The Influence of Thin Gold Electrodes on the High-Temperature Impedance of Oxide Glasses
Abstract
:1. Introduction
2. Materials and Methods
3. Results and Discussion
3.1. Presentation of the Problem
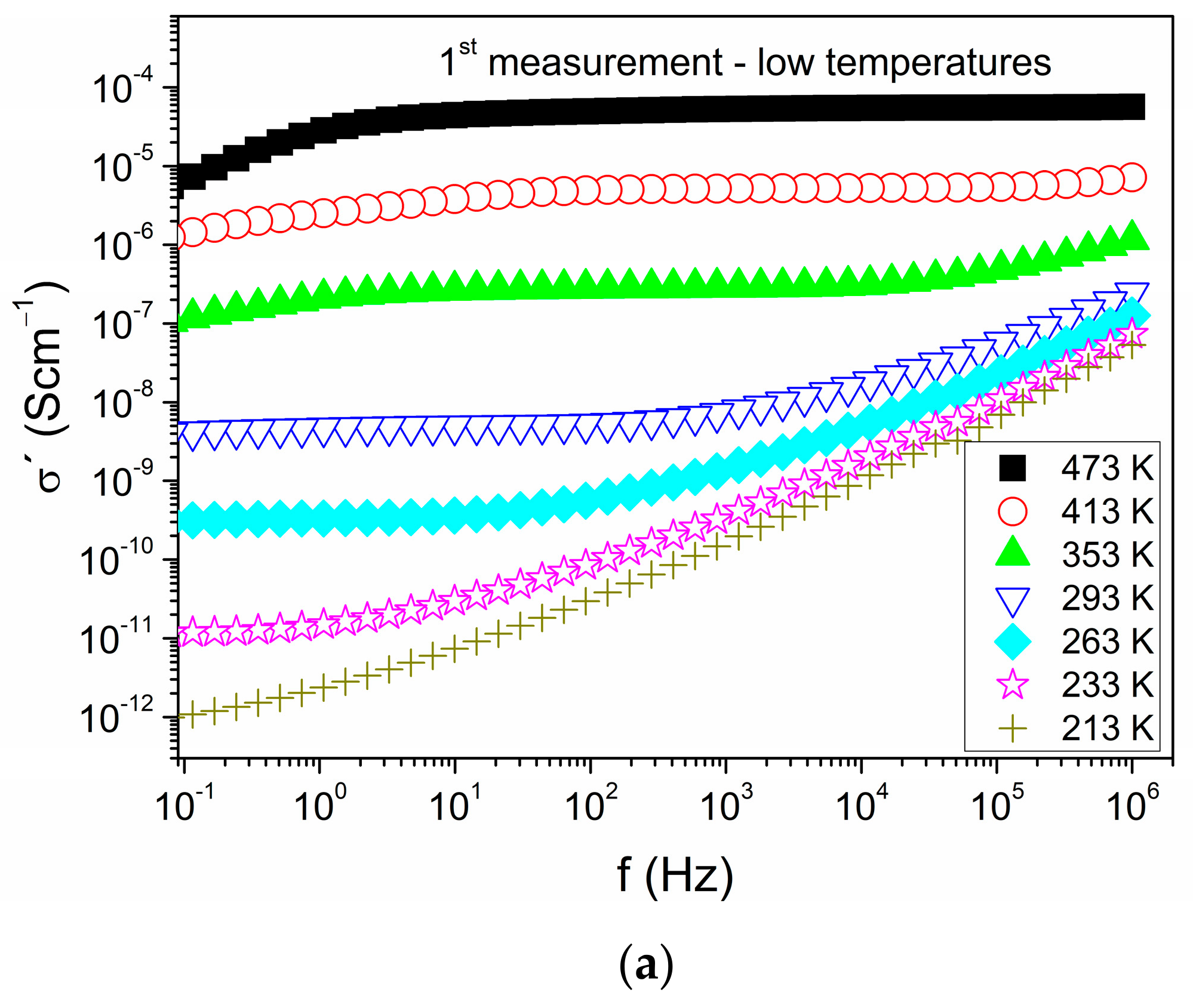
3.1.1. Conductivity Spectra for 5BeNa
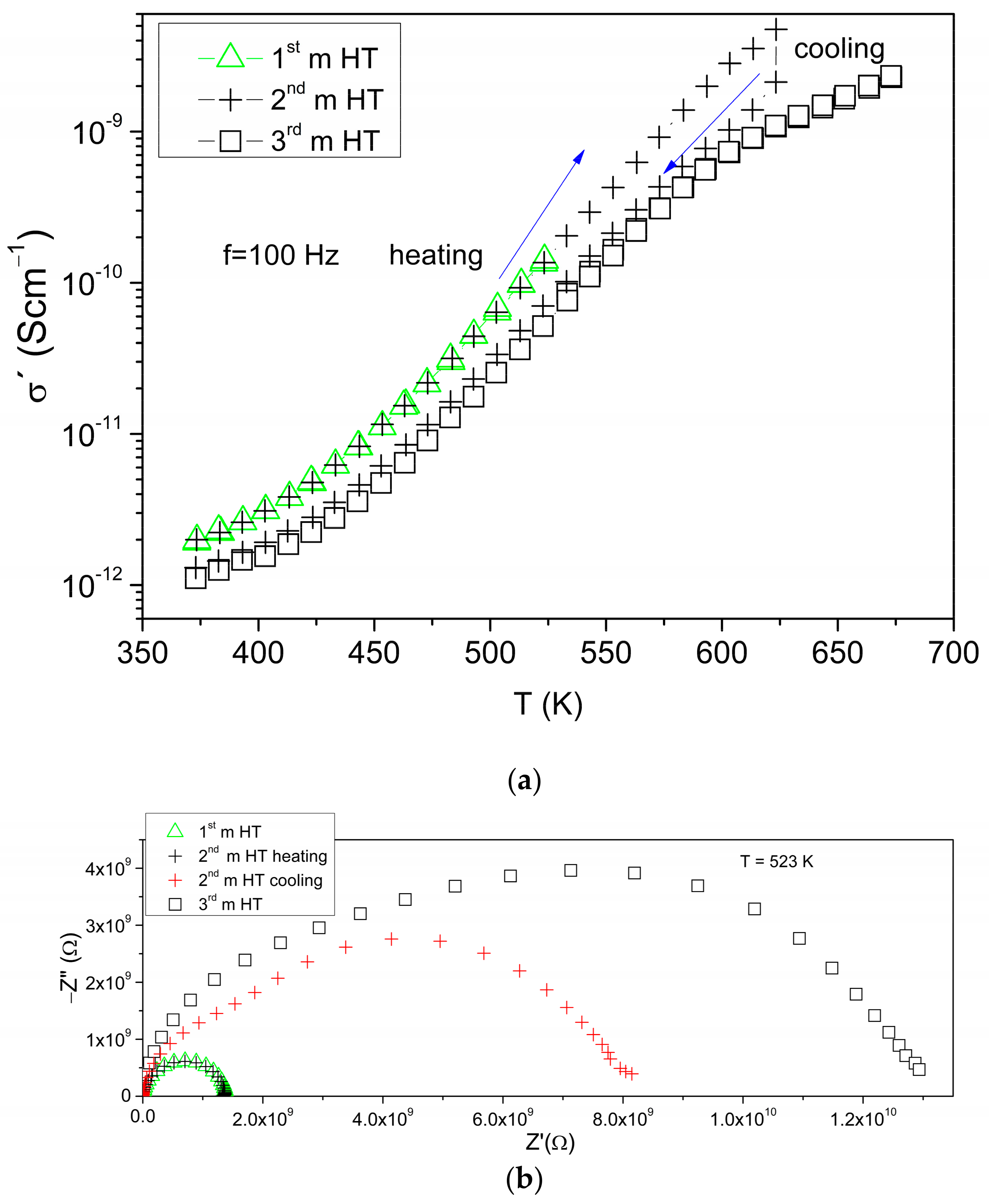
3.1.2. The Evolution of Conductivity Behavior during Subsequent Measurements for the 5BeNa Sample
3.1.3. The Uncertainty in the Interpretation of Impedance Data
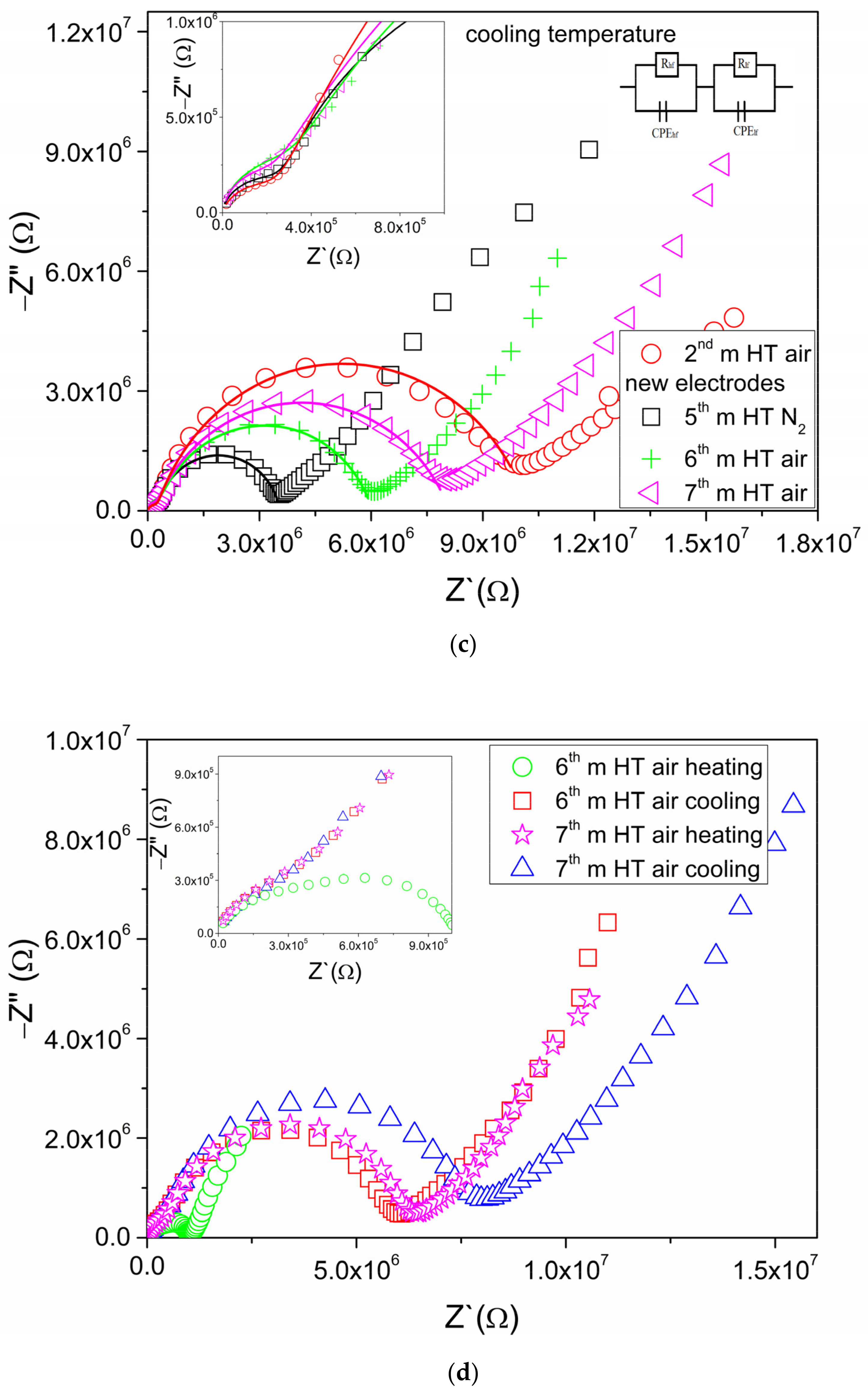
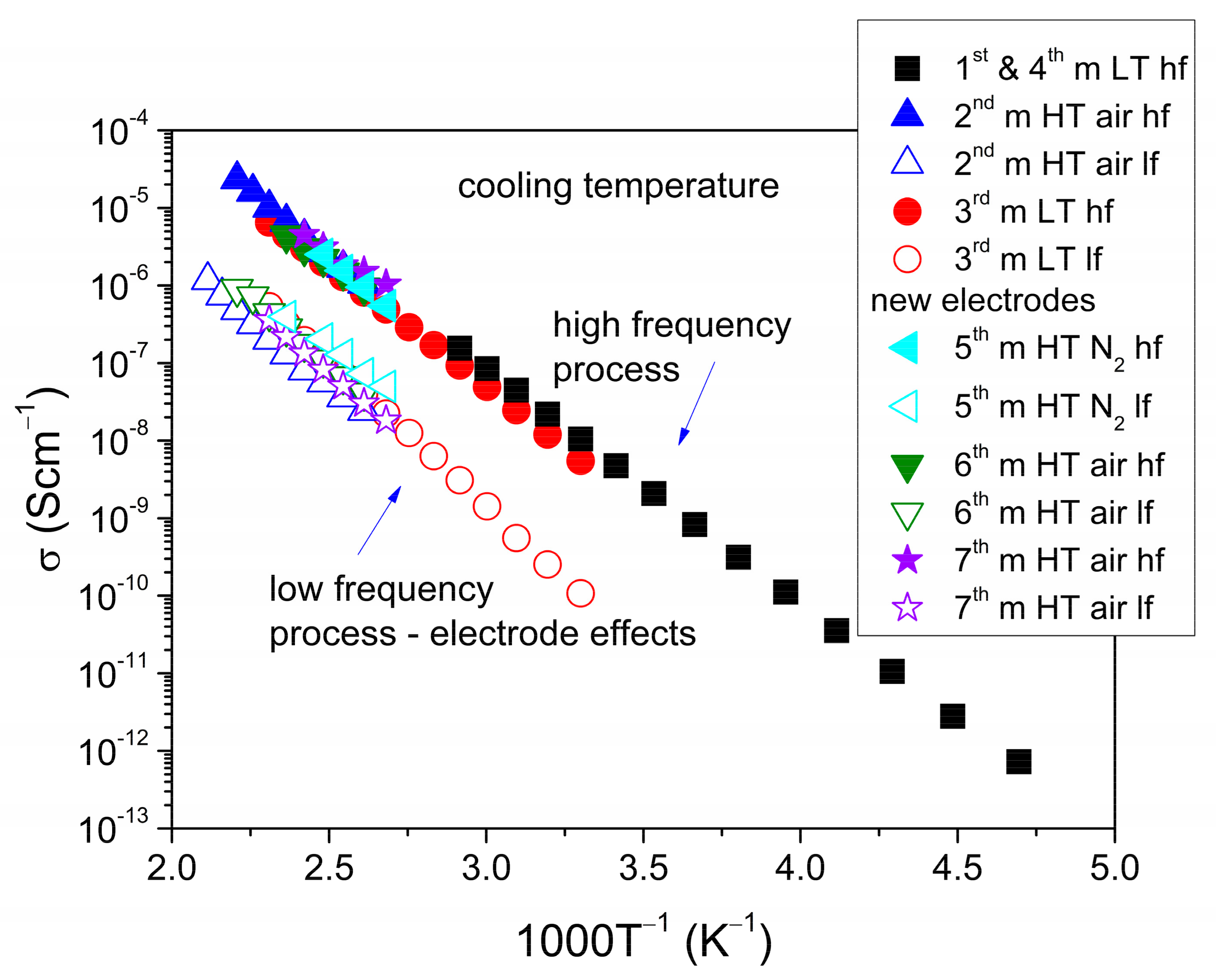
3.2. The Possible Origin of Impedance Evolution
3.3. Avoiding Effects of Electrode Disintegration
4. Conclusions
Author Contributions
Funding
Institutional Review Board Statement
Informed Consent Statement
Data Availability Statement
Acknowledgments
Conflicts of Interest
References
- Sagar, T.V.; Rao, T.S.; Naidu, K.C.B. AC-electrical conductivity, magnetic susceptibility, dielectric modulus and impedance studies of sol-gel processed nano-NiMgZn ferrites. Mater. Chem. Phys. 2021, 258, 123902. [Google Scholar] [CrossRef]
- Reddy, B.V.S.; Srinivas, K.; Kumar, N.S.; Naidu, K.C.B.; Ramesh, S. Nanorods like microstructure, photocatalytic activity and ac-electrical properties of (1−x) (Al0.2La0.8TiO3) + (x) (BaTiO3) (x = 0.2, 0.4, 0.6 & 0.8) nanocomposities. Chem. Phys. Lett. 2020, 752, 137552. [Google Scholar]
- Assad, H.; Kharroubi, M. Dielectric studies and Cole-Cole plot analysis of Na2O – (1−x) ZnO – xCoO – P2O5 glasses. J. Non-Cryst. Solids 2021, 560, 120721. [Google Scholar] [CrossRef]
