Synthesis and Characterization of Metal Complexes Based on Aniline Derivative Schiff Base for Antimicrobial Applications and UV Protection of a Modified Cotton Fabric
Abstract
1. Introduction
2. Experimental
2.1. Materials
2.2. Chemicals
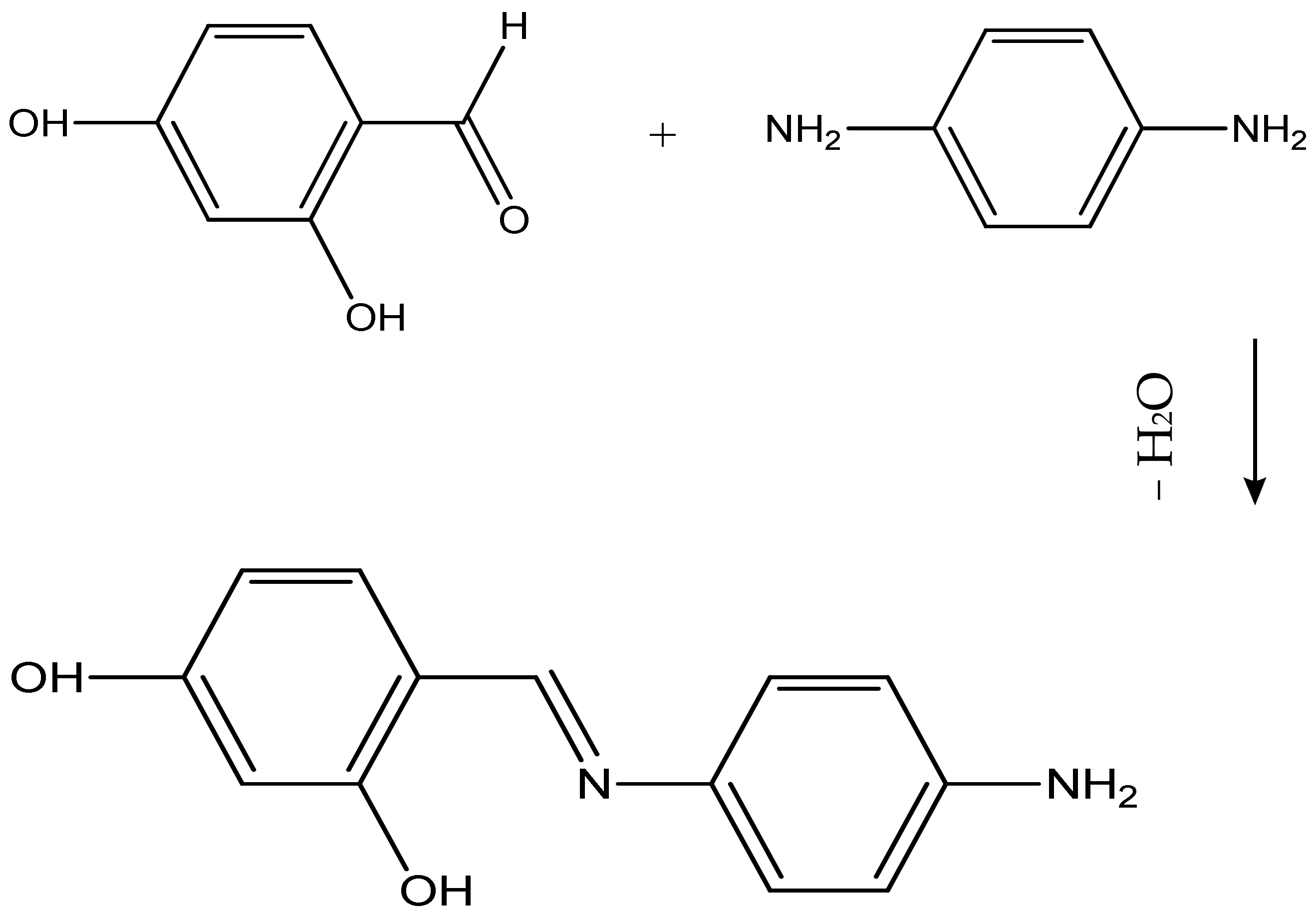
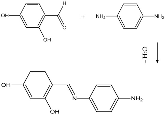
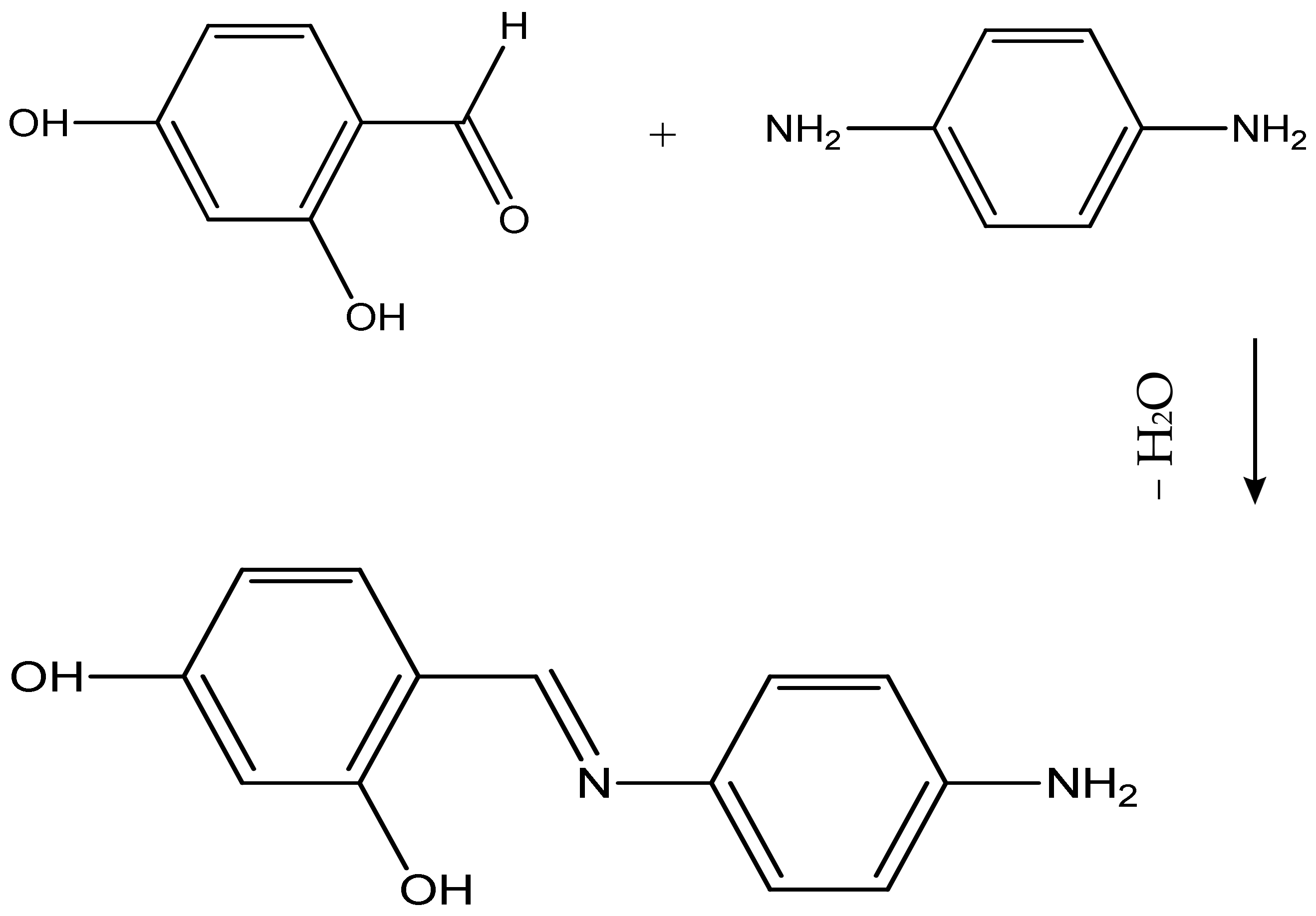
2.3. Preparation of (E)-4-(((4-Aminophenyl)imino)methyl)benzene-1,3-diol (HL) Ligand
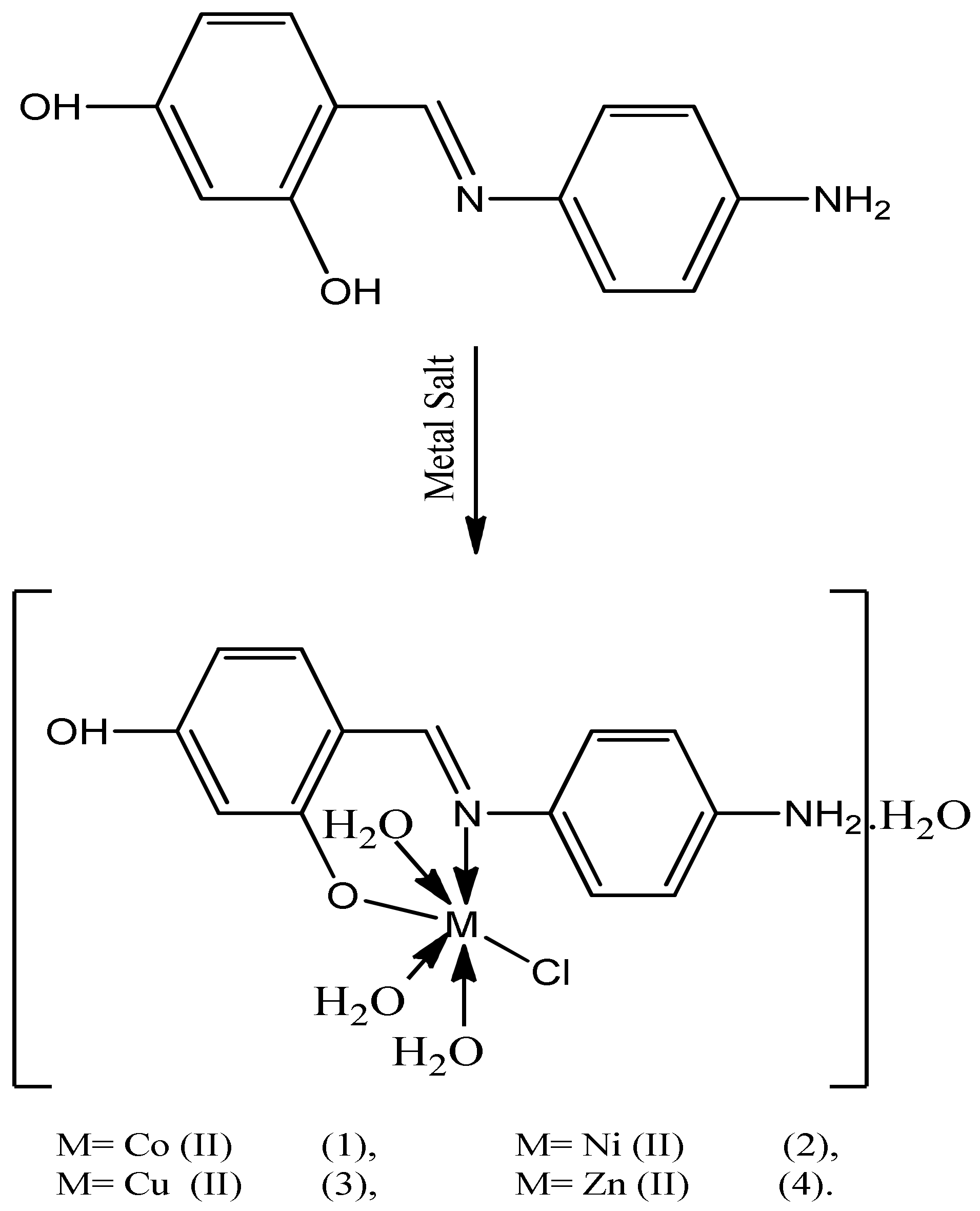
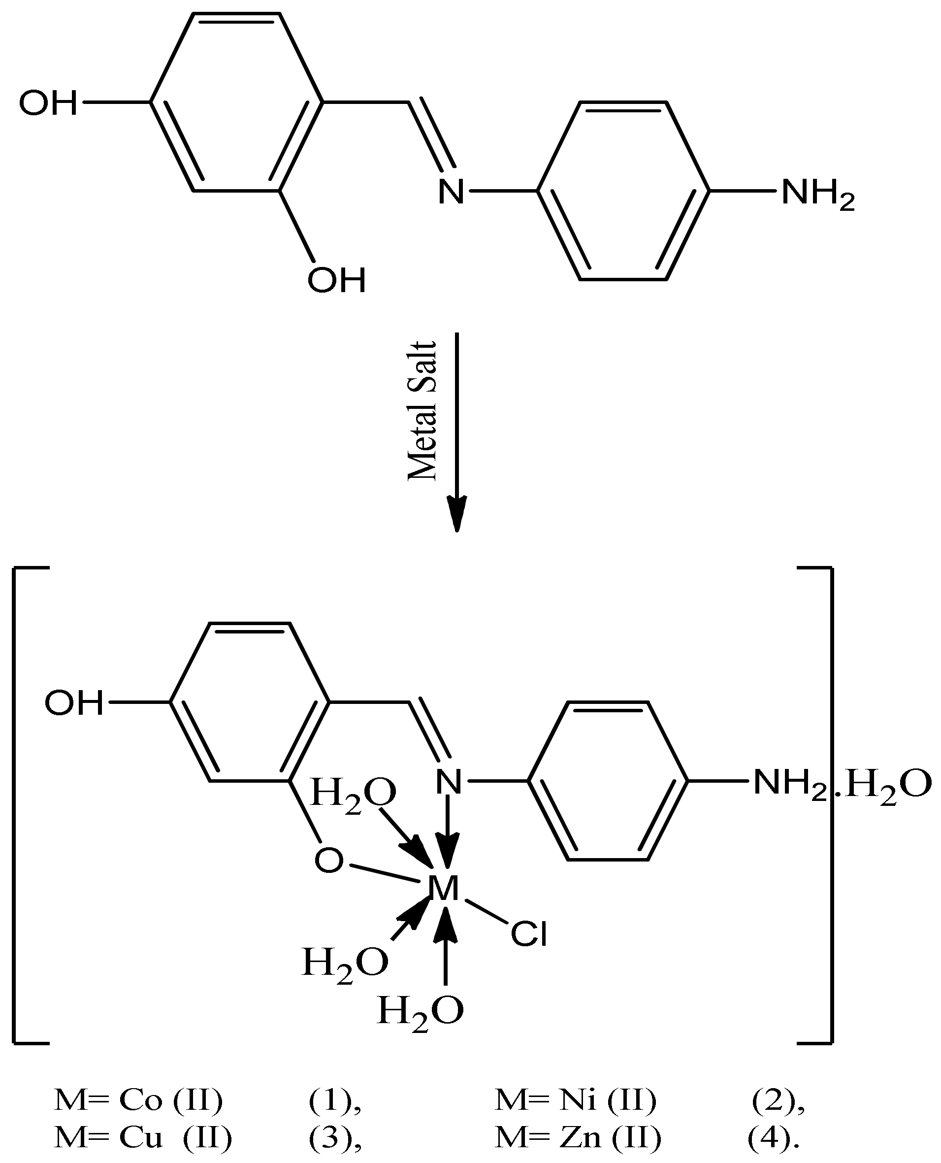
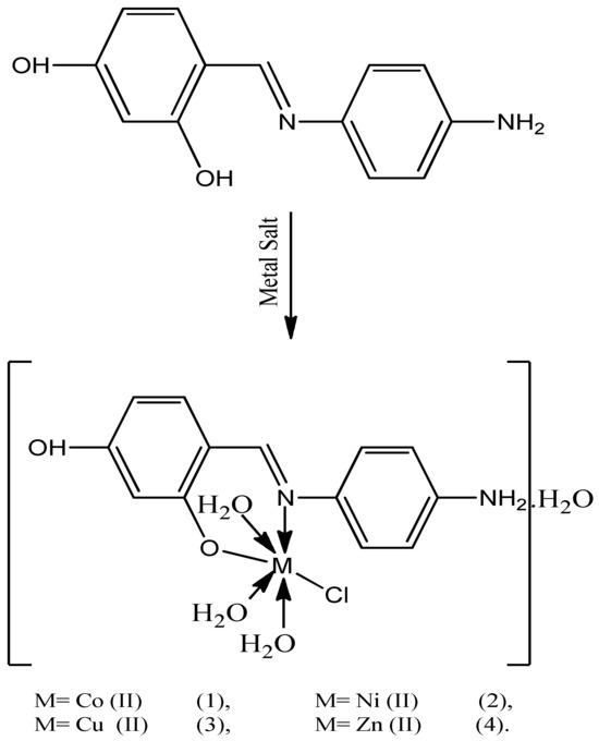
2.4. Synthesis of Transition Metal Complexes (1–4)
2.5. Coating Techniques
2.5.1. Coating of Cotton Fabric by the Previously Synthesized Ligand or the Metal Complexes (Technique 1-T1)
2.5.2. In Situ Formation of Nanometal Complexes Schiff Base Coated Cotton Fabric (Technique 2-T2)
2.6. Instruments
2.7. Antimicrobial Activity
2.8. Tensile Strength
2.9. The Add-On (%) Loading
2.10. UV Protection Factor
2.11. Durability Test
2.12. Statistical Analysis
3. Result and Discussion
3.1. Ligand and Its Metal Complexes Characterization
UV-Visible Spectroscopy and Magnetic Susceptibility
3.2. Characterizations of Cotton Fabric
3.2.1. Fourier Transform Infrared Spectroscopy (FTIR) Spectra
3.2.2. XRD of the Modified Cotton
3.2.3. SEM of Nanometal Complex Modified Cotton Fabric:
3.2.4. Antimicrobial Properties
3.2.5. UV Blocking
3.2.6. The Add-On (%) Loading and Tensile Strength
4. Conclusions
Supplementary Materials
Author Contributions
Funding
Institutional Review Board Statement
Informed Consent Statement
Data Availability Statement
Conflicts of Interest
Correction Statement
References
- Küçük, M.; Öveçoğlu, M.L. Fabrication of SiO2–ZnO NP/ZnO NR hybrid coated cotton fabrics: The effect of ZnO NR growth time on structural and UV protection characteristics. Cellulose 2020, 27, 1773–1793. [Google Scholar] [CrossRef]
- Chen, W.; Zhu, Y.; Zhang, Z.; Gao, Y.; Liu, W.; Borjihan, Q.; Qu, H.; Zhang, Y.; Zhang, Y.; Wang, Y.-J.; et al. Engineering a multifunctional N-halamine-based antibacterial hydrogel using a super-convenient strategy for infected skin defect therapy. Chem. Eng. J. 2020, 379, 122238. [Google Scholar] [CrossRef]
