Electrostatic Forces in Control of the Foamability of Nonionic Surfactant
Abstract
1. Introduction
2. Materials and Methods
2.1. Materials
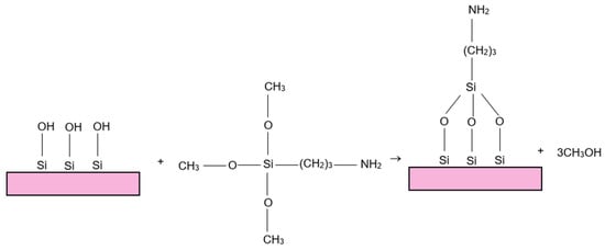
2.2. Methods
3. Results and Discussion
3.1. Zeta Potential Measurements
3.2. Foamability of 20 ppm MIBC at Different pH Values and Constant Ionic Strength I = 7.5 × 10−4 mol/L
3.3. Foamability of 20 ppm MIBC + 1 wt. % Modified Silica Particles at Different pH Values and Constant Ionic Strength I = 7.5 × 10−4 mol/L
4. Conclusions
Author Contributions
Funding
Institutional Review Board Statement
Informed Consent Statement
Data Availability Statement
Conflicts of Interest
References
- Exerowa, D.; Kruglyakov, P.M. Foam and Foam Films: Theory, Experiment, Application; Marcel Dekker: New York, NY, USA, 1997; p. 796. [Google Scholar]
- Weaire, D.; Hutzler, S. Physics of Foams; Oxford University Press: Oxford, UK, 1999; p. 368. [Google Scholar]
- Asadzadeh Shahir, A.; Arabadzhieva, D.; Petkova, H.; Karakashev, S.I.; Nguyen, A.V.; Mileva, E. Effect of Under-Monolayer Adsorption on Foamability, Rheological Characteristics, and Dynamic Behavior of Fluid Interfaces: Experimental Evidence for the Guggenheim Extended Interface Model. J. Phys. Chem. C 2017, 121, 11472–11487. [Google Scholar] [CrossRef]
- Wantke, K.D.; Fruhner, H. The relationship between foam stability and surface rheological properties. In Progress and Trends in Rheology V, Proceedings of the Fifth European Rheology Conference Portorož, Slovenia, 6–11 September 1998; Steinkopff: Steinkopf, South Africa; pp. 315–316.
- Karakashev, S.I.; Tsekov, R.; Manev, E.D.; Nguyen, A.V. Soap Bubble Elasticity: Analysis and Correlation with Foam Stability. In Plovdiv University “Paisii Hilendarski” Scientific Papers; Plovdiv Univeristy Press: Plovdiv, Bulgaria, 2010; p. 37. [Google Scholar]
- Karakashev, S.I.; Smoukov, S.K.; Raykundaliya, N.; Grozev, N.A. Duality of foam stabilization. Colloids Surf. A 2021, 619, 126521. [Google Scholar] [CrossRef]
- Karakashev, S.I.; Ozdemir, O.; Hampton, M.A.; Nguyen, A.V. Formation and stability of foams stabilized by fine particles with similar size, contact angle and different shapes. Colloids Surf. A Physicochem. Eng. Asp. 2011, 382, 132–138. [Google Scholar] [CrossRef]
- Karakashev, S.I.; Manev, E.D.; Nguyen, A.V. Effect of Thin Film elasticity on Foam stability. Annu. Sofia Univ. 2011, 102, 153–163. [Google Scholar]
- Karakashev, S.I.; Manev, E.D. Frothing behavior of nonionic surfactant solutions in the presence of organic and inorganic electrolytes. J. Colloid Interface Sci. 2001, 235, 194–196. [Google Scholar] [CrossRef]
- Amani, P.; Karakashev, S.I.; Grozev, N.A.; Simeonova, S.S.; Miller, R.; Rudolph, V.; Firouzi, M. Effect of selected monovalent salts on surfactant stabilized foams. Adv. Colloid Interface Sci. 2021, 295, 102490. [Google Scholar] [CrossRef]
- Sett, S.; Karakashev, S.I.; Smoukov, S.K.; Yarin, A.L. Ion-specific effects in foams. Adv. Colloid Interface Sci. 2015, 225, 98–113. [Google Scholar] [CrossRef]