- Xi, J.; Xing, J.; Chen, H.; Zhang, F.; Chen, Q.; Zhang, W.; Zhu, J. Crystal structure and electrical properties of Li/Mn co-doped NBT-based Aurivillius-type ceramics. J. Alloys Compd. 2021, 868, 159216. [Google Scholar] [CrossRef]
- Thirmal, C.; Ramarao, S.; Rao, L.S.; Murthy, V. Study of structural, dielectric and AC conductivity properties of SrMoO4. Mater. Res. Bull. 2021, 146, 111618. [Google Scholar] [CrossRef]
- Raghuram, N.; Rao, T.S.; Naidu, K.C.B. Chandra Babu Naidu, Electrical and impedance spectroscopy properties of hydrothermally synthesized Ba0.2Sr0.8−yLayFe12O19 (y = 0.2–0.8) nanorods. Ceram. Int. 2019, 46, 5894–5906. [Google Scholar] [CrossRef]
- Kumar, N.S.; Suvarna, R.P.; Reddy, K.R.K.; Babu, T.A.; Ramesh, S.; Reddy, B.V.S.; Manjunatha, H.; Naidu, K.C.B. Tetragonal structure and dielectric behavior of rare-earth substituted La0.8Co0.16−xEu0.04GdxTiO3 (x = 0.04–0.16) nanorods. Mater. Chem. Phys. 2022, 278, 125598. [Google Scholar] [CrossRef]
- Babu, N.R.; Valente, M.; Rao, N.N.; Graça, M.; Raju, G.N.; Piasecki, M.; Kityk, I.; Veeraiah, N. Low temperature dielectric dispersion and electrical conductivity studies on Fe2O3 mixed lithium yttrium silicate glasses. J. Non-Cryst. Solids 2012, 358, 3175–3186. [Google Scholar] [CrossRef]
- Souissi, F.Z.; Ettoumi, H.; Barré, M.; Toumi, M. Preparation and electrical conductivity of potassium phosphate glasses containing Al2O3. J. Non-Cryst. Solids 2018, 481, 585–589. [Google Scholar] [CrossRef]
