Buoyancy Driven Flow with Gas-Liquid Coatings of Peristaltic Bubbly Flow in Elastic Walls
Abstract
1. Introduction
2. Mathematical Formulation
Two-Fluid Model
3. Mathematical Solutions and Results
4. Discussion
4.1. Pressure Rising
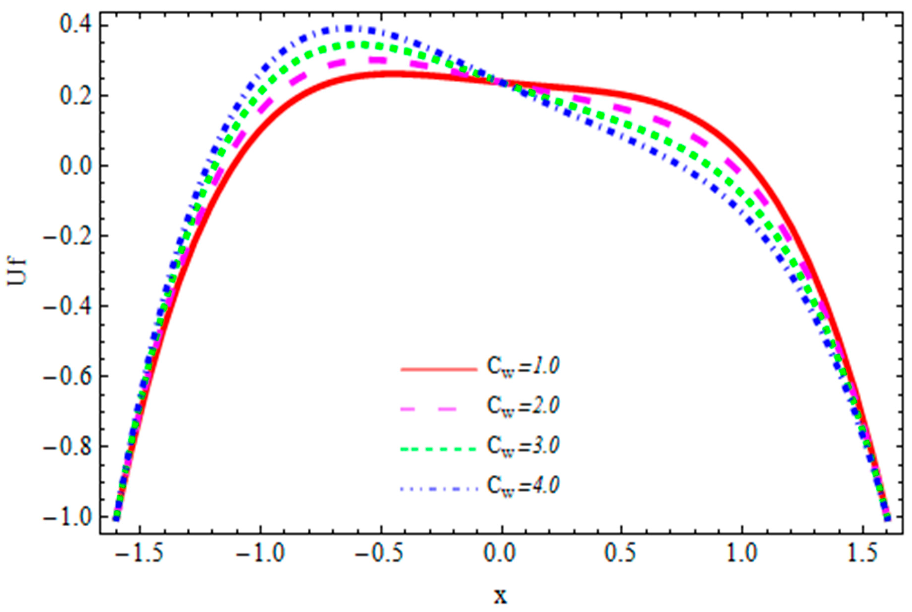
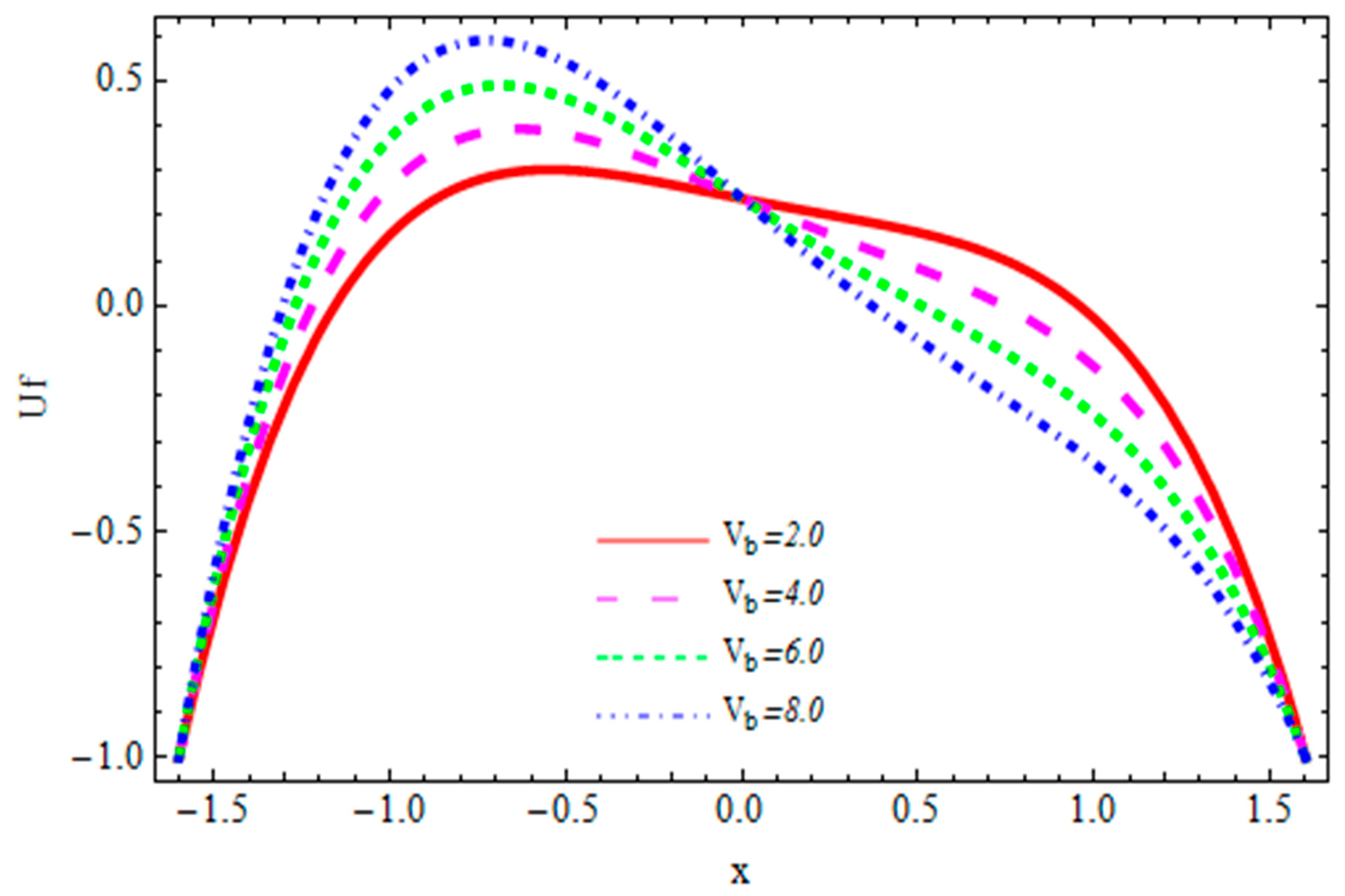
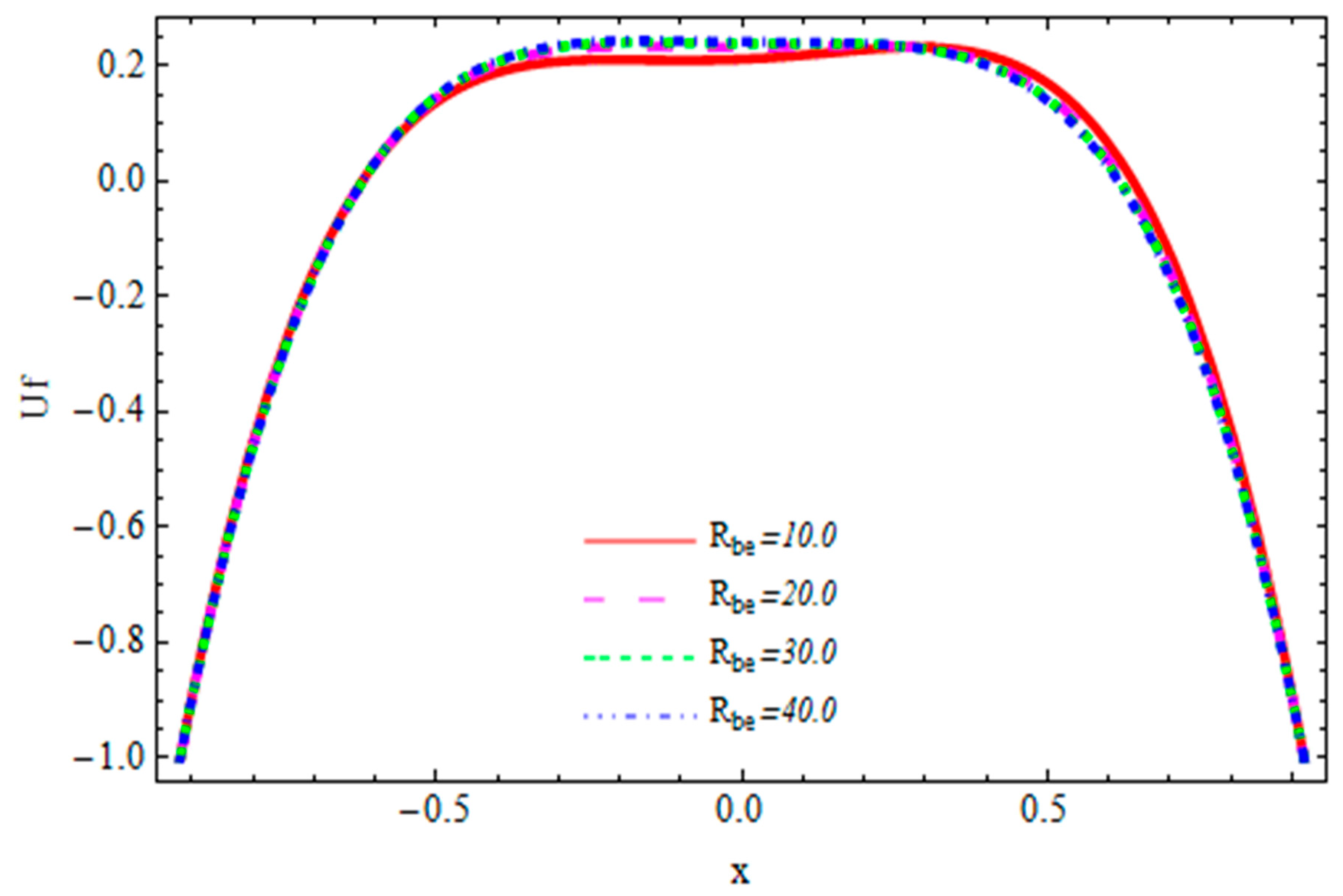
4.2. Fluid Velocity Profile
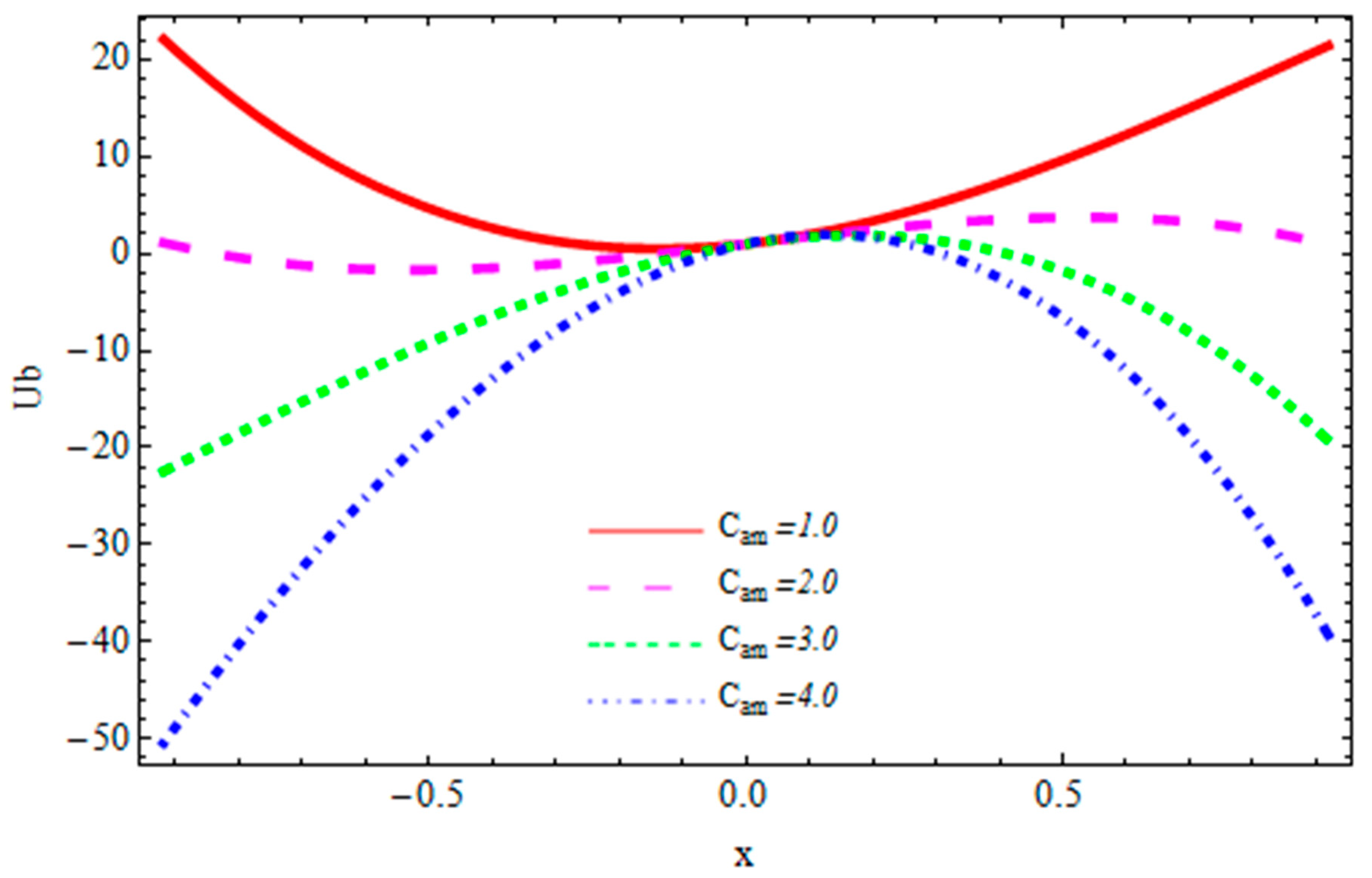
4.3. Gas Velocity Profile
5. Conclusions
Author Contributions
Funding
Conflicts of Interest
References
- Sussman, M.; Smereka, P.; Osher, S. A level set approach for computing solutions to incompressible two-phase flow. J. Comput. Phys. 1994, 114, 146–159. [Google Scholar] [CrossRef]
- Bankoff, S.G. A variable density single-fluid model for two-phase flow with particular reference to steam-water flow. J. Heat Transfer 1960, 82, 265–270. [Google Scholar] [CrossRef]
- Zuber, N.; Findlay, J. Average volumetric concentration in two-phase flow systems. J. Heat Transfer 1965, 87, 453–468. [Google Scholar] [CrossRef]
- Picchi, D.; Poesio, P. A unified model to predict flow pattern transitions in horizontal and slightly inclined two-phase gas/shear-thinning fluid pipe flows. Int. J. Multiphase Flow 2016, 84, 279–291. [Google Scholar] [CrossRef]
- Sato, Y.; Sekoguchi, K. Liquid velocity distribution in two-phase bubble flow. Int. J. Multiphase Flow 1975, 2, 79–95. [Google Scholar] [CrossRef]
- Kuwagi, K.; Ozoe, H. Three-dimensional oscillation of bubbly flow in a vertical cylinder. Int. J. Multiphase Flow 1999, 25, 175–182. [Google Scholar] [CrossRef]
- Picchi, D.; Battiato, I. The impact of pore-scale flow regimes on upscaling of immiscible two-phase flow in porous media. Water Resources Res. 2018, 54, 6683–6707. [Google Scholar] [CrossRef]
