Electrochromic Polymers Based on 1,4-Bis((9H-carbazol-9-yl)methyl)benzene and 3,4-Ethylenedioxythiophene Derivatives as Promising Electrodes for Flexible Electrochromic Devices
Abstract
:1. Introduction
2. Experimental
2.1. Materials and Electrosynthesis of P(DCB), P(DCB-co-ED), P(2DCB-co-ED), P(DCB-co-EDm), and P(2DCB-co-EDm)
2.2. Instrumental Characterizations
2.3. Fabrication of Flexible ECDs
3. Results and Discussion
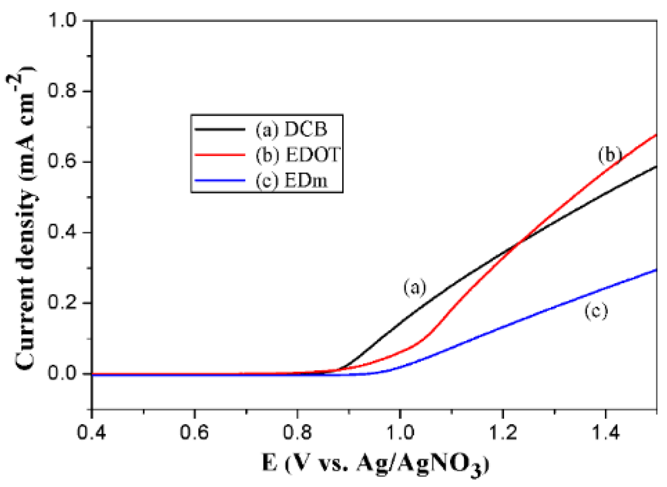
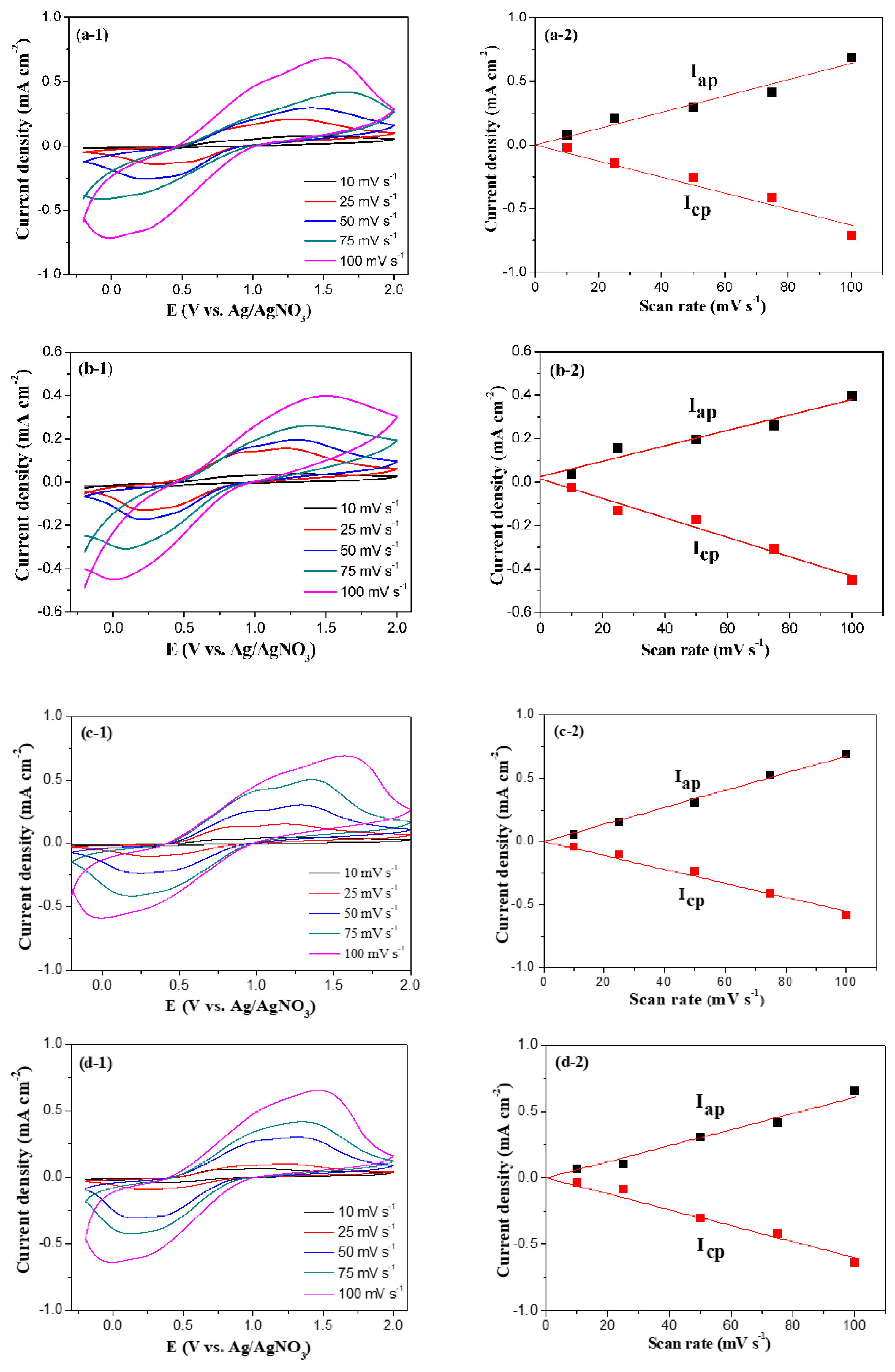
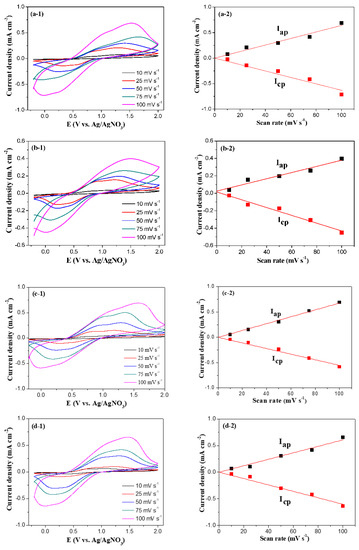
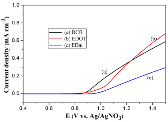
3.1. Electrosynthesis
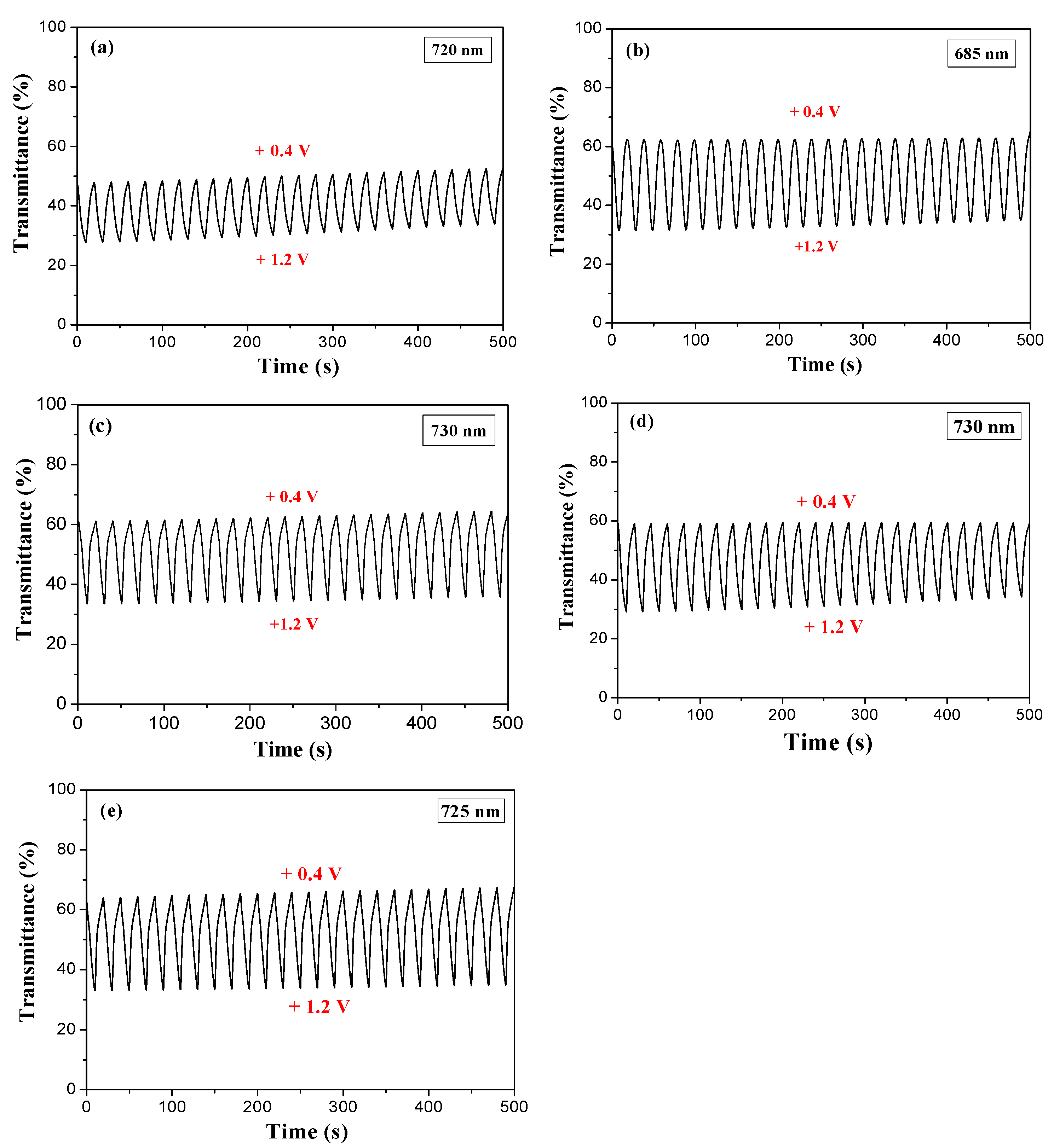
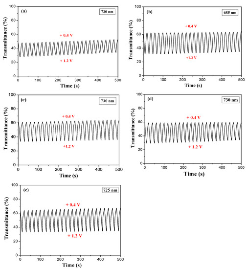
3.2. Spectra and Colour Switching Profiles of P(DCB), P(DCB-co-ED), P(2DCB-co-ED), P(DCB-co-EDm), and P(2DCB-co-EDm)
3.3. Spectra and Colour Switching Properties of Flexible ECDs
3.4. Redox Stability of Flexible ECDs
4. Conclusions
Author Contributions
Funding
Institutional Review Board Statement
Informed Consent Statement
Data Availability Statement
Conflicts of Interest
References
- Kortz1, C.; Hein, A.; Ciobanu, M.; Walder, L.; Oesterschulze, E. Complementary hybrid electrodes for high contrast electrochromic devices with fast response. Nat. Commun. 2019, 10, 4874. [Google Scholar] [CrossRef] [Green Version]
- Granqvist, C.G.; Arvizu, M.A.; Pehlivan, İ.B.; Qu, H.Y.; Wen, R.T.; Niklasson, G.A. Electrochromic materials and devices for energy efficiency and human comfort in buildings: A critical review. Electrochim. Acta 2018, 259, 1170–1182. [Google Scholar] [CrossRef] [Green Version]
- Cai, G.; Wang, J.; Lee, P.S. Next-generation multifunctional electrochromic devices. Acc. Chem. Res. 2016, 49, 1469–1476. [Google Scholar] [CrossRef]
- Wang, H.; Barrett, M.; Duane, B.; Gu, J.; Zenhausern, F. Materials and processing of polymer-based electrochromic devices. Mater. Sci. Eng. B 2018, 228, 167–174. [Google Scholar] [CrossRef]
- Shchegolkov, A.V.; Jang, S.-H.; Shchegolkov, A.V.; Rodionov, Y.V.; Sukhova, A.O.; Lipkin, M.S. A brief overview of electrochromic materials and related devices: A nanostructured materials perspective. Nanomaterials 2021, 11, 2376. [Google Scholar] [CrossRef]
- Mortimer, R.J. Electrochromic materials. Annu. Rev. Mater. Res. 2011, 41, 241–268. [Google Scholar] [CrossRef]
- Liu, F.H.; Bai, J.; Yu, G.; Ma, F.H.; Hou, Y.J.; Niu, H.J. Synthesis, electrochromic properties and flash memory behaviors of novel D-A-D polyazomethines containing EDOT and thiophene units. Org. Electron. 2020, 77, 105538. [Google Scholar] [CrossRef]
