Research on Interface Modification and Thermal Insulation/Anticorrosive Properties of Vacuum Ceramic Bead Coating
Abstract
:1. Introduction
2. Experimental Details
2.1. Materials
2.2. Sample Preparation
2.2.1. Interface Modification of Vacuum Ceramic Beads
2.2.2. Preparation of Vacuum Ceramic Microbead Slurry
2.2.3. Coating
2.3. Performance Test Method
2.3.1. Thermal Conductivity Test
2.3.2. Finite Element Simulation of the Thermal Insulation Effect
2.3.3. FT–IR Test
2.3.4. EIS Test
2.3.5. The Adhesion Test
2.3.6. Micro Morphology
3. Results and Discussion
3.1. Microstructure
3.2. Thermal Insulation
3.3. Heat Resistance and Corrosion Resistance
3.3.1. Anti-Corrosion Performance after Thermal Aging Test
3.3.2. Anti-Corrosion Performance after Alternating Cold and Heat Test
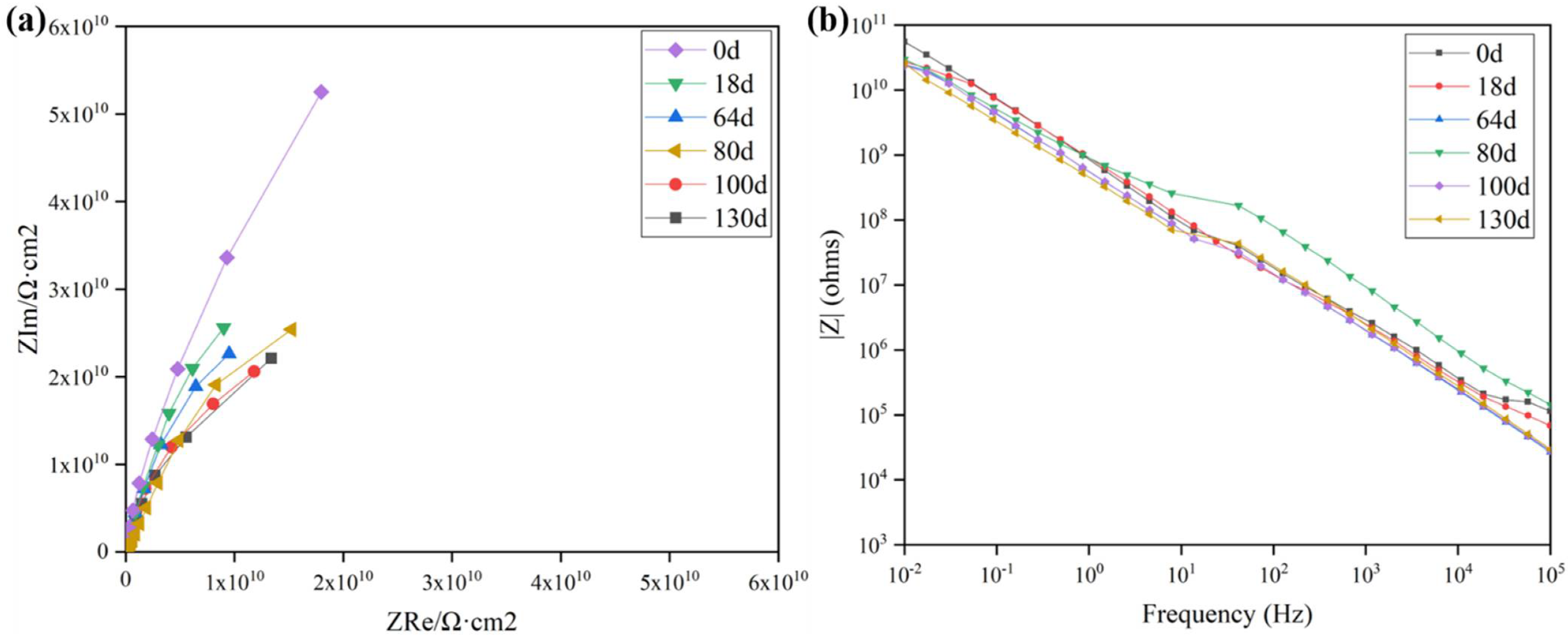
3.3.3. Anti-Corrosion Performance after Immersion Test
4. Conclusions
Author Contributions
Funding
Institutional Review Board Statement
Informed Consent Statement
Data Availability Statement
Acknowledgments
Conflicts of Interest
References
- De Vogelaere, F. Corrosion under insulation. Process Saf. Prog. 2009, 28, 30–35. [Google Scholar] [CrossRef]
- Jones, R.E.; Simonetti, F.; Lowe, M.J.S.; Bradley, I.P. Use of Microwaves for the Detection of Water as a Cause of Corrosion Under Insulation. J. Nondestruct. Evaluat. 2011, 31, 65–76. [Google Scholar] [CrossRef]
- Marquez, A.; Singh, J.; Maharaj, C. Corrosion Under Insulation Examination to Prevent Failures in Equipment at a Petrochemical Plant. J. Fail. Anal. Prev. 2021, 21, 723–732. [Google Scholar] [CrossRef]
- Thomas, P.J.; Hellevang, J.O. A distributed fibre optic approach for providing early warning of Corrosion Under Insulation (CUI). J. Loss Prev. Process Ind. 2020, 64, 104060. [Google Scholar] [CrossRef]
- Mohsin, K.M.; Mokhtar, A.A.; Tse, P.W. A fuzzy logic method: Predicting corrosion under insulation of piping systems with modelling of CUI 3D surfaces. Int. J. Press. Vessel. Pip. 2019, 175, 103929. [Google Scholar] [CrossRef]
- Rana, A.R.K.; Yang, M.; Umer, J.; Veret, T.; Brigham, G. Influence of Robust Drain Openings and Insulation Standoffs on Corrosion Under Insulation Behavior of Carbon Steel. Corrosion 2021, 77, 681–692. [Google Scholar] [CrossRef]
- Zhang, Z.; Wang, K.; Mo, B.; Li, X.; Cui, X. Preparation and characterization of a reflective and heat insulative coating based on geopolymers. Energy Build. 2015, 87, 220–225. [Google Scholar] [CrossRef]
- Kumar, N.; Mahade, S.; Ganvir, A.; Joshi, S. Understanding the influence of microstructure on hot corrosion and erosion behavior of suspension plasma sprayed thermal barrier coatings. Surf. Coat. Technol. 2021, 419, 127306. [Google Scholar] [CrossRef]