- Liu, J.; Dong, C.; Wei, D.; Zhang, Z.; Xie, W.; Li, Q.; Lu, Z. Multifunctional Antibacterial and Hydrophobic Cotton Fabrics Treated with Cyclic Polysiloxane Quaternary Ammonium Salt. Fibers Polym. 2019, 20, 1368–1374. [Google Scholar] [CrossRef]
- Shirvan, A.R.; Kordjazi, S.; Bashari, A. Environmentally friendly Finishing of Cotton Fabric via Star-like Silver micro/nano Particles Synthesized with Neem/Salep. J. Nat. Fibers 2021, 18, 1472–1480. [Google Scholar] [CrossRef]
- Sharaf, S.; Farouk, A.; El-Hady, M. Novel conductive textile fabric based on polyaniline and CuO nanoparticles. Int. J. PharmTech Res. 2016, 9, 461–472. [Google Scholar]
- Abd El-Hady, M.M.; Farouk, A.; Sharaf, S. Multiwalled-Carbon-Nanotubes (MWCNTs)–GPTMS/Tannic-Acid-Nanocomposite-Coated Cotton Fabric for Sustainable Antibacterial Properties and Electrical Conductivity. Coatings 2022, 12, 178. [Google Scholar] [CrossRef]
- Abd El-Hady, M.M.; Saeed, S.E.S. Antibacterial properties and pH sensitive swelling of insitu formed silver-curcumin nanocomposite based chitosan hydrogel. Polymers 2020, 12, 2451. [Google Scholar] [CrossRef] [PubMed]
- Farouk, A.; Saeed, S.E.-S.; Sharaf, S.; El-Hady, M.M.A. Photocatalytic activity and antibacterial properties of linen fabric using reduced graphene oxide/silver nanocomposite. RSC Adv. 2020, 10, 41600–41611. [Google Scholar] [CrossRef] [PubMed]
- Abd El-Hady, M.M.; Farouk, A.; Saeed, S.E.S.; Zaghloul, S. Antibacterial and UV Protection Properties of Modified Cotton Fabric Using a Curcumin/TiO2 Nanocomposite for Medical Textile Applications. Polymers 2021, 13, 4027. [Google Scholar] [CrossRef] [PubMed]
- Laddha, P.R.; Biyani, K.R. Synthesis and Biological Evaluation of Novel Schiff Bases of Aryloxy Moiety. J. Drug Deliv. Ther. 2019, 9, 44–49. [Google Scholar] [CrossRef]
- Raczuk, E.; Dmochowska, B.; Samaszko-Fiertek, J.; Madaj, J. Different Schiff Bases—Structure, Importance and Classification. Molecules 2022, 27, 787. [Google Scholar] [CrossRef] [PubMed]
- Thangadurai, T.D.; Gowri, M.; Natarajan, K. Synthesis and characterization of ruthenium (III) complexes containing monobasic bidentate Schiff bases and their biological activities. Synth. React. Inorg. Met. Org. Chem. 2002, 32, 329–344. [Google Scholar] [CrossRef]
