Nanocellulose and Cellulose Making with Bio-Enzymes from Different Particle Sizes of Neosinocalamus Affinis
Abstract
1. Introduction
2. Materials and Methods
2.1. Materials and Reagents
2.2. Experiment Equipment
2.3. Cellulose Extraction
2.4. Preparation of Nanocellulose (CNMs)
2.5. Material Characterization
2.5.1. Determination of Chemical Composition
2.5.2. FTIR
2.5.3. XRD
2.5.4. TGA
2.5.5. 13C-NMR
2.5.6. Calculation of CNMs Yield and Viscosity Determination
2.5.7. TEM
2.5.8. SEM
3. Analysis and Discussion
3.1. Chemical Composition
3.2. FTIR Spectra of Cellulose
3.3. XRD Spectral Characteristics of Cellulose
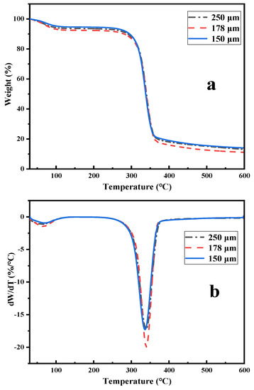
3.4. Thermal Characterization of Cellulose
3.5. 13C-NMR Characterization of Cellulose
3.6. CNMs Yield and Viscosity Analysis
3.7. TEM Analysis
3.8. SEM Analysis
4. Conclusions
Author Contributions
Funding
Institutional Review Board Statement
Informed Consent Statement
Data Availability Statement
Conflicts of Interest
References
- Scurlock, J.M.O.; Dayton, D.C.; Hames, B. Bamboo: An overlooked biomass resource? Biomass Bioenergy 2000, 19, 229–244. [Google Scholar] [CrossRef]
- Bochek, A.M. Effect of hydrogen bonding on cellulose solubility in aqueous and nonaqueous solvents. Russ. J. Appl. Chem. 2003, 76, 1711–1719. [Google Scholar] [CrossRef]
- Liang, X.; Liu, J.; Fu, Y.; Chang, J. Influence of anti-solvents on lignin fractionation of eucalyptus globulus via green solvent system pretreatment. Sep. Purif. Technol. 2016, 163, 258–266. [Google Scholar] [CrossRef]
- Klemm, D.; Heublein, B.; Fink, H.P.; Bohn, A. Cellulose: Fascinating biopolymer and sustainable raw material. Angew. Chem. Int. Ed. 2005, 44, 3358–3393. [Google Scholar] [CrossRef] [PubMed]
- Khalil, H.; Bhat, A.H.; Yusra, A.F.I. Green composites from sustainable cellulose nanofibrils: A review. Carbohydr. Polym. 2012, 87, 963–979. [Google Scholar] [CrossRef]
- Pathak, D.; Bedi, R.; Kaur, D.; Kumar, R. Fabrication of densely distributed silver indium selenide nanorods by using Ag+ ion irradiation. J. Korean Phys. Soc. 2010, 57, 474–479. [Google Scholar] [CrossRef]
- Sagadevan, S.; Pal, K. A facile synthesis of TiO2/SiO2/CdS-nanocomposites ‘optical and electrical’ investigations. J. Mater. Sci. Mater. Electron. 2017, 28, 9072–9080. [Google Scholar] [CrossRef]
- Pathak, D.; Kumar, S.; Andotra, S.; Thomas, J.; Kaur, N.; Kumar, P.; Kumar, V. New tailored organic semiconductors thin films for optoelectronic applications. Eur. Phys. J. Appl. Phys. 2021, 95, 10201. [Google Scholar] [CrossRef]
- Akbar Hosseini, S. Investigation of the structural, photocatalytic and magnetic properties of MgAl2O4/NiTiO3 nanocomposite synthesized via sol-gel method. J. Mater. Sci. Mater. Electron. 2017, 28, 10765–10771. [Google Scholar] [CrossRef]
- Wu, M.; Liu, J.-K.; Yan, Z.-Y.; Wang, B.; Zhang, X.-M.; Xu, F.; Sun, R.-C. Efficient recovery and structural characterization of lignin from cotton stalk based on a biorefinery process using a γ-valerolactone/water system. RSC Adv. 2016, 6, 6196–6204. [Google Scholar] [CrossRef]
- General Assembly of the United Nations. Transforming Our World: The 2030 Agenda for Sustainable Development. Geneva, Switzerland, 2015. Available online: https://sdgs.un.org/2030agenda (accessed on 13 October 2022).
