Synthesis and Bioactivity of Thiazolethioacetamides as Potential Metallo-β-Lactamase Inhibitors
Abstract
1. Introduction
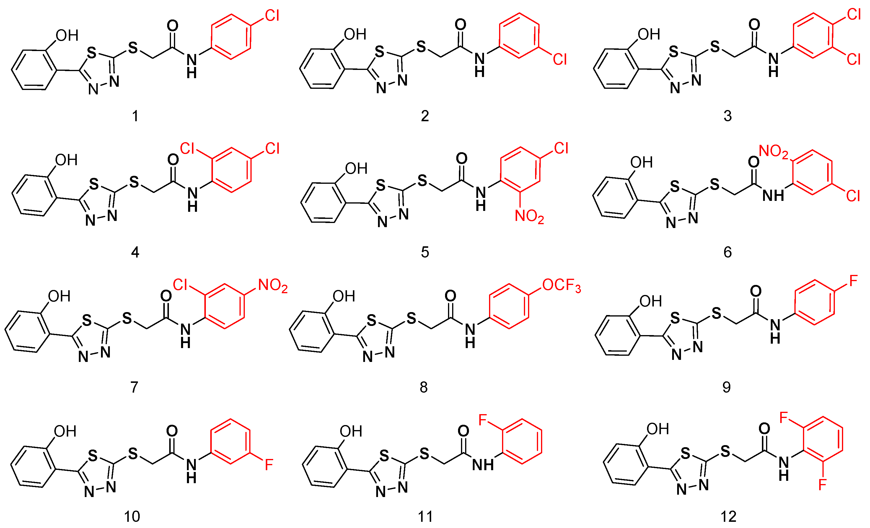
2. Results
3. Discussion
4. Materials and Methods
4.1. Synthesis and Characterization
4.2. Determination of IC50 Values
4.3. Determination of MIC Values
5. Conclusions
Supplementary Materials
Author Contributions
Funding
Acknowledgments
Conflicts of Interest
References
- Docquier, J.D.; Mangani, S. An update on β-lactamase inhibitor discovery and development. Drug Resist. Update 2018, 36, 13–29. [Google Scholar] [CrossRef] [PubMed]
- Baym, M.; Stone, L.K.; Kishony, R. Multidrug evolutionary strategies to reverse antibiotic resistance. Science 2016, 351, aad3292. [Google Scholar] [CrossRef] [PubMed]
- Fisher, J.F.; Meroueh, S.O.; Mobashery, S. Bacterial resistance to β-lactam antibiotics: Compelling opportunism, compelling opportunity. Chem. Rev. 2005, 105, 395–424. [Google Scholar] [CrossRef] [PubMed]
- Bush, K. Past and present perspectives on β-lactamases. Antimicrob. Agents Chemother. 2018, 62, 1076–1118. [Google Scholar] [CrossRef] [PubMed]
- Bush, K.; Jacoby, G.A. Updated functional classification of β-lactamases. Antimicrob. Agents Chemother. 2010, 54, 969–976. [Google Scholar] [CrossRef] [PubMed]
- Drawz, S.M.; Bonomo, R.A. Three decades of β-lactamase inhibitors. Clin. Microbiol. Rev. 2010, 23, 160–201. [Google Scholar] [CrossRef] [PubMed]
- Bebrone, C. Metallo-β-lactamases (classification, activity, genetic organization, structure, zinc coordination) and their superfamily. Biochem. Pharmacol. 2007, 74, 1686–1701. [Google Scholar] [CrossRef] [PubMed]
- González, L.J.; Bahr, G.; Nakashige, T.G.; Nolan, E.M.; Bonomo, R.A.; Vila, A.J. Membrane anchoring stabilizes and favors secretion of New Delhi metallo-β-lactamase. Nat. Chem. Biol. 2016, 12, 516–522. [Google Scholar] [CrossRef] [PubMed]
- Christopeit, T.; Carlsen, T.J.; Helland, R.; Leiros, H.K. Discovery of novel inhibitor scaffolds against the metallo-β-lactamase VIM-2 by surface plasmon resonance (SPR) based fragment screening. J. Med. Chem. 2015, 58, 8671–8682. [Google Scholar] [CrossRef] [PubMed]
- Decuyper, L.; Jukic, M.; Sosic, I.; Zula, A.; D’Hooghe, M.; Gobec, S. Antibacterial and β-lactamase inhibitory activity of monocyclic β-lactams. Med. Res. Rev. 2018, 38, 426–503. [Google Scholar] [CrossRef] [PubMed]
- Chiou, J.; Wan, S.; Chan, K.F.; So, P.K.; He, D.; Chan, E.W.; Chan, T.H.; Wong, K.Y.; Tao, J.; Chen, S. Ebselen as a potent covalent inhibitor of New Delhi metallo-β-lactamase (NDM-1). Chem. Commun. 2015, 51, 9543–9546. [Google Scholar] [CrossRef] [PubMed]
- Büttner, D.; Kramer, J.S.; Klingler, F.M.; Wittmann, S.K.; Hartmann, M.R.; Kurz, C.G.; Kohnhäuser, D.; Weizel, L.; Brüggerhoff, A.; Frank, D.; et al. Challenges in the development of a thiol-based broad-spectrum inhibitor for metallo-β-lactamases. ACS Infect. Dis. 2017, 4, 360–372. [Google Scholar] [CrossRef] [PubMed]
- Damblon, C.; Jensen, M.; Ababou, A.; Barsukov, I.; Papamicael, C.; Schofield, C.J.; Olsen, L.; Bauer, R.; Roberts, G.C.K. The inhibitor thiomandelic acid binds to both metal ions in metallo-β-lactamase and induces positive cooperativity in metal binding. J. Biol. Chem. 2003, 278, 29240–29251. [Google Scholar] [CrossRef] [PubMed]
- Xiang, Y.; Chang, Y.N.; Ge, Y.; Kang, J.S.; Zhang, Y.L.; Liu, X.L.; Oelschlaeger, P.; Yang, K.W. Azolylthioacetamides as a potent scaffold for the development of metallo-β-lactamase inhibitors. Bioorg. Med. Chem. Lett. 2017, 27, 5225–5229. [Google Scholar] [CrossRef] [PubMed]