- Bonzanini, A.; Picchi, D.; Ferrari, M.; Poesio, P. Shape factors inclusion in a one-dimensional, transient two-fluid model for stratified and slug flow simulations in pipes. In Proceedings of the 12th International Conference on Computational Fluid Dynamics in the Oil & Gas, Metallurgical and Process Industries, Trondheim, Norway, May/June 2017. [Google Scholar]
- Sontti, S.G.; Atta, A. Numerical investigation of viscous effect on Taylor bubble formation in co-flow microchannel. Comp. Aided Chem. Eng. 2017, 40, 1201–1206. [Google Scholar]
- Bhatti, M.M.; Zeeshan, A.; Ellahi, R.; Shit, G.C. Mathematical modeling of heat and mass transfer effects on MHD peristaltic propulsion of two-phase flow through a Darcy-Brinkman-Forchheimer porous medium. Adv. Powder Technol. 2018, 29, 1189–1197. [Google Scholar] [CrossRef]
- Haider, S.; Ijaz, N.; Zeeshan, A.; Li, Y.Z. Magneto-hydrodynamics of a solid-liquid two-phase fluid in rotating channel due to peristaltic wavy movement. Int. J. Numer. Methods Heat Fluid Flow 2019. [Google Scholar] [CrossRef]
- Depner, T.A.; Rizwan, S.Y.E.D.; Stasi, T.A. Pressure effects on roller pump blood flow during hemodialysis. ASAIO Trans. 1990, 36, M456-9. [Google Scholar]
- Haight, L.G.; Herbst, R.; Winterton, R.F.; Sorenson, J.L. Patent and Trademark Office. US Patent No. 6,234,992, 2001. [Google Scholar]
- Tripathi, D.; Sharma, A.; Bég, O.A. Joule heating and buoyancy effects in electro-osmotic peristaltic transport of aqueous nanofluids through a microchannel with complex wave propagation. Adv. Powder Technol. 2018, 29, 639–653. [Google Scholar] [CrossRef]