- Sun, T.-G.; Li, Z.-J.; Shao, J.-Y.; Zhong, Y.-W. Electrochromism in electropolymerized films of pyrene-triphenylamine derivatives. Polymers 2019, 11, 73. [Google Scholar] [CrossRef] [Green Version]
- Hsiao, S.H.; Huang, Y.P. Redox-active and fluorescent pyrene-based triarylamine dyes and their derived electrochromic polymers. Dyes Pigment. 2018, 158, 368–381. [Google Scholar] [CrossRef]
- Jamdegni, M.; Kaur, A. Electrochromic behavior of highly stable, flexible electrochromic electrode based on covalently bonded polyaniline-graphene quantum dot composite. J. Electrochem. Soc. 2019, 166, H502–H509. [Google Scholar] [CrossRef]
- Song, S.; Xu, G.; Wang, B.; Gu, J.; Wei, H.; Ren, Z.; Zhang, L.; Zhao, J.; Li, Y. Highly-flexible monolithic integrated infrared electrochromic device based on polyaniline conducting polymer. Synth. Met. 2021, 278, 116822. [Google Scholar] [CrossRef]
- Jiang, M.; Sun, Y.; Ning, J.; Chen, Y.; Wu, Y.; Hu, Z.; Shuja, A.; Meng, H. Diphenyl sulfone based multicolored cathodically coloring electrochromic materials with high contrast. Org. Electron. 2020, 83, 105741. [Google Scholar] [CrossRef]
- Xu, J.; Ji, Q.; Kong, L.; Du, H.; Ju, X.; Zhao, J. Soluble electrochromic polymers incorporating benzoselenadiazole and electron donor units (carbazole or fluorene): Synthesis and electronic-optical properties. Polymers 2018, 10, 450. [Google Scholar] [CrossRef] [Green Version]
- Zheng, R.; Huang, T.; Zhang, Z.; Sun, Z.; Niu, H.; Wang, C.; Wang, W. Novel polyimides containing flexible carbazole blocks with electrochromic and electrofluorescencechromic properties. RSC Adv. 2020, 10, 6992–7003. [Google Scholar] [CrossRef] [Green Version]
- Hsiao, S.H.; Lu, H.Y. Electrosynthesis of aromatic poly(amide-amine) films from triphenylamine-based electroactive compounds for electrochromic applications. Polymers 2017, 9, 708. [Google Scholar] [CrossRef] [Green Version]
- Chen, W.; Ning, J.; Sun, Y.; Zhou, G.; Murtaza, I.; Shuja, A.; He, Y.; Perepichka, I.F.; Meng, H. Thiophene-2,5-diesters as electrochromic materials: The effect of ester groups on the device performance and stability. Org. Electron. 2021, 96, 106188. [Google Scholar] [CrossRef]
- Chernyshev, A.; Acharya, U.; Pfleger, J.; Trhlíková, O.; Zedník, J.; Vohlídal, J. Iron (II) metallo-supramolecular polymers based on thieno[3,2-b]thiophene for electrochromic applications. Polymers 2021, 13, 362. [Google Scholar] [CrossRef]
- Nie, G.M.; Wang, L.; Liu, C.L. High performance electrochromic devices based on a polyindole derivative, poly(1H-benzo[g]indole). J. Mater. Chem. C 2015, 3, 11318–11325. [Google Scholar] [CrossRef]