- Khasa, S.; Dahiya, M.S.; Agarwal, A.; Chand, P. EPR, FTIR, thermal and electrical properties of VO2+ doped BaCl2⋅BaO⋅B2O3 glasses. J. Mol. Struct. 2015, 1079, 15–20. [Google Scholar] [CrossRef]
- Ramteke, D.; Swart, H.; Gedam, R. Electrochemical response of Nd3+ ions containing lithium borate glasses. J. Rare Earths 2017, 35, 480–484. [Google Scholar] [CrossRef]
- Nakayama, S.; Watanabe, T.; Asahi, T.; Kiyono, H.; Aung, Y.L.; Sakamoto, M. Influence of rare earth additives and boron component on electrical conductivity of sodium rare earth borate glasses. Ceram. Int. 2010, 36, 2323–2327. [Google Scholar] [CrossRef]
- Aung, Y.L.; Itani, K.; Asahi, T.; Kiyono, H.; Sakamoto, M.; Nakayama, S. Electrical properties of (Na2O)35.7(RE2O3)7.2(GeO2)57.1 (RE = Sm, Gd, Dy, Y, Ho, Er and Yb) glasses. Mater. Chem. Phys. 2008, 109, 30–33. [Google Scholar] [CrossRef]
- Vijay, R.; Babu, P.R.; Gandhi, Y.; Piasecki, M.; Rao, D.K.; Veeraiah, N.; Nalluri, V. Molybdenum ion: A structural probe in lithium–antimony–germanate glass system by means of dielectric and spectroscopic studies. J. Mater. Sci. 2014, 49, 6203–6216. [Google Scholar] [CrossRef]
- El-Rabaie, S.; Taha, T.; Higazy, A. Non-linear optical and electrical properties of germanate glasses. Phys. B Condens. Matter 2013, 429, 1–5. [Google Scholar] [CrossRef]
- Sklepić, K.; Banhatti, R.D.; Tricot, G.; Mošner, P.; Koudelka, L.; Moguš-Milanković, A. Insights from Local Network Structures and Localized Diffusion on the Ease of Lithium Ion Transport in Two Mixed Glass-Former Systems. J. Phys. Chem. C 2017, 121, 17641–17657. [Google Scholar] [CrossRef] [Green Version]