- Manev, E.; Pugh, R.J. The influence of tetraalkylammonium counterions on the drainage and stability of thin films and foams stabilized by dilute aqueous solutions of sodium dodecyl sulfate. J. Colloid Interface Sci. 1997, 186, 493–497. [Google Scholar] [CrossRef]
- Angarska, J.K.; Manev, E.D. Effect of surface forces and surfactant adsorption on the thinning and critical thickness of foam films. Colloids Surf. A Physicochem. Eng. Asp. 2001, 190, 117–127. [Google Scholar] [CrossRef]
- Manev, E.D.; Sazdanova, S.V.; Rao, A.A.; Wasan, D.T. Foam stability—The effect of a liquid crystalline phase on the drainage and transition behavior of foam films. J. Dispers. Sci. Techn. 1982, 3, 435–463. [Google Scholar] [CrossRef]
- Manev, E.D.; Sazdanova, S.V.; Wasan, D.T. Emulsion and foam stability—The effect of film size on film drainage. J. Colloid Interface Sci. 1984, 97, 591–594. [Google Scholar] [CrossRef]
- Jachimska, B.; Małysa, K. Foam rupture under combined action of gravity and centrifugal force. Bull. Pol. Acad. Sci. Tech. Sci. 2000, 48, 166–179. [Google Scholar]
- Lotun, D.; Pilon, L. Physical modeling of slag foaming for various operating conditions and slag compositions. ISIJ Int. 2005, 45, 835–840. [Google Scholar] [CrossRef][Green Version]
- Karakashev, S.I.; Georgiev, P.; Balashev, K. Foam production—Ratio between foaminess and rate of foam decay. J. Colloid Interface Sci. 2012, 379, 144–147. [Google Scholar] [CrossRef]
- Karakashev, S.I.; Georgiev, P.; Balashev, K. On the growth of pneumatic foams. Eur. Phys. J. E 2013, 36, 13. [Google Scholar] [CrossRef]
- Karakashev, S.I.; Grozdanova, M.V. Foams and antifoams. Adv. Colloid Interface Sci. 2012, 176–177, 1–17. [Google Scholar] [CrossRef] [PubMed]
- Zhang, H.; Miller, C.A.; Garrett, P.R.; Raney, K.H. Defoaming effect of calcium soap. J. Colloid Interface Sci. 2004, 279, 539–547. [Google Scholar] [CrossRef]
- Samanta, S.; Ghosh, P. Coalescence of air bubbles in aqueous solutions of alcohols and nonionic surfactants. Chem. Eng. Sci. 2011, 66, 4824–4837. [Google Scholar] [CrossRef]
- Rio, E.; Drenckhan, W.; Salonen, A.; Langevin, D. Unusually stable liquid foams. Adv. Colloid Interface Sci. 2014, 205, 74–86. [Google Scholar] [CrossRef]
- Narsimhan, G.; Ruckenstein, E. Effect of Bubble Size Distribution on the Enrichment and Collapse in Foams. Langmuir 1986, 2, 494–508. [Google Scholar] [CrossRef]
- Wantke, K.; Małysa, K.; Lunkenheimer, K. A relation between dynamic foam stability and surface elasticity. Colloids Surf. A 1994, 82, 183–191. [Google Scholar] [CrossRef]
- Karakashev, S.I.; Manev, E.D. Correlation in the properties of aqueous single films and foam containing a nonionic surfactant and organic/inorganic electrolytes. J. Colloid Interface Sci. 2003, 259, 171–179. [Google Scholar] [CrossRef] [PubMed]
- Vilkova, N.G.; Elaneva, S.I.; Karakashev, S.I. Effect of hexylamine concentration on the properties of foams and foam films stabilized by Ludox. Mendeleev Comm. 2012, 22, 227–228. [Google Scholar] [CrossRef]