- Ramesh, R.; Sivagamasundari, M. Synthesis, spectral and antifungal activity of Ru (II) mixed-ligand complexes. Synth. React. Inorg. Met. Org. Chem. 2003, 33, 899–910. [Google Scholar] [CrossRef]
- Shahid, K.; Ali, S.; Shahzadi, S.; Badshah, A.; Khan, K.M.; Maharvi, G.M. Organotin (IV) complexes of aniline derivatives. I. Synthesis, spectral and antibacterial studies of di-and triorganotin (IV) derivatives of 4-bromomaleanilic acid. Synth. React. Inorg. Met. Org. Chem. 2003, 33, 1221–1235. [Google Scholar] [CrossRef]
- Rauf, A.; Shah, A.; Munawar, K.S.; Ali, S.; Tahir, M.N.; Javed, M.; Khan, A.M. Synthesis, physicochemical elucidation, biological screening and molecular docking studies of a Schiff base and its metal (II) complexes. Arab. J. Chem. 2020, 13, 1130–1141. [Google Scholar] [CrossRef]
- Alorini, T.A.; Al-Hakimi, A.N.; Saeed, S.E.-S.; Alhamzi, E.H.L.; Albadri, A.E. Synthesis, characterization, and anticancer activity of some metal complexes with a new Schiff base ligand. Arab. J. Chem. 2020, 15, 103559. [Google Scholar] [CrossRef]
- Saeed, S.E.S.; Alhakimi, A.N. Synthesis, characterization of Lanthanum mixed ligand complexes based on benzimidazole derivative and the effect of the added ligand on the antimicrobial, and anticancer activities. J. Nat. Sci. Math. (JNSM) 2022, 15, 35–53. [Google Scholar]
- da Silva, C.M.; da Silva, D.L.; Modolo, L.; Alves, R.B.; de Resende, M.A.; Martins, C.V.; de Fátima, Â. Schiff bases: A short review of their antimicrobial activities. J. Adv. Res. 2011, 2, 1–8. [Google Scholar] [CrossRef]
- Naureen, B.; Miana, G.A.; Shahid, K.; Asghar, M.; Tanveer, S.; Sarwar, A. Iron (III) and zinc (II) monodentate Schiff base metal complexes: Synthesis, characterisation and biological activities. J. Mol. Struct. 2021, 1231, 129946. [Google Scholar] [CrossRef]
- Fouda, M.F.R.; Abd-Elzaher, M.M.; Shakdofa, M.M.E.; El Saied, F.A.; Ayad, M.I.; El Tabl, A.S. Synthesis and characterization of transition metal complexes of N′-[(1,5-dimethyl-3-oxo-2-phenyl-2,3-dihydro-1H-pyrazol-4-yl) methylene] thiophene-2-carbohydrazide. Transit. Met. Chem. 2008, 33, 219–228. [Google Scholar] [CrossRef]
- El-Molla, M.M.; Shama, S.A.; Saeed, S.E.-S. Preparation of Disappearing Inks and Studying the Fading Time on Different Paper Surfaces. J. Forensic Sci. 2013, 58, 188–194. [Google Scholar] [CrossRef] [PubMed]
