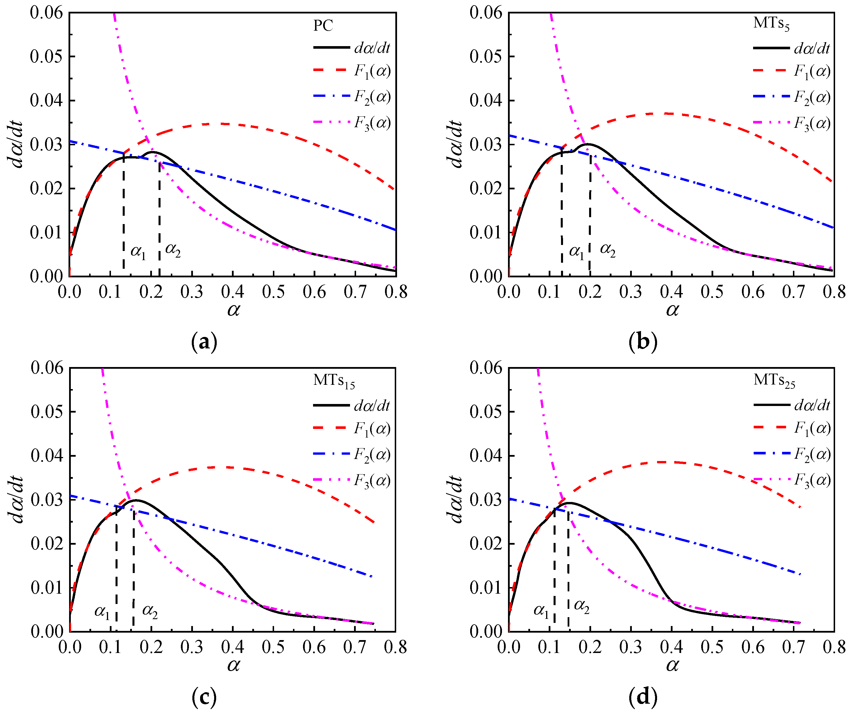
The relationship between the hydration degree α and the hydration reaction rate /dt of CCMs is shown in Figure 8. The curves of F1(α) and F2(α) intersect with F3(α) at α1 and α2, respectively. α1 represents the transition point from the NG process to the I process, while α2 represents the transition point from the I process to the D process. This shows that the incorporation of MTs, FA, and SL does not influence the hydration process of CCMs. The hydration process still undergoes three stages: NG-I-D. The Krstulovic–Dabic model can better simulate the hydration processes of NG, I, and D in CCMs, respectively.
According to Figure 8, when the MTs powder content is not more than 35%, the simulation effects of the NG, I, and late D stages of the hydration reaction with the hydration rate curve obtained from the hydration heat test are good. When the MTs powder content is 35%, the simulation effects of the NG and late D stages are better, while the simulation effect of the I stage deviates significantly from the reaction rate measured by the experiment. This is because the degree of influence of MTs on the total hydration reaction of CCMs increases with the MTs powder content, and the deviation of the simulation gradually increases with the MTs powder content. When the contents of MTs, FA, and SL are all 15%, the Krstulovic–Dabic model has a better simulation effect on FA, SL, and MTs. However, the simulation effect of the pre-D stage deviates from the actual data due to the weak pozzolanic effect caused by the admixture during late hydration.

