Population Pharmacokinetic Modeling and Pharmacodynamic Target Attainment Simulation of Piperacillin/Tazobactam for Dosing Optimization in Late Elderly Patients with Pneumonia
Abstract
1. Introduction
2. Results
2.1. Patient Characteristics
2.2. Population PK Model
2.2.1. PIPC
2.2.2. TAZ
2.2.3. Model Evaluation
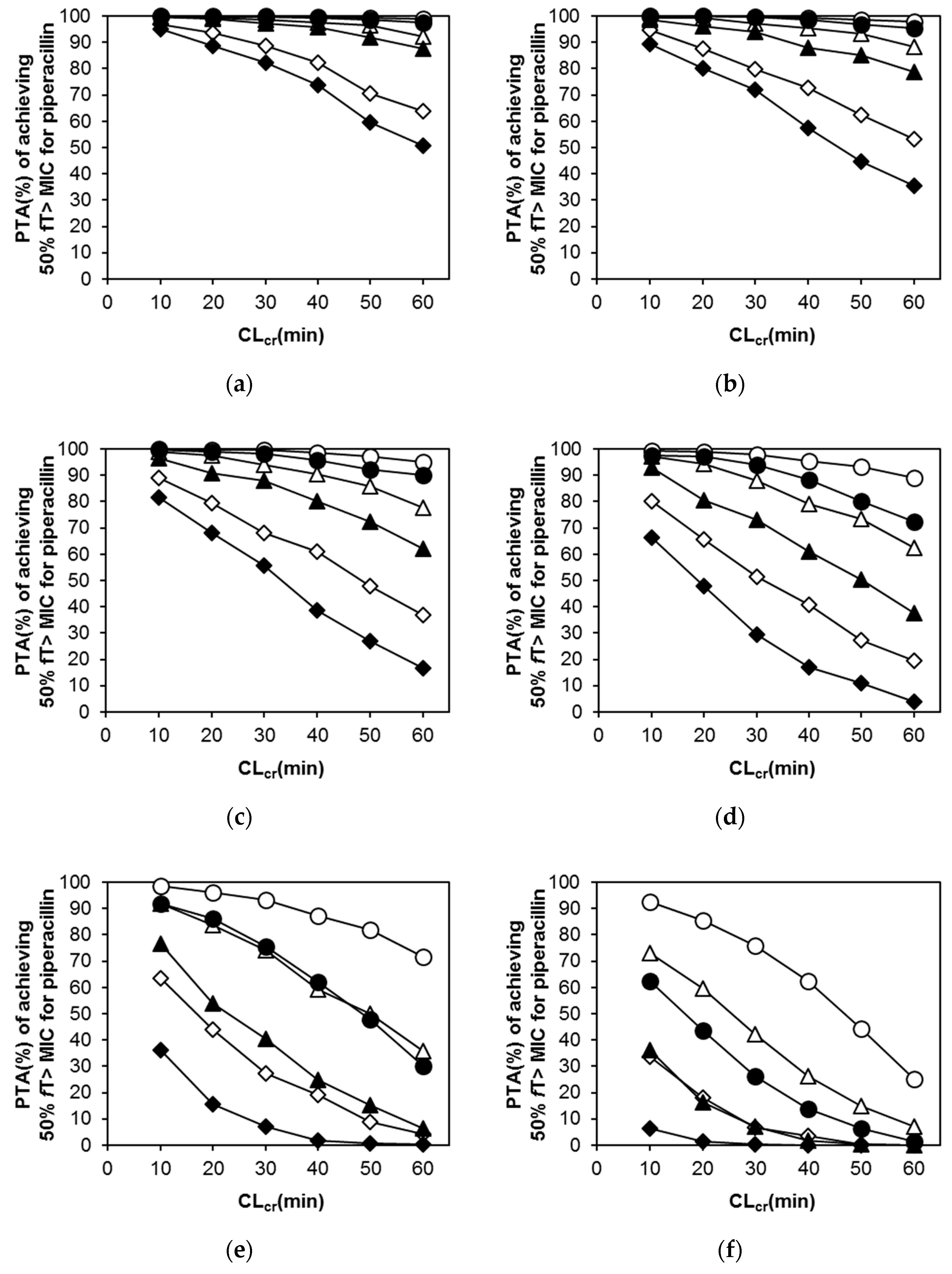
2.3. PK/PD Analysis
3. Discussion
4. Materials and Methods
4.1. Patients and Ethics
4.2. Drug Administration, Sampling Procedure, and Analysis
4.3. Population Pharmacokinetic (PK) Analysis
4.4. PK/PD Analysis Using a Random Simulation
5. Conclusions
Author Contributions
Funding
Conflicts of Interest
References
- Lipsky, B.A.; Berendt, A.R.; Cornia, P.B.; Pile, J.C.; Peters, E.J.; Armstrong, D.G.; Deery, H.G.; Embil, J.M.; Joseph, W.S.; Karchmer, A.W.; et al. 2012 infectious diseases society of america clinical practice guideline for the diagnosis and treatment of diabetic foot infections. J. Am. Podiatr. Med. Assoc. 2013, 103, 2–7. [Google Scholar] [CrossRef] [PubMed]
- Kalil, A.C.; Metersky, M.L.; Klompas, M.; Muscedere, J.; Sweeney, D.A.; Palmer, L.B.; Napolitano, L.M.; O’Grady, N.P.; Bartlett, J.G.; Carratalà, J.; et al. Management of Adults with Hospital-acquired and Ventilator-associated Pneumonia: 2016 Clinical Practice Guidelines by the Infectious Diseases Society of America and the American Thoracic Society. Clin. Infect. Dis. 2016, 63, e61–e111. [Google Scholar] [CrossRef] [PubMed]
- The Committee for the Japanese Respiratory Society in Management of Respiratory Infections. The Japanese Respiratory Society Guidelines for the Management of Community-Acquired Pneumonia in Adults; The Committee for the Japanese Respiratory Society in Management of Respiratory Infections: Tokyo, Japan, 2007. [Google Scholar]
- Kohno, S.; Imamura, Y.; Shindo, Y.; Seki, M.; Ishida, T.; Teramoto, S.; Kadota, J.; Tomono, K.; Watanabe, A. Clinical practice guidelines for nursing- and healthcare-associated pneumonia (NHCAP) [complete translation]. Respir. Investig. 2013, 51, 103–126. [Google Scholar] [CrossRef] [PubMed]
- The Committee for the Japanese Respiratory Society in Management of Respiratory Infections. The Japanese Respiratory Society Guidelines for the Management of Hospital-Acquired Pneumonia in Adults; The Committee for the Japanese Respiratory Society in Management of Respiratory Infections: Tokyo, Japan, 2008. [Google Scholar]
- Top 10 Causes of Death. Available online: http://www.who.int/gho/mortality_burden_disease/causes_death/top_10/en/ (accessed on 25 November 2019).
- Vital Statistics of Japan—The Latest Trends-. Available online: https://www.mhlw.go.jp/english/database/db-hw/vs01.html (accessed on 28 November 2019).