- Thomas, B.; Raj, M.C.; Athira, K.B.; Rubiyah, M.H.; Joy, J.; Moores, A.; Drisko, G.L.; Sanchez, C. Nanocellulose, a Versatile Green Platform: From Biosources to Materials and Their Applications. Chem. Rev. 2018, 118, 11575–11625. [Google Scholar] [CrossRef] [PubMed]
- Heise, K.; Kontturi, E.; Allahverdiyeva, Y.; Tammelin, T.; Linder, M.B.; Nonappa; Ikkala, O. Nanocellulose: Recent Fundamental Advances and Emerging Biological and Biomimicking Applications. Adv. Mater. 2021, 33, 30. [Google Scholar] [CrossRef] [PubMed]
- Seta, F.T.; An, X.Y.; Liu, L.Q.; Zhang, H.; Yang, J.; Zhang, W.; Nie, S.X.; Yao, S.Q.; Cao, H.B.; Xu, Q.L.; et al. Preparation and characterization of high yield cellulose nanocrystals (CNC) derived from ball mill pretreatment and maleic acid hydrolysis. Carbohydr. Polym. 2020, 234, 10. [Google Scholar] [CrossRef]
- Mahmud, M.M.; Perveen, A.; Jahan, R.A.; Matin, M.A.; Wong, S.Y.; Li, X.; Arafat, M.T. Preparation of different polymorphs of cellulose from different acid hydrolysis medium. Int. J. Biol. Macromol. 2019, 130, 969–976. [Google Scholar] [CrossRef] [PubMed]
- Oksman, K.; Mathew, A.P.; Bondeson, D.; Kvien, I. Manufacturing process of cellulose whiskers/polylactic acid nanocomposites. Compos. Sci. Technol. 2006, 66, 2776–2784. [Google Scholar] [CrossRef]
- Chen, X.Q.; Pang, G.X.; Shen, W.H.; Tong, X.; Jia, M.Y. Preparation and characterization of the ribbon-like cellulose nanocrystals by the cellulase enzymolysis of cotton pulp fibers. Carbohydr. Polym. 2019, 207, 713–719. [Google Scholar] [CrossRef]
- Zhang, Y.; Chen, J.N.; Zhang, L.; Zhan, P.; Liu, N.; Wu, Z.P. Preparation of nanocellulose from steam exploded poplar wood by enzymolysis assisted sonication. Mater. Res. Express 2020, 7, 9. [Google Scholar] [CrossRef]
- Hayashi, N.; Kondo, T.; Ishihara, M. Enzymatically produced nano-ordered short elements containing cellulose Iβ crystalline domains. Carbohydr. Polym. 2005, 61, 191–197. [Google Scholar] [CrossRef]
- Beltramino, F.; Roncero, M.B.; Vidal, T.; Valls, C. A novel enzymatic approach to nanocrystalline cellulose preparation. Carbohydr. Polym. 2018, 189, 39–47. [Google Scholar] [CrossRef]
- Huang, X.; Li, D.; Wang, L.-J. Effect of particle size of sugar beet pulp on the extraction and property of pectin. J. Food Eng. 2018, 218, 44–49. [Google Scholar] [CrossRef]
- Meng, T.; Ying, K.; Hong, Y.; Xu, Q. Effect of different particle sizes of nano-SiO2 on the properties and microstructure of cement paste. Nanotechnol. Rev. 2020, 9, 833–842. [Google Scholar] [CrossRef]
- Cheng, Y.; Yu, G.; Duan, Z. Effect of different size ZnO particle doping on dielectric properties of polyethylene composites. J. Nanomater. 2019, 2019, 9481415. [Google Scholar] [CrossRef]
- Tang, Z.J.; Yang, M.W.; Qiang, M.L.; Li, X.P.; Morrell, J.J.; Yao, Y.; Su, Y.W. Preparation of Cellulose Nanoparticles from Foliage by Bio-Enzyme Methods. Materials 2021, 14, 4557. [Google Scholar] [CrossRef] [PubMed]