- Animasaun, I.L.; Pop, I. Numerical exploration of a non-Newtonian Carreau fluid flow driven by catalytic surface reactions on an upper horizontal surface of a paraboloid of revolution, buoyancy and stretching at the free stream. Alexandria Eng. J. 2017, 56, 647–658. [Google Scholar] [CrossRef]
- Angirasa, D.; Peterson, G.P.; Pop, I. Combined heat and mass transfer by natural convection with opposing buoyancy effects in a fluid saturated porous medium. Int. J. Heat Mass Transfer 1997, 40, 2755–2773. [Google Scholar] [CrossRef]
- Rashidi, M.M.; Rostami, B.; Freidoonimehr, N.; Abbasbandy, S. Free convective heat and mass transfer for MHD fluid flow over a permeable vertical stretching sheet in the presence of the radiation and buoyancy effects. Ain Shams Eng. J. 2014, 5, 901–912. [Google Scholar] [CrossRef]
- Masud, U.; Baig, M.I.; Zeeshan, A. Automatization analysis of the extremely sensitive laser-based dual-mode biomedical sensor. Lasers Med. Sci. 2020. [CrossRef]
- Liu, S.; Yang, K.; Wang, Y.; Qu, J.; Liao, C.; He, J.; Li, Z.; Yin, G.; Sun, B.; Zhou, J.; et al. High-sensitivity strin sensor based on in-fiber rectangular air bubble. Scientif. Rep. 2015, 5, 7624. [Google Scholar] [CrossRef]
- Guo, W.; Liu, J.; Liu, J.; Wang, G.; Wang, G.; Huang, M. A Single-Ended Ultra-Thin Spherical Microbubble Based on the Improved Critical-State Pressure-Assisted Arc Discharge Method. Coatings 2019, 9, 144. [Google Scholar] [CrossRef]
- Ellahi, R.; Zeeshan, A.; Hussain, F.; Safaei, M.R. Simulation of cavitation of spherically shaped hydrogen bubbles through a tube nozzle with stenosis. Int. J. Numerical Methods Heat Fluid Flow 2020. [Google Scholar] [CrossRef]
- Prakash, J.; Tripathi, D.; Tiwari, A.K.; Sait, S.M.; Ellahi, R. Peristaltic pumping of nanofluids through a tapered channel in a porous environment: Applications in blood flow. Symmetry 2019, 11, 868. [Google Scholar] [CrossRef]
