Next Article in Journal
Effects of Surface Modification by Means of Low-Temperature Plasma Nitriding on Wetting and Corrosion Behavior of Austenitic Stainless Steel
Next Article in Special Issue
Ensemble of Deep Convolutional Neural Networks for Automatic Pavement Crack Detection and Measurement
Previous Article in Journal
Laser Dissimilar Joining of Al7075T6 with Glass-Fiber-Reinforced Polyamide Composite
Previous Article in Special Issue
Investigation of the Microwave Absorption of Asphalt Mixtures Containing Magnetite Powder
 
 
Font Type:
Arial Georgia Verdana
Font Size:
Aa Aa Aa
Line Spacing:
Column Width:
Background:
Article

IRI Performance Models for Flexible Pavements in Two-Lane Roads until First Maintenance and/or Rehabilitation Work

by
Heriberto Pérez-Acebo
1,*,
Alaitz Linares-Unamunzaga
2,
Eduardo Rojí
3 and
Hernán Gonzalo-Orden
2
1
Mechanical Engineering Department, University of the Basque Country UPV/EHU, P° Rafael Moreno Pitxitxi, 2, 48013 Bilbao, Spain
2
Department of Civil Engineering, University of Burgos, c/ Villadiego, s/n, 09001 Burgos, Spain
3
Mechanical Engineering Department, University of the Basque Country UPV/EHU, Alda. Urquijo, s/n, 48013 Bilbao, Spain
*
Author to whom correspondence should be addressed.
Coatings 2020, 10(2), 97; https://doi.org/10.3390/coatings10020097
Submission received: 30 December 2019 / Revised: 15 January 2020 / Accepted: 20 January 2020 / Published: 22 January 2020
(This article belongs to the Collection Pavement Surface Coatings)

Abstract

Pavement performance models play a vital role in any pavement management system. The Regional Government of Biscay (RGB) (Spain) manages a 1200 km road network and conducts pavement data collections, including the International Roughness Index (IRI) values. The aim of the paper is to develop an IRI performance model for two-lane roads with flexible pavement until the first maintenance and/or rehabilitation activity is performed. Due to the huge amount of available information, a deterministic model was selected. A literature review of deterministic models showed that, apart from age and traffic volumes, the pavement structure is a key factor. Therefore, it was decided to analyze the only road stretches whose entire pavement section was known (surface layer + base + subbase). Various variables related to age, traffic volumes and employed materials were introduced as possible factors. The multiple linear regression model with the highest coefficient of determination and all the variables significant included the real pavement age, the cumulated heavy traffic and the total thickness of bituminous layers. As the material employed in the surface layer could affect roughness progression, a qualitative variable was introduced to consider various surface materials. The model improved its accuracy, indicating that the surface layer material is also an influencing factor on IRI evolution.

1. Introduction

Road pavement structure consists of various layers with different materials, and they are normally referred to, from top to bottom, as a surface layer, base, and subbase (the bottom one may be omitted, and seldom the bottom two layers are omitted), built over a compacted subgrade. At present, there are two main types of pavement surfaces: Portland cement concrete (PCC) and hot-mix asphalt (HMA), also known as asphalt concrete. These two materials classify the pavements in the two main categories: Pavements with PCC are called rigid pavements, and when there is an asphalt mixture layer in the top, they are referred to as flexible pavements. Apart from the different material in the wearing course, the load transmission mechanisms developed by each pavement type to achieve the load distribution requirement are completely different. In the case of flexible pavements, the base course is composed of unstabilized aggregates. When the traffic load is applied on top of the pavement surface, a deformation occurs under the load. With increasing depth, the load is distributed over a larger area. Thus, higher stresses are present at the surface, and the stress decreases in deeper layers. Therefore, the materials with the highest quality must be employed at the surface, and in deeper layers, lower quality materials may be placed. However, sometimes for base and subbase layers, aggregates may be treated, generally with cement, but also with bitumen or another stabilizing agent, such as lime or fly-ash [1,2,3,4]. Contrary to unbound aggregate bases, chemically stabilized bases distribute loads over a wider area, and consequently, the stress on the subgrade is reduced [1,5]. Pavements with asphalt mixture layer(s) over chemically-treated bases or subbases are referred to as semi-rigid pavements [6].
Hot-mix asphalts (HMA), the most usual asphalt mixture, consist primarily of mineral aggregates, asphalt bitumen and air [7]. As all the asphalt pavements, even the best designed and constructed, get deteriorated with time, in both flexible and semi-rigid pavements, some additives are included to enhance the bitumen characteristics. There is a wide variety of additions for hot-mix asphalts: Waxes, polyphosphoric acids, mineral acids and polymers, such as styrene-butadiene-styrene (SBS), ethylene vinyl acetate (EVA), polyethylene (PE) [8,9,10,11,12]. The deterioration of asphalt concrete is mainly due to traffic load, material ageing and environmental effects. The main types of distress that appear in asphalt concrete are cracking and permanent deformation [7]. These distresses, and other, are evaluated by highway agencies in order to determine the quality of the road network under their management.
As the total cost for pavement maintenance and rehabilitation (M&R) activities is generally higher than the assigned budget, road agencies need to optimize available funds by means of Pavement Management Systems (PMS). PMS may be defined as a “set of tools or methods that assist decision makers in finding the optimum strategies for providing, evaluation, and maintaining pavements in a serviceable condition over a period of time” [13]. PMS are dependent on some essential elements: Data collection of present pavement condition, prediction of future pavement condition by means of deterioration models, and finally, network and project-level plans for M&R after considering local circumstances and existing traffic, and available material and financial resources [14]. With regard to the present condition assessment, highway agencies assess present pavement condition using one or more indices directly obtained from the highway [15]. Although the surface condition is only a part of the pavement structure, it is a key factor, as it is the only part in contact with vehicles and it is directly related to road users’ comfort and safety [16,17]. Pavement surface roughness is a very widely employed characteristic for assessing the level of satisfaction provided to users, simultaneously providing information about road surface characteristics [18]. Many indices have been suggested for measuring the longitudinal profile, such as Present Serviceability Rating (PSR) and Present Serviceability Index (PSI). With the aim of not depending on the longitudinal profile measurement device, the World Bank conducted the International Roughness Experiment in Brazil in 1982, which finished in the development of the International Roughness Index (IRI) [19,20]. Following the algorithm suggested by Sayers [21], it represents the accumulated suspension stroke of a vehicle, divided by the distance travelled during the same time period, and it is generally expressed in mm/m or m/km. Due to its stability over time and transferability all over the world, at present, IRI has obtained an international status, and it is employed by many road administration as a valid and useful index for measuring riding quality and helps to identify M&R activities [14,22,23,24,25,26,27,28].
The Regional Government of Biscay (RGB), in Spain, manages the entire road network of the province of Biscay (except the municipal roads), with more than 1200 km in main carriageways (excluding connections in junctions). The RGB collects IRI data to know the present condition of the road network, which is included in the pavement management system of the RGB, called State Agenda, with the usual information that must be introduced in PMS: Pavement structure, traffic volumes, weather and climate data and conducted M&R works [15].
Using this information of the PMS of the RGB, the aim of this paper is to establish an IRI performance model for flexible pavements (without treated base or subbase layers) in two-lane roads until the first maintenance or rehabilitation work is conducted, including the factors that really affect the IRI progression in the road pavement. The paper structure is as follows: Section 2 describes how the information is introduced in the PMS of the RGB. In Section 3, models employed for pavement deterioration and specifically for IRI prediction are commented, and the model type for Biscay is selected. Suggested variables for inclusion in the models are defined in Section 4, and obtained results are presented and discussed in Section 5. Finally, Section 6 exposes the conclusions.

