Corrosion Behavior of Selective Laser Melted Ti-6Al-4V in 0.1 mol/L NaOH Solution
Abstract
1. Introduction
2. Experimental Details
3. Results and Discussion
3.1. Microstructure Characterization
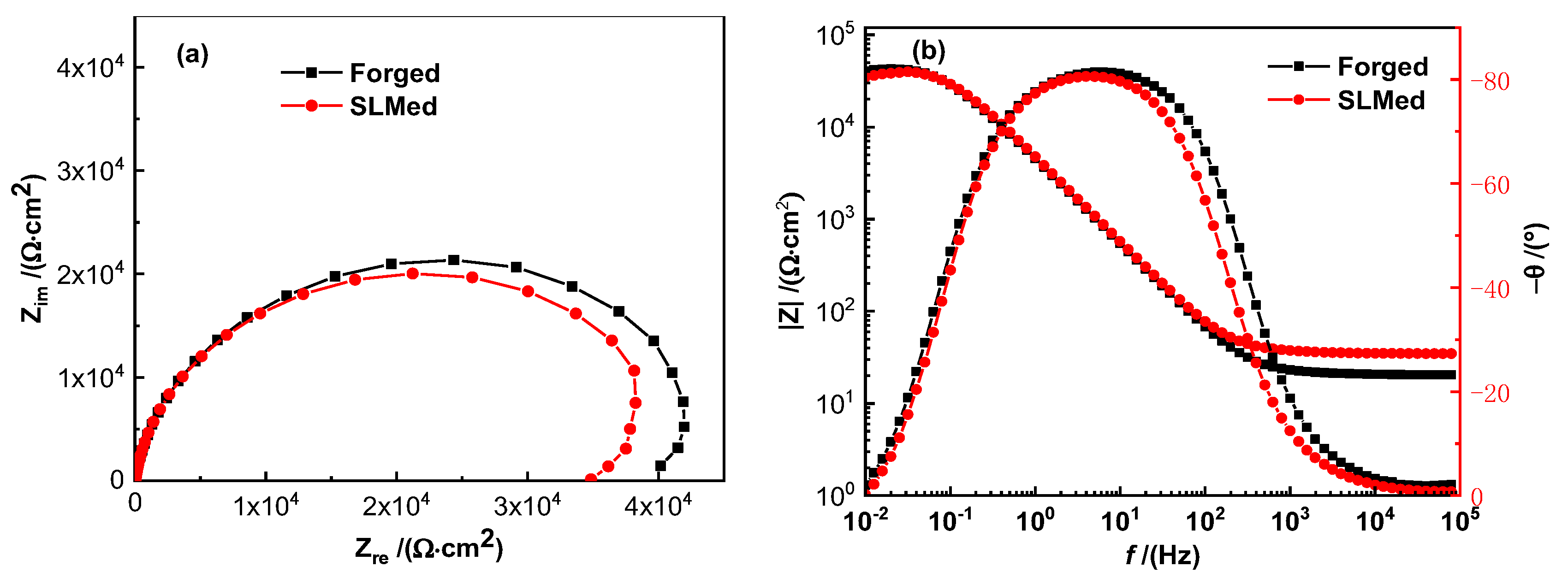
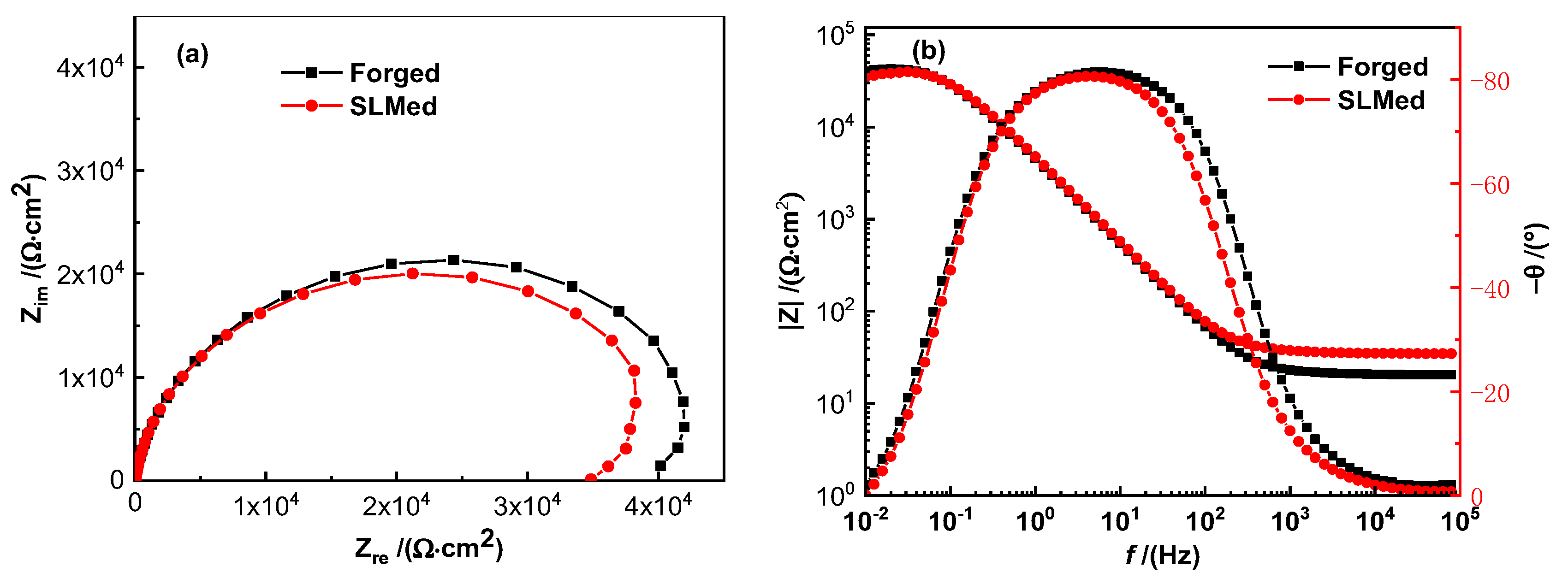
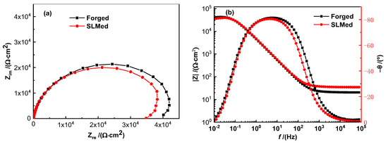
3.2. Electrochemical Corrosion Behavior
3.3. Mott–Schottky Curve
3.4. XPS Characterization
4. Conclusions
- (1)
- The electrochemical results showed that the corrosion resistance of the commercially forged Ti-6Al-4V was superior to that of the SLMed Ti-6Al-4V alloy in the 0.1 mol/L NaOH solution. The passive films on both alloys exhibited an n-type semiconductor, but the defect density in the passive film formed on the surface of the commercially forged alloy was lower.
- (2)
- The passive films formed on the surfaces of these two alloys were composed of TiO2 and Ti2O3, whose contents in the passive films were similar.
- (3)
- The passive films formed on the surface of the commercially forged Ti-6Al-4V alloy possessed lower defect contents, leading to more uniform electrochemical response and lower corrosion rates.