- Hussain, F.; Ellahi, R.; Zeeshan, A.; Vafai, K. Modelling study on heated couple stress fluid peristaltically conveying gold nanoparticles through coaxial tubes: A remedy for gland tumors and arthritis. J. Mol. Liq. 2018, 268, 149–155. [Google Scholar] [CrossRef]
- Zeeshan, A.; Ijaz, N.; Majeed, A. Analysis of magnetohydrodynamics peristaltic transport of hydrogen bubble in water. Int. J. Hydrogen Energy 2018, 43, 979–985. [Google Scholar] [CrossRef]
- Drew, D.A.; Lahey, R.T., Jr. Application of general constitutive principles to the derivation of multidimensional two-phase flow equations. Int. J. Multiphase Flow 1979, 5, 243–264. [Google Scholar] [CrossRef]
- Maskaniyan, M.; Nazari, M.; Rashidi, S.; Mahian, O. Natural convection and entropy generation analysis inside a channel with a porous plate mounted as a cooling system. Thermal Sci. Eng. Progr. 2018, 6, 186–193. [Google Scholar] [CrossRef]
- Zeeshan, A.; Hussain, F.; Ellahi, R.; Vafai, K. A study of gravitational and magnetic effects on coupled stress bi-phase liquid suspended with crystal and Hafnium particles down in steep channel. J. Mol. Liq. 2019, 286, 110898. [Google Scholar] [CrossRef]
- Picchi, D.; Poesio, P. Stability of multiple solutions in inclined gas/shear-thinning fluid stratified pipe flow. Int. J. Multiphase Flow 2016, 84, 176–187. [Google Scholar] [CrossRef]
- Picchi, D.; Barmak, I.; Ullmann, A.; Brauner, N. Stability of stratified two-phase channel flows of Newtonian/non-Newtonian shear-thinning fluids. Int. J. Multiphase Flow 2018, 99, 111–131. [Google Scholar] [CrossRef]
- Suckale, J.; Qin, Z.; Picchi, D.; Keller, T.; Battiato, I. Bi-stability of buoyancy-driven exchange flows in vertical tubes. J. Fluid Mech. 2018, 850, 525–550. [Google Scholar] [CrossRef]