- Lam, S.; Velikov, K.P.; Velev, O.D. Pickering stabilization of foams and emulsions with particles of biological origin. Curr. Opin. Colloid Interface Sci. 2014, 19, 490–500. [Google Scholar] [CrossRef]
- Fameau, A.L.; Lam, S.; Velev, O.D. Multi-stimuli responsive foams combining particles and self-assembling fatty acids. Chem. Sci. 2013, 4, 3874–3881. [Google Scholar] [CrossRef]
- Exerowa, D.; Churaev, N.V.; Kolarov, T.; Esipova, N.E.; Panchev, N.; Zorin, Z.M. Foam and wetting films: Electrostatic and steric stabilization. Adv. Colloid Interface Sci. 2003, 104, 1–24. [Google Scholar] [CrossRef] [PubMed]
- Manev, E.D.; Karakashev, S.I. Effect of Adsorption of short-chained organic ions on the stability of foam from aqueous solution of a non-ionic surfactant. Annu. Sofia Univ. 2001, 92/94, 167–173. [Google Scholar]
- Manev, E.; Scheludko, A.; Ekserova, D. Critical thicknesses of rupture and of the formation of black spots in microscopic aqueous films. Izv. Otd. Khim. Nauk. Bulg. Akad. Nauk. 1972, 5, 585–595. [Google Scholar]
- Exerowa, D.; Gochev, G.; Platikanov, D.; Liggieri, L.; Miller, R. Foam Films and Foams: Fundamentals and Applications; CRC Press: Boca Raton, FL, USA, 2018. [Google Scholar]
- Qu, X.; Wang, L.; Karakashev, S.I.; Nguyen, A.V. Anomalous thickness variation of the foam films stabilized by weak non-ionic surfactants. J. Colloid Interface Sci. 2009, 337, 538–547. [Google Scholar] [CrossRef]
- Manev, E.; Pugh, R. Diffuse layer electrostatic potential and stability of thin aqueous films containing a nonionic surfactant. Langmuir 1991, 7, 2253–2260. [Google Scholar] [CrossRef]
- Manev, E.; Sheludko, A.; Ekserova, D. Effect of surfactant concentration on the critical thicknesses of liquid films. Colloid Polym. Sci. 1974, 252, 586–593. [Google Scholar] [CrossRef]
- Manev, E.D. Effect of the disjoining pressure and surfactant diffusion on the thinning rate of aniline foam films. Annu. Sofia Univ. 1979, 70 Pt. 2, 97–109. [Google Scholar]
- Bergeron, V. Forces and structure in thin liquid soap films. J. Phys. Condes. Matter 1999, 11, R215–R238. [Google Scholar] [CrossRef]
- Jia, W.; Xian, C.; Wu, J. Temperature-sensitive foaming agent developed for smart foam drainage technology. RSC Adv. 2022, 12, 23447–23453. [Google Scholar] [CrossRef]
- Lencina, M.M.S.; Fernández Miconi, E.; Fernández Leyes, M.D.; Domínguez, C.; Cuenca, E.; Ritacco, H.A. Effect of surfactant concentration on the responsiveness of a thermoresponsive copolymer/surfactant mixture with potential application on “Smart” foams formulations. J. Colloid Interface Sci. 2018, 512, 455–465. [Google Scholar] [CrossRef] [PubMed]
- Liang, M.Q.; Yin, H.Y.; Feng, Y.J. Smart aqueous foams: State of the art. Acta Phys. Chim. Sin. 2016, 32, 2652–2662. [Google Scholar] [CrossRef]
- Schnurbus, M.; Stricker, L.; Ravoo, B.J.; Braunschweig, B. Smart Air-Water Interfaces with Arylazopyrazole Surfactants and Their Role in Photoresponsive Aqueous Foam. Langmuir 2018, 34, 6028–6035. [Google Scholar] [CrossRef] [PubMed]