4.2.2. Hydration Kinetic Parameters of CCMs

The hydration kinetic parameters of CCMs are presented in Table 9. The reaction order n, the nucleation of crystallization, and the production of hydration products of the CCMs were calculated in [45]. The higher the value of n, the greater the reaction resistance of CCMs [16,46]. The n of the CCMs gradually increases with the increasing MTs powder content. This shows that the introduction of MTs has reached the reaction resistance in the crystallization process of hydration products in CCMs, and the most significant influence is observed with an MTs powder content of 35% [29,31]. When the contents of MTs, FA and SL are all 15%, the order of n of the CCMs is FA15 > MTs15 > SL15. This indicates that MTs, FA, and SL have different influences on the nucleation effect. Furthermore, the influence of FA on the crystallization process of the hydration products of CCMs is greater than that of MTs and SL.
The reaction rate constant K1′ of the NG process gradually increases with an increasing content of MTs. The incorporation of MTs increases the effective water-to-cement (w/c) ratio of CCMs. Additionally, MTs can serve as nucleation sites to enhance the rate of hydration reaction. The reaction rate constant K2′ of the I process initially increases and then decreases with the increase in MTs powder content. When the content of MTs is small, the addition of MTs disperses the non-hydrated cement particles in the paste. This leads to an increase in the contact area between cement and water, resulting in an increase in the degree of hydration and improving the reaction rate. When the MTs powder content is high, the cement content decreases, and the concentration of Ca2+ in CCMs decreases. This delay in the time for Ca(OH)2 crystals to reach saturation results in a decrease in the hydration reaction rate. The reaction rate constant K3′ of the D process gradually decreases with an increase in the MTs powder content. This is because the hydration products in the paste increase during the later stages of hydration. Furthermore, the filling effect of MTs fills the pores, while the pozzolanic effect of MTs promotes the generation of hydration products. This leads to a denser structure, which, in turn, increases the resistance to ion migration and reduces the rate of hydration reaction. When the contents of MTs, FA, and SL are all 15%, the K1′ and K2′ parameters of MTs15 are greater than those of FA15 and SL15. This indicates that the reaction rate of crystallization nucleation and the phase boundary reaction of hydration products of paste with MTs are higher than those of FA and SL. Additionally, the hydration heat release rate of the CCMs in the acceleration period is larger. The K3′ value of MTs15 is smaller than that of FA and larger than that of SL, indicating that the reaction rate of MTs in the diffusion process is lower than that of FA but higher than that of SL.
The hydration degree α1 gradually decreases with the increasing content of MTs, indicating that MTs shorten the NG process of CCMs. Furthermore, the higher the amount of MTs, the more pronounced the shortening becomes. This is because the incorporation of MTs accelerates the hydration rate, shortens the time for crystal nucleation and growth, and ultimately shortens the NG process. The α2α1 ratio gradually decreases as the content of MTs increases, indicating that MTs shorten the I process of CCMs. When the contents of MTs, FA, and SL are all 15%, the α1 of MTs15 is lower than that of FA15 and higher than that of SL15. The difference in α1 indicates that mineral admixtures have varying influences on the NG process, with the greatest influence being from SL. The α2 and α2α1 parameters of MTs15 are smaller than those of FA15 and SL15, indicating that the incorporation of admixtures shortens the I process. Additionally, the influence of MTs on the I process is the greatest.

5. Discussion

The incorporation of MTs powder influences the heat release rate and cumulative heat release of CCMs due to its crystallization nucleation and pozzolanic effect. The crystallization nucleation and pozzolanic effect of MTs occur in the hydration acceleration period and the hydration stable period of CCMs, respectively [30,31,43,47,48]. Meanwhile, the incorporation of MTs reduces the proportion of cement clinker in CCMs and influences the effective w/c ratio of CCMs. Therefore, when the content of MTs is small, the effective w/c ratio of CCMs increases. Moreover, cement particles wrap around MTs particles, and the surfaces of MTs particles act as crystallization nucleation sites. This provides more nucleation points, increases the formation rate of hydration products such as C-S-H gel, and enhances the rate of hydration heat release. However, when the MTs content is higher, the proportion of cement clinker in CCMs significantly decreases, and the promotion effect of the crystallization nucleation of MTs is not significant. Therefore, the hydration heat release rate is reduced. Furthermore, in the later stage of hydration, the formation of Ca(OH)2 increases the pH value, which stimulates the pozzolanic activity of MTs. This promotes the secondary hydration reaction of CCMs, resulting in the generation of hydration products such as C-S-H gel and a slight increase in the rate of hydration heat release.
The incorporation of MTs reduces the proportion of cement clinker and the concentration of Ca2+ in CCMs, therefore prolonging the nucleation time of Ca(OH)2 and delaying the end time of the induction period [30]. When the MTs powder content is small, the dilution effect of MTs and the surface of MTs act as crystallization nucleation sites in CCMs, thus promoting the hydration of CCMs and increasing their hydration heat release rate. When the MTs powder content is larger, the proportion of cement clinker in CCMs is significantly reduced, and MTs powder has a lower promoting effect on cement hydration, which reduces the hydration heat release rate of CCMs.
MTs, FA, and SL play similar roles in CCMs. In the hydration acceleration period, they are mainly involved in crystallization nucleation. In the hydration stable period, the pozzolanic effect mainly occurs to promote the secondary hydration of CCMs. Studies have shown [43,49] that the specific surface area and surface properties of the admixture will influence its nucleation role, and the nucleation role of the SL in the hydration acceleration period is stronger than that of FA. It can be seen from Table 1 that the specific surface areas and surface properties of MTs, FA, and SL are different, so their effects on the hydration heat release of cement are also different. In the meantime, the differences of MTs, FA, and SL of the potential activity resulted in different activities excited in the later stage of hydration. Therefore, the hydration heat release rate and cumulative heat release of CCMs are different with different intensities of the pozzolanic effect. This leads to different effects of MTs, FA, and SL on the hydration process.