- De Bertodano, M.L.; Lahey, R.T., Jr.; Jones, O.C. Phase distribution in bubbly two-phase flow in vertical ducts. Int. J. Multiphase Flow 1994, 20, 805–818. [Google Scholar] [CrossRef]
- Tyagi, P.; Buwa, V.V. Experimental characterization of dense gas–liquid flow in a bubble column using voidage probes. Chem. Eng. J. 2017, 308, 912–928. [Google Scholar] [CrossRef]
- Hu, D.; Han, G.; Lungu, M.; Huang, Z.; Liao, Z.; Wang, J.; Yang, Y. Experimental investigation of bubble and particle motion behaviors in a gas-solid fluidized bed with side wall liquid spray. Adv. Powder Technol. 2017, 28, 2306–2316. [Google Scholar] [CrossRef]
- Sarafraz, M.M.; Shadloo, M.S.; Tian, Z.; Tlili, I.; Alkanhal, T.A.; Safaei, M.R.; Arjomandi, M. Convective bubbly flow of water in an annular pipe: role of total dissolved solids on heat transfer characteristics and bubble formation. Water 2019, 11, 1566. [Google Scholar] [CrossRef]
- Ellahi, R.; Zeeshan, A.; Hussain, F.; Abbas, T. Study of shiny film coating on multi-fluid flows of a rotating disk suspended with nano-sized silver and gold particles: A comparative analysis. Coatings 2018, 8, 422. [Google Scholar] [CrossRef]
- Khan, Z.; Ur Rasheed, H.; Alharbi, S.O.; Khan, I.; Abbas, T.; Chin, D.L.C. Manufacturing of double layer optical fiber coating using phan-thien-tanner fluid as coating material. Coatings 2019, 9, 147. [Google Scholar] [CrossRef]
- Riaz, A.; A Al-Olayan, H.; Zeeshan, A.; Razaq, A.; Bhatti, M.M. Mass transport with asymmetric peristaltic propulsion coated with synovial fluid. Coatings 2018, 8, 407. [Google Scholar] [CrossRef]
- Bahgat Radwan, A.; Abdullah, A.M.; Mohamed, A.; Al-Maadeed, M.A. New electrospun polystyrene/Al2O3 nanocomposite superhydrophobic coatings; synthesis, characterization, and application. Coatings 2018, 8, 65. [Google Scholar] [CrossRef]