2. Pavement Management System of the Regional Government of Biscay

Biscay is a province located in the north of Spain, included in the autonomous region of the Basque Country. The province has a population of around 1,150,000 inhabitants and has a surface of 2217 km2. Due to special status of the region, each of the three provinces of the Basque Country has its own competence regarding the highways and freeways, and hence, the Regional Government of Biscay (RGB) manages the entire road network in its territory, except the municipal roads, and is allowed to plan, finance, project, construct, rehabilitate and maintain all the highways. Consequently, more than 1200 km is under the control of the RGB. Bituminous materials are only employed in surface layers, and hence, only flexible and semi-rigid pavement structures can be found in the road network of Biscay. In 2010 the RGB decided to create its own pavement management system, called State Agenda. According to the AASHTO Pavement Management Guide [15], the key inputs that must be introduced in the database of any PMS are:
  • Inventory data; including section-specific road classification, physical dimensions and pavement material data;
  • Traffic history data, including traffic volume in each road section, directional split, vehicle mix, truck load data, equivalent single axle load (ESAL), etc.;
  • Environmental data; with general climatic data in the region;
  • Pavement condition data; related to the various indices collected from the road network.
The RGB has introduced a large quantity of inventory data in the software, including road or/and segment identification data, carriageway geometric data and existing interchanges, bridges, culverts and drainage structures in the network. Regarding traffic data, the RGB annually publishes the traffic information about all the roads in the network; including Annual Average Daily Traffic (AADT) of the road section, including both directions; the percentage of heavy vehicles; and the Annual Average Daily Traffic of Heavy Vehicles in the project lane (H.AADT). According to Spanish regulations [29], a heavy vehicle is considered when it weighs over 3500 kg. The project lane is the lane with a higher quantity of heavy vehicles. With regard to traffic distribution, in two-lane roads, each lane is considered to have half of both total traffic and heavy traffic. In two-carriage highways (freeways or multilane highways) with two lanes per carriageway, the lane on the left takes all the heavy traffic in that direction, which is normally assumed to be the half of both directions. When there are 3 or 4 lanes in the carriage per direction, the lane on the right is supposed to take the 85% of the traffic in that direction (half of both directions).
Environmental data are not supposed to be a key factor in Biscay, due to its small area. It has an oceanic climate, homogeneous over the entire province. The only data in the PMS are the monthly rainfall (mm) in each of the conservation areas (4) in which is divided the province, and the precipitation collected 15 days before the skid resistance data collection in 2016 in the nearest meteorological station, in mm.
With regard to the pavement information, the RGB included these data using information from projects. Instead of identifying all the pavement structures that can be found in the network with numerous identifying tests, information about pavement sections is introduced by means of the projects that were carried out in the network of Biscay by the RGB, since it received the competences over the road network in 1983. This methodology allowed, including real information in the database, although it can be incomplete. Despite its incompleteness, all the information is correct, reliable and was verified. Since 1983 projects implying new outlines are recorded. Since 2000 all the rehabilitation and maintenance (M&R) projects are also registered. The following information is introduced in all projects:
  • Project data: Name of the project, author, project type, date of the project, date of works finished, etc.;
  • Pavement information: Road denomination, initial and final points of the roads included in the project, type of pavement action (one of the most important features: New outline, when all the pavement section is new, from surface layer to base or subbase; or M&R work, when works only affect the surface layer), and all the information about pavement layers: Used materials and their denominations, their thickness and binders.
With this information, two types of files can be extracted from the database for visualization in each road:
  • Pavement Structure file: This file allows observing an entire road, divided into different stretches according to the known pavement section. When the entire pavement section is known, it shows all the available data, with the materials and thickness of all layers (surface layer, base and subbase) and the date when they were constructed. Even for stretches with no complete pavement section, it provides the available information;
  • Surface Layer file: It allows observing an entire road, divided into different stretches as a function of the material in the surface layer. Even in stretches where all the pavement structure is unknown, information can be available because the M&R projects since 2000 are recorded in the database. It also provides information about superficial treatments, such as slurries, if they were conducted, differentiating them from surface materials.
Finally, the RGB also recorded pavement condition data during data collections, including data about roughness, skid resistance, structural capacity and surface defects. With regard to roughness data, as other agencies over the world, the RGB collects roughness data by means of the IRI. IRI data collection was not carried out every year in the entire network, but only in some specific years: 2000, 2002 (partially, only some roads not recorded in 2000), 2004, 2007, 2011 and 2016. Values were recorded in summer. IRI data are provided with every 100 m of the road, specifying the exact initial and final Kilometer Post data of the stretch. In every 100 m-stretch, the value is recorded for both right and left lane in two-lane roads. For double carriageway, separate data are provided for each carriageway; and in each carriageway, IRI data for the two lanes on the right are provided, i.e., values in a third or fourth lane starting from the right (when existing) are not available.

3. IRI Prediction Models

3.1. Types of Pavement Deterioration Models

A pavement performance prediction model can be defined as “a mathematical description of the expected value that a pavement attribute will take during a specified period of analysis” [30]. In PMS, there are two fundamental modeling levels: Project and network level modeling. At the project level, models, and consequently, decisions, are made about specific projects and related to a particular portion of the network. On the contrary, at the network level, models are developed to predict the average deterioration for an extensive, linked road network. In this research, as models are aimed for the entire network, a network level model is adopted.
When considering the nature and the characteristics of the model itself, there are various forms to classify them. The Pavement Management Guide [15] classifies models in deterministic, probabilistic, Bayesian and subjective (or expert-based) models. Moreover, it indicates that models can be considered according to the variables included, classifying them as mechanistic, mechanistic-empirical or empirical. There are other classifications suggested by other authors [31]. However, despite the wide range of existing performance models, deterministic and probabilistic models are the ones attracting the greatest attention and are referred to as the basic groups [32,33,34,35].
Road agencies employ deterministic models when they have historical pavement condition information or enough survey data to identify statistically-significant pavement deterioration trends. Regression analyses are conducted for developing these models. They establish a relationship between two variables or more. Since this relationship between the dependent variable (the predicted one) and the independent variable or variables, the predictor(s), is not exact, it must be determined the best statistical fit of the data, generally with the least square regression technique.
Unlike deterministic regression equations, which predict a precise value for an index, probabilistic models estimate the probabilistic distribution of the expected value [31]. Whereas, both models can develop the scope of predicting future condition, the probabilistic ones are able to incorporate uncertainty in pavement performance, which is assumed to be closer to reality [36,37]. Pavement performance is recognized to be probabilistic in nature, requiring some levels of uncertainty [32,34]. Hence, different forms of probability-based models have been developed over the last three decades [38], but they are not so employed as deterministic ones. Bayesian and Markov probabilistic models are attracting the greatest interest and are the most employed ones [31]. Among them, the discrete time Markov chains is probably the most used probabilistic model in pavement deterioration modeling, with many examples in the literature [24,32,34,35,37,39,40,41].
On the other hand, Artificial Neural Network (ANN) models have increased its popularity for empirical modeling for the last years, by means of parallel computations for knowledge representations and information processing [42]. It was proved to be useful to solve certain types of problems that are difficult to solve with traditional numerical and statistical methods. ANN approach does not execute a series of fixed instructions, as a traditional computer program or statistical analysis do. It solves, in parallel, to the inputs presented to it during the training period. Some authors regard the ANN as a “black box”, since the results are produced without establishing causal relationships between input and output [43,44].
Finally, subjective or expert-based models introduce subjective opinions for performance models in a less formal way. It can be helpful if historical data are not available, if new practices or materials are employed or if the administration has little confidence in available data.
Deterministic models, the most widely employed models, establish linear or non-linear relations between affecting factors and the variable aimed to be predicted and are simple to understand and apply [45]. Their efficiency has been proved with large experimental and historical data [46,47]. One disadvantage is that they cannot be extrapolated beyond the limits of the experimental data and produce a single value of the dependent variable [48]. Hence, calibration is generally recommended when transferring a deterministic model from one site to another.
Among probabilistic models, Bayesian models combine prior knowledge of certain event probabilities with observed data (likelihood) to produce an adjusted expression of the event probabilistic distribution (known as posterior). Their advantage is the capability to incorporate uncertainty, as well as incorporating expert opinions to supplement historical data when historical data are not available [48]. The model relies on the prior probability distribution chosen for the analysis. However, its main disadvantage is that the Bayesian inference includes the evaluation of different posteriors, which is a comprehensive analysis [49]. Markov chain models have shown that it is possible to develop these models without a large historical database [14,24,39]. One limitation of this modeling is that it is based on the Transition Probability Matrices (TPM). Hence, it is necessary to develop a TPM for each combination of factors that affect the pavement performance, such as, material structure, traffic, climate, etc. Researchers usually developed a short series of TPMs for all the possible conditions, gathering them in families, for example, by pavement type [40], by road hierarchy [14,24], by pavement structure [40,41,45], or by climate [41,50].
ANN modeling does not need a detailed relationship between variables and can be employed when several variables influence the result [40]. After a training period, new data can be introduced for evaluation. Nonetheless, modeling is complex, requires a large amount of experimental data, and the main limitation is that it acts as a black box, and it is not possible to easily extract the path followed to explain a solution [51].
Finally, expert-based models, which can be interesting when the road agency lacks complete historical data, introduce subjectivity in the modeling.
Consequently, due to the great amount of information available in the PMS of the RGB, it was decided to select the deterministic model for future prediction roughness in the road network of Biscay. Subjective models were discarded because it was not wanted to provide a biased model with detailed information available. Moreover, although ANN models can achieve a better coefficient of determination (R2) [44], they were discarded because they act as a black box, not providing information about the influence and importance of each parameter or predictor in the final result. Bayesian models are not necessary because there is no need a model to handle with scarce data. Markov chains are rejected for modeling because many TPMs should be developed as pavements should be gathered according to traffic levels, age, and pavement structure (variable materials and thickness of bituminous and the unbound material layers).
With regard to deterministic models, various forms for the curves can be deployed for best fitting the data, such as linear, quadratic, sigmoid, etc., and hence, different shapes are adopted for the deterioration trend. Sometimes, a single independent variable is employed for predicting the dependent variable. Nonetheless, the employment of multiple linear regressions is more usual, by means of several statistically significant explanatory variables. The Analysis of Variance (ANOVA) is commonly deployed to identify these statistically significant independent variables. Moreover, a scatter plot of the available data is generally analyzed to estimate the model shape better. In multiple linear regressions, some assumptions are made and must be verified [17,52,53,54]:
  • The relationship between the dependent variables and the independent variables must be linear, which can be tested by the Pearson coefficient, R. If it is not linear between some variables, they can be transformed;
  • Each observation must be drawn independently from the population, implying that the errors are independent from one another. This hypothesis can be checked by mean of the Durbin-Watson statistic, which ranges between 0 and 4. A value of 2 means total independence, and a value between 1.5 and 2.5 implies independent errors;
  • The variance of errors must be equal across all levels, i.e., it must not depend on the observation. This hypothesis is known as homoscedasticity and can be evaluated with the absence of any pattern in a plot of the standardized predicted values against the standardized residuals;
  • Error must be normally distributed, and it can be verified by a Shapiro-Wilk normality test and observing whether the errors can be plotted on a straight line in the normal probability plot;
  • There is little or no multi-colinearity in the data, which can be tested by the variance inflation factor (VIF). A value over 10 means a serious multi-colinearity problem.