6. Conclusions and Prospects

(1)
The incorporation of MTs powder prolongs the end time of the induction period (t0 increases) and shortens the acceleration period of CCMs (t1t0 shortens). When the content of MTs is not more than 15%, the second exothermic peak of CCMs appears earlier and the peak heat release value increases. When the content of MTs exceeds 15%, the second exothermic peak of CCMs appears later, and the peak heat release value decreases. The cumulative heat release of CCMs gradually decreases with an increasing MTs powder content, but the relative percentage of hydration heat is greater than the mass fraction of cement in the paste.
(2)
When the contents of MTs, FA, and SL are all 15%, compared with FA and SL, the influence of MTs powder on the extension of the end time of the induction period of CCMs is the most significant, the second exothermic peak of CCMs with MTs is advanced, and its peak heat release increases. When the hydration time is 120 h, the cumulative heat release of FA and SL is greater than that of MTs. Based on the final cumulative heat release calculated by the Knudsen formula, the Qmax of MTs exceeds that of FA. Compared with FA15 and SL15, the Qmax of MTs15 is increased by 4.95% and −3.83%, respectively.
(3)
The hydration process of CCMs undergoes three stages: nucleation and crystal growth (NG), interactions at phase boundaries (I), and diffusion (D). The relationship curve between the hydration degree and hydration reaction rate, calculated based on the Krstulovic–Dabic model, can better simulate the hydration reaction rate curve measured by the hydration heat test. With the increase in the MTs powder content, the reaction order n and K1′ of CCMs increase, K2′ increases first and then decreases, and K3′, α1, and α2 decrease. The incorporation of MTs shortens the NG and I process of CCMs.
The research in this paper shows that MTs powder as an admixture can enhance the hydration process of cement. Its performance is slightly superior to that of FA, which can help alleviate the shortage of FA. The use of MTs powder in new construction materials is not only beneficial for recycling waste resources but also for preserving the local environment. However, theoretical research on new building materials using MTs powder as the primary raw material is not sufficiently in-depth, and the controllability is not stable enough. Meanwhile, most of the research is still in the experimental stage, and industrial production has not been achieved.

Author Contributions

Data curation, formal analysis, writing—original draft preparation, and writing—review and editing, Q.C.; resources, supervision, and writing—review and editing, W.M.; investigation, methodology, and conceptualization, K.M. All authors have read and agreed to the published version of the manuscript.

Funding

This research was funded by Graduate School-enterprise Joint Innovation Project of Central South University (no. 1053320220028) and China Railway Resources Science and Technology Program Project (no. LM (2022)-F-53).

Institutional Review Board Statement

Not applicable.

Informed Consent Statement

Not applicable.

Data Availability Statement

The data presented in this study are available upon request from the corresponding author.

Conflicts of Interest

The authors declare no conflict of interest.