- Wang, J.; Liang, M.; Tian, Q.; Feng, Y.; Yin, H.; Lu, G. CO2-switchable foams stabilized by a long-chain viscoelastic surfactant. J. Colloid Interface Sci. 2018, 523, 65–74. [Google Scholar] [CrossRef] [PubMed]
- Derjaguin, B.; Landau, L. Theory of the stability of strongly charged lyophobic sols an of the adhesion of strongly charged particles in solutions of electrolytes. Acta Phys. Chim. 1941, 14, 633–662. [Google Scholar] [CrossRef]
- Verwey, E.J.W.; Overbeek, J.T.G. Theory of the stability of lyophobic colloids. J. Colloid Sci. 1955, 10, 224–225. [Google Scholar] [CrossRef]
- Verwey, E.J.W. Theory of the Stability of Lyophobic Colloids. J. Phys. Colloid Chem. 1947, 51, 631–636. [Google Scholar] [CrossRef] [PubMed]
- Derjagiun, B.V. On the repulsive forces between charged colloid particles and on the theory of slow coagulation and stability of lyophobic sols. Trans. Farad. Soc. 1940, 36, 203–215. [Google Scholar] [CrossRef]
- Derjaguin, B. A theory of interaction of particles in presence of electric double layers and the stability of lyophobic colloids and disperse systems. Acta Phys. Chim. 1939, 10, 333–346. [Google Scholar]
- Mysels, K.J.; Jones, M.N. Direct Measurement of Variation of Double-Layer Repulsion with Distance. Disc. Farad. Soc. 1966, 42, 42–50. [Google Scholar] [CrossRef]
- Bergeron, V. Measurement of forces and structure between fluid interfaces. Curr. Opin. Colloid Interface Sci. 1999, 4, 249–255. [Google Scholar] [CrossRef]
- Schelero, N.; von Klitzing, R. Ion specific effects in foam films. Curr. Opin. Colloid Interface Sci. 2015, 20, 124–129. [Google Scholar] [CrossRef]
- Ivanov, I.B.; Slavchov, R.I.; Basheva, E.S.; Sidzhakova, D.; Karakashev, S.I. Hofmeister Effect on Micellization, Thin Films and Emulsion Stability Adv. Colloid Interface Sci. 2011, 168, 93–104. [Google Scholar] [CrossRef]
- Karakashev, S.I.; Grozev, N.A. The law of parsimony and the negative charge of the bubbles. Coatings 2020, 10, 1003. [Google Scholar] [CrossRef]
- Exerowa, D. Effect of adsoprtion, ionic strenght and pH on the potential of diffuse electrical layer. Kolloid Z. 1969, 232, 703–710. [Google Scholar] [CrossRef]
- Anirudhan, T.S.; Jalajamony, S.; Sreekumari, S.S. Adsorption of heavy metal ions from aqueous solutions by amine and carboxylate functionalised bentonites. Appl. Clay Sci. 2012, 65–66, 67–71. [Google Scholar] [CrossRef]
- Zurita, L.; Carrique, F.; Delgado, A.V. The primary electroviscous effect in silica suspensions. Ionic strength and pH effects. Colloids Surf. A 1994, 92, 23–28. [Google Scholar] [CrossRef]
- Yang, C.; Dabros, T.; Li, D.Q.; Czarnecki, J.; Masliyah, J.H. Measurement of the zeta potential of gas bubbles in aqueous solutions by microelectrophoresis method. J. Colloid Interface Sci. 2001, 243, 128–135. [Google Scholar] [CrossRef]
- Kralchevsky, P.A.; Danov, K.D.; Denkov, N.D. Chemical Physics of Colloid Systems and Interfaces. In Handbook of Surface and Colloid Chemistry, 4th ed.; Birdi, K.S., Ed.; CRC Press Taylor & Francis Group: Boca Raton, FL, USA, 2016; pp. 247–413. [Google Scholar]