- Bahrami, M.; Ranjbar, Z.; Khosroshahi, R.A.; Ashhari, S. Investigating corrosion protection properties of epoxy thermal insulators through cyclic corrosion test. Prog. Org. Coat. 2017, 113, 25–30. [Google Scholar] [CrossRef]
- Chen, L.; Shi, H.; Xiang, J.; Wu, H. Preparation and recipe optimization of water-based architectural heat insulation coatings. J. Wuhan Univ. Technol. Sci. Ed. 2008, 23, 932–937. [Google Scholar] [CrossRef]
- Long, J.; Jiang, C.; Zhu, J.; Song, Q.; Hu, J. Controlled TiO2 coating on hollow glass microspheres and their reflective thermal insulation properties. Particuology 2020, 49, 33–39. [Google Scholar] [CrossRef]
- Jia, M.Q.; Jin, Y.H. Performance of Thermal Insulation Reflective Composite Coatings. Adv. Mater. Res. 2011, 239–242, 1771–1774. [Google Scholar] [CrossRef]
- Park, S.-J.; Jin, F.-L.; Lee, C. Preparation and physical properties of hollow glass microspheres-reinforced epoxy matrix resins. Mater. Sci. Eng. A 2005, 402, 335–340. [Google Scholar] [CrossRef]
- Chen, C.; Wang, F.; Liang, J.S.; Chen, Y.L.; Tang, Q.G. Preparation and Property of Radiant Thermal Insulation Coating Based on Tourmaline and Hollow Glass Bead. Appl. Mech. Mater. 2013, 320, 214–219. [Google Scholar] [CrossRef]
- Ma, B.G.; Dai, L.; Zhang, F. Investigation on preparation and properties of a novel thermal insulation coating containing hol-low glass beads. Mater. Rev. 2010, 24, 52–54. [Google Scholar]
- Sánchez-Soto, M.; Pagés, P.; Lacorte, T.; Briceno, K.; Carrasco, F. Curing FTIR study and mechanical characterization of glass bead filled trifunc-tional epoxy composites. Compos. Sci. Technol. 2007, 67, 1974–1985. [Google Scholar] [CrossRef]
- Montazeri, S.; Ranjbar, Z.; Osati, M.; Asadi, S. Preparation and characterization of a thermal barrier heat-resistant silicone coating. Prog. Color Colorants Coat. 2022, 15, 65–73. [Google Scholar] [CrossRef]
- Kiil, S. Model-based analysis of thermal insulation coatings. J. Coat. Technol. Res. 2014, 11, 495–507. [Google Scholar] [CrossRef]
- Jin, T.; Liu, L.Q.; Li, D.H. Study on thermal insulation performance of glass beads in thermal insulation coatings. J. Shandong Univ. Sci. Technol. 2009, 28, 60–63. [Google Scholar] [CrossRef]
- Chen, Y.; Wang, J.; Wen, S.; Wang, C.; Zhao, Z.; Li, W. Zinc phosphate coated modified hollow glass beads and their thermal insulation and anticor-rosion performance in coatings. Ceram. Int. 2021, 47, 23507–23517. [Google Scholar] [CrossRef]
- Liu, L.L.; Duan, H.; Gu, Z.H. Study on hollow glass beads coated with silica sol/titanium dioxide. J. Wuhan Univ. Sci. Technol. 2015, 38, 341–345. [Google Scholar] [CrossRef]