- Kuo, C.W.; Wu, T.Y.; Fan, S.C. Applications of poly(indole-6-carboxylic acid-co-2,2’-bithiophene) films in high-contrast electrochromic devices. Coatings 2018, 8, 102. [Google Scholar] [CrossRef] [Green Version]
- Liu, J.; Shi, Y.; Wu, J.; Li, M.; Zheng, J.; Xu, C. Yellow electrochromic polymer materials with fine tuning electrofluorescences by adjusting steric hindrance of sidechains. RSC Adv. 2017, 7, 25444–25449. [Google Scholar] [CrossRef] [Green Version]
- Shi, J.; Zhu, X.; Xu, P.; Zhu, M.; Guo, Y.; He, Y.; Hu, Z.; Murtaza, I.; Yu, H.; Yan, L.; et al. A redox-dependent electrochromic material: Tetri-EDOT substituted thieno[3,2-b]thiophene. Macromol. Rapid Commun. 2016, 37, 1344–1351. [Google Scholar] [CrossRef] [PubMed]
- Bekkar, F.; Bettahar, F.; Moreno, I.; Meghabar, R.; Hamadouche, M.; Hernáez, E.; Vilas-Vilela, J.L.; Ruiz-Rubio, L. Polycarbazole and its derivatives: Synthesis and applications. A review of the last 10 years. Polymers 2020, 12, 2227. [Google Scholar] [CrossRef] [PubMed]
- Zhang, L.; Wen, Y.; Yao, Y.; Duan, X.; Xu, J. Electrosynthesis, characterization, and application of poly(3,4-ethylenedioxythiophene) derivative with a chloromethyl functionality. J. Appl. Polym. 2013, 130, 2660–2670. [Google Scholar] [CrossRef]
- Kalay, I.; Yiğit, D.; Güllü, M.; Depci, T.; Toppare, L.; Hacioglu, S.O. Enhancing electrochemical and electrochromic performances of carbazole comprising monomer via copolymerization with 3,4-ethylenedioxythiophene (EDOT). Synth. Met. 2020, 267, 116449. [Google Scholar] [CrossRef]
- Walter, J.D.; Ronald, J.W.; Neal, R.A.; Saavedra, S.S. Electrochemical copolymerization and spectroelectrochemical characterization of 3,4-ethylenedioxythiophene and 3,4-ethylenedioxythiophene−methanol copolymers on Indium−Tin oxide. Macromolecules 2006, 39, 4418–4424. [Google Scholar]
- Akoudad, S.; Roncali, J. Modification of the electrochemical and electronic properties of electrogenerated poly(3,4-ethylenedioxythiophene) by hydroxymethyl and oligo(oxyethylene) substituents. J. Electrochem. Commun. 2000, 2, 72–76. [Google Scholar] [CrossRef]
- Mecerreyes, D.; Marcilla, R.; Ochoteco, E.; Grande, H.; Pomposo, J.A.; Vergaz, R.; Sánchez Pena, J.M. A simplified all-polymer flexible electrochromic device. Electrochim. Acta 2004, 49, 3555–3559. [Google Scholar] [CrossRef]
- Huang, L.-M.; Chen, C.-H.; Wen, T.-C. Development and characterization of flexible electrochromic devices based on polyaniline and poly(3,4-ethylenedioxythiophene)-poly(styrene sulfonic acid). Electrochim. Acta 2006, 51, 5858–5863. [Google Scholar] [CrossRef]