3.2. Deterministic Models for IRI Prediction

Once a deterministic model was selected to forecast IRI evolution, some deterministic models from the literature are commented. They may be either based on mechanistic principles (mechanistic models), field observations (empirical), or a combination of both (mechanistic-empirical).
After supporting the development of the IRI, the World Bank itself developed IRI evolution models, presented in the documents HDM-III [55] and HDM-4 [56]. Paterson [57] followed a structured empirical approach for modeling the road deterioration and maintenance effects as the base for the HDM-III model, relying on the identification of the function form and primary variables that affect each pavement property from both mechanistic and empirical information and using various statistical techniques to combine their influence and impact. The main hypothesis is that the various mechanisms that give rise to roughness changes must be included as components of the model. Hence, an incremental model was adopted and included five components; structural deformation (deformation in the pavement materials caused by the shear stresses produced by traffic loadings), cracking, rutting, potholing and environmental factors. The roughness model developed by the World Bank in the HDM-4 was based on the model for HDM-III and also had the same five components, with some changes. The model proposed by the World Bank in the HDM-4 [56] was also an incremental model, which is the sum of various components (Equation (1)):
Δ R I = Δ R I S + Δ R I C + Δ R I r + Δ R I p + Δ R I e
where ΔRI is the total incremental change in roughness during analysis year, in m/km IRI; ΔRIS is the structural component of roughness, ΔRIC is the cracking component, ΔRIr is the rutting component, ΔRIp of the potholing component and ΔRIe is the environmental component. All these components have complex formulae to be calculated.
COST Action 324 [58] had the aim of integrating research studies throughout Europe in the field of pavement performance. It was conducted by a consortium of 16 organizations from 15 European countries, and it compiled pavement performance models in use in Europe in that time. With regard to IRI models, in Finland, the IRI evolution model for Asphalt Concrete overlay is calculated by Equation (2) and the model for cold mix overlay by Equation (3).
I R I t + 1 = 0.13 + 1.03 × I R I t
I R I t + 1 = 0.14 + 1.04 × I R I t
where IRI(t + 1) is the roughness (IRI) prediction for the next year and IRI(t) is the measured roughness (IRI) at year t.
Similarly, in COST Action 324 [58] it was registered that in Hungary, two models, depending on different factors, were employed for IRI prediction (Equations (4) and (5)).
I R I = e a + b × A G E
I R I = e a + b × F O R G
where IRI is the roughness (m/km), AGE is the age of wearing course, FORG is the repetition of the vehicles expressed in passenger car units, and a and b are constants. Similarly, in Sweden [58], the IRI performance model employed at that time is expressed by Equation (6).
I R I = 1.51 + 4.8 × 10 2 × A G E + 6.97 × 10 4 × F I 5.54 × 10 2 × W 1.29 × 10 3 × t h 1 + 139 × D 900 + 2.39 × 10 3 × T A G E
where IRI is expressed in m/km, AGE is the time, since last measure (in years), FI is the freezing index (in °C·days), W is the width of the road, th1 is the thickness of bitumen bound layers (in mm), D900 is the deflection 900 mm away from a 50 kN load applied by FWD (in mm), and TAGE is the total age of the road (in years). As observed, several factors are introduced, and the positive and negative influence of each factor is reflected in the signs of the equation.
With the database of the Mississippi Department of Transportation, George [59] developed two IRI performance models, one for newly constructed roads, Equation (7) and another one for overlaid pavements, Equation (8).
I R I = 2.4169 + A G E 0.2533 × 1 + C E S A L 0.2575 × M S N
I R I = 3.5746 + A G E 0.7101 × 1 + C E S A L 0.6972 × M S N 0.3438 × T O P T H K 0.1313 × R E S 0.1056
where IRI is the roughness (m/km), AGE is the age of pavement, since construction or overlaid (years), CESAL is the cumulative 18-kp Equivalent Single Axle Load (ESAL) applied to the pavement (in the heavily trafficked lane) (millions), MSN is the modified structural number, TOPTHK is the thickness of the top-most overlay (mm), and RES is the resurfacing type.
At present, empirical IRI evolution models continue to be developed for road agencies around the world. In order to achieve an equilibrium between mathematical complexity and ease of implementation of a IRI progression model for network-level PMS, Dalla Rossa et al. [60] proposed model as a function of the initial IRI (post-construction or treatment) and pavement age, taking into account the effects of climate, subgradre, treatment type, pavement type, traffic loading and functional system (urban or rural road) by means of calibration coefficients for roads in Texas. Alaswadko et al. [61] presented a new approach for roughness prediction for sealed granular roads at the network level in Victoria (Australia) by means of hierarchical multilevel models that were able to account for the correlation among time series data of the same section and capture the effect of unobserved effects. Factors included as independent variables were traffic loading, initial pavement strength, Thornthwaite moisture index, expansion potential of subgrade soils and the rating of drainage systems. Similarly, Choi et al. [62] proposed a multiple linear regression for roughness evolution based on the Long Term Pavement Performance (LTPP) program, including as influencing factors the Structural Number (SN), the percent passing no. 200 sieve, the thickness of top layer, the asphalt content and the cumulative Equivalent Single Axle Load (ESAL). For roads in north-east Brazil, IRI performance models were developed as a function of ESAL, SN and precipitation [63].
On the other hand, it can be stated that pavement design, especially in North America, has shifted from an empirical approach to mechanistic-empirical (M-E) approach [64]. As a consequence of this trend, the Mechanistic-Empirical Pavement Design Guide (MEPDG) was published in 2008 [65], and updated in 2015 with a 2nd edition [66]. The MEPDG can be deployed for flexible and rigid pavements and included the most used pavement structures in North America, including transfer functions and regression equations for predicting various performance indicators [65,66]. With regard to IRI, for Hot Mix Asphalt pavement and Hot Mix Asphalt overlays of flexible pavements, Equation (9) was presented.
I R I = I R I 0 + C 1 × R D + C 2 × F C T o t a l + C 3 × T C + C 4 × S F
where IRI is the predicted IRI value (in./mi), IRI0 is the initial IRI after construction (in./mi), RD is the average rut depth (inches), FCTotal is the area of fatigue cracking (combined alligator, longitudinal, and reflection cracking in the wheel path), percent of total lane area, TC is the length of transverse cracking, including the reflection of transverse cracks in existing Hot Mix Asphalt pavements (ft/mi), C1,2,3,4 are calibration factors with a value of C1 = 40.0, C2 = 0.400; C3 = 0.008; C4 = 0.015, and SF is a site factor, calculated by Equation (10).
S F = A g e 1.5 × ln p r e c i p + 1 × F I + 1 × p 02 + ln p r e c i p + 1 × P I + 1 × p 200
where Age is the pavement age (years), PI is the percent plasticity index of the soil, FI is the average annual freezing index (°F), precip is the average annual precipitation or rainfall (inches), and p02 and p200 is the percent passing the 0.02 and 0.075 mm sieves, respectively. The MEPDG also presents the statistics resulting from the global calibration for flexible pavement and HMA overlays of flexible pavements. With 1926 points, the coefficient of determination (R2) is 0.56, and the standard error of the estimate is 18.9 in./mi (0.298 m/km).
Table 1 summarizes the group of factors that are included in each model described before.

4. Variables Introduced in the Model

As seen in Section 3, the most widely used factors for IRI predicting models are the age of the pavement (years since construction or the last M&R work), traffic volumes and those regarding the structural parameters, which include information about materials in the section and their properties. As commented in Section 2, if a pavement section is described in a project as a new outline when introducing it in the PMS of the RGB, the complete initial pavement structure is known, with a complete layer description (surface layer, base and subbase) and the exact date when the road was first in service. On the contrary, when an M&R work is conducted, if the existing structure is known, the complete M&R history of the stretch can be analyzed. Nonetheless, if the section was not previously included as initial pavement, only the surface layer is known.
Due to the importance of the materials in the pavement structure, their thickness and their properties (Table 1), it was found reasonable to only analyze pavement sections with the entire pavement structure known, i.e., when the surface layer, the base and the subbase are known, but not the subgrade.
Consequently, only sections that are completely known were included in the IRI deterioration model.
On the other hand, when introducing project data in the PMS, projects of the roads included in the preferential interest (red), basic (orange), complementary (blue), and provincial (green) network were introduced with detail, as described in Section 3. However, roads of the local network (yellow), the least important, were not analyzed so deeply due to their low traffic volume and importance for the global performance of the road network. Although the local network represents the 46.2% of the total length of the network of the RGB (Figure 1a), the mobility through that network only represented the 6.5% of the total in 2016 (Figure 1b) [67].
A deep analysis road by road was performed, selecting road stretches with a completely known pavement section and obtaining information from those stretches, since it was open to traffic until rehabilitation or maintenance works were performed. When an M&R was carried out, the analysis finished. The following affecting factors were selected as possible influencing variables to be incorporated into the deterministic model.

4.1. Age

The age of the pavement is a usual factor employed in roughness modeling, and hence, it was incorporated into the analysis in two different ways. The variable Age indicates the difference between the natural year when the road stretch was open to traffic and the year of the data collection. As these dates can vary along the year, the variable R.Age (real age) was also included. It indicates a more accurate value of the age, after considering the exact dates of opening to traffic and data collection. The real age is expressed in years with a decimal fraction, where 0.5 represents six months.