- Benkreira, H.; Ikin, J.B. Dissolution and growth of entrained bubbles when dip coating in a gas under reduced pressure. Chem. Eng. Sci. 2010, 65, 5821–5829. [Google Scholar] [CrossRef]
- Ellahi, R.; Zeeshan, A.; Hussain, F.; Abbas, T. Thermally charged MHD bi-phase flow coatings with non-Newtonian nanofluid and hafnium particles along slippery walls. Coatings 2019, 9, 300. [Google Scholar] [CrossRef]
- Marin, M. A domain of influence theorem for microstretch elastic materials. Nonl. Analy: Real World Appl. 2010, 11, 3446–3452. [Google Scholar] [CrossRef]
- Abd-Elaziz, E.M.; Marin, M.; Othman, M.I. On the effect of Thomson and initial stress in a thermo-porous elastic solid under GN electromagnetic theory. Symmetry 2019, 11, 413. [Google Scholar] [CrossRef]
- Akram, S.; Mekheimer, K.S.; Elmaboud, Y.A. Particulate suspension slip flow induced by peristaltic waves in a rectangular duct: effect of lateral walls. Alexandria Eng. J. 2018, 57, 407–414. [Google Scholar] [CrossRef]
- Ishii, M.; Hibiki, T. Thermo-Fluid Dynamics of Two-Phase Flow; Springer: New York, NY, USA, 2010. [Google Scholar]
- Sokolichin, A.; Eigenberger, G.; Lapin, A. Simulation of buoyancy driven bubbly flow: established simplifications and open questions. AIChE J. 2004, 50, 24–45. [Google Scholar] [CrossRef]
- Drew, D.A. Mathematical modeling of two-phase flow. Ann. Rev. Fluid Mech. 1983, 15, 261–291. [Google Scholar] [CrossRef]
- Auton, T.R. The lift force on a spherical body in a rotational flow. J. Fluid Mech. 1987, 183, 199–218. [Google Scholar] [CrossRef]
- He, J.H. Linearized perturbation technique and its applications to strongly nonlinear oscillators. Comp. Math. Appl. 2003, 45, 1–8. [Google Scholar] [CrossRef][Green Version]