References

  1. Yu, L. Overview of the latest research progress on comprehensive utilization of molybdenum tailings resources. Metall. Mater. 2021, 41, 21–22. (In Chinese) [Google Scholar]
  2. Hu, B.L.; Wang, K.S.; Hu, P.; Yang, F.; Yu, Z.; Tan, J.; Song, R.; Zhao, B.; Cao, W. Research Progress of Molybdenum Tailings Resources Recycling and Utilization. Mater. Rev. 2015, 29, 123–127. (In Chinese) [Google Scholar]
  3. Wu, H.Q.; Liu, C.; Chen, Y.F. Research Progress of and Comprehensive Utilized on Molybdenum Tailings Resources in China. Met. Mine 2018, 8, 169–174. (In Chinese) [Google Scholar]
  4. Li, F.; Cui, X.W.; Liu, X.; Liu, Y.; Liu, M.; Zhang, G.; Zhou, C.; Fan, X. Research Progress in Secondary Utilization of Molybdenum Tailings in Building Materials. Multipurp. Util. Miner. Resour. 2021, 3, 132–139. (In Chinese) [Google Scholar]
  5. Luo, T.; Yi, Y.; Sun, Q.; Li, L.G.; Tang, L.; Hua, C. The effects of adding molybdenum tailings as cementitious paste replacement on the fluidity, me-chanical properties and micro-structure of concrete. J. Build. Eng. 2022, 62, 105377. [Google Scholar] [CrossRef]
  6. Quan, X.; Wang, S.; Li, J.; Luo, J.; Liu, K.; Xu, J.; Zhao, N.; Liu, Y. Utilization of molybdenum tailings as fine aggregate in recycled aggregate concrete. J. Clean. Prod. 2022, 372, 133649. [Google Scholar] [CrossRef]
  7. Hu, G.S.; Zhang, C.; Qian, C.Y.; Wen, J.X. Recent Research Progress of Comprehensive Utilization of Molybdenum Tailings Re-sources. Mater. Rev. 2019, 33, 233–238. (In Chinese) [Google Scholar]
  8. Han, F.; Luo, A.; Liu, J.; Zhang, Z. Properties of high-volume iron tailing powder concrete under different curing conditions. Constr. Build. Mater. 2020, 241, 118108. [Google Scholar] [CrossRef]
  9. Cheng, Y.H.; Huang, F.; Qi, S.S.; Li, W.C. Effects of High-Silicon Iron Tailings on Carbonation and Sulphate Corrosion Resistance of Concrete. J. Northeast. Univ. (Nat. Sci.) 2019, 40, 121–125, 149. (In Chinese) [Google Scholar]
  10. Cheng, Y.; Huang, F.; Li, W.; Liu, R.; Li, G.; Wei, J. Test research on the effects of mechanochemically activated iron tailings on the com-pressive strength of concrete. Constr. Build. Mater. 2016, 118, 164–170. [Google Scholar] [CrossRef]
  11. Geng, B.Y. Preparation of High Performance Concrete Mixture with Lead-Zinc Ore Tailings from Youxi, Fujian Province. Ph.D. Thesis, University of Science and Technology Beijing, Beijing, China, 2016. (In Chinese). [Google Scholar]
  12. Xu, W.; Lu, Y.; Shi, Q.; Yan, J.; Jie, X.; Zhou, X.; Liu, S. Research on application of copper tailings admixture in ready-mixed concrete. New Build. Mater. 2021, 48, 12–15. (In Chinese) [Google Scholar]
  13. Huang, X.Y.; Ni, W.; Wang, Z.J.; Qian, J.W.; Zhu, L.P. Experimental study on autoclaved aerated concrete made from copper tailings without using lime as calcareous materials. Mater. Sci. Technol. 2012, 20, 11–15. (In Chinese) [Google Scholar]
  14. Qiu, X.J.; Ni, W. Preparation of High Strength Concrete Using Fujian Lead-zinc Tailings and Slag Powder. Met. Mine 2015, 176–180. (In Chinese) [Google Scholar]
  15. Zhu, J.L.; Song, J.W.; Wang, L.; Xiao, L.N.; Liu, F.H. Hydration Heat and Kinetics of Copper Slag Powder-Cement Composite Cementitious System. J. Build. Mater. 2020, 23, 1282–1288. (In Chinese) [Google Scholar]
  16. Cheng, Y.H.; Sun, X.H.; Zhang, J.Y. Hydration kinetics of cement–iron tailing powder composite cementitious materials and pore structure of hardened paste. Constr. Build. Mater. 2023, 370, 130673. [Google Scholar]
  17. Zhou, L.F.; Gou, M.F.; Guan, X.M. Hydration kinetics of cement-calcined activated bauxite tailings composite binder. Constr. Build. Mater. 2021, 301, 124296. [Google Scholar] [CrossRef]
  18. Gao, S.; Cui, X.; Kang, S.; Ding, Y. Sustainable applications for utilizing molybdenum tailings in concrete. J. Clean. Prod. 2020, 266, 122020. [Google Scholar] [CrossRef]