- Peng, L.F.; Liu, L.; Chen, W. Study on the effect of surface modification of hollow glass beads on the properties of epoxy resin composites. Chem. Eng. Equip. 2020, 2, 41–43. [Google Scholar] [CrossRef]
- Liu, Y.N.; Xu, W.; Wang, R. Study on hollow glass microspheres / epoxy resin composite materials preparation and its properties. Fiber Reinf. Plast./Compos. 2012, 6, 52–56. [Google Scholar] [CrossRef]
- Guo, Y.; Cao, Z.; Wang, D.; Liu, S. Improving the friction and abrasion properties of nitrile rubber hybrid with hollow glass beads. Tribol. Int. 2016, 101, 122–130. [Google Scholar] [CrossRef]
- Al Zoubi, W.; Kamil, M.P.; Fatimah, S.; Nashrah, N.; Ko, Y.G. Recent advances in hybrid organic-inorganic materials with spatial architecture for state-of-the-art applications. Prog. Mater. Sci. 2020, 112, 100663. [Google Scholar] [CrossRef]
- Ansari, F.; Sobhani, A.; Salavati-Niasari, M. Green synthesis of magnetic chitosan nanocomposites by a new sol–gel auto-combustion method. J. Magn. Magn. Mater. 2016, 410, 27–33. [Google Scholar] [CrossRef] [Green Version]
- Ye, C.; Wen, X.; Lan, J.-L.; Cai, Z.-Q.; Pi, P.-H.; Xu, S.-P.; Qian, Y. Surface modification of light hollow polymer microspheres and its application in external wall thermal insulation coatings. Pigment Resin Technol. 2016, 45, 45–51. [Google Scholar] [CrossRef]
- Sun, G.; Yang, L.; Liu, R. Thermal insulation coatings based on microporous particles from Pickering emulsion polymerization. Prog. Org. Coat. 2021, 151, 106023. [Google Scholar] [CrossRef]
- Zhang, C.; Chen, X.Z.; Zhou, R.D. Effect of surface treatment of hollow glass beads on the performance of waterborne heat-insulting coatings. Paint. Coat. Ind. 2020, 50, 50–54. [Google Scholar] [CrossRef]
- Yu, W.; Choi, S.U.-S. Influence of insulation coating on thermal conductivity measurement by transient hot-wire method. Rev. Sci. Instrum. 2006, 77, 76102. [Google Scholar] [CrossRef]
- Han, M.; Zhou, G.D.; Huang, J.H. Optimization selection of the thermal conductivity of the top ceramic layer in the double-ceramic-layer thermal barrier coatings based on the finite element analysis of thermal insulation. Surf. Coat. Technol. 2014, 240, 320–326. [Google Scholar] [CrossRef]
- Zhang, Z.Y.; Zhang, D.; Chen, J.J. Effect of hollow glass bead content ratio on thermal insulation performance of coatings. Funct. Mater. 2007, 38, 3151–3155. [Google Scholar]
- Jia, M.; Wu, C.; Li, W.; Gao, D. Synthesis and characterization of a silicone resin with silphenylene units in Si-O-Si backbones. J. Appl. Polym. Sci. 2009, 114, 971–977. [Google Scholar] [CrossRef]