4.2. Traffic Volume

Traffic volume is normally introduced in IRI models by means of the Equivalent Single Axle Load (ESAL), which translates the damage of the different weights of the vehicles on the road to the damage caused by a standard load. In Spain, the ESAL has a weight of 13 t. Nonetheless, the number of each vehicle type that crosses each section is unknown in Biscay. Traffic data only differentiate light and heavy vehicles. With regard to traffic volumes, the following variables were introduced as possible affecting factors: The Annual Average Daily Traffic of the year of the IRI data collection (AADT) in vehicles/day; the Annual Average Daily Heavy Traffic (H.AADT) in heavy vehicles/day/lane, in the project lane; the accumulated total number of vehicles that crossed the section (TotVeh) in thousands and the accumulated total number of heavy vehicles (TotH.Veh), in thousands. For the last two variables, the exact date of opening to the traffic of the stretch and the date of the data collection were used to calculate the values.

4.3. Structural Parameters

As seen in Table 1, structural parameters are employed in IRI predictions, usually by means of the structural number or variations of it. Nevertheless, this is not a parameter used in Spain, and it is not available on the database, as no test was conducted to obtain it. Therefore, the structural capacity of a pavement section was introduced by means of the layer thickness and the used materials. The total thickness of bituminous layers, TotBit, was included as a parameter to evaluate the contribution of the bituminous layers to the resistance of the structure. In Spain, two or three bituminous layers are generally employed. However, this factor did not reflect the different characteristics of each materials, not making differences between Asphalt Concrete (AC) mixes, discontinuous mixes (BBTM 11A or BBTM 11B) and porous asphalt (PA). With the aim of reflecting the variables nature of the bituminous materials, a parameter was created, Structural Stiffness of bituminous layers, SSBit, which is calculated as the sum of the individual products of the thickness of each layer and its Young modulus, as expressed in Equation (11):
S S b i t = i = 1 n B t h i × E i
where Bthi is the thickness in cm of the I bituminous layer, Ei is the Young modulus of the i bituminous layer (Table 2), and n is the total number of bituminous layers in the section.
In order to reflect the contribution of the unbound base, a similar parameter was created, Structural Stiffness of base and subbase layers, SSbase, Equation (12),
S S s u b = i = 1 n S t h i × E i
where Sthi is the thickness in cm of the non bituminous layer i, Ei is the Young modulus of layer i (Table 2) and n’ is the total number of non bituminous layers in the section. To obtain a global idea of the stiffness of the pavement section, calculated individual contribution of bituminous and non bituminous layers are summed in an additional new parameter, Structural Stiffness total, SStot, which is calculated as:
S S t o t = S S b i t + S S s u b
Since a unique unbound material, crushed stone, is employed in base and subbase layers in Biscay, the structural contribution of the material can be measured directly with SthCS, which is the thickness of the crushed stone layer, the one that is present in flexible pavements. The thickness of the layer and its stiffness are proportional.

4.4. Other Parameters

Some IRI prediction models employed data about cracks and rutting because their presence increases the IRI values. There is some information about cracks and rutting in the database of the RGB, but it is incomplete, and hence, it cannot be introduced. With regard to climate factor, it was commented that Biscay is small and its climate is homogeneous and therefore, not differences can be seen in the roads over the territory, due to climate factors. Therefore, no climate data is included in the modeling phase. The initial IRI values of the roads are not registered in the database. The Spanish standards indicate the maximum values that can be obtained before opening the road to traffic, but these values are not in the PMS.

4.5. Average Value of a Homogeneous Stretch

When analyzing the IRI values for each individual stretch of 100 m, it was observed a very wide variance within the stretch with the same predicting values. For example, in a homogeneous 2 km-stretch with the same pavement section from the same project (the same year of construction) and the same traffic volume (both total and heavy traffic), 20 IRI values of 100 m are available, and they have a wide range of variance. Consequently, it was decided to calculate the mean IRI for each stretch with identical characteristics on pavement structure, pavement age (implying it comes from the same project) and traffic volume, from the data of the 100 sub-stretches in which the IRI values were available. The calculation of the mean value of a stretch with identical characteristics is logical and common because the deterministic models in the literature try to predict the mean IRI value derived from some predicting variables. The variance is also interesting, and it is considered as one of the most important targets of the probabilistic models, whose aim is to forecast the percentage of the stretch in each of the predetermined states. Pavements are said probabilistic in nature [36,37], and this variability with the same predicting factors certified it.

5. Results and Discussion

5.1. Multiple Linear Regression Model

After grouping the stretches with identical characteristics on pavement structure, age and traffic volume in the two-lane roads of the network of Biscay with flexible pavements, 105 stretches were available for modeling. The dependent variable is the mean IRI in these sections, and the possible predicting variables (independent) were Age, R.Age, TotBit, SSbit, SStot, SthCS, AADT, H.AADT, TotVeh and TotH.Veh. Initially, the correlation between the dependent variable and each of the dependent variables was carried out by means of the Pearson coefficient, R, indicating the significance of that correlation (Table 3).
As seen, the best correlations were obtained with Age, R.Age and TotBit. Correlations with SthCS, SSbit, SStot, TotVeh and TotH.Veh were also high. On the contrary, AADT and H.AADT showed low correlation with very low significance. In the next step, possible transformations of variables were analyzed. It was studied the curves that best fit the relationship between the dependent variable and each of the independent variables. Table 4 shows those equations (curves) that best fit the relationship. Sometimes, a quadratic or a cubic curve fit better, but if the improvement between the linear correlation and other ones in the coefficient of determination is very low (ΔR2 < 0.05) a linear model was maintained, implying that the independent variables were not transformed.
As shown, different transformations can be made for improving the correlation between each independent variable and IRI (the dependent variable). Age improves its correlation by means of a potential transformation (y = abx), but R.Age showed a better correlation by an exponential relationship (y = eax) (ExpR.Age). For TotBit, SSbit and SStot a natural logarithm transformation is suggested to improve the value of R (LnTotBit, LnSSbit and LnSStot). For AADT and H.AADT, an inverse transformation is recommended, but the value did not improve considerably. For TotVeh and TotH.Veh a quadratic transformation was applied (TotVeh2 and TotH.Veh2).
With the transformed variables, the influence of each variable in a multiple linear regression model was tested using forward stepwise regression analysis, by means of Version 24 of the SPSS Statistics software. Moreover, additional multiple linear regressions models were tested, combining different variables and their transformations. Apart from a high coefficient of determination, it was imposed that all the variables were significant (according to the individual Student’s t-test). Table 5 shows some of the analyzed models.
From the summary of tested models in Table 5, it can be observed that the variable ExpR.Age was always significant, a better correlation was obtained with LnTotBit than with LnSStot o LnSSbit and the cumulated number of heavy vehicles and total vehicles that crossed the section, since it was opened until the moment of the IRI data collection was also significant if introduced with the quadratic transformation (TotVeh2 and TotH.Veh2). The best two models were the last ones. The last one employed the cumulated number of heavy vehicles with a coefficient of determination of 0.437 (R2 = 0.437) and the one before the last one used as the variable for the traffic the cumulated number of vehicles of any type, with a better coefficient of determination (R2 = 0.472). Traditionally, deterministic IRI performance models include the accumulated heavy traffic as a variable for increasing the roughness as heavy vehicles are said to be responsible for pavement damaging, due to its higher weight, implying a greater load over the pavement. As a consequence, the parameter ESAL is usually deployed. From the meaning of the ESAL [13], it can be deduced that the passenger cars (light vehicles) do not imply great damages on the road, as the effect of heavy vehicles is similar to one produced by thousands of passenger cars.
The explanation of the better correlation between IRI and the total vehicles (and not only total heavy vehicles) may be the high correlation between all these variables (TotVeh and TotH.Veh and their quadratic transformation) (Table 6), which made that they can substitute each other in the models, but, as seen in Table 5, if both were included, at least one of them became insignificant (7th proposed model in Table 5). This high correlation between the variables was originated because the percentage of heavy vehicles in all the analyzed roads, two-lane roads, was similar, and can be stated to be between 5% and 8% of the total traffic in the majority of the roads.
Consequently, although the equation with the accumulated number of total vehicles provided a better correlation, the one with the accumulated number of heavy vehicles was selected for predicting IRI evolution, shown in Equation (14),
I R I = 5.353 + 0.68 × e 0.026 R . A g e 1.411 × L n T o t B i t + 7.941 × 10 8 × T o t H . V e h 2
where IRI is the predicted mean IRI (m/km) value of the stretch with identical variable values of age, traffic and thickness of bituminous layers in flexible pavements
R.Age is the real age of the pavement, calculated from the exact data of opening to traffic to traffic until the moment it is wanted, in decimal fraction, where 0.5 means six months.
TotBit is the total thickness of the bituminous layers in the flexible pavement, in cm.
TotH.Veh is the accumulated heavy vehicles that circulated I the period considered through the project lane (the lane with a greater quantity of heavy vehicles in the section), since it was opened to traffic to the moment wanted to be calculated, in thousands of heavy vehicles. Usually, both directions are supposed to have identical heavy traffic, half of the total.
Table 7, Table 8 and Table 9 and Figure 2 show the complete statistical analysis of the model.
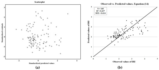
The hypothesis of multiple linear regression models, commented in Section 3.1, were fulfilled. As observed in Table 7, the F-test provided a p-value < 0.001, which implied that the proposed relationship is true and the Student’s t-test of the coefficients of the parameters showed that they were significant and different from 0 (the 95% confidence intervals for parameters do not include the zero). The Durbin-Watson statistics was 1.448, verifying the independence of errors and that there is no autocorrelation. The homoscedasticity was verified in Figure 2a, where no patterns were detected. One Condition Index was over 30 (Table 9), which could show some problems with multicollinearity. Nevertheless, there was no significant correlation between the variables which explain the model (Age and TotH.Veh could be related, but they only had a medium Pearson coefficient, R = −0.557) and the Variance Inflation Factors were low (VIF < 10) for all the variables. Therefore, it can be stated that there was no multicollinearity. Residuals followed a normal distribution. Finally, Figure 2b shows the plot of observed values vs. predicted values, showing that the observations were near the diagonal.
As it can be observed, selected variables showed the real effect on IRI progress. Whereas, age and accumulated heavy vehicles increased the value of the roughness index, the thickness of bituminous layers decreased it. With regard to the age of the pavement, it was concluded that it was better to include a variable indicating the exact age of the pavement, not only the difference between the year of construction and year of the IRI data collection. Moreover, as it can be regarded in the literature, Annual Average Daily Traffic (AADT) and Annual Average Daily Heavy Traffic of the year of data collection were not parameters employed in IRI prediction because the accumulated number of heavy vehicles was the factor that really influences the road deterioration. Furthermore, when comparing the thickness of bituminous layers (TotBit), SSbit and SStot, it was observed that TotBit provided a better model. It can be deduced that, although the crushed stone in the unbound base or subbase contributed to the structural capacity, it was not as important as the contribution of the bituminous layers, which can be regarded when comparing the Young modulus of the materials (Table 2). However, SSbit, which was created to indicate the structural capacity of the bituminous layers better, did not provide a better correlation with the IRI (Table 3 and Table 4), and when introduced in the model, it developed a worse model than TotBit (Table 5). It can be concluded that the Young modulus was not a vital factor when trying to measure the structural contribution of each layer to the entire pavement structure. Other parameters should be chosen to consider the structural capacity, in a similar way to the Structural Number and its derivations.