- Ma, C.; Taya, M.; Xu, C. Flexible electrochromic device based on poly(3,4-(2,2-dimethylpropylenedioxy)thiophene). Electrochim. Acta 2008, 54, 598–605. [Google Scholar] [CrossRef]
- Brooke, R.; Edberg, J.; Crispin, X.; Berggren, M.; Engquist, I.; Jonsson, M.P. Greyscale and paper electrochromic polymer displays by UV patterning. Polymers 2019, 11, 267. [Google Scholar] [CrossRef] [Green Version]
- Gharahcheshmeh, M.H.; Gleason, K.K. Device fabrication based on oxidative chemical vapor deposition (oCVD) synthesis of conducting polymers and related conjugated organic materials. Adv. Mater. Interfaces. 2019, 6, 1801564. [Google Scholar] [CrossRef] [Green Version]
- Kuo, C.-W.; Chang, J.-C.; Lee, L.-T.; Lin, Y.-D.; Lee, P.-Y.; Wu, T.-Y. 1,4-Bis((9H-Carbazol-9-yl)methyl)benzene-containing electrochromic polymers as potential electrodes for high-contrast electrochromic devices. Polymers 2022, 14, 1175. [Google Scholar] [CrossRef] [PubMed]
- Kuo, C.W.; Chen, B.K.; Li, W.B.; Tseng, L.Y.; Wu, T.Y.; Tseng, C.G.; Chen, H.R.; Huang, Y.C. Effects of supporting electrolytes on spectroelectrochemical and electrochromic properties of polyaniline-poly(styrene sulfonic acid) and poly(ethylenedioxythiophene)-poly(styrene sulfonic acid)-based electrochromic device. J. Chin. Chem. Soc. 2014, 61, 563–570. [Google Scholar] [CrossRef]
- Idzik, K.R.; Frydel, J.; Beckert, R.; Ledwon, P.; Lapkowski, M.; Fasting, C.; Müller, C.; Licha, T. Synthesis and electrochemical properties of tetrathienyl-linked branched polymers with various aromatic cores. Electrochim. Acta 2012, 79, 154–161. [Google Scholar] [CrossRef]
- Soganci, T. Effects of N-substitution group on electrochemical, electrochromic and optical properties of dithienyl derivative. J. Electrochem. Soc. 2019, 166, H12–H18. [Google Scholar] [CrossRef]
- Wu, T.Y.; Tung, Y.H. Phenylthiophene-containing poly(2,5-dithienylpyrrole)s as potential anodic layers for high-contrast electrochromic devices. J. Electrochem. Soc. 2018, 165, H183–H195. [Google Scholar] [CrossRef]
- Cihaner, A.; Algi, F. Processable electrochromic and fluorescent polymers based on N-substituted thienylpyrrole. Electrochim. Acta 2008, 54, 665–670. [Google Scholar] [CrossRef]
- Wu, T.-Y.; Su, Y.-S. Electrochemical synthesis and characterization of 1,4-benzodioxan-based electrochromic polymer and its application in electrochromic devices. J. Electrochem. Soc. 2015, 162, G103–G112. [Google Scholar] [CrossRef]