- Braunger, M.L.; Escanhoela, C.A.; Fier, I.; Walmsley, L.; Ziemath, E.C. Electrical conductivity of silicate glasses with tetravalent cations substituting Si. J. Non-Cryst. Solids 2012, 358, 2855–2861. [Google Scholar] [CrossRef]
- Wójcik, N.A.; Jonson, B.; Barczyński, R.J.; Kupracz, P.; Möncke, D.; Ali, S. Electrical properties of Na2O-CaO-P2O5 glasses doped with SiO2 and Si3N4. Solid State Ion. 2018, 325, 157–162. [Google Scholar] [CrossRef]
- Wójcik, N.; Kupracz, P.; Barczyński, R.J.; Jonson, B.; Ali, S. Ion conduction in beryllium-alumino-silicate glasses doped with sodium or sodium and lithium ions. Solid State Ion. 2019, 341, 115055. [Google Scholar] [CrossRef]
- Lee, W.; Cho, B.; Kang, B.; Kim, J.; Lee, J.; Jeong, C.; Kim, Y. Enhanced properties of ag alloy films for advanced TFT-LCD’s. J. Korean Phys. Soc. 2002, 40, 110–114. [Google Scholar]
- Levlin, M.; Laakso, A. Evaporation of silver thin films on mica. Appl. Surf. Sci. 2001, 171, 257–264. [Google Scholar] [CrossRef]
- Seo, D.; Lee, J. Conductivity of silver paste prepared from nanoparticles. Colloids Surf. A Physicochem. Eng. Asp. 2008, 313, 351–354. [Google Scholar]
- Majewski, A.J.; Dhir, A. Application of silver in microtubular solid oxide fuel cells. Mater. Renew. Sustain. Energy 2018, 7, 16. [Google Scholar] [CrossRef] [Green Version]