Author Contributions
Funding
Data Availability Statement
Acknowledgments
Conflicts of Interest
References
- Gorsse, S.; Hutchinson, C.; Goune, M.; Banerjee, R. Additive manufacturing of metals: A brief review of the characteristic microstructures and properties of steels, Ti-6Al-4V and high-entropy alloys. Sci. Technol. Adv. Mater. 2017, 18, 584–610. [Google Scholar] [CrossRef] [PubMed]
- Li, H.B.; Han, Y.; Feng, H.; Zhou, G.; Jiang, Z.H.; Cai, M.H.; Li, Y.Z.; Huang, M.X. Enhanced strength-ductility synergy via high dislocation density-induced strain hardening in nitrogen interstitial CrMnFeCoNi high-entropy alloy. J. Mater. Sci. Technol. 2023, 141, 184–192. [Google Scholar] [CrossRef]
- Guo, L.L.; Zhang, L.N.; Andersson, J.; Ojo, O. Additive manufacturing of 18% nickel maraging steels: Defect, structure and mechanical properties: A review. J. Mater. Sci. Technol. 2022, 120, 227–252. [Google Scholar] [CrossRef]
- Zhang, M.H.; Zhang, B.C.; Wen, Y.J.; Qu, X.H. Research progress on selective laser melting processing for nickel-based superalloy. Int. J. Min. Met. Mater. 2022, 29, 369–388. [Google Scholar] [CrossRef]
- Edwards, P.; Ramulu, M. Fatigue performance evaluation of selective laser melted Ti–6Al–4V. Mater. Sci. Eng A. 2014, 598, 327–337. [Google Scholar] [CrossRef]
- Zhang, D.Y.; Gao, Z.P.; Dong, D.D.; Liu, Z.; Zhou, Y. The comparision and study of performance for manufacturing dental Co-Cr Alloy’s teeth tank which made by 3D printing and traditional casting craft. Electron. Mould. 2015, 2015, 32–40. [Google Scholar]
- Lu, F.Y.; Wan, H.Y.; Ren, X.; Huang, L.M.; Liu, H.L.; Yi, X. Mechanical and microstructural characterization of additive manufactured Inconel 718 alloy by selective laser melting and laser metal deposition. J. Iron. Steel. Res. Int. 2022, 29, 1322–1333. [Google Scholar] [CrossRef]
- Bai, Y.; Gai, X.; Li, S.J.; Zhang, L.C.; Liu, Y.J.; Hao, Y.L.; Zhang, X.; Yang, R.; Gao, Y.B. Improved corrosion behaviour of electron beam melted Ti–6Al–4V alloy in phosphate buffered saline. Corros. Sci. 2017, 123, 289–296. [Google Scholar] [CrossRef]
- Tang, Y.B.; Shen, X.W.; Liu, Z.H.; Qiao, Y.X.; Yang, L.L.; Lu, D.H.; Zou, J.S.; Xu, J. Corrosion behaviors of selective laser melted inconel 718 alloy in NaOH solution. Acta Metall. Sinca. 2022, 58, 324–333. [Google Scholar]
- Wen, S.F.; Ji, X.T.; Zhou, Y.; Han, C.J.; Wei, Q.S.; Shi, Y.S. Corrosion behavior of the S136 mold steel fabricated by selective laser melting. Chin. J. Mech. Eng. 2018, 31, 108. [Google Scholar]
- Kong, D.C.; Dong, C.F.; Ni, X.; Zhang, L.; Luo, H.; Li, R.X.; Wang, L.; Man, C.; Li, X.G. The passivity of selective laser melted 316L stainless steel. Appl. Surf. Sci. 2020, 504, 144495. [Google Scholar] [CrossRef]
- Zhao, Y.; Xiong, H.; Li, X.P.; Qi, W.L.; Wang, J.D.; Hua, Y.; Zhang, T.; Wang, F.H. Improved corrosion performance of selective laser melted stainless steel 316L in deep sea environment. Corros. Commun. 2021, 2, 55–62. [Google Scholar] [CrossRef]