- Kuo, C.W.; Wu, B.W.; Chang, J.K.; Chang, J.C.; Lee, L.T.; Wu, T.Y.; Ho, T.H. Electrochromic devices based on poly(2,6-di(9H-carbazol-9-yl)pyridine)-type polymer films and PEDOT-PSS. Polymers 2018, 10, 604. [Google Scholar] [CrossRef] [Green Version]
- Bingol, B.E.; Tekin, B.; Carbas, B.B. An investigation on electrochromic properties of new copolymers based on dithienylpyrrole and propylenedioxythiophene. J. Electroanal. Chem. 2017, 806, 107–115. [Google Scholar] [CrossRef]
- Kuo, C.W.; Chang, J.C.; Chang, J.K.; Huang, S.W.; Lee, P.Y.; Wu, T.Y. Electrosynthesis of electrochromic polymer membranes based on 3,6-di(2-thienyl)carbazole and thiophene derivatives. Membranes 2021, 11, 125. [Google Scholar] [CrossRef] [PubMed]
- Zhang, Y.; Kong, L.; Zhang, Y.; Du, H.; Zhao, J.; Chen, S.; Xie, Y.; Wang, Y. Ultra-low-band gap thienoisoindigo-based ambipolar type neutral green copolymers with ProDOT and thiophene units as NIR electrochromic materials. Org. Electron. 2020, 81, 105685. [Google Scholar] [CrossRef]
- Camurlu, P.; Gültekin, C. A comprehensive study on utilization of N-substituted poly(2,5-dithienylpyrrole) derivatives in electrochromic devices. Sol. Energy Mater. Sol. Cells 2012, 107, 142–147. [Google Scholar] [CrossRef]
- Kong, L.; Wang, Z.; Zhao, J.S.; Xu, J.Z. Multi-electrochromic 2,7-linked polycarbazole derivative and its application in electrochromic devices. Int. J. Electrochem. Sci. 2015, 10, 982–996. [Google Scholar]
- Chen, S.; Gao, Q.; Zhao, J.; Cui, C.; Yang, W.; Zhang, X. Electrosynthesis, characterizations and electrochromic properties of a novel copolymer of 4,4’-di(N-carbazoyl)biphenyl with 4H-cyclopenta[2,1-b:3,4-b’]dithiophene. Int. J. Electrochem. Sci. 2012, 7, 5256–5272. [Google Scholar]
- Wu, T.-Y.; Su, Y.-S.; Chang, J.-C. Dithienylpyrrole- and tris[4-(2-thienyl)phenyl]amine-containing copolymers as promising anodic layers in high-contrast electrochromic devices. Coatings 2018, 8, 164. [Google Scholar] [CrossRef] [Green Version]
- Kuo, C.W.; Chang, J.K.; Lin, Y.C.; Wu, T.Y.; Lee, P.Y.; Ho, T.H. Poly(tris(4-carbazoyl-9-ylphenyl)amine)/three poly(3,4-ethylenedioxythiophene) derivatives in complementary high-contrast electrochromic devices. Polymers 2017, 9, 543. [Google Scholar] [CrossRef] [Green Version]










| Electrodes | Feed Species | Molar Ratios |
|---|---|---|
| P(DCB) | 2 mM DCB | Neat DCB |
| P(DCB-co-ED) | 2 mM DCB + 2 mM EDOT | 1:1 |
| P(2DCB-co-ED) | 2 mM DCB + 1 mM EDOT | 2:1 |
| P(DCB-co-EDm) | 2 mM DCB + 2 mM EDm | 1:1 |
| P(2DCB-co-EDm) | 2 mM DCB + 1 mM EDm | 2:1 |
| Films | E (V) | L* a | a* | b* | x | y | Diagrams |
|---|---|---|---|---|---|---|---|
| (a) | 0.0 | 93.92 | 5.78 | 10.95 | 0.3241 | 0.3538 | ![]() |