- Kenmuir, S.V.J.; Thorp, J.S.; Kulesza, B.L.J. The dielectric behaviour of Mg-AI-Si, Ca-AI-Si, Y-AI-Si and Nd-AI-Si oxynitride glasses. J. Mater. Sci. 1983, 18, 1725–1730. [Google Scholar] [CrossRef]
- Wójcik, N.; Kupracz, P.; Barczyński, R. Nonlinear electrical properties of glass-ceramics nanocomposites containing ferroelectric nanocrystallites of Bi2VO5.5. Solid State Ion. 2018, 317, 7–14. [Google Scholar] [CrossRef]
- Szreder, N.A.; Kupracz, P.; Prześniak-Welenc, M.; Karczewski, J.; Gazda, M.; Barczyński, R.J. Nonlinear and linear impedance of bismuth vanadate ceramics and its relation to structural properties. Solid State Ion. 2015, 271, 86–90. [Google Scholar] [CrossRef]
- Kupracz, P.; Karczewski, J.; Prześniak-Welenc, M.; Szreder, N.A.; Winiarski, M.J.; Klimczuk, T.; Barczyński, R.J. Microstructure and electrical properties of manganese borosilicate glasses. J. Non-Cryst. Solids 2015, 423–424, 68–75. [Google Scholar] [CrossRef]
- Sołtys, M.; Górny, A.; Pisarska, J.; Pisarski, W.A. Electrical and optical properties of glasses and glass-ceramics. J. Non-Cryst. Solids 2018, 498, 352–363. [Google Scholar] [CrossRef]
- Ný, J.; Al, D.; Kubliha, M.; Pedlíková, J.; Mariani, E. Electrical and dielectric properties of TeO2-ZnO glasses. Ceram. Silik. 2002, 46, 140–147. [Google Scholar]
- Kozioł, R.; Łapiński, M.; Syty, P.; Koszelow, D.; Sadowski, W.; Sienkiewicz, J.E.; Kościelska, B. Evolution of Ag nanostructures created from thin films: UV-vis absorption and its theoretical predictions. Beilstein J. Nanotechnol. 2020, 11, 494–507. [Google Scholar] [CrossRef]