- Qiu, W.B.; Wei, Y.Q.; Chen, A.J.; Deng, H.; Zhou, L.J.; Zuo, H.Y.; Chen, L.Q.; Xia, Z.X.; Wang, H.; Tang, J. Corrosion behavior of additive manufactured Ti-6Al-4V in sulfamic acid cleaning solution. N. J. Chem. 2021, 45, 2967–2973. [Google Scholar] [CrossRef]
- Liu, E.J.; Huang, F.F.; Bao, F.H.; Xue, Y.P.; Wang, H.M.; Jin, Y. Microstructure and electrochemical corrosion behaviors of laser-cladded 2205 duplex stainless steel. Steel. Res. Int. 2020, 91, 1900456. [Google Scholar] [CrossRef]
- Xu, S.; Gao, F.Y.; Han, J.Y.; Xiong, S.F.; Duan, X.; Zha, F.L.; Yu, B.; Yang, L.L.; Qiao, Y.X.; Zheng, Z.B.; et al. Corrosion behaviors of Fe-22Cr-16Mn-0.55N high-nitrogen austenitic stainless steel in 3.5% NaCl solution. Coatings 2022, 12, 1769. [Google Scholar] [CrossRef]
- Dai, N.W.; Zhang, L.C.; Zhang, J.X.; Chen, Q.M.; Wu, M.L. Corrosion behavior of selective laser melted Ti-6Al-4V alloy in NaCl solution. Corros. Sci. 2016, 102, 484–489. [Google Scholar] [CrossRef]
- Wang, Z.; Zhou, Z.Q.; Zhang, L.; Hu, J.Y.; Zhang, Z.R.; Lu, M.X. Effect of pH on the electrochemical behaviour and passive film composition of 316L stainless steel. Acta Metall. Sin. 2018, 32, 585–598. [Google Scholar] [CrossRef]
- Wang, Y.; Li, M.Y.; Sun, L.L.; Bi, F.Q.; Zhang, X.Y. Microstructure and corrosion property of FeCrNiCo(Cu/Mn) high entropy alloys. Chin. J. Nonferrous Met. 2020, 30, 94–102. [Google Scholar]
- Zhao, B.Z.; Zhu, M.; Yuan, Y.F.; Yuan, Y.F.; Guo, S.Y.; Yin, S.M. Comparison of corrosion resistance of CoCrFeMnNi high entropy alloys with pipeline steels in an artificial alkaline soil solution. J. Chin. Soc. Corros. Prot. 2022, 42, 425–434. [Google Scholar]
- Jorcin, J.B.; Orazem, M.E.; Pébère, N.; Tribollet, B. CPE analysis by local electrochemical impedance spectroscopy. Electrochim. Acta 2006, 51, 1473–1479. [Google Scholar] [CrossRef]
- Wang, Z.B.; Hu, H.X.; Zheng, Y.G.; Ke, W.; Qiao, Y.X. Comparison of the corrosion behavior of pure titanium and its alloys in fluoride-containing sulfuric acid. Corros. Sci. 2016, 103, 50–65. [Google Scholar] [CrossRef]
- Hirschorn, B.; Orazem, M.E.; Tribollet, B.; Vivier, V.; Frateur, I.; Musiani, M. Determination of effective capacitance and film thickness from constant-phase-element parameters. Electrochim. Acta 2010, 55, 6218–6227. [Google Scholar] [CrossRef]
- Brug, G.J.; Eeden, A.L.G.; Sluyters-Rehbach, M.; Sluyters, J.H. The analysis of electrode impedances complicated by the presence of a constant phase element. J. Electroanal. Chem. 1984, 176, 275–295. [Google Scholar] [CrossRef]
- Su, B.X.; Luo, L.S.; Wang, B.B.; Su, Y.Q.; Wang, L.; Ritchie, R.O.; Guo, E.Y.; Li, T.; Yang, H.M.; Huang, H.G.; et al. Annealed microstructure dependent corrosion behavior of Ti-6Al-3Nb-2Zr-1Mo alloy. J. Mater. Sci. Technol. 2021, 62, 234–248. [Google Scholar] [CrossRef]