5.2. Generalized Linear Model with a Qualitative Variable

Although the effect of the thickness of the bituminous layers was included in Equation (14), the influence of the employed bituminous materials was not considered, because SSbit was discarded. Nonetheless, it seemed reasonable to think that different bituminous materials in the surface layer also influence IRI progression. Cracking and permanent deformation (rutting) is said to be the main distress in asphalt concrete layers [7], and they affect directly the roughness [57,65,66]. However, other pavement defects can appear, such as raveling, potholes, coating failure, stripping, which are not normally measured at the network level, but affect pavement roughness. Consequently, an additional qualitative variable was introduced in the model to evaluate the effect of the different bituminous surface materials in the IRI evolution. The variable was called SurfType. Due to the quantity of each material in the surface layer: Eighty-two stretches with a semi dense asphalt concrete mix of type AC 16 surf S and 8 with a semi dense AC mix of type of AC 22 surf S, 14 stretches with a discontinuous mixing (BBTM 11A) or 1 section with porous Asphalt (PA 11), it was decided to establish the categories indicated in Table 10.
As a qualitative variable was introduced, it was not possible to develop a multiple linear regression. In this case, a Generalized Linear Model (GLM) was employed. The GLM is the most general model of linear regression, including the multiple linear regression model with quantitative variables and the multiple regression models with qualitative and quantitative models at the same time, and hence, it includes all the models of analysis of variance (ANOVA) and covariance (ANCOVA) [53]. This type of models can be developed with the majority of statistical software programs.
Several models were tried by combining the available variables Age, R.Age, TotBit, SSbit, SStot, SthCS, AADT, H.AADT, TotVeh and TotH.Veh and the qualitative variable, SurfType. The aim was to only introduce variables that were significant, i.e., variables that really affect IRI progression. After multiple attempts, the model with the highest coefficient of determination (R2) and all the variables significant is shown in Equation (15).
I R I = 4.273 + 0.714 e 0.026 R . A g e 1.143 L n T o t B i t + 9.534 10 8 T o t H . V e h 2 + S u r f T y p e
where IRI, LnTotBit, TotH.Veh and R.Age are defined in Equation (14), and SurfType is a variable that considers the material of the bituminous surface layer and has the values of Table 11:
Statistical analysis of the model of Equation (15) is shown in Table 12 and Table 13 and Figure 3. As seen, the model improved its prediction, with a coefficient of determination, R2 = 0.482, higher than the previous model, and with a lower standard estimated error (SEE = 0.583).
Table 12 shows the test of Between-Subjects effect of the model of Equation (15), where it can be observed that all the variables were significant (p-value < 0.03). Table 13 presents the estimations of the parameters (coefficients) of the variables included in the model. The plot of residuals of Figure 3a allows observing that they were random and independent between them. As the plot of predicted values vs. standardized residuals was random (there are not any patterns), the residuals were independent. The residual variances were homogeneous, since the dispersion of the standardized residuals was similar among all the values of predicted values. Finally, Figure 3b exhibits the plot of observed values vs. predicted values, showing that the observations were near the main diagonal.
A similar model with SurfType and TotVeh instead of TotH.Veh was tested, providing a slightly worse model with a coefficient of determination of 0.481. Therefore, both variables contributed almost similarly in the model, due to their significant correlation between them, because roads with a similar percentage of heavy traffic were used for the model. Nevertheless, in this case, the cumulated heavy traffic gave a better model and it was maintained in the model.
As seen, the material used in the surface layer also influences the IRI evolution, and should be considered in the model. The coefficient of determination (R2) was improved, from 0.437 to 0.482. Moreover, the obtained coefficient of determination was similar to one of the models presented in Table 1, around 0.50, which employed more variables. It was demonstrated that, apart from the structural capacity of the entire pavement section to resist the traffic loads and meteorological agents, the wearing course material also affects the roughness progress, and therefore, characteristics like aggregate gradation (dense, semi dense, discontinuous and porous mixes), coating binder (modified or not) must be taken into account in IRI models. In the analyzed case of Biscay, when comparing the influence of employed materials in two-lane roads, the discontinuous mixings (BBTM type) and porous asphalts showed less deterioration than AC 16 S mixing. Despite the voids that can be found in discontinuous mixings (between 10% and 20% of the volume) and in porous asphalts (>20% of the volume), it can be deduced that the modified bitumen provided the necessary stiffness to the mixing. However, maintaining constant the other variables, the AC 22 S exhibited a better evolution. Nevertheless, these conclusions about which is the better material for the surface layer cannot be generalized for other areas, and they are limited to the province of Biscay.
To better show how to use the equation, an example is included. The IRI values were predicted for a flexible pavement of a two-lane road, with 15 cm of bituminous layers, AC 16 surf S in the surface layer and an Annual Average Daily Heavy Traffic of 400 heavy vehicles/day in the project lane, with an increasing rate of 1% each year. The IRI values were predicted for a real age of 5, 10 and 15 years and are shown in Table 14. The practical limit for IRI calculation is around an IRI value of 4 m/km, which is the maximum value recorded in the network of Biscay. Before that value, an M&R activity is usually conducted.

6. Conclusions

Taking advantage of the detailed information about the road network of Biscay recorded in the pavement management system of the Regional Government of Biscay, it was developed a deterministic IRI performance model for two-lane roads with flexible pavements, since roads are opened to traffic until they are maintained or rehabilitated for the first time. Some conclusions can be drawn:
  • A deterministic model is preferable when a large amount of data is available in a complete database, and the contribution of each factor is wanted to be known;
  • Age is a vital factor in IRI progression, and this value must be introduced in the model as precise as possible. It is preferred a variable that indicates the real age of the pavement, since it was opened to traffic until the IRI data collection. It can be said that the age indicates the effect of the environmental agents over the pavement;
  • In small regions with homogeneous climate, it was decided not to include any environmental factor, since their values are very similar from one subarea to another one. Climate factors were integrated into the variable that considers the age;
  • With regard to traffic volume data, the Annual Average Daily Traffic and Annual Average Daily Heavy Traffic are not affecting variables. As shown in the literature, the key factor is the cumulated heavy traffic crossing the section, although in the first model, a better correlation was obtained with the cumulated total traffic. The reason was that both variables, cumulated total traffic and cumulated heavy traffic, were very correlated because the model was developed for two-lane roads with a similar percentage of heavy traffic, between 5% and 8%. However, when introducing the material in the surface layer as a factor, TotH.Veh gave a slightly better model;
  • The structural capacity of the pavement section is an essential variable in any IRI model, and it is regarded as an unevenness reducing factor. Due to the great difference in structural capacity between bituminous layers and crushed stone (the base material in flexible pavements), the thickness of the unbound layer is not an affecting factor. It was introduced the total thickness of the bituminous layers (TotBit) as the structural factor because it had a better correlation with IRI. Some variables, including the Young modulus of each material were produced but they were discarded as they do not improve the correlation of TotBit. The Young modulus seemed not to the relevant value to be introduced to reflect the structural contribution of each section;
  • The material employed in the surface layer is also an important variable. By means of statistical significance, it was proved that different materials contribute differently to IRI progression, due to employed aggregate gradations, asphalt binders (modified or not);
  • Obtained accuracy, reflected in the coefficient of determination, is similar to the other deterministic models, but employs fewer variables.

Author Contributions

All the authors have contributed to this work similarly. All authors have read and agreed to the published version of the manuscript.

Funding

This research received no external funding.

Acknowledgments

This research was carried out by means of the agreement between the Mechanical Engineering Department of the University of the Basque Country and the Department of Transport and Public Works of the Regional Government of Biscay which allowed the first author to handle and analyze data of the database of the pavement management system of the RGB to develop pavement performance models.

Conflicts of Interest

The authors declare no conflict of interest.