  19. Sun, M.; Fu, Y.; Wang, W.; Yang, Y.; Wang, A. Experimental Research on the Compression Property of Geopolymer Concrete with Molyb-denum Tailings as a Building Material. Buildings 2022, 12, 1596. [Google Scholar] [CrossRef]
  20. Luo, T.; Yi, Y.; Liu, F.; Sun, Q.; Pan, X.; Hua, C. Early-age hydration and strength formation mechanism of composite concrete using molybdenum tailings. Case Stud. Constr. Mater. 2022, 16, e1101. [Google Scholar] [CrossRef]
  21. Quan, X.; Wang, S.; Liu, K.; Xu, J.; Zhao, N.; Liu, B. Evaluation of molybdenum tailings as replacement for fine aggregate in concrete: Me-chanical, corrosion resistance, and pore microstructural characteristics. Constr. Build. Mater. 2022, 343, 127982. [Google Scholar] [CrossRef]
  22. Quan, X.; Wang, S.; Liu, K.; Xu, J.; Zhao, N.; Liu, B. Influence of molybdenum tailings by-products as fine aggregates on mechanical prop-erties and microstructure of concrete. J. Build. Eng. 2022, 54, 104677. [Google Scholar] [CrossRef]
  23. Geng, B.; Wang, Z.; Shi, S.; Wang, K.; Fu, J.; Wen, Z.; Guo, X. Pozzolanic Reactivity and Hydration Products of Cementitious Material Prepared Using Mo-lybdenum Tailings. Processes 2023, 11, 1101. [Google Scholar] [CrossRef]
  24. Gao, S.; Cui, X.; Zhang, S. Utilization of Molybdenum Tailings in Concrete Manufacturing: A Review. Appl. Sci. 2020, 10, 138. [Google Scholar] [CrossRef]
  25. Wang, P.M.; Feng, S.X.; Liu, X.P. Research Approaches of Cement Hydration Degree and Their Development. J. Build. Mater. 2005, 8, 646–652. (In Chinese) [Google Scholar]
  26. Wu, X.Q. Study on hydration kinetics of slag cement. J. Chin. Ceram. Soc. 1988, 423–429. (In Chinese) [Google Scholar]
  27. Merzouki, T.; Bouasker, M.; Khalifa, N.E.H.; Mounanga, P. Contribution to the modeling of hydration and chemical shrinkage of slag-blended cement at early age. Constr. Build. Mater. 2013, 44, 368–380. [Google Scholar] [CrossRef]
  28. Kolani, B.; Buffo-Lacarrière, L.; Sellier, A.; Escadeillas, G.; Boutillon, L.; Linger, L. Hydration of slag-blended cements. Cem. Concr. Compos. 2012, 34, 1009–1018. [Google Scholar] [CrossRef]
  29. Krstulović, R.; Dabić, P. A conceptual model of the cement hydration process. Cem. Concr. Res. 2000, 30, 693–698. [Google Scholar] [CrossRef]
  30. Han, F.H. Study on Hydration Characteristics and Kinetics of Composite Binder. Ph.D. Thesis, China University of Mining & Technology, Beijing, China, 2015. (In Chinese). [Google Scholar]
  31. Han, F.H.; Wang, D.M.; Yan, P.Y. Hydration Kinetics of Composite Binder Containing Different Content of Slag or Fly Ash. J. Chin. Ceram. Soc. 2014, 42, 613–620. (In Chinese) [Google Scholar]
  32. Yin, B.; Kang, T.; Kang, J.; Chen, Y.; Wu, L.; Du, M. Investigation of the hydration kinetics and microstructure formation mechanism of fresh fly ash cemented filling materials based on hydration heat and volume resistivity characteristics. Appl. Clay Sci. 2018, 166, 146–158. [Google Scholar] [CrossRef]
  33. Adamtsevich, A.; Pustovgar, A. Effect of Modifying Admixtures on the Cement System Hydration Kinetics. Appl. Mech. Mater. 2015, 725–726, 487–492. [Google Scholar] [CrossRef]
  34. Chen, X.; Yang, H.; Shi, Y.; Zhang, J. Hydration Characteristics of Cement-Based Materials with Incorporation of Phosphorus Slag Powder. J. Build. Mater. 2016, 19, 619–624. (In Chinese) [Google Scholar]
  35. Yan, P.Y.; Zheng, F. Kinetics Model for the Hydration Mechanism of Cementitious Materials. J. Chin. Ceram. Soc. 2006, 34, 555–559. (In Chinese) [Google Scholar]
  36. Wang, T.; Xue, Y.; Zhou, M.; Lv, Y.; Chen, Y.; Wu, S.; Hou, H. Hydration kinetics, freeze-thaw resistance, leaching behavior of blended cement containing co-combustion ash of sewage sludge and rice husk. Constr. Build. Mater. 2017, 131, 361–370. [Google Scholar] [CrossRef]
  37. Liu, S.H.; Li, Q.L.; Zhao, X.Y. Hydration Kinetics of Composite Cementitious Materials Containing Copper Tailing Powder and Graphene Oxide. Materials 2018, 11, 2499. [Google Scholar] [CrossRef]