- Xie, L.F.; Zhou, W.L. Salt spray corrosion behavior and pitting resistance of Ti-15V-3Cr-3Al-3Sn alloy evaluated using XPS, SKPFM, and electrochemical technique. J. Solid. State. Electrochem. 2022, 26, 1585–1603. [Google Scholar]
- Chiu, T.M.; Mahmoudi, M.; Dai, W.; Elwany, A.; Liang, H.; Castaneda, H. Corrosion assessment of Ti-6Al-4V fabricated using laser powder-bed fusion additive manufacturing. Electrochem. Acta 2018, 279, 143–151. [Google Scholar]
- Utomo, W.B.; Donne, S.W. Electrochemical behaviour of titanium in H2SO4–MnSO4 electrolytes. Electrochem. Acta 2006, 51, 3338–3345. [Google Scholar]
- Zheng, Z.B.; Long, J.; Guo, Y.; Li, H.; Zheng, K.H.; Qiao, Y.X. Corrosion and impact–abrasion–corrosion behaviors of quenching–tempering martensitic Fe–Cr alloy steels. J. Iron Steel Res. Int. 2022, 29, 1853–1863. [Google Scholar]
- Cui, Z.Y.; Wang, L.W.; Zhong, M.Y.; Ge, F.; Gao, H.; Man, C.; Liu, C.; Wang, X. Electrochemical behavior and surface characteristics of pure titanium during corrosion in simulated desulfurized flue gas condensates. J. Electrochem. Soc. 2018, 165, C542–C561. [Google Scholar]
- Gai, X.; Bai, Y.; Li, J.; Li, S.; Hou, W.; Hao, Y.L.; Zhang, X.; Yang, R.; Misra, R.D.K. Electrochemical behaviour of passive film formed on the surface of Ti-6Al-4V alloys fabricated by electron beam melting. Corros. Sci. 2018, 145, 80–89. [Google Scholar] [CrossRef]
- Kong, D.C.; Dong, C.F.; Zhao, M.F.; Ni, X.Q.; Man, C.; Li, X.G. Effect of chloride concentration on passive film properties on copper. Corros. Eng. Sci. Technol. 2018, 53, 122–130. [Google Scholar] [CrossRef]
- Macdonald, D.D. The history of the Point Defect Model for the passive state: A brief review of film growth aspects. Electrochim. Acta 2010, 56, 1761–1772. [Google Scholar] [CrossRef]
- Wang, T.H.; Wang, J.; Bai, J.G.; Wang, S.J.; Che, C.; Han, P.D. Effect of boron on dissolution and repairing behavior of passive film on S31254 super-austenitic stainless steel immersed in H2SO4 solution. J. Iron Steel Res. Int. 2022, 29, 1012–1025. [Google Scholar] [CrossRef]
- Cui, Z.Y.; Chen, S.S.; Wang, L.W.; Man, C.; Liu, Z.Y.; Wu, J.S.; Wang, X.; Chen, S.G.; Li, X.G. Passivation behavior and surface chemistry of 2507 super duplex stainless steel in acidified artificial seawater containing thiosulfate. J. Electrochem. Soc. 2018, 164, C856–C868. [Google Scholar] [CrossRef]
- Feng, H.; Li, H.B.; Dai, J.; Han, Y.; Qu, J.D.; Jiang, Z.H.; Zhao, Y.; Zhang, T. Why CoCrFeMnNi HEA could not passivate in chloride solution?—A novel strategy to significantly improve corrosion resistance of CoCrFeMnNi HEA by N-alloying. Corros. Sci. 2022, 204, 110396. [Google Scholar] [CrossRef]
- Qiao, Y.X.; Wang, X.Y.; Yang, L.L.; Wang, X.J.; Chen, J.; Wang, Z.B.; Zhou, H.L.; Zou, J.S.; Wang, F.H. Effect of aging treatment on microstructure and corrosion behavior of a Fe–18Cr–15Mn–0.66N stainless steel. J. Mater. Sci. Technol. 2022, 107, 197–206. [Google Scholar] [CrossRef]