- Chambers, H.F.; Eliopoulos, G.M.; Gilbert, D.N.; Pavia, A.; Saag, M.S. The Sanford Guide to Antimicrobial Therapy 2018, 48th ed.; Antimicrobial Therapy, Inc.: Sperryville, VA, USA, 2018; pp. 186–194. [Google Scholar]
- Ishihara, N.; Nishimura, N.; Tamaki, H.; Karino, F.; Miura, K.; Isobe, T.; Ikawa, K.; Morikawa, N.; Naora, K. Evaluation of a pharmacokinetic-pharmacodynamic approach using software to optimize the carbapenem antibiotic regimen. Int. J. Clin. Pharmacol. Ther. 2015, 53, 422–429. [Google Scholar] [CrossRef] [PubMed]
- Patel, N.; Scheetz, M.H.; Drusano, G.L.; Lodise, T.P. Identification of optimal renal dosage adjustments for traditional and extended-infusion piperacillin-tazobactam dosing regimens in hospitalized patients. Antimicrob. Agents Chemother. 2010, 54, 460–465. [Google Scholar] [CrossRef] [PubMed]
- Felton, T.W.; Hope, W.W.; Lomaestro, B.M.; Butterfield, J.M.; Kwa, A.L.; Drusano, G.L.; Lodise, T.P. Population pharmacokinetics of extended-infusion piperacillin-tazobactam in hospitalized patients with nosocomial infections. Antimicrob. Agents Chemother. 2012, 56, 4087–4094. [Google Scholar] [CrossRef] [PubMed]
- Andersen, M.G.; Thorsted, A.; Storgaard, M.; Kristoffersson, A.N.; Friberg, L.E.; Öbrink-Hansen, K. Population Pharmacokinetics of Piperacillin in Sepsis Patients: Should Alternative Dosing Strategies Be Considered? Antimicrob. Agents Chemother. 2018, 62. [Google Scholar] [CrossRef]
- Sukarnjanaset, W.; Jaruratanasirikul, S.; Wattanavijitkul, T. Population pharmacokinetics and pharmacodynamics of piperacillin in critically ill patients during the early phase of sepsis. J. Pharmacokinet. Pharmacodyn. 2019, 46, 251–261. [Google Scholar] [CrossRef]
- Sime, F.B.; Hahn, U.; Warner, M.S.; Tiong, I.S.; Roberts, M.S.; Lipman, J.; Peake, S.L.; Roberts, J.A. Using Population Pharmacokinetic Modeling and Monte Carlo Simulations to Determine whether Standard Doses of Piperacillin in Piperacillin-Tazobactam Regimens Are Adequate for the Management of Febrile Neutropenia. Antimicrob. Agents Chemother. 2017, 61. [Google Scholar] [CrossRef]
- Kim, Y.K.; Jung, J.A.; Choi, H.K.; Bae, I.G.; Choi, W.S.; Hur, J.; Jin, S.J.; Kim, S.W.; Kwon, K.T.; Lee, S.R.; et al. Population Pharmacokinetic Analysis of Piperacillin/Tazobactam in Korean Patients with Acute Infections. Infect Chemother. 2016, 48, 209–215. [Google Scholar] [CrossRef]
- Chung, E.K.; Cheatham, S.C.; Fleming, M.R.; Healy, D.P.; Shea, K.M.; Kays, M.B. Population pharmacokinetics and pharmacodynamics of piperacillin and tazobactam administered by prolonged infusion in obese and nonobese patients. J. Clin. Pharmacol. 2015, 55, 899–908. [Google Scholar] [CrossRef] [PubMed]