- Saeed, S.E.S.; El-Molla, M.M.; Hassan, M.L.; Bakir, E.; Abdel-Mottaleb, M.M.; Abdel-Mottaleb, M.S. Novel chitosan-ZnO based nanocomposites as luminescent tags for cellulosic materials. Carbohydr. Polym. 2014, 99, 817–824. [Google Scholar] [CrossRef]
- Shama, S.; El-Molla, M.; Basalah, R.F.; Saeed, S.E.-S. Fading Time Study on Prepared Thymolphthalein, Phenolphthalein and their Mixture Disappearing Ink. Res. J. Text. Appar. 2008, 12, 9–18. [Google Scholar] [CrossRef]
- Abdel-Rahman, L.H.; El-Khatib, R.M.; Nassr, L.A.; Abu-Dief, A.M. Synthesis, physicochemical studies, embryos toxicity and DNA interaction of some new Iron (II) Schiff base amino acid complexes. J. Mol. Struct. 2013, 1040, 9–18. [Google Scholar] [CrossRef]
- Abu-Dief, A.M.; Mohamed, I.M. A review on versatile applications of transition metal complexes incorporating Schiff bases. Beni-Suef Univ. J. Basic Appl. Sci. 2015, 4, 119–133. [Google Scholar] [CrossRef] [PubMed]
- Hou, A.; Zhang, C.; Wang, Y. Preparation and UV-protective properties of functional cellulose fabrics based on reactive azobenzene Schiff base derivative. Carbohydr. Polym. 2012, 87, 284–288. [Google Scholar] [CrossRef]
- Sharma, V.; Ali, S.W. A greener approach to impart multiple functionalities on polyester fabric using Schiff base of vanillin and benzyl amine. Sustain. Chem. Pharm. 2022, 27, 100645. [Google Scholar] [CrossRef]
- Wen, W.; Zhang, Z.; Jing, L.; Zhang, T. Highly Antibacterial Efficacy of a Cotton Fabric Treated with Piperazinyl Schiff Base. Fibers Polym. 2021, 22, 3298–3308. [Google Scholar] [CrossRef]
- Valarmathy, G.; Subbalakshmi, R.; Sumathi, R.; Renganathan, R. Synthesis of Schiff base ligand from N-substituted benzenesulfonamide and its complexes: Spectral, thermal, electrochemical behavior, fluorescence quenching, in vitro-biological and in-vitro cytotoxic studies. J. Mol. Struct. 2020, 1199, 127029. [Google Scholar] [CrossRef]
- Daravath, S.; Vamsikrishna, N.; Ganji, N.; Venkateswarlu, K. Synthesis, characterization, DNA binding ability, nuclease efficacy and biological evaluation studies of Co (II), Ni (II) and Cu (II) complexes with benzothiazole Schiff base. Chem. Data Collect. 2018, 17, 159–168. [Google Scholar] [CrossRef]