References

  1. Deng, Y.J.; Yang, Q. Rapid evaluation of a transverse crack on a semi´-rigid pavement urilising deflection basin data. Road Mater. Pavement Des. 2019, 20, 929–942. [Google Scholar] [CrossRef]
  2. Linares-Unamunzaga, A.; Gonzalo-Orden, H.; Minguela, J.; Pérez-Acebo, H. New Procedure for Compacting Prismatic Specimens of Cement-Treated Base Materials. Appl. Sci. 2018, 8, 970. [Google Scholar] [CrossRef]
  3. Fedrigo, W.; Visser, A.T.; Steyn, W.J.; Nunez, W.P. Flexural behavior of lightly cement stabilized materials: South Africa and Brazil. Road Mater. Pavement Des. 2019, 1–26. [Google Scholar] [CrossRef]
  4. Linares-Unamunzaga, A.; Pérez-Acebo, H.; Rojo, M.; Gonzalo-Orden, H. Flexural Strength Prediction Models for Soil-Cement from Unconfined Compressive Strength at Seven Days. Materials 2019, 12, 387. [Google Scholar] [CrossRef] [PubMed]
  5. Ismail, A.; Baghini, M.S.; Karim, M.R.; Shokri, F.; Al-Mansob, R.A.; Firoozi, A.A.; Firoozi, A.A. Laboratory investigation on the strength characteristics of cement-treated base. Appl. Mech. Mater. 2014, 507, 353–360. [Google Scholar] [CrossRef]
  6. AASHTO. Guide for Mechanistic-Empirical Design of New and Rehabilitated Pavement Structures; NCHRP 1-37A; American Association of State Highway and Transportation Officials (AASHTO): Washington, DC, USA, 2004. [Google Scholar]
  7. Kim, Y.R. Modeling of Asphalt Concrete, 1st ed.; McGraw-Hill: New York, NY, USA, 2009. [Google Scholar]
  8. Olabemiwo, O.M.; Esan, A.O.; Bakare, H.O.; Agunbiade, F.O. Polymer modified-natural bitumen thermal aging resistance studies. Int. J. Pavement Eng. 2019, 20, 1207–1215. [Google Scholar] [CrossRef]
  9. Salas, M.A.; Pérez-Acebo, H. Introduction of recycled polyurethane foam in mastic asphalt. Gradevinar 2018, 70, 403–412. [Google Scholar] [CrossRef]
  10. Ghabchi, R.; Rani, S.; Zaman, M.; Ali, S.A. Effect of WMA additive on properties of PPA-modified asphalt binders containing anti-stripping agent. Int. J. Pavement Eng. 2019, 1–14. [Google Scholar] [CrossRef]
  11. Salas, M.A.; Pérez-Acebo, H.; Calderón, V.; Gonzalo-Orden, H. Bitumen modified with recycled polyurethane foam for employment in hot mix asphalt. Ing. Investig. 2018, 38, 60–66. [Google Scholar] [CrossRef]
  12. Ganjei, M.A.; Aflaki, E. Application of nano-silica and styrene-butadiene-styrene to improve asphalt mixture self healing. Int. J. Pavement Eng. 2019, 20, 89–99. [Google Scholar] [CrossRef]
  13. AASHTO. AASHTO Guide for Design of Pavement Structures; American Association of State Highway and Transportation Officials (AASHTO): Washington, DC, USA, 1993. [Google Scholar]
  14. Pérez-Acebo, H.; Mindra, N.; Railean, A.; Rojí, E. Rigid pavement performance models by means of Markov Chains with half-year step time. Int. J. Pavement Eng. 2019, 20, 830–843. [Google Scholar] [CrossRef]
  15. AASHTO. Pavement Management Guide, 2nd ed.; American Association of State Highway and Transportation Officials (AASHTO): Washington, DC, USA, 2012. [Google Scholar]
  16. Kirbas, U. IRI Sensitivity to the Influence of Surface Distress on Flexible Pavements. Coatings 2018, 8, 271. [Google Scholar] [CrossRef]
  17. Pérez-Acebo, H.; Gonzalo-Orden, H.; Rojí, E. Skid resistance prediction for new two-lane roads. Proc. Inst. Civ. Eng. Transp. 2019, 172, 264–273. [Google Scholar] [CrossRef]
  18. Loprencipe, G.; Zoccali, P.; Cantisani, G. Effects of Vehicular Speed on the Assessment of Pavement Road Roughness. Appl. Sci. 2019, 9, 1783. [Google Scholar] [CrossRef]
  19. Sayers, M.W.; Gillespie, T.D.; Queiroz, C. International Experiment to Establish Correlations and Standard Calibration Methods for Road Roughness Measurement; Technical Paper Number 45; The World Bank: Washington, DC, USA, 1986. [Google Scholar]
  20. Sayers, M.W.; Gillespie, T.D.; Paterson, W.D. Guidelines for Conducting and Calibrating Road Roughness Measurements; Technical Paper Number 46; The World Bank: Washington, DC, USA, 1986. [Google Scholar]
  21. Sayers, M.W. On the calculation of International Roughness Index from longitudinal road profile. Transp. Res. Rec. 1995, 1501, 1–12. [Google Scholar]
  22. Loprencipe, G.; Zoccali, P. Ride Quality Due to Road Surface Irregularities: Comparison of Different Methods Applied on a Set of Real Road Profiles. Coatings 2017, 7, 59. [Google Scholar] [CrossRef]
  23. Ro, J.H.; Park, S.S.; Song, H.K. An Interference Cancellation Scheme for High Reliability Based on MIMO Systems. Appl. Sci. 2018, 8, 466. [Google Scholar] [CrossRef]
  24. Pérez-Acebo, H.; Bejan, S.; Gonzalo-Orden, H. Transition probability matrices for flexible pavement deterioration models with half-year cycle time. Int. J. Civ. Eng. 2018, 16, 1045–1056. [Google Scholar] [CrossRef]
  25. Nguyen, H.L.; Pham, B.T.; Son, L.H.; Thang, N.T.; Ly, H.B.; Le, T.T.; Ho, L.S.; Le, T.H.; Bui, D.T. Adaptive Network Based Fuzzy Inference System with Meta-Heuristic Optimizations for International Roughness Index Prediction. Appl. Sci. 2019, 9, 4715. [Google Scholar] [CrossRef]
  26. Zeiada, W.; Hamad, K.; Omar, M.; Underwood, B.S.; Khalil, M.A.; Karzad, A.S. Investigation and modelling of asphalt pavement performance in cold regions. Int. J. Pavement Eng. 2019, 20, 986–997. [Google Scholar] [CrossRef]
  27. Haslett, K.E.; Dave, E.V.; Mo, W. Realistic Traffic Condition Informed Life Cycle Assessment: Interstate 495 Maintenance and Rehabilitation Case Study. Sustainability 2019, 11, 3245. [Google Scholar] [CrossRef]
  28. Marcelino, P.; Antunes, M.L.; Fortunato, E.; Gomes, M.C. Machine learning approach for pavement performance prediction. Int. J. Pavement Eng. 2019, 1–14. [Google Scholar] [CrossRef]
  29. De Ministerio, F. FOM/3640/2003, de 28 de Noviembre, Por la Que se Aprueba la Norma 6.1-IC «Secciones de Firme», de la Instrucción de Carreteras; Ministerio de Fomento: Madrid, Spain, 2003.
  30. Hudson, W.R.; Haas, R.; Pedigo, R.D. Pavement Management System Development; National Cooperative Highway Research Program Report 2015, Highway Research Record 407; Transportation Research Board, National Research Council: Washington, DC, USA, 1979. [Google Scholar]
  31. Uddin, W. Pavement management systems. In The Handbook of Highway Engineering; Fwa, T.F., Ed.; Taylor & Francis: Boca Raton, FL, USA, 2006. [Google Scholar]
  32. Li, N.; Haas, R.; Xie, W.C. Development of a new asphalt pavement performance prediction model. Can. J. Civ. Eng. 1997, 24, 547–559. [Google Scholar] [CrossRef]
  33. Ortiz-García, J.J.; Costello, S.B.; Snaith, M.S. Derivation of transition probability matrices for pavement deterioration modeling. J. Transp. Eng. 2006, 132, 141–161. [Google Scholar] [CrossRef]
  34. Abaza, K.A. Back-calculation of transition probabilities for Markovian-based pavement performance prediction models. Int. J. Pavement Eng. 2016, 17, 253–264. [Google Scholar] [CrossRef]
  35. Abaza, K.A. Empirical-Markovian model for predicting the overlay design thickness for asphalt concrete pavement. Road Mater. Pavement Des. 2018, 19, 1617–1635. [Google Scholar] [CrossRef]
  36. Golroo, A.; Tighe, S. Use of soft computing applications to model pervious concrete pavement condition in cold climates. J. Transp. Eng. 2009, 135, 791–800. [Google Scholar] [CrossRef]
  37. Thomas, O.; Sobanjo, J. Comparison of Markov chain and Semi-Markov models for crack deterioration on flexible pavements. J. Infrastruct. Syst. 2013, 19, 186–195. [Google Scholar] [CrossRef]
  38. Lethanh, N.; Kaito, K.; Kobayashi, K. Infrastructure deterioration prediction with a Poisson hidden Markov model on time series data. J. Infrastruct. Syst. 2015, 21, 1–10. [Google Scholar] [CrossRef]
  39. Mohammadi, A.; Amador-Jiménez, L.E.; Elsaid, D. Simplified Pavement Performance Modeling with Only Two-Series Observations: A Case Study of Montreal Island. J. Transp. Eng. Part B Pavements 2019, 145, 05019004. [Google Scholar] [CrossRef]
  40. Osorio-Lird, A.; Chamorro, A.; Videla, C.; Tighe, S.; Torres-Machi, C. Application of Markov chains and Monte Carlo simulations for developing pavement performance models for urban network management. Struct. Infrastruct. Eng. 2018, 14, 1169–1181. [Google Scholar] [CrossRef]
  41. Soncim, S.P.; de Olivera, I.C.S.; Santos, F.B.; Oliveria, C.A.D. Development of probabilistic models for predicting roughness in asphalt pavement. Road Mater. Pavement Des. 2018, 19, 1448–1457. [Google Scholar] [CrossRef]
  42. Tarawneh, D.; Nazzal, M.D. Optimization of resilient modulus prediction from FWD results using artificial neural network. Period. Polytech. Civ. Eng. 2014, 58, 143–154. [Google Scholar] [CrossRef]
  43. Sollazo, G.; Fwa, T.F.; Bosurgi, G. An ANN model to correlate roughness and structural performance in asphalt pavements. Constr. Build. Mater. 2017, 134, 684–693. [Google Scholar] [CrossRef]
  44. Abdelaziz, N.; Abd El-Hakim, R.T.; El-Badawy, S.M.; Afify, H.A. International Roughness Index prediction model for flexible pavement. Int. J. Pavement Eng. 2020, 21, 88–99. [Google Scholar] [CrossRef]
  45. Hassan, R.; Lin, O.; Thananjeyan, A. A comparison between three approaches for modelling deterioration of five pavement surfaces. Int. J. Pavement Eng. 2017, 18, 26–35. [Google Scholar] [CrossRef]
  46. Arambula, E.; George, R.; Xiong, W.X.; Hall, G. Development and validation of pavement performance models for the state of Maryland. Transp. Res. Rec. 2011, 2225, 25–31. [Google Scholar] [CrossRef]
  47. Dong, Q.; Huang, B.S.; Richards, S.H. Calibration and application of treatment performance models in a pavement management system in Tennessee. J. Transp. Eng. 2015, 141, 04014076. [Google Scholar] [CrossRef]
  48. Amador-Jiménez, L.E.; Mrawira, D. Reliability-based initial pavement performance deterioration modelling. Int. J. Pavement Eng. 2011, 12, 177–186. [Google Scholar] [CrossRef]
  49. Lunn, D.J.; Thomas, A.; Best, N.; Spiegelhalter, D. WinBUGS—A Bayesian modelling framework: Concepts, structure, and extensibility. Stat. Comput. 2000, 10, 325–337. [Google Scholar] [CrossRef]
  50. Chamorro, A.; Tighe, S.L. Optimized maintenance standards for unpaved road network based on cost-effectiveness analysis. Transp. Res. Rec. 2015, 2473, 56–65. [Google Scholar] [CrossRef]
  51. Flintsch, G.W.; Chen, C. Soft computing applications in infrastructure management. J. Infrastruct. Syst. 2004, 10, 157–166. [Google Scholar] [CrossRef]
  52. Montgomery, D.C.; Peck, E.A.; Vining, G.G. Introduction to Linear Regression Analysis, 5th ed.; John Wiley & Sons: Hoboken, NJ, USA, 2012. [Google Scholar]
  53. Pérez López, C. Técnicas Estadísticas Predictivas Con IBM SPSS; Ibergaceta Publicaciones, S.L.: Madrid, Spain, 2014. [Google Scholar]
  54. Romera, J.M.; Pérez-Acebo, H. A new method for locating Roman transport infrastructure. J. Cult. Herit. 2019. [Google Scholar] [CrossRef]
  55. Watanatada, T.; Harral, C.G.; Paterson, W.D.O.; Dhareshwar, A.M.; Bhandari, A.; Tsunokawa, K. The Highway Design and Maintenance Standards Model Volume 1: Description of the HDM-III Model; John Hopkins University Press: Baltimore, MD, USA, 1987. [Google Scholar]
  56. Morosiuk, G.; Riley, M.J.; Odoki, J.B. HDM-4 Highway Development Management. Volume 6. Modelling Road Deterioration and Works Effect. Version 2.0.; The World Bank Publications: Washington, DC, USA, 2004. [Google Scholar]