  38. Liu, Z.H. Study on the Mechanism of Hydration Induction Period of Portland Cement. Master’s Thesis, Guangzhou University, Guangzhou, Chian, 2023. (In Chinese). [Google Scholar]
  39. Knudsen, T. The dispersion model for hydration of portland cement I. Gen. Concepts. Cem. Concr. Res. 1984, 14, 622–630. [Google Scholar] [CrossRef]
  40. Wang, C.L.; Ye, P.F.; Zhang, K.F.; Han, G.S.; Huo, Y.K.; Zhao, G.F.; Ren, Z.Z. Study on Preparation and Hydration Mechanism of Composite Cementitious Materials using Molybdenum Tailings. Met. Mine 2020, 41–47. (In Chinese) [Google Scholar]
  41. Zhang, Y.J.; Fu, S.F.; Zhang, G.T.; Yan, L.C. Study on the Influence of Molybdenum Tailings Powder on the Strength and Micro-structure of Cement-based Materials. Met. Mine 2023, 253–259. (In Chinese) [Google Scholar]
  42. Quan, Z.Z.; Feng, X.L.; Chen, Y.Y. Study on the preparation of reactive powder concrete with molybdenum tailings. New Build. Mater. 2022, 49, 46–49. (In Chinese) [Google Scholar]
  43. Yan, P.Y.; Zhang, Z.Q. Review on Hydration of Composite Cementitious Materials. J. Chin. Ceram. Soc. 2017, 45, 1066–1072. (In Chinese) [Google Scholar]
  44. Lyu, X.; Yao, G.; Wang, Z.; Wang, Q.; Li, L. Hydration kinetics and properties of cement blended with mechanically activated gold mine tailings. Thermochim. Acta 2020, 683, 178457. [Google Scholar] [CrossRef]
  45. Bezjak, A. Nuclei growth model in kinetic analysis of cement hydration. Cem. Concr. Res. 1986, 16, 605–609. [Google Scholar] [CrossRef]
  46. Zhou, L.; Gou, M.; Luo, S. Hydration kinetics of a calcination activated bauxite tailings-lime-gypsum ternary system. J. Build. Eng. 2021, 38, 102189. [Google Scholar] [CrossRef]
  47. Deng, S.; Liu, L.; Yang, P.; Zhang, C.; Lv, Y.; Xie, L. Experimental Study on Early Strength and Hydration Heat of Spodumene Tailings Cemented Backfill Materials. Materials 2022, 15, 8846. [Google Scholar] [CrossRef]
  48. Chen, J.; Shui, Z.H.; Sun, T.; Gao, X.; Song, Q.; Guo, C. Early Hydration Kinetics Research of Calcined Coal Gangue in Cement-Based Materials. Bull. Chin. Ceram. Soc. 2019, 38, 1983–1990. (In Chinese) [Google Scholar]
  49. He, J.; Long, G.; Ma, K.; Xie, Y. Influence of fly ash or slag on nucleation and growth of early hydration of cement. Thermochim. Acta 2021, 701, 178964. [Google Scholar] [CrossRef]
Figure 1. Raw materials. (a) PC, (b) MTs, (c) FA, (d) SL.
Figure 1. Raw materials. (a) PC, (b) MTs, (c) FA, (d) SL.
Coatings 13 02073 g001
Figure 2. (a) Differential distribution and (b) cumulative distribution of raw materials.
Figure 2. (a) Differential distribution and (b) cumulative distribution of raw materials.
Coatings 13 02073 g002
Figure 3. (a) XRD pattern and (b) SEM pattern of MTs.
Figure 3. (a) XRD pattern and (b) SEM pattern of MTs.
Coatings 13 02073 g003
Figure 4. Influence of MTs powder content on hydration heat release of the CCMs (1~4 represent enlargements of corresponding parts). (a) Rate of heat release. (b) Cumulative heat of hydration.
Figure 4. Influence of MTs powder content on hydration heat release of the CCMs (1~4 represent enlargements of corresponding parts). (a) Rate of heat release. (b) Cumulative heat of hydration.
Coatings 13 02073 g004
Figure 5. Influence of admixture types on hydration heat release of CCMs (1~4 is enlargements of corresponding parts). (a) Rate of heat release. (b) Cumulative heat of hydration.
Figure 5. Influence of admixture types on hydration heat release of CCMs (1~4 is enlargements of corresponding parts). (a) Rate of heat release. (b) Cumulative heat of hydration.
Coatings 13 02073 g005
Figure 6. Determination of total heat release Qmax from linear regression.
Figure 6. Determination of total heat release Qmax from linear regression.
Coatings 13 02073 g006
Figure 7. Determination of kinetic parameters n, K1′, K2′, and K3′ via linear regression. (a) n, K1′; (b) K2′; (c) K3′.