- El-Saied, F.A.; Shakdofa, M.M.; Abdou, S.; Abd-Elzaher, M.M.; Morsy, N. Coordination versatility of N2O4 polydentate hydrazonic ligand in Zn (II), Cu (II), Ni (II), Co (II), Mn (II) and Pd (II) complexes and antimicrobial evaluation. Beni-Suef Univ. J. Basic Appl. Sci. 2017, 6, 310–320. [Google Scholar]
- Elseman, A.; Shalan, A.E.; Rashad, M.; Hassan, A.M.; Ibrahim, N.M.; Nassar, A. Easily attainable new approach to mass yield ferrocenyl Schiff base and different metal complexes of ferrocenyl Schiff base through convenient ultrasonication-solvothermal method. J. Phys. Org. Chem. 2017, 30, e3639. [Google Scholar] [CrossRef]
- Al-Hamdani, A.A.S.; Balkhi, A.; Falah, A.; Shaker, S.A. New Azo-Schiff base derived with Ni (II), Co (II), Cu (II), Pd (II) and Pt (II) Complexes: Preparation, spectroscopic investigation, structural studies and biological activity. J. Chil. Chem. Soc. 2015, 60, 2774–2785. [Google Scholar] [CrossRef]
- Mohammed, A.; Taha, N.I. Microwave Preparation and Spectroscopic Investigation of Binuclear Schiff Base Metal Complexes Derived from 2, 6-Diaminopyridine with Salicylaldehyde. Int. J. Org. Chem. 2019, 7, 412–419. [Google Scholar] [CrossRef][Green Version]
- Mounika, K.; Pragathi, A.; Gyanakumari, C. Synthesis Characterization and Biological Activity of a Schiff Base Derived from 3-Ethoxy Salicylaldehyde and 2-Amino Benzoic acid and its Transition Metal Complexes. J. Sci. Res. 2010, 2, 513. [Google Scholar] [CrossRef]
- Meenarathi, B.; Siva, P.; Palanikumar, S.; Kannammal, L.; Anbarasan, R. Synthesis, characterization and drug release activity of poly (ε-caprolactone)/Fe3O4–alizarinred nanocomposites. Nanocomposites 2016, 2, 98–107. [Google Scholar] [CrossRef][Green Version]
- Zhang, Z.; Wang, H.; Sun, J.; Guo, K. Cotton fabrics modified with Si@ hyperbranched poly (amidoamine): Their salt-free dyeing properties and thermal behaviors. Cellulose 2021, 28, 565–579. [Google Scholar] [CrossRef]
- Samanta, B.; Chakraborty, J.; Shit, S.; Batten, S.R.; Jensen, P.; Masuda, J.D.; Mitra, S. Synthesis, characterisation and crystal structures of a few coordination complexes of nickel (II), cobalt (III) and zinc (II) with N′-[(2-pyridyl) methylene] salicyloylhydrazone Schiff base. Inorg. Chim. Acta 2007, 360, 2471–2484. [Google Scholar] [CrossRef]