- Kralchevsky, P.A.; Danov, K.D.; Denkov, N.D. Chemical Physics of Colloid Systems and Interfaces. In Handbook of Surface and Colloid Chemistry; Birdi, K.S., Ed.; CRC Press: Boca Raton, FL, USA, 2008; pp. 179–379. [Google Scholar]
- Nguyen, A.V.; Schulze, H.J. Colloidal Science of Flotation; Marcel Dekker: New York, NY, USA, 2004; p. 840. [Google Scholar]
- Israelachvili, J.N. Intermolecular and Surface Forces; Academic Press: London, UK, 1992; p. 291. [Google Scholar]
- Boyd, C.E. pH, Carbon Dioxide, and Alkalinity. In Water Quality: An Introduction; Boyd, C.E., Ed.; Springer US: Boston, MA, USA, 2000; pp. 105–122. [Google Scholar]
- König, M.; Vaes, J.; Klemm, E.; Pant, D. Solvents and Supporting Electrolytes in the Electrocatalytic Reduction of CO2. iScience 2019, 19, 135–160. [Google Scholar] [CrossRef] [PubMed]
- Zeebe, R.E.; Wolf-Gladrow, D. CO2 in Seawater: Equilibrium, Kinetics, Isotopes; Elsevier Science: Amsterdam, The Netherlands, 2001; p. 360. [Google Scholar]
- Karakashev, S.I.; Nguyen, A.V. Do Liquid Films Rupture due to the So-Called Hydrophobic Force or Migration of Dissolved Gases? Langmuir 2009, 25, 3363–3368. [Google Scholar] [CrossRef] [PubMed]
- Pashley, R.M. Effect of Degassing on the Formation and Stability of Surfactant-Free Emulsions and Fine Teflon Dispersions. J. Phys. Chem. B 2003, 107, 1714–1720. [Google Scholar] [CrossRef]






| pH | 4.40 | 7.42 | 8.88 | 9.40 |
| Zeta potential bubbles, mV | −10.49 | −36.93 | −57.82 | −66.56 |
| Zeta potential particles, mV | 72.25 | 45.55 | 12.43 | −4.84 |
Disclaimer/Publisher’s Note: The statements, opinions and data contained in all publications are solely those of the individual author(s) and contributor(s) and not of MDPI and/or the editor(s). MDPI and/or the editor(s) disclaim responsibility for any injury to people or property resulting from any ideas, methods, instructions or products referred to in the content. |
© 2022 by the authors. Licensee MDPI, Basel, Switzerland. This article is an open access article distributed under the terms and conditions of the Creative Commons Attribution (CC BY) license (https://creativecommons.org/licenses/by/4.0/).
Share and Cite
Karakashev, S.I.; Grozev, N.A.; Hristova, S.; Mircheva, K.; Ozdemir, O. Electrostatic Forces in Control of the Foamability of Nonionic Surfactant. Coatings 2023, 13, 37. https://doi.org/10.3390/coatings13010037
Karakashev SI, Grozev NA, Hristova S, Mircheva K, Ozdemir O. Electrostatic Forces in Control of the Foamability of Nonionic Surfactant. Coatings. 2023; 13(1):37. https://doi.org/10.3390/coatings13010037
Chicago/Turabian StyleKarakashev, Stoyan I., Nikolay A. Grozev, Svetlana Hristova, Kristina Mircheva, and Orhan Ozdemir. 2023. "Electrostatic Forces in Control of the Foamability of Nonionic Surfactant" Coatings 13, no. 1: 37. https://doi.org/10.3390/coatings13010037
APA StyleKarakashev, S. I., Grozev, N. A., Hristova, S., Mircheva, K., & Ozdemir, O. (2023). Electrostatic Forces in Control of the Foamability of Nonionic Surfactant. Coatings, 13(1), 37. https://doi.org/10.3390/coatings13010037