- Asin-Prieto, E.; Rodriguez-Gascon, A.; Troconiz, I.F.; Soraluce, A.; Maynar, J.; Sanchez-Izquierdo, J.A.; Isla, A. Population pharmacokinetics of piperacillin and tazobactam in critically ill patients undergoing continuous renal replacement therapy: Application to pharmacokinetic/pharmacodynamic analysis. J. Antimicrob. Chemother. 2014, 69, 180–189. [Google Scholar] [CrossRef] [PubMed]
- Cheatham, S.C.; Fleming, M.R.; Healy, D.P.; Chung, C.E.; Shea, K.M.; Humphrey, M.L.; Kays, M.B. Steady-state pharmacokinetics and pharmacodynamics of piperacillin and tazobactam administered by prolonged infusion in obese patients. Int. J. Antimicrob. Agents 2013, 41, 52–56. [Google Scholar] [CrossRef] [PubMed]
- Hamada, Y.; Takahashi, S.; Hirayama, T.; Sunakawa, K.; Kuroyama, M. Population pharmacokinetics of tazobactam/piperacillin in Japanese patients with community-acquired pneumonia. Jpn J. Antibiot. 2013, 66, 189–203. [Google Scholar]
- Sorgel, F.; Kinzig, M. The chemistry, pharmacokinetics and tissue distribution of piperacillin/tazobactam. J. Antimicrob. Chemother. 1993, 31 (Suppl. A), 39–60. [Google Scholar] [CrossRef] [PubMed]
- Usman, M.; Frey, O.R.; Hempel, G. Population pharmacokinetics of meropenem in elderly patients: Dosing simulations based on renal function. Eur. J. Clin. Pharmacol. 2016, 73, 333–342. [Google Scholar] [CrossRef]
- Harada, M.; Inui, N.; Suda, T.; Nakamura, Y.; Wajima, T.; Matsuo, Y.; Chida, K. Pharmacokinetic analysis of doripenem in elderly patients with nosocomial pneumonia. Int. J. Antimicrob. Agents 2013, 42, 149–154. [Google Scholar] [CrossRef]
- Urien, S.; Laurent, N.; Barre, J.; Druguet, M.; Bouvier D’Yvoire, M.; Maire, P. Pharmacokinetic modelling of cefotaxime and desacetylcefotaxime—A population study in 25 elderly patients. Eur. J. Clin. Pharmacol. 2004, 60, 11–16. [Google Scholar] [CrossRef]
- Davies, E.A.; O’Mahony, M.S. Adverse drug reactions in special populations—The elderly. Br. J. Clin. Pharmacol. 2015, 80, 796–807. [Google Scholar] [CrossRef]
- Bigot, F.; Boudou-Rouquette, P.; Arrondeau, J.; Thomas-Schoemann, A.; Tlemsani, C.; Chapron, J.; Huillard, O.; Cessot, A.; Vidal, M.; Alexandre, J.; et al. Erlotinib pharmacokinetics: A critical parameter influencing acute toxicity in elderly patients over 75-years-old. Parkinsonism Relat. Disord. 2016, 35, 242–246. [Google Scholar] [CrossRef]
- Nagayama, H.; Ueda, M.; Kumagai, T.; Tsukamoto, K.; Nishiyama, Y.; Nishimura, S.; Hamamoto, M.; Katayama, Y. Influence of ageing on the pharmacokinetics of levodopa in elderly patients with Parkinson’s disease. Parkinsonism Relat. Disord. 2011, 17, 150–152. [Google Scholar] [CrossRef]
- Pehourcq, F.; Molimard, M. Pharmacokinetics in the