- He, J.H. A note on the homotopy perturbation method. Thermal Sci. 2010, 14, 565–568. [Google Scholar]
- Dehghan, M.; Rahmani, Y.; Ganji, D.D.; Saedodin, S.; Valipour, M.S.; Rashidi, S. Convection–radiation heat transfer in solar heat exchangers filled with a porous medium: homotopy perturbation method versus numerical analysis. Renew. Energy 2015, 74, 448–455. [Google Scholar] [CrossRef]
- Ungarish, M. Hydrodynamics of Suspensions: Fundamentals of Centrifugal and Gravity Separation; Springer: New York, NY, USA, 2013. [Google Scholar]



















© 2020 by the authors. Licensee MDPI, Basel, Switzerland. This article is an open access article distributed under the terms and conditions of the Creative Commons Attribution (CC BY) license (http://creativecommons.org/licenses/by/4.0/).
Share and Cite
Ijaz, N.; Riaz, A.; Zeeshan, A.; Ellahi, R.; Sait, S.M. Buoyancy Driven Flow with Gas-Liquid Coatings of Peristaltic Bubbly Flow in Elastic Walls. Coatings 2020, 10, 115. https://doi.org/10.3390/coatings10020115
Ijaz N, Riaz A, Zeeshan A, Ellahi R, Sait SM. Buoyancy Driven Flow with Gas-Liquid Coatings of Peristaltic Bubbly Flow in Elastic Walls. Coatings. 2020; 10(2):115. https://doi.org/10.3390/coatings10020115
Chicago/Turabian StyleIjaz, Nouman, Arshad Riaz, Ahmed Zeeshan, Rahmat Ellahi, and Sadiq M. Sait. 2020. "Buoyancy Driven Flow with Gas-Liquid Coatings of Peristaltic Bubbly Flow in Elastic Walls" Coatings 10, no. 2: 115. https://doi.org/10.3390/coatings10020115
APA StyleIjaz, N., Riaz, A., Zeeshan, A., Ellahi, R., & Sait, S. M. (2020). Buoyancy Driven Flow with Gas-Liquid Coatings of Peristaltic Bubbly Flow in Elastic Walls. Coatings, 10(2), 115. https://doi.org/10.3390/coatings10020115