| 0.4 | 94.33 | 5.24 | 10.25 | 0.3236 | 0.3519 | ||
| 0.9 | 84.40 | 7.77 | 30.41 | 0.3424 | 0.4085 | ||
| 1.0 | 77.84 | −1.24 | 22.73 | 0.3234 | 0.4000 | ||
| 1.1 | 72.61 | −2.86 | 16.44 | 0.3081 | 0.3901 | ||
| 1.3 | 69.51 | −6.08 | 12.40 | 0.3007 | 0.3808 | ||
| (b) | 0.0 | 90.11 | 4.94 | 7.91 | 0.3201 | 0.3480 | ![]() |
| 0.4 | 91.05 | 4.12 | 6.44 | 0.3186 | 0.3444 | ||
| 0.8 | 88.36 | 8.27 | 17.36 | 0.3327 | 0.3701 | ||
| 0.9 | 86.64 | 9.24 | 20.24 | 0.3356 | 0.3783 | ||
| 1.0 | 83.65 | −3.28 | 19.04 | 0.3304 | 0.3793 | ||
| 1.2 | 79.69 | −5.63 | 15.53 | 0.3203 | 0.3756 | ||
| (c) | 0.0 | 93.25 | 3.19 | 4.56 | 0.3164 | 0.3398 | ![]() |
| 0.7 | 88.25 | 10.68 | 24.60 | 0.3421 | 0.3869 | ||
| 0.8 | 84.94 | 13.53 | 26.82 | 0.3426 | 0.3963 | ||
| 0.9 | 77.33 | 10.86 | 18.11 | 0.3185 | 0.3870 | ||
| 1.0 | 67.85 | −1.02 | 6.79 | 0.2865 | 0.3673 | ||
| 1.2 | 64.56 | −3.99 | 1.04 | 0.2745 | 0.3514 | ||
| (d) | 0.0 | 93.29 | 0.03 | −0.60 | 0.3116 | 0.3279 | ![]() |
| 0.7 | 90.99 | 3.58 | 9.29 | 0.3245 | 0.3496 | ||
| 0.8 | 85.55 | 11.04 | 21.07 | 0.3358 | 0.3815 | ||
| 0.9 | 79.60 | 15.69 | 13.06 | 0.3138 | 0.3709 | ||
| 1.0 | 72.71 | 19.13 | 3.69 | 0.2882 | 0.3538 | ||
| 1.2 | 71.99 | 16.76 | 0.03 | 0.2844 | 0.3427 | ||
| (e) | 0.0 | 92.92 | 2.72 | 3.58 | 0.3154 | 0.3376 | ![]() |
| 0.6 | 90.95 | 6.08 | 13.21 | 0.3280 | 0.3591 | ||
| 0.7 | 88.02 | 10.42 | 23.76 | 0.3411 | 0.3851 | ||
| 0.8 | 85.25 | 13.02 | 25.02 | 0.3400 | 0.3918 | ||
| 0.9 | 79.33 | 17.39 | 17.55 | 0.3198 | 0.3830 | ||
| 1.0 | 74.17 | 19.00 | 8.99 | 0.2997 | 0.3665 |
| Electrodes | λ (nm) | Tox (%) | Tred (%) | ΔT (%) | ΔOD | Qd (mC cm−2) | η (cm2 C−1) | τc (s) | τb (s) |
|---|---|---|---|---|---|---|---|---|---|
| P(DCB) | 720 | 28.0 | 48.0 | 20.0 | 0.234 | 1.880 | 124.5 | 3.8 | 4.9 |
| P(DCB-co-ED) | 685 | 31.7 | 62.2 | 30.5 | 0.293 | 1.859 | 157.6 | 3.8 | 4.0 |
| P(2DCB-co-ED) | 710 | 33.5 | 61.1 | 27.6 | 0.261 | 2.666 | 97.9 | 2.3 | 4.0 |
| P(DCB-co-EDm) | 730 | 29.4 | 59.0 | 29.7 | 0.303 | 1.840 | 164.7 | 2.8 | 4.8 |
| P(2DCB-co-EDm) | 725 | 33.2 | 64.2 | 31.0 | 0.287 | 2.520 | 113.9 | 3.1 | 4.7 |
| Polymers or ECDs | ΔTmax (%) | η (cm2∙C−1) | Eg (eV) | Ref. |
|---|---|---|---|---|
| PSNS-F | 21.7 (445 nm) | 107 (445 nm) | 2.18 | [37] |
| PBDO | 24.5 (610 nm) | 75.9 (610 nm) | 2.38 | [38] |
| PDCP | 19 (1025 nm) | 124 (1025 nm) | 2.58 | [39] |
| P(SNS-PN-co-ProDOT) | 42 (850 nm) | 256 (850 nm) | --- | [40] |
| PMPS | 68.4 (855 nm) | 159.4 (855 nm) | --- | [41] |
| P(DCB) | 20 (720 nm) | 124.5 (720 nm) | 2.48 | This work |