- Li, N.; Ming, J.; Yuan, R.; Fan, S.; Liu, L.; Li, F.; Wang, X.; Yu, J.; Wu, D. Novel Eco-Friendly Flame Retardants Based on Nitrogen–Silicone Schiff Base and Application in Cellulose. ACS Sustain. Chem. Eng. 2019, 8, 290–301. [Google Scholar] [CrossRef]
- Barbosa, H.F.G.; Cavalheiro, T.G. The influence of reaction parameters on complexation of Zn(II) complexes with biopolymeric Schiff bases prepared from chitosan and salicylaldehyde. Int. J. Biol. Macromol. 2019, 121, 1179–1185. [Google Scholar] [CrossRef]
- Su, Y.; Wang, S.; Zhang, N.; Cui, P.; Gao, Y.; Bao, T. Zr-MOF modified cotton fiber for pipette tip solid-phase extraction of four phenoxy herbicides in complex samples. Ecotoxicol. Environ. Saf. 2020, 201, 110764. [Google Scholar] [CrossRef]
- Harmon, K.M.; Akin, A.C.; Keefer, P.K.; Snider, B.L. Hydrogen bonding Part 45. Thermodynamic and IR study of the hydrates of N-methylmorpholine oxide and quinuclidine oxide. Effect of hydrate stoichiometry on strength of H–O–H⋯O–N hydrogen bonds; implications for the dissolution of cellulose in amine oxide solvents. J. Mol. Struct. 1992, 269, 109–121. [Google Scholar]
- French, A.D. Glucose, not cellobiose, is the repeating unit of cellulose and why that is important. Cellulose 2017, 24, 4605–4609. [Google Scholar] [CrossRef]
- Gashti, M.P.; Alimohammadi, F.; Song, G.; Kiumarsi, A. Characterization of nanocomposite coatings on textiles: A brief review on microscopic technology. Curr. Microsc. Contrib. Adv. Sci. Technol. 2012, 2, 1424–1437. [Google Scholar]
- Imran, M.; Liviu, M.; Latif, S.; Mahmood, Z.; Naimat, I.; Zaman, S.S.; Fatima, S. Antibacterial Co (II), Ni (II), Cu (II) and Zn (II) complexes with biacetyl-derived Schiff bases. J. Serb. Chem. Soc. 2010, 75, 1075–1084. [Google Scholar] [CrossRef]
- Joseyphus, R.S.; Nair, M.S. Antibacterial and Antifungal Studies on Some Schiff Base Complexes of Zinc(II). Mycobiology 2008, 36, 93–98. [Google Scholar] [CrossRef]
- Saif, M.; El-Shafiy, H.F.; Mashaly, M.M.; Eid, M.F.; Nabeel, A.I.; Fouad, R. Synthesis, characterization, and antioxidant/cytotoxic activity of new chromone Schiff base nano-complexes of Zn (II), Cu (II), Ni (II) and Co (II). J. Mol. Struct. 2016, 1118, 75–82. [Google Scholar] [CrossRef]