- Zhai, L.; Zhang, Y.L.; Kang, J.S.; Oelschlaeger, P.; Xiao, L.; Nie, S.S.; Yang, K.-W. Triazolylthioacetamide: A valid scaffold for the development of New Delhi metallo-β-lactmase-1 (NDM-1) inhibitors. ACS Med. Chem. Lett. 2016, 7, 413–417. [Google Scholar] [CrossRef] [PubMed]
- Zhang, Y.L.; Yan, Y.; Liang, L.F.; Feng, J.; Wang, X.J.; Li, L.; Yang, K.W. Halogen-substituted triazolethioacetamides as a potent skeleton for the development of metallo-β-lactamase inhibitors. Molecules 2019, 24, 1174. [Google Scholar] [CrossRef] [PubMed]
- Zhang, Y.L.; Yang, K.W.; Zhou, Y.J.; LaCuran, A.E.; Oelschlaeger, P.; Crowder, M.W. Diaryl -substituted azolylthioacetamides: Inhibitor discovery of New Delhi metallo-β-lactamase-1 (NDM-1). ChemMedChem 2014, 9, 2445–2448. [Google Scholar] [CrossRef] [PubMed]
- Wang, S.H.; Wang, S.F.; Xuan, W.; Zeng, Z.H.; Jin, J.Y.; Ma, J.; Tian, G.R. Nitro as a novel zinc-binding group in the inhibition of carboxypeptidase A. Bioorg. Med. Chem. 2008, 16, 3596–3601. [Google Scholar] [CrossRef] [PubMed]
- Pereira da Cruz, R.; Sampaio de Freitas, T.; do Socorro Costa, M.; Lucas Dos Santos, A.T.; Ferreira Campina, F.; Pereira, R.L.S.; Bezerra, J.W.A.; Quintans-Júnior, L.J.; De Souza Araújo, A.A.; De Siqueira Júnior, J.P.; et al. Effect of α-bisabolol and its β-cyclodextrin complex as tetk and nora efflux pump inhibitors in Staphylococcus aureus strains. Antibiotics 2020, 9, 28. [Google Scholar] [CrossRef] [PubMed]
- Morris, G.M.; Huey, R.; Lindstrom, W.; Sanner, M.F.; Belew, R.K.; Goodsell, D.S.; Olson, A.J. Autodock4 and autodocktools4: Automated docking with selective receptor flexibility. J. Comput. Chem. 2009, 30, 2785–2791. [Google Scholar] [CrossRef] [PubMed]


| Compds | IC50(μM) | Compds | IC50(μM) | ||
|---|---|---|---|---|---|
| ImiS | VIM-2 | ImiS | VIM-2 | ||
| 1 | 0.58 | - | 7 | 0.42 | - |
| 2 | 0.53 | - | 8 | 0.31 | 2.2 |
| 3 | 0.69 | - | 9 | 0.46 | - |
| 4 | 0.58 | - | 10 | 0.61 | - |
| 5 | 0.17 | - | 11 | 0.68 | - |
| 6 | 0.36 | - | 12 | 0.70 | 19.2 |
| Compds | E.coli-ImiS | Compds | E.coli-ImiS | Compds | E.coli-ImiS |
|---|---|---|---|---|---|
| Blank | 20 | 5 | 10 | 10 | 5 |
| 1 | 20 | 6 | 10 | 11 | 10 |
| 2 | 20 | 7 | 10 | 12 | 10 |
| 3 | 20 | 8 | 5 | ||
| 4 | 20 | 9 | 5 |
© 2020 by the authors. Licensee MDPI, Basel, Switzerland. This article is an open access article distributed under the terms and conditions of the Creative Commons Attribution (CC BY) license (http://creativecommons.org/licenses/by/4.0/).
Share and Cite
Zhang, Y.-L.; Yan, Y.; Wang, X.-J.; Yang, K.-W. Synthesis and Bioactivity of Thiazolethioacetamides as Potential Metallo-β-Lactamase Inhibitors. Antibiotics 2020, 9, 99. https://doi.org/10.3390/antibiotics9030099
Zhang Y-L, Yan Y, Wang X-J, Yang K-W. Synthesis and Bioactivity of Thiazolethioacetamides as Potential Metallo-β-Lactamase Inhibitors. Antibiotics. 2020; 9(3):99. https://doi.org/10.3390/antibiotics9030099
Chicago/Turabian StyleZhang, Yi-Lin, Yong Yan, Xue-Jun Wang, and Ke-Wu Yang. 2020. "Synthesis and Bioactivity of Thiazolethioacetamides as Potential Metallo-β-Lactamase Inhibitors" Antibiotics 9, no. 3: 99. https://doi.org/10.3390/antibiotics9030099
APA StyleZhang, Y.-L., Yan, Y., Wang, X.-J., & Yang, K.-W. (2020). Synthesis and Bioactivity of Thiazolethioacetamides as Potential Metallo-β-Lactamase Inhibitors. Antibiotics, 9(3), 99. https://doi.org/10.3390/antibiotics9030099