  57. Paterson, W.D.O. Road Deterioration and Maintenance Effects: Models for Planning and Management; John Hopkins University Press: Baltimore, MD, USA, 1987. [Google Scholar]
  58. European Commission. COST 324. Long Term Performance of Road Pavements—Final Report of the Action; Office for Official Publications of the European Communities: Luxembourg, 1997. [Google Scholar]
  59. George, K.P. MDOT Pavement Management System: Prediction Models and Feedback Systems; Report Number FHWA/MS-DOT-RD-00-119; Mississippi Department of Transportation: Jackson, MS, USA, 2000. [Google Scholar]
  60. Dalla Rosa, F.; Liu, L.T.; Gharaibeh, N.G. IRI Prediction Model for Use in Network-Level Pavement Management Systems. J. Transp. Eng. Part B Pavements 2017, 143, 04017001. [Google Scholar] [CrossRef]
  61. Alaswadko, N.; Hassan, R.; Meyer, D.; Mohammed, B. Modelling roughness progression of sealed granular pavements: A new approach. Int. J. Pavement Eng. 2019, 20, 222–232. [Google Scholar] [CrossRef]
  62. Choi, J.H.; Adams, T.M.; Bahia, H.U. Pavement Roughness Modeling Using Back-Propagation Neural Networks. Comput. Aided Civ. Infrastruct. Eng. 2004, 19, 295–303. [Google Scholar] [CrossRef]
  63. Albuquerque, F.S.; Nunez, W.P. Development of Roughness Prediction Models for Low-Volume Road Networks in Northeast Brazil. Transp. Res. Rec. 2011, 2205, 198–205. [Google Scholar] [CrossRef]
  64. Pérez-Acebo, H.; Linares-Unamunzaga, A.; Abejón, R.; Rojí, E. Research Trends in Pavement Managament during the First Years of the 21st Century: A Bibliometric analysis during the 2000–2013 Period. Appl. Sci. 2018, 8, 1041. [Google Scholar] [CrossRef]
  65. AASHTO. Mechanistic-Empirical Pavement Design Guide: A Manual of Practice; American Association of State Highway and Transportation Officials (AASHTO): Washington, DC, USA, 2008. [Google Scholar]
  66. AASHTO. Mechanistic-Empirical Pavement Design Guide: A Manual of Practice, 2nd ed.; American Association of State Highway and Transportation Officials (AASHTO): Washington, DC, USA, 2015. [Google Scholar]
  67. Diputación Foral de Bizkaia. Evolución del Tráfico en Las Carreteras de Bizkaia—Trafikoaren Bilakaera Bizkaiko Errepideetan 2016; Departamento de Desarrollo Económico y Territorial: Bilbao, Spain, 2017. [Google Scholar]
Figure 1. (a) Length of each road network level managed by the RGB in 2016; (b) Mobility in each road network level managed by the RGB in 2016.
Figure 1. (a) Length of each road network level managed by the RGB in 2016; (b) Mobility in each road network level managed by the RGB in 2016.
Coatings 10 00097 g001
Figure 2. Analysis in Equation (14). (a) Scatter plot of the standardized predicted values vs. standardized residuals; (b) Observed values vs. Predicted values.
Figure 2. Analysis in Equation (14). (a) Scatter plot of the standardized predicted values vs. standardized residuals; (b) Observed values vs. Predicted values.
Coatings 10 00097 g002
Figure 3. Statistical analysis of model of Equation (15). (a) Plot of residuals (standardized), observed and predicted values; (b) Observed vs. predicted values.
Figure 3. Statistical analysis of model of Equation (15). (a) Plot of residuals (standardized), observed and predicted values; (b) Observed vs. predicted values.
Coatings 10 00097 g003
Table 1. Summary of independent variables considered in IRI models.
Table 1. Summary of independent variables considered in IRI models.
ModelAgeInitial IRIDistressClimateSoil ParametersTrafficStructural ParametersOther ParametersGoodness of Fit
HDM-III [55]YesYesRt, Ph, Cr 1Yes-YesSNCK 1-
HDM-IV [56]YesYesRt, Ph, Cr 1Yes-YesSNP 1-
Finland [58] Yes
Hungary [58]Yes Yes
Sweden [58]Yes Yes D900 1, th1 1
MDOT new pav [59]Yes YesMSN 1 N = 690,
R2 = 0.35
MDOT overlaid [59]Yes YesMSN 1, thickness N = 4109,
R2 = 0.48
Texas [60]YesYes YesYesYesTr, pav 1Functionality
Australia [61]Yes YesYesSNC0 1DrainageR2 = 0.60
LTTP [62] P200 1YesSN, AC, thic 1 R2 = 0.71
Brazil [63] Yes YesSN 1 N = 18–27; R2 = 0.94−0.87
MEPDG [65,66]YesYesRt, FatCr, LnCr 1Precipitation, FI 1Yes Material characteristics N = 2439;
R2= 0.57
1 Rt, Rutting; Ph, potholes; Cr, cracking; SNCK, modified structural number, reduced for the effect of cracking; SNP, adjusted structural number; D900, deflection 900 mm away from a 50 kN load applied by FWD; th1, thickness of bitumen bound layers; MSN, modified structural number; Tr, treatment type; Pav, pavement type; SNC0, modified structural number; P200, percent passing no. 200 sieve; SN, structural number; AC, asphalt content; thi, thickness of top layer; FatCr, fatigue cracking; LnCr; longitudinal cracking; FI, Freezing Index.
Table 2. Values of the Young modulus for different bituminous materials.
Table 2. Values of the Young modulus for different bituminous materials.
MaterialYoung Modulus (mPa)
Asphalt concrete mixes: Dense (D) and semi-dense (S)6000
Asphalt concrete (AC) mixes: (G type)5000
Discontinuous mixes (BBTM A and B) and Porous Asphalt (PA)4000
Crushed stone250 1
1 This value is approximate.
Table 3. Correlation between IRI and the independent variables (Pearson coefficient, R).
Table 3. Correlation between IRI and the independent variables (Pearson coefficient, R).
Independent VariablesCorrelation with IRI (R)Signification of the Correlation (Bilateral)
Age0.509<0.001
R.Age0.512<0.001
TotBit−0.531<0.001
SthCS0.3190.001
SSbit−0.475<0.001
SStot−0.448<0.001
AADT−0.0240.810
H.AADT−0.0550.574
TotVeh0.380<0.001
TotH.Veh0.3080.001
Table 4. Equations that best fit each independent variables individually with the dependent variable.
Table 4. Equations that best fit each independent variables individually with the dependent variable.
Indep. VariableEquation TypeR2Resume of the ModelParameter Estimates
FSig.DF1DF2InterceptB1B2
AgePotential0.27739.494<0.00111031.7780.026
R.AgeExponential0.28040.019<0.00111031.780.026
TotBitLogarithm0.30445.022<0.00111037.153−1.702
SthCSLinear0.10111.6340.00111031.6150.031
SSbitLogarithm0.25735.653<0.001110321.744−1.696
SStotLogarithm0.22529.842<0.001110322.038−1.711
AADTInverse0.0798.8910.00411032.231527.196
H.AADTInverse0.0889.9970.00211032.2317.713
TotVehQuadratic0.22815.072<0.00121022.364−1.43 × 10−54.71 × 10−10
TotH.VehQuadratic0.14778.816<0.00121022.354 2.05 × 10−7
Table 5. Some of the analyzed multiple linear regression models for IRI performance.
Table 5. Some of the analyzed multiple linear regression models for IRI performance.
Proposed ModelR2Comments and Observations
IRI = Int + ExpRAge + LnSStot + TotVeh20.410All variables significant (p < 0.05). CI = 145
IRI = Int + ExpRAge + LnSStot + TotH.Veh20.394All variables significant (p < 0.05). CI = 148
IRI = Int + ExpRAge + LnSSbit + TotH.Veh20.405All variables significant (p < 0.03). CI = 138
IRI = Int + ExpRAge + LnSSbit + TotVeh20.415All variables significant (p < 0.05). CI = 135
IRI = Int + ExpRAge + LnTotBit+ TotVeh0.411Medium significance of TotVeh (p = 0.18)
IRI = Int + ExpRAge + LnTotBit + TotH.Veh0.416Medium significance of TotH.Veh (p = 0.1)
IRI = Int + ExpRAge + LnTotBit + TotH.Veh2+TotH.Veh0.448Medium significance of TotH.Veh (p = 0.15)
IRI = Int + ExpRAge + LnTotBit + TotVeh2 + TotH.Veh20.442No significance of TotH.Veh2 (p = 0.741)
IRI=Int + ExpR.Age + LnTotBit + TotVeh2+TotVeh0.472All variables are significant (p < 0.05)
IRI = Int + ExpRAge + LnTotBit + TotH.Veh20.437All variables are significant (p < 0.05)
Int, Intercept. CI, Condition Index.
Table 6. Correlation between the variables related to accumulated traffic (Pearson coefficient, R).
Table 6. Correlation between the variables related to accumulated traffic (Pearson coefficient, R).
TotVehTotH.VehTotVeh2TotH.Veh2
TotVeh10.9250.8570.923
TotH.Veh0.92510.9240.843
TotVeh20.8570.92410.910
TotH.Veh20.9230.8430.9101
Table 7. Analysis of the Variance of the model of Equation (14).
Table 7. Analysis of the Variance of the model of Equation (14).
SourceSum of SquaresDegrees of FreedomMean SquaresF Valuep-ValueDurbin-WatsonRoot Mean Square ErrorR
Model29.50939.83626.114<0.0011.4480.61370.661
Error38.0431010.377 R2Adj. R2
Corrected total67.552104 0.4370.420
Parameter EstimatesColinearity Statistics
VariableParameter EstimateStandard ErrortValuep-Value95% Confidence LimitsToleranceVIF
Intercept5.3530.9685.531<0.0013.4337.272
ExpR.Age0.6800.3382.0110.0470.0091.3500.5841.714
LnTotBit−1.4110.254−5.544<0.001−1.916−0.9060.8201.219
TotH.Veh27.941 × 10−80.0312.5680.0121.8 × 10−81.4 × 10−70.6851.459
Table 8. Coefficient of correlation, R, between the independent variables of the model of Equation (14).
Table 8. Coefficient of correlation, R, between the independent variables of the model of Equation (14).
TotH.Veh2LnTotBitExpR.Age
CorrelationsTotH.Veh21−0.177−0.557
LnTotBit−0.17710.419
ExpR.Age−0.5570.4191
CovariancesTotH.Veh20.001−0.001−0.003
LnTotBit−0.0010.0650.02
ExpR.Age−0.0030.020.036
Table 9. Colinearity diagnosis of Equation (14).
Table 9. Colinearity diagnosis of Equation (14).
DimensionEigenvalueCorrelation IndexInterceptProportions of the Variance
TotH.Veh2LnTotBitExpR.Age
13.2910000.02
20.6862.190000.67
30.02212.31200.510.110.20
40.00236.84210.490.890.11
Table 10. Considered material categories for variable SurfType.
Table 10. Considered material categories for variable SurfType.
SurfTypeSurface Material
1AC 16 surf S (semi dense AC with a maximum aggregate size of 16 mm)
2AC 22 surf S (semi dense AC with a maximum aggregate size of 22 mm)
3Discontinuous mixing (BBTM 11A) and Porous Asphalt (PA 11)
Table 11. Values of the variable SurfType in Equation (15).
Table 11. Values of the variable SurfType in Equation (15).
Surface MaterialSurfType
AC 16 surf S0.366
AC 22 surf S−0.205
Discontinuous mixing (BBTM 11A) and Porous Asphalt (PA 11)0
Table 12. Test of Between-Subjects effects for the model of Equation (15).
Table 12. Test of Between-Subjects effects for the model of Equation (15).
OriginType III Sum of SquaresDegree of FreedomMean SquareFSig.Partial eta-SquaredNon Centrality ParameterObserved Power
Corrected model 132.55156.51018.415<0.0010.48292.0741.000
Intercept6.19116.19117.510<0.0010.15017.5100.986
ExpR.Age1.62511.6254.5960.0340.0444.5960.565
LnTotBit6.22516.22517.608<0.0010.15117.6080.986
TotH.Veh23.20813.2089.0740.0030.0849.0740.847
SurfType3.04321.5214.3040.0160.0808.6070.737
Error35.000990.354
Total678.111105
Corrected total67.552104
1R2 = 0.482. (adjusted R2 = 0.456).
Table 13. Parameter estimates for the model of Equation (15).
Table 13. Parameter estimates for the model of Equation (15).
ParameterBStd. ErrortSig.95% CIPartial eta-SquaredNon Centrality ParameterObserved Power
LowerUpper
Intercept4.2731.0823.950<0.0012.1266.4190.1363.9500.975
ExpR.Age0.7140.3332.1440.0340.0531.3760.0442.1440.565
LnTotBit−1.1430.272−4.196<0.001−1.684−0.6030.1514.1960.986
TotH.Veh29.534 × 10−83.16 × 10−83.0120.0033.25 × 10−81.58 × 10−70.0843.0120.847
SurfType = 10.3660.1841.9850.0500.000210.7310.0381.9850.502
SurfType = 2−0.2050.276−0.7410.460−0.7530.3440.0060.7410.114
SurfType = 30 1
1 Set to zero because this parameter is redundant.
Table 14. Predicted IRI values for the section of the example.
Table 14. Predicted IRI values for the section of the example.
TotBit (cm)R.AgeH.AADT in the First Year (Heavy Vehicles/Day/Lane)Tot.H.Veh (ud.)TotH.Veh2 (Millions)SurfTypePredicted IRI (m/km)
155400744747554648AC 16 surf S2.41
151040015274832333204AC 16 surf S2.69
151540023501475513190AC 16 surf S3.12