| Comp. No. | λmax (nm) | Wavenumber (cm−1) | Assignment | µeff (BM) |
|---|---|---|---|---|
| HL | 311 | 32,154 | π → π* | - |
| 370 | 27,027 | n → π* | ||
| Co (II) complex | 224 | 44,642 | π → π* | 3.99 |
| 307 | 32,573 | n → π* | ||
| 481 | 20,790 | 4T1g → 4T2g (P) | ||
| Ni (II) Complex | 229 | 43,668 | π → π* | 2.7 |
| 317 | 31,545 | n → π* | ||
| 452 | 22,124 | 3A2g⟶3T2g | ||
| Cu (II) Complex | 219 | 45,662 | π → π* | 1.60 |
| 306 | 32,679 | n → π* | ||
| 464 | 21,552 | 2B1 → 2Eg | ||
| Zn (II) Complex | 233 | 42,918 | π → π* | Dia |
| 320 | 31,250 | n → π* | ||
| 380 | 26,315 | MLCT |
| Complexes | Bacterial Species Inhibition Zone (mm) | Fungal Species Inhibition Zone (mm) | ||||||
|---|---|---|---|---|---|---|---|---|
| G+ | G− | |||||||
| S. aureus | E. coil | Candida albicans | Aspergillus flavus | |||||
| Technique 2 | Technique 1 | Technique 2 | Technique 1 | Technique 2 | Technique 1 | Technique 2 | Technique 1 | |
| Unmodified Cotton Fabric | 0 | 0 | 0 | 0 | 0 | 0 | 0 | 0 |
| Ligand Modified Cotton Fabric | 10 | 10 | 9 | 9 | 0 | 0 | 0 | 0 |
| Co Complex- Modified Cotton Fabric | 26 | 13 | 31 | 0.0 | 17 | 0 | 0 | 0 |
| Ni Complex Modified Cotton Fabric | 28 | 16 | 21 | 15 | 27 | 19 | 0 | 0 |
| Cu Complex Modified Cotton Fabric | 23 | 18 | 19 | 13 | 13 | 0 | 0 | 0 |
| Zn Complex Modified Cotton Fabric | 22 | 18 | 22 | 18 | - | 0 | 0 | 0 |
| Treatment | UPF Value | UV-A | UV-B | UV Protection | ||||
|---|---|---|---|---|---|---|---|---|
| No. of washing cycle | 1 | 10 | 1 | 10 | 1 | 10 | 1 | 10 |
| Unmodified cotton fabric | 4.5 | 4.1 | 26 | 28 | 18.8 | 20 | Non-ratable | Non-ratable |
| Ligand modified cotton fabric | 117.5 | 115.3 | 0.6 | 0.64 | 0.9 | 0.95 | Excellent | Excellent |
| Co-complex modified cotton fabric | 128.5 | 125.01 | 0.7 | 0.73 | 0.8 | 0.86 | Excellent | Excellent |
| Ni-complex modified cotton fabric | 217.5 | 211.6 | 0.4 | 0.45 | 0.5 | 0.55 | Excellent | Excellent |
| Cu-complex modified cotton fabric | 507.5 | 495 | 0.2 | 0.22 | 0.2 | 0.21 | Excellent | Excellent |
| Zn-complex modified cotton fabric | 93.5 | 88 | 0.9 | 0.97 | 1.1 | 1.5 | Excellent | Excellent |