- Thompson, C.V. Solid-State Dewetting of Thin Films. Annu. Rev. Mater. Sci. 2012, 42, 399–434. [Google Scholar] [CrossRef]
- Garcia, M.A. Surface plasmons in metallic nanoparticles: Fundamentals and applications. J. Phys. D Appl. Phys. 2011, 44, 283001. [Google Scholar] [CrossRef]
- Gromov, D.; Gavrilov, S.; Redichev, E.N.; Dubkov, S. Melting and dissociation of thin Au films into droplets on the inert Al2O3 surface under thermal treatment. Trends Phys. Chem. 2015, 14, 45–51. [Google Scholar]
- Wójcik, N.; Ali, S.; Möncke, D.; Tagiara, N.; Kamitsos, E.; Segawa, H.; Eriksson, M.; Jonson, B. The influence of Be addition on the structure and thermal properties of alkali-silicate glasses. J. Non-Cryst. Solids 2019, 521, 119532. [Google Scholar] [CrossRef]
- Wójcik, N.A.; Ali, S.; Karczewski, J.L.; Jonson, B.; Bartmański, M.; Barczyński, R.J. DC and AC Conductivity, Biosolubility and Thermal Properties of Mg-Doped Na2O–CaO–P2O5 Glasses. Materials 2021, 14, 2626. [Google Scholar] [CrossRef]
- Jonscher, A.K. Universal Dielectric Response. Nature 1977, 267, 673–679. [Google Scholar] [CrossRef]
- Macdonald, J. Impedance Spectroscopy: Emphasizing Solid Materials and Systems; John Wiley & Sons Inc.: Hoboken, NJ, USA, 1989. [Google Scholar]
- Fan, J.; Tan, C.S. Metallurgy—Advances in Materials and Processes. In Low Temperature Wafer-Level Metal Thermo-Compression Bonding Technology for 3D Integration; Pardhi, Y., Ed.; IntechOpen: New York, NY, USA, 2012; pp. 71–94. [Google Scholar]