- French, A.D.; Cintron, M.S. Cellulose polymorphy, crystallite size, and the Segal Crystallinity Index. Cellulose 2013, 20, 583–588. [Google Scholar] [CrossRef]
- Bondancia, T.J.; Florencio, C.; Baccarin, G.S.; Farinas, C.S. Cellulose nanostructures obtained using enzymatic cocktails with different compositions. Int. J. Biol. Macromol. 2022, 207, 299–307. [Google Scholar] [CrossRef] [PubMed]
- Pirayesh, H.; Khazaeian, A. Using almond (Prunus amygdalus L.) shell as a bio-waste resource in wood based composite. Compos. Part B Eng. 2012, 43, 1475–1479. [Google Scholar] [CrossRef]
- Ilangovan, M.; Guna, V.; Prajwal, B.; Jiang, Q.R.; Reddy, N. Extraction and characterisation of natural cellulose fibers from Kigelia africana. Carbohydr. Polym. 2020, 236, 7. [Google Scholar] [CrossRef]
- Rastogi, A.; Banerjee, R. Production and characterization of cellulose from Leifsonia sp. Process Biochem. 2019, 85, 35–42. [Google Scholar] [CrossRef]
- Pang, Z.Q.; Wang, P.Y.; Dong, C.H. Ultrasonic pretreatment of cellulose in ionic liquid for efficient preparation of cellulose nanocrystals. Cellulose 2018, 25, 7053–7064. [Google Scholar] [CrossRef]
- Huang, Y.; Wang, Z.G.; Wang, L.S.; Chao, Y.S.; Akiyama, T.; Yokoyama, T.; Matsumoto, Y. Analysis of Lignin Aromatic Structure in Wood Fractions Based on IR Spectroscopy. J. Wood Chem. Technol. 2016, 36, 377–382. [Google Scholar] [CrossRef]
- Alghooneh, A.; Amini, A.M.; Behrouzian, F.; Razavi, S.M.A. Characterisation of cellulose from coffee silverskin. Int. J. Food Prop. 2017, 20, 2830–2843. [Google Scholar] [CrossRef]
- Chen, J.H.; Xu, J.K.; Wang, K.; Cao, X.F.; Sun, R.C. Cellulose acetate fibers prepared from different raw materials with rapid synthesis method. Carbohydr. Polym. 2016, 137, 685–692. [Google Scholar] [CrossRef] [PubMed]
- Deepa, B.; Abraham, E.; Cordeiro, N.; Mozetic, M.; Mathew, A.P.; Oksman, K.; Faria, M.; Thomas, S.; Pothan, L.A. Utilization of various lignocellulosic biomass for the production of nanocellulose: A comparative study. Cellulose 2015, 22, 1075–1090. [Google Scholar] [CrossRef]
- Dai, H.; Ou, S.; Huang, Y.; Huang, H. Utilization of pineapple peel for production of nanocellulose and film application. Cellulose 2018, 25, 1743–1756. [Google Scholar] [CrossRef]
- Beroual, M.; Boumaza, L.; Mehelli, O.; Trache, D.; Tarchoun, A.F.; Khimeche, K. Physicochemical Properties and Thermal Stability of Microcrystalline Cellulose Isolated from Esparto Grass Using Different Delignification Approaches. J. Polym. Environ. 2021, 29, 130–142. [Google Scholar] [CrossRef]
- Franco, T.S.; Potulski, D.C.; Viana, L.C.; Forville, E.; de Andrade, A.S.; de Muniz, G.I.B. Nanocellulose obtained from residues of peach palm extraction (Bactris gasipaes). Carbohydr. Polym. 2019, 218, 8–19. [Google Scholar] [CrossRef]
- Martins, M.A.; Teixeira, E.M.; Correa, A.C.; Ferreira, M.; Mattoso, L.H.C. Extraction and characterization of cellulose whiskers from commercial cotton fibers. J. Mater. Sci. 2011, 46, 7858–7864. [Google Scholar] [CrossRef]