Figure 7. Determination of kinetic parameters n, K1′, K2′, and K3′ via linear regression. (a) n, K1′; (b) K2′; (c) K3′.
Coatings 13 02073 g007
Figure 8. Hydration rate curves for CCMs. (a) PC; (b) MTs5; (c) MTs15; (d) MTs25; (e) MTs35; (f) FA15; (g) SL15.
Figure 8. Hydration rate curves for CCMs. (a) PC; (b) MTs5; (c) MTs15; (d) MTs25; (e) MTs35; (f) FA15; (g) SL15.
Coatings 13 02073 g008aCoatings 13 02073 g008b
Table 1. Chemical compositions and physical properties of raw materials.
Table 1. Chemical compositions and physical properties of raw materials.
MaterialsChemical Composition (%)LOI 1 (%)SSA 2 (m2/kg)Density (g/cm3)
SiO2Al2O3Fe2O3CaOMgOSO3K2ONa2OMgOMoO3
PC20.844.683.5663.433.292.300.551.483583.11
MTs67.7513.842.712.751.142.245.451.771.140.01322.013672.62
FA52.7025.809.703.701.200.201.160.790.884.204342.35
SL31.9614.330.4936.426.652.500.560.436.654832.86
1 Loss on ignition; 2 specific surface area.
Table 2. Main technical indexes of MTs.
Table 2. Main technical indexes of MTs.
MaterialsStandard Consistency (%)f-CaoSetting Time (min)Activity Index (%)Water Demand Ratio (%)
InitialFinal7 d28 d
MTs32.5Eligible3865407569109
Table 3. Mixture proportions.
Table 3. Mixture proportions.
SampleMass Fraction (%)w/b
PCMTsFASLWater
PC1000400.4
MTs5955400.4
MTs158515400.4
MTs257525400.4
MTs356535400.4
FA158515400.4
SL158515400.4
Table 4. Influence of MTs powder content on the acceleration period of CCMs.
Table 4. Influence of MTs powder content on the acceleration period of CCMs.
Samplet0 (h)t1 (h)(t1t0) (h)V (mW/g)
PC1.0711.7210.652.7763
MTs51.4511.4510.002.8518
MTs152.5011.228.722.8136
MTs253.1511.778.622.6801
MTs353.7212.318.592.4895
Note: t0 is the end time of the induction period, t1 is the time to reach the second exothermic peak, t1t0 is the acceleration period time, and V is the peak value of the second exothermic peak.
Table 5. Relative percentage of hydration heat of CCMs (%).
Table 5. Relative percentage of hydration heat of CCMs (%).
Sample3 h6 h12 h24 h48 h72 h96 h120 h
PC100100100100100100100100
MTs58988979896969696
MTs159482909388878991
MTs259470778680818385
MTs358361647471737678
Table 6. Influence of admixture types on the acceleration period of CCMs.
Table 6. Influence of admixture types on the acceleration period of CCMs.
Samplet0 (h)t1 (h)(t1t0) (h)V (mW/g)
PC1.0711.7210.652.7763
MTs152.5011.228.722.8136
FA151.3312.7711.442.3285
SL151.3311.7310.402.4419
Table 7. Relative percentage of hydration heat for CCMs with MTs, FA, or SL (%).
Table 7. Relative percentage of hydration heat for CCMs with MTs, FA, or SL (%).
Sample3 h6 h12 h24 h48 h72 h96 h120 h
PC100100100100100100100100
MTs159482909388878991
FA15139109939393929293
SL15139115999694949596
Table 8. Knudsen formulas of CCMs.
Table 8. Knudsen formulas of CCMs.
SampleKnudsen FormulaQmax (J/g)t50 (h)
PC1/Q = 0.002 827 + 0.083 70/(tt0)353.7329.61
MTs51/Q = 0.002 928 + 0.089 04/(tt0)341.5330.41
MTs151/Q = 0.002 948 + 0.119 85/(tt0)339.2140.65
MTs251/Q = 0.003 033 + 0.143 69/(tt0)329.7147.38
MTs351/Q = 0.003 270 + 0.165 03/(tt0)305.8150.47
FA151/Q = 0.003 094 + 0.102 27/(tt0)323.2133.05
SL151/Q = 0.002 835 + 0.114 00/(tt0)352.7340.21
Table 9. Hydration kinetic parameters of CCMs.
Table 9. Hydration kinetic parameters of CCMs.
SamplenK1K2K3α1α2α2α1
PC1.831 700.042 680.010 260.001 630.1330.2200.087
MTs51.881 520.044 870.010 690.001 530.1300.1990.069
MTs151.860 040.045 610.010 320.001 150.1160.1580.042
MTs251.949 230.045 730.010 090.001 020.1110.1440.033
MTs352.047 240.046 340.010 010.000 990.1070.1410.034
FA151.878 140.041 040.009 570.001 300.1240.1900.066
SL151.810 730.040 210.008 970.001 130.1110.1770.066
Disclaimer/Publisher’s Note: The statements, opinions and data contained in all publications are solely those of the individual author(s) and contributor(s) and not of MDPI and/or the editor(s). MDPI and/or the editor(s) disclaim responsibility for any injury to people or property resulting from any ideas, methods, instructions or products referred to in the content.