- Lani, S.; Bosseboeuf, A.; Belier, B.; Clerc, C.; Gousset, C.; Aubert, J. Gold metallizations for eutectic bonding of silicon wafers. Microsyst. Technol. 2006, 12, 1021–1025. [Google Scholar] [CrossRef]










| ID | Temperature Range | Atmosphere | Heating or Cooling Temperature | The Thickness of Gold Electrodes | 
|---|---|---|---|---|
| 1st m LT | Low 213–473 K | Nitrogen | Cooling | 25 nm | 
| 2nd m HT air | High 373–673 K | Air | Cooling | 25 nm | 
| 3rd m LT | Low 213–473 K | Nitrogen | Cooling | 25 nm | 
| After the above three tests, both sides of the sample were polished to remove a thin layer of surface and new gold electrodes were deposited. | ||||
| 4th m LT | Low 213–473 K | Nitrogen | Cooling | 25 nm | 
| 5th m HT N2 | High 373–673 K | Nitrogen | Heating and cooling | 25 nm | 
| 6th m HT air | High 373–673 K | Air | Heating and cooling | 25 nm | 
| 7th m HT air | High 373–673 K | Air | Heating and cooling | 25 nm | 
| ID | Temperature Range | Atmosphere | Heating or Cooling Process | The Thickness of Gold Electrodes | 
|---|---|---|---|---|
| 1st m HT | High 373–523 K | Air | Heating and cooling | >700 nm | 
| 2nd m HT | High 373–623 K | Air | Heating and cooling | >700 nm | 
| After the 2nd test, both sides of the sample were polished to remove a thin layer of the surface. | ||||
| 3rd m HT | High 373–673 K | Air | Heating and cooling | Without electrodes | 
| EA (eV) ± 2% | |||||||
|---|---|---|---|---|---|---|---|
| New Electrodes | |||||||