- French, A.D. Idealized powder diffraction patterns for cellulose polymorphs. Cellulose 2014, 21, 885–896. [Google Scholar] [CrossRef]
- NagarajaGanesh, B.; Muralikannan, R. Extraction and characterization of lignocellulosic fibers from Luffa cylindrica fruit. Int. J. Polym. Anal. Charact. 2016, 21, 259–266. [Google Scholar] [CrossRef]
- Kim, H.S.; Kim, S.; Kim, H.J.; Yang, H.S. Thermal properties of bio-flour-filled polyolefin composites with different compatibilizing agent type and content. Thermochim. Acta 2006, 451, 181–188. [Google Scholar] [CrossRef]
- Yang, H.P.; Yan, R.; Chen, H.P.; Zheng, C.G.; Lee, D.H.; Liang, D.T. In-depth investigation of biomass pyrolysis based on three major components: Hemicellulose, cellulose and lignin. Energy Fuels 2006, 20, 388–393. [Google Scholar] [CrossRef]
- Sun, Z.B.; Tang, Z.J.; Li, X.P.; Li, X.B.; Morrell, J.J.; Beaugrand, J.; Yao, Y.; Zheng, Q.Z. The Improved Properties of Carboxymethyl Bacterial Cellulose Films with Thickening and Plasticizing. Polymers 2022, 14, 3286. [Google Scholar] [CrossRef] [PubMed]
- Samuel, R.; Pu, Y.; Foston, M.; Ragauskas, A.J. Solid-state NMR characterization of switchgrass cellulose after dilute acid pretreatment. Biofuels 2010, 1, 85–90. [Google Scholar] [CrossRef]
- Chen, X.Q.; Deng, X.Y.; Shen, W.H.; Jia, M.Y. Preparation and characterization of the spherical nanosized cellulose by the enzymatic hydrolysis of pulp fibers. Carbohydr. Polym. 2018, 181, 879–884. [Google Scholar] [CrossRef] [PubMed]
- Vinogradov, M.I.; Makarov, I.S.; Golova, L.K.; Gromovykh, P.S.; Kulichikhin, V.G. Rheological properties of aqueous dispersions of bacterial cellulose. Processes 2020, 8, 423. [Google Scholar] [CrossRef]
- Benini, K.; Voorwald, H.J.C.; Cioffi, M.O.H.; Rezende, M.C.; Arantes, V. Preparation of nanocellulose from Imperata brasiliensis grass using Taguchi method. Carbohydr. Polym. 2018, 192, 337–346. [Google Scholar] [CrossRef]
- Rosa, S.M.L.; Rehman, N.; de Miranda, M.I.G.; Nachtigall, S.M.B.; Bica, C.I.D. Chlorine-free extraction of cellulose from rice husk and whisker isolation. Carbohydr. Polym. 2012, 87, 1131–1138. [Google Scholar] [CrossRef]
- Chen, W.S.; Li, Q.; Cao, J.; Liu, Y.X.; Li, J.; Zhang, J.S.; Luo, S.Y.; Yu, H.P. Revealing the structures of cellulose nanofiber bundles obtained by mechanical nanofibrillation via TEM observation. Carbohydr. Polym. 2015, 117, 950–956. [Google Scholar] [CrossRef]
- Xu, J.T.; Chen, X.Q. Preparation and characterization of spherical cellulose nanocrystals with high purity by the composite enzymolysis of pulp fibers. Bioresour. Technol. 2019, 291, 6. [Google Scholar] [CrossRef]
- Abe, K.; Yano, H. Cellulose nanofiber-based hydrogels with high mechanical strength. Cellulose 2012, 19, 1907–1912. [Google Scholar] [CrossRef]
- Tian, C.H.; Yi, J.A.; Wu, Y.Q.; Wu, Q.L.; Qing, Y.; Wang, L.J. Preparation of highly charged cellulose nanofibrils using high-pressure homogenization coupled with strong acid hydrolysis pretreatments. Carbohydr. Polym. 2016, 136, 485–492. [Google Scholar] [CrossRef] [PubMed]