Share and Cite

MDPI and ACS Style

Cheng, Q.; Meng, W.; Ma, K. Hydration Heat and Hydration Kinetics of Cement Paste Compound with Molybdenum Tailings Powder: A Research Article. Coatings 2023, 13, 2073. https://doi.org/10.3390/coatings13122073

AMA Style

Cheng Q, Meng W, Ma K. Hydration Heat and Hydration Kinetics of Cement Paste Compound with Molybdenum Tailings Powder: A Research Article. Coatings. 2023; 13(12):2073. https://doi.org/10.3390/coatings13122073

Chicago/Turabian Style

Cheng, Qinghui, Weiqi Meng, and Kunlin Ma. 2023. "Hydration Heat and Hydration Kinetics of Cement Paste Compound with Molybdenum Tailings Powder: A Research Article" Coatings 13, no. 12: 2073. https://doi.org/10.3390/coatings13122073

APA Style

Cheng, Q., Meng, W., & Ma, K. (2023). Hydration Heat and Hydration Kinetics of Cement Paste Compound with Molybdenum Tailings Powder: A Research Article. Coatings, 13(12), 2073. https://doi.org/10.3390/coatings13122073

Note that from the first issue of 2016, this journal uses article numbers instead of page numbers. See further details here.

Article Metrics

Back to TopTop