| P(2DCB-co-EDm) | 31 (725 nm) | 113.9 (725 nm) | --- | This work |
| P(SNS-An-Fc-co-EDOT)/PEDOT | 22 (601 nm) | 484 (601 nm) | --- | [43] |
| P(BTC)/PEDOT | 26.3 (580 nm) | 120 (580 nm) | --- | [44] |
| P(dcb-co-cpdt)/PEDOT | 39.8 (628 nm) | 319.98 (628 nm) | --- | [45] |
| P(ANIL-co-TTPA)/PProDOT-Et2 | 46.3 (582 nm) | 625 (582 nm) | --- | [46] |
| P(DiC-co-CDTK)/PEDOT-PSS | 38 (635 nm) | 634 (635 nm) | --- | [39] |
| P(DCB)/PEDOT-PSS | 30.1 (690 nm) | 215.9 (690 nm) | --- | This work |
| P(2DCB-co-ED)/PEDOT-PSS | 40.3 (690 nm) | 260 (690 nm) | --- | This work |
| Devices | E (V) | Graphs | L* a | a* | b* | x | y | Diagrams |
|---|---|---|---|---|---|---|---|---|
| (a) | −0.5 | ![]() | 90.25 | 2.84 | 5.65 | 0.3190 | 0.3420 | ![]() |
| 0.0 | ![]() | 89.68 | 3.17 | 5.94 | 0.3191 | 0.3429 | ||
| 1.2 | ![]() | 87.34 | 4.78 | 8.27 | 0.3212 | 0.3491 | ||
| 1.6 | ![]() | 76.61 | 17.50 | 5.60 | 0.3158 | 0.3801 | ||
| 1.7 | ![]() | 75.18 | 18.75 | −4.27 | 0.3150 | 0.3838 | ||
| 2.0 | ![]() | 69.04 | 22.65 | −10.16 | 0.2948 | 0.3756 | ||
| (b) | −0.7 | ![]() | 83.91 | 2.30 | 3.15 | 0.3154 | 0.3372 | ![]() |
| 0.0 | ![]() | 83.29 | 2.13 | 2.79 | 0.3150 | 0.3364 | ||
| 0.8 | ![]() | 80.78 | 2.77 | 4.19 | 0.3168 | 0.3401 | ||
| 1.2 | ![]() | 75.20 | 7.08 | 3.16 | 0.3077 | 0.3419 | ||
| 1.7 | ![]() | 68.42 | 13.34 | −3.54 | 0.2970 | 0.3495 | ||
| 2.0 | ![]() | 65.12 | 15.49 | −5.25 | 0.2837 | 0.3420 | ||
| (c) | −0.5 | ![]() | 87.58 | 1.88 | 3.97 | 0.3175 | 0.3383 | ![]() |
| 0.0 | ![]() | 87.26 | 1.96 | 4.01 | 0.3174 | 0.3384 | ||
| 0.8 | ![]() | 84.79 | 3.02 | 5.66 | 0.3191 | 0.3429 | ||
| 1.6 | ![]() | 82.80 | 4.03 | 4.79 | 0.3179 | 0.3442 | ||
| 1.8 | ![]() | 75.59 | 11.98 | −6.14 | 0.3100 | 0.3577 | ||
| 2.0 | ![]() | 72.90 | 13.82 | −8.17 | 0.3025 | 0.3554 | ||
| (d) | −1.0 | ![]() | 85.73 | 1.90 | 1.81 | 0.3134 | 0.3340 | ![]() |
| 0.0 | ![]() | 86.17 | 1.72 | 1.35 | 0.3128 | 0.3330 | ||
| 1.2 | ![]() | 80.27 | 5.18 | 3.01 | 0.3107 | 0.3395 | ||
| 1.6 | ![]() | 75.45 | 10.44 | −3.85 | 0.3036 | 0.3463 | ||
| 1.8 | ![]() | 72.16 | 12.68 | −4.09 | 0.2936 | 0.3420 | ||
| 2.0 | ![]() | 70.63 | 14.04 | −5.36 | 0.2893 | 0.3415 | ||
| (e) | −1.0 | ![]() | 85.73 | 1.90 | 1.81 | 0.3134 | 0.3340 | ![]() |
| 0.0 | ![]() | 86.18 | 1.76 | 1.42 | 0.3128 | 0.3331 | ||
| 1.2 | ![]() | 84.37 | 2.36 | 2.76 | 0.3146 | 0.3364 | ||
| 1.6 | ![]() | 80.27 | 5.18 | −3.01 | 0.3107 | 0.3395 | ||
| 1.9 | ![]() | 72.16 | 12.68 | −4.09 | 0.2936 | 0.3420 | ||
| 2.0 | ![]() | 70.96 | 13.72 | −7.17 | 0.2888 | 0.3399 |
| ECDs | N | Tox (%) | Tred (%) | ΔT (%) | ΔOD | Qd (mC cm−2) | η (cm2 C−1) | τc (s) | τb (s) |