- Ha, H.Y.; Jang, H.J.; Kwon, H.S.; Kim, S.J. Effects of nitrogen on the passivity of Fe–20Cr alloy. Corros. Sci. 2009, 51, 48–53. [Google Scholar] [CrossRef]
- Li, N.; Li, Y.; Wang, S.G.; Wang, F.H. Electrochemical corrosion behavior of nanocrystallized bulk 304 stainless steel. Electrochim. Acta 2006, 52, 760–765. [Google Scholar] [CrossRef]
- Yang, J.; Wang, Z.B.; Qiao, Y.X.; Zheng, Y.G. Synergistic effects of deposits and sulfate reducing bacteria on the corrosion of carbon steel. Corros. Sci. 2022, 199, 110210. [Google Scholar] [CrossRef]
- Wu, W.; Liu, J.; Liu, Z.Y.; Cui, L.Y.; Du, C.W.; Li, X.G. Surface characterization of the commercially pure titanium after hydrogen charging and its electrochemical characteristics in artificial seawater. J. Electroanal. Chem. 2018, 822, 23–32. [Google Scholar] [CrossRef]











| Alloy | Al | V | Fe | O | Ti |
|---|---|---|---|---|---|
| Forged | 5.98 | 4.03 | 0.33 | 0.08 | Bal. |
| SLMed | 6.02 | 3.97 | ~ | 0.06 | Bal. |
| Alloy | Rs (Ω·cm2) | Rp (Ω·cm2) | Qdl (Ω−1·Sn·cm−2) | n | Ceff/(F·cm−2) | dox/(nm) |
|---|---|---|---|---|---|---|
| Forged | 20.98 | 7.36 × 104 | 3.28 × 10−5 | 0.93 | 3.50 × 10−5 | 15.2 |
| SLMed | 23.15 | 4.47 × 104 | 4.65 × 10−5 | 0.92 | 4.96 × 10−5 | 16.5 |
| Ecorr (VSCE) | icorr (A/cm2) | ΔEp (VSCE) | ipp (A/cm2) | |
|---|---|---|---|---|
| Forged | −0.68 ± 0.01 | (9.33 ± 0.12) × 10−7 | 1.04 ± 0.02 | (1.63 ± 0.01) × 10−6 |
| SLMed | −0.67 ± 0.01 | (2.24 ± 0.08) × 10−6 | 0.99 ± 0.01 | (4.54 ± 0.02) × 10−6 |
Disclaimer/Publisher’s Note: The statements, opinions and data contained in all publications are solely those of the individual author(s) and contributor(s) and not of MDPI and/or the editor(s). MDPI and/or the editor(s) disclaim responsibility for any injury to people or property resulting from any ideas, methods, instructions or products referred to in the content. |
© 2023 by the authors. Licensee MDPI, Basel, Switzerland. This article is an open access article distributed under the terms and conditions of the Creative Commons Attribution (CC BY) license (https://creativecommons.org/licenses/by/4.0/).
Share and Cite
Huang, L.; Zheng, S.; Qin, Y.; Han, J.; Qiao, Y.; Chen, J. Corrosion Behavior of Selective Laser Melted Ti-6Al-4V in 0.1 mol/L NaOH Solution. Coatings 2023, 13, 150. https://doi.org/10.3390/coatings13010150
Huang L, Zheng S, Qin Y, Han J, Qiao Y, Chen J. Corrosion Behavior of Selective Laser Melted Ti-6Al-4V in 0.1 mol/L NaOH Solution. Coatings. 2023; 13(1):150. https://doi.org/10.3390/coatings13010150
Chicago/Turabian StyleHuang, Lei, Shunli Zheng, Yue Qin, Jianyang Han, Yanxin Qiao, and Jian Chen. 2023. "Corrosion Behavior of Selective Laser Melted Ti-6Al-4V in 0.1 mol/L NaOH Solution" Coatings 13, no. 1: 150. https://doi.org/10.3390/coatings13010150
APA StyleHuang, L., Zheng, S., Qin, Y., Han, J., Qiao, Y., & Chen, J. (2023). Corrosion Behavior of Selective Laser Melted Ti-6Al-4V in 0.1 mol/L NaOH Solution. Coatings, 13(1), 150. https://doi.org/10.3390/coatings13010150