| Chemical Compound | 250 μm | 178 μm | 150 μm |
|---|---|---|---|
| Celluloses (%) | 53.44 | 63.38 | 74.08 |
| Hemicellulose (%) | 14.72 | 10.62 | 7.59 |
| Lignin (%) | 7.60 | 4.35 | 3.55 |
| Wave Number (cm−1) | Attribution of Characteristic Absorption Peaks | References |
|---|---|---|
| 3370 | O–H stretching vibration (hydrogen bonding) | [28] |
| 2290 | CH2 asymmetric stretching vibration | [29] |
| 1640 | O–H bending vibration (absorption of H2O), conjugated to C=C | [30] |
| 1500 | C=C stretching vibration | [31] |
| 1162 | C (1)–O–C (4) symmetric stretching vibration (sugar ring linkage bond characteristic peak) | [34] |
| 1114 | C (1)–O–C (5) intra-face pyranose ring asymmetric stretching vibration | [32] |
| 1087 | C (3)–OH stretching vibration | [35] |
| 1030 | C (6)–OH stretching vibration | [35] |
| 890 | C (1)–H asymmetric stretching vibration outside the face β-D glucosidic bond characteristic | [33] |
| Particle Size (μm) | CrI (%) |
|---|---|
| 250 | 54.21% |
| 178 | 56.03% |
| 150 | 63.58% |
| Particle Size (μm) | (dw/dt)max (%/°C) | (dw/dt)mean (%/°C) | V∞ (%) | TS (°C) | Tmax (°C) | ΔT(1⁄2) (°C) | D |
|---|---|---|---|---|---|---|---|
| 250 | −17.30 | −1.53 | 86.913 | 309.36 | 339.60 | 37.61 | 5.82 × 10−6 |
| 178 | −19.99 | −1.57 | 88.850 | 312.58 | 340.30 | 47.18 | 5.56 × 10−6 |
| 150 | −17.31 | −1.51 | 85.965 | 316.87 | 337.40 | 43.19 | 4.87 × 10−6 |
| Particle Size (μm) | Concentration (wt%) | Viscosity (mPa·s) |
|---|---|---|
| 250 | 0.097 | 18.79 |
| 178 | 0.102 | 20.21 |
| 150 | 0.119 | 22.64 |
Publisher’s Note: MDPI stays neutral with regard to jurisdictional claims in published maps and institutional affiliations. |
© 2022 by the authors. Licensee MDPI, Basel, Switzerland. This article is an open access article distributed under the terms and conditions of the Creative Commons Attribution (CC BY) license (https://creativecommons.org/licenses/by/4.0/).
Share and Cite
Zhao, J.; Wu, X.; Yuan, X.; Yang, X.; Guo, H.; Yao, W.; Ji, D.; Li, X.; Zhang, L. Nanocellulose and Cellulose Making with Bio-Enzymes from Different Particle Sizes of Neosinocalamus Affinis. Coatings 2022, 12, 1734. https://doi.org/10.3390/coatings12111734
Zhao J, Wu X, Yuan X, Yang X, Guo H, Yao W, Ji D, Li X, Zhang L. Nanocellulose and Cellulose Making with Bio-Enzymes from Different Particle Sizes of Neosinocalamus Affinis. Coatings. 2022; 12(11):1734. https://doi.org/10.3390/coatings12111734
Chicago/Turabian StyleZhao, Jiaxin, Xiaoxiao Wu, Xushuo Yuan, Xinjie Yang, Haiyang Guo, Wentao Yao, Decai Ji, Xiaoping Li, and Lianpeng Zhang. 2022. "Nanocellulose and Cellulose Making with Bio-Enzymes from Different Particle Sizes of Neosinocalamus Affinis" Coatings 12, no. 11: 1734. https://doi.org/10.3390/coatings12111734
APA StyleZhao, J., Wu, X., Yuan, X., Yang, X., Guo, H., Yao, W., Ji, D., Li, X., & Zhang, L. (2022). Nanocellulose and Cellulose Making with Bio-Enzymes from Different Particle Sizes of Neosinocalamus Affinis. Coatings, 12(11), 1734. https://doi.org/10.3390/coatings12111734