| Treatment | Add On (%) | Tensile Strength (Newton) | ||
|---|---|---|---|---|
| Technique 2 | Technique 1 | Technique 2 | Technique 1 | |
| Unmodified cotton fabric | 0 | 0 | 539 ± 1.04 | 539 ± 1.04 |
| Ligand modified cotton fabric | 2.01 ± 0.05 | - | 508 ± 0.2 | - |
| Co-complex modified cotton fabric | 4.02 ± 0.2 | 0.94 ± 0.2 | 484 ± 0.2 | 498 ± 0.3 |
| Ni-complex modified cotton fabric | 6.87 ± 0.3 | 1.59 ± 0.3 | 471 ± 0.3 | 493 ± 0.3 |
| Cu-complex modified cotton fabric | 6.99 ± 0.2 | 1.34 ± 0.2 | 469 ± 0.2 | 521 ± 0.2 |
| Zn-complex modified cotton fabric | 3.71 ± 0.3 | 2.63 ± 0.3 | 485 ± 0.3 | 494 ± 0.2 |
Publisher’s Note: MDPI stays neutral with regard to jurisdictional claims in published maps and institutional affiliations. |
© 2022 by the authors. Licensee MDPI, Basel, Switzerland. This article is an open access article distributed under the terms and conditions of the Creative Commons Attribution (CC BY) license (https://creativecommons.org/licenses/by/4.0/).
Share and Cite
Saeed, S.E.-S.; Al-Harbi, T.M.; Alhakimi, A.N.; Abd El-Hady, M.M. Synthesis and Characterization of Metal Complexes Based on Aniline Derivative Schiff Base for Antimicrobial Applications and UV Protection of a Modified Cotton Fabric. Coatings 2022, 12, 1181. https://doi.org/10.3390/coatings12081181
Saeed SE-S, Al-Harbi TM, Alhakimi AN, Abd El-Hady MM. Synthesis and Characterization of Metal Complexes Based on Aniline Derivative Schiff Base for Antimicrobial Applications and UV Protection of a Modified Cotton Fabric. Coatings. 2022; 12(8):1181. https://doi.org/10.3390/coatings12081181
Chicago/Turabian StyleSaeed, S. El-Sayed, Tahani M. Al-Harbi, Ahmed N. Alhakimi, and M. M. Abd El-Hady. 2022. "Synthesis and Characterization of Metal Complexes Based on Aniline Derivative Schiff Base for Antimicrobial Applications and UV Protection of a Modified Cotton Fabric" Coatings 12, no. 8: 1181. https://doi.org/10.3390/coatings12081181
APA StyleSaeed, S. E.-S., Al-Harbi, T. M., Alhakimi, A. N., & Abd El-Hady, M. M. (2022). Synthesis and Characterization of Metal Complexes Based on Aniline Derivative Schiff Base for Antimicrobial Applications and UV Protection of a Modified Cotton Fabric. Coatings, 12(8), 1181. https://doi.org/10.3390/coatings12081181