Share and Cite

MDPI and ACS Style

Pérez-Acebo, H.; Linares-Unamunzaga, A.; Rojí, E.; Gonzalo-Orden, H. IRI Performance Models for Flexible Pavements in Two-Lane Roads until First Maintenance and/or Rehabilitation Work. Coatings 2020, 10, 97. https://doi.org/10.3390/coatings10020097

AMA Style

Pérez-Acebo H, Linares-Unamunzaga A, Rojí E, Gonzalo-Orden H. IRI Performance Models for Flexible Pavements in Two-Lane Roads until First Maintenance and/or Rehabilitation Work. Coatings. 2020; 10(2):97. https://doi.org/10.3390/coatings10020097

Chicago/Turabian Style

Pérez-Acebo, Heriberto, Alaitz Linares-Unamunzaga, Eduardo Rojí, and Hernán Gonzalo-Orden. 2020. "IRI Performance Models for Flexible Pavements in Two-Lane Roads until First Maintenance and/or Rehabilitation Work" Coatings 10, no. 2: 97. https://doi.org/10.3390/coatings10020097

APA Style

Pérez-Acebo, H., Linares-Unamunzaga, A., Rojí, E., & Gonzalo-Orden, H. (2020). IRI Performance Models for Flexible Pavements in Two-Lane Roads until First Maintenance and/or Rehabilitation Work. Coatings, 10(2), 97. https://doi.org/10.3390/coatings10020097

Note that from the first issue of 2016, this journal uses article numbers instead of page numbers. See further details here.

Article Metrics

Back to TopTop