|---|---|---|---|---|---|---|---|---|---|
| P(DCB)/PEDOT-PSS (690 nm) | 3 | 34.4 | 64.5 | 30.1 | 0.27 | 1.89 | 215.9 | 0.4 | 0.9 |
| 60 | 35.6 | 63.4 | 27.8 | 0.25 | 1.81 | 207.4 | 1.0 | 1.1 | |
| P(DCB-co-ED)/PEDOT-PSS (650 nm) | 3 | 34.5 | 71.6 | 37.1 | 0.32 | 1.93 | 245.8 | 0.2 | 1.3 |
| 60 | 39.4 | 70.8 | 31.4 | 0.25 | 1.70 | 224.8 | 0.2 | 1.1 | |
| P(2DCB-co-ED)/PEDOT-PSS (690 nm) | 3 | 21.8 | 62.1 | 40.3 | 0.46 | 2.62 | 260.0 | 1.1 | 1.3 |
| 60 | 26.0 | 65.2 | 39.2 | 0.40 | 2.18 | 275.2 | 0.9 | 1.3 | |
| P(DCB-co-EDm)/PEDOT-PSS (640 nm) | 3 | 30.7 | 69.8 | 39.1 | 0.36 | 2.69 | 199.4 | 1.0 | 1.5 |
| 60 | 32.8 | 69.5 | 36.7 | 0.33 | 2.37 | 206.3 | 1.0 | 1.0 | |
| P(2DCB-co-EDm)/PEDOT-PSS (680 nm) | 3 | 31.3 | 67.7 | 36.4 | 0.36 | 2.96 | 180.2 | 0.7 | 1.0 |
| 60 | 37.3 | 66.5 | 29.2 | 0.25 | 2.46 | 153.1 | 0.4 | 1.5 |
Publisher’s Note: MDPI stays neutral with regard to jurisdictional claims in published maps and institutional affiliations. |
© 2022 by the authors. Licensee MDPI, Basel, Switzerland. This article is an open access article distributed under the terms and conditions of the Creative Commons Attribution (CC BY) license (https://creativecommons.org/licenses/by/4.0/).
Share and Cite
Kuo, C.-W.; Chang, J.-C.; Lin, Y.-X.; Lee, P.-Y.; Wu, T.-Y.; Ho, T.-H. Electrochromic Polymers Based on 1,4-Bis((9H-carbazol-9-yl)methyl)benzene and 3,4-Ethylenedioxythiophene Derivatives as Promising Electrodes for Flexible Electrochromic Devices. Coatings 2022, 12, 646. https://doi.org/10.3390/coatings12050646
Kuo C-W, Chang J-C, Lin Y-X, Lee P-Y, Wu T-Y, Ho T-H. Electrochromic Polymers Based on 1,4-Bis((9H-carbazol-9-yl)methyl)benzene and 3,4-Ethylenedioxythiophene Derivatives as Promising Electrodes for Flexible Electrochromic Devices. Coatings. 2022; 12(5):646. https://doi.org/10.3390/coatings12050646
Chicago/Turabian StyleKuo, Chung-Wen, Jui-Cheng Chang, Yu-Xuan Lin, Pei-Ying Lee, Tzi-Yi Wu, and Tsung-Han Ho. 2022. "Electrochromic Polymers Based on 1,4-Bis((9H-carbazol-9-yl)methyl)benzene and 3,4-Ethylenedioxythiophene Derivatives as Promising Electrodes for Flexible Electrochromic Devices" Coatings 12, no. 5: 646. https://doi.org/10.3390/coatings12050646
APA StyleKuo, C.-W., Chang, J.-C., Lin, Y.-X., Lee, P.-Y., Wu, T.-Y., & Ho, T.-H. (2022). Electrochromic Polymers Based on 1,4-Bis((9H-carbazol-9-yl)methyl)benzene and 3,4-Ethylenedioxythiophene Derivatives as Promising Electrodes for Flexible Electrochromic Devices. Coatings, 12(5), 646. https://doi.org/10.3390/coatings12050646









