| Process | 1st m LT | 2nd m HT Air | 3rd m LT | 4th m LT | 5th m HT N2 | 6th m HT Air | 7th m HT Air | 
| High frequency | 0.62 | 0.70 | 0.65 | 0.62 | 0.69 | 0.57 | 0.52 | 
| Low frequency | - | 0.71 | 0.77 | - | 0.65 | 0.71 | 0.72 | 
| Publisher’s Note: MDPI stays neutral with regard to jurisdictional claims in published maps and institutional affiliations. | 
© 2022 by the authors. Licensee MDPI, Basel, Switzerland. This article is an open access article distributed under the terms and conditions of the Creative Commons Attribution (CC BY) license (https://creativecommons.org/licenses/by/4.0/).
Share and Cite
Wójcik, N.A.; Barczyński, R.J. The Influence of Thin Gold Electrodes on the High-Temperature Impedance of Oxide Glasses. Coatings 2022, 12, 784. https://doi.org/10.3390/coatings12060784
Wójcik NA, Barczyński RJ. The Influence of Thin Gold Electrodes on the High-Temperature Impedance of Oxide Glasses. Coatings. 2022; 12(6):784. https://doi.org/10.3390/coatings12060784
Chicago/Turabian StyleWójcik, Natalia Anna, and Ryszard Jan Barczyński. 2022. "The Influence of Thin Gold Electrodes on the High-Temperature Impedance of Oxide Glasses" Coatings 12, no. 6: 784. https://doi.org/10.3390/coatings12060784
APA StyleWójcik, N. A., & Barczyński, R. J. (2022). The Influence of Thin Gold Electrodes on the High-Temperature Impedance of Oxide Glasses. Coatings, 12(6), 784. https://doi.org/10.3390/coatings12060784
 
         
                                                

 
       