- Jia, M.Q.; Bai, H.Y.; Wang, J.L. Heat resistance of anti-corrosion epoxy-silicone resin coating. Mater. Prot. 2003, 4, 54–56. [Google Scholar] [CrossRef]
- Lee, J.-H.; Lee, H.L. Novel method for the evaluation of mechanical property of pigment coating layer and its application: Influence of spreading of latex binder on final properties of coating layer. Prog. Org. Coat. 2021, 163, 106652. [Google Scholar] [CrossRef]
- Zeng, J.J.; Zheng, P.H.; Deng, N. EIS feature of two composite organic coatings on steel during immersion in 3.5%NaCl solution. Corros. Sci. Prot. Technol. 2016, 28, 33–38. [Google Scholar] [CrossRef]
- Liu, X.; Xiong, J.; Lv, Y.; Zuo, Y. Study on corrosion electrochemical behavior of several different coating systems by EIS. Prog. Org. Coat. 2009, 64, 497–503. [Google Scholar] [CrossRef]
- Bakhshandeh, E.; Jannesari, A.; Ranjbar, Z.; Sobhani, S.; Saeb, M.R. Anti-corrosion hybrid coatings based on epoxy–silica nano-composites: Toward relationship between the morphology and EIS data. Prog. Org. Coat. 2014, 77, 1169–1183. [Google Scholar] [CrossRef]















| Material | Epoxy–Silicone Resin | Cardanol |
|---|---|---|
| Appearance | Light yellow transparent liquid | Orange transparent liquid |
| EEW/(g/eq) | 1000–1250 | / |
| AEW | / | 152 |
| Viscosity/(mPa·s) | 1000–1500 | 3000–4000 |
| Solid Content/wt% | 60 | 95 |
Publisher’s Note: MDPI stays neutral with regard to jurisdictional claims in published maps and institutional affiliations. |
© 2022 by the authors. Licensee MDPI, Basel, Switzerland. This article is an open access article distributed under the terms and conditions of the Creative Commons Attribution (CC BY) license (https://creativecommons.org/licenses/by/4.0/).
Share and Cite
Gao, J.; Zhu, T.; Zhang, Z.; Kong, Y.; Zhang, X. Research on Interface Modification and Thermal Insulation/Anticorrosive Properties of Vacuum Ceramic Bead Coating. Coatings 2022, 12, 304. https://doi.org/10.3390/coatings12030304
Gao J, Zhu T, Zhang Z, Kong Y, Zhang X. Research on Interface Modification and Thermal Insulation/Anticorrosive Properties of Vacuum Ceramic Bead Coating. Coatings. 2022; 12(3):304. https://doi.org/10.3390/coatings12030304
Chicago/Turabian StyleGao, Jin, Taiyang Zhu, Zhi Zhang, Yuan Kong, and Xin Zhang. 2022. "Research on Interface Modification and Thermal Insulation/Anticorrosive Properties of Vacuum Ceramic Bead Coating" Coatings 12, no. 3: 304. https://doi.org/10.3390/coatings12030304
APA StyleGao, J., Zhu, T., Zhang, Z., Kong, Y., & Zhang, X. (2022). Research on Interface Modification and Thermal Insulation/Anticorrosive Properties of Vacuum Ceramic Bead Coating. Coatings, 12(3), 304. https://doi.org/10.3390/coatings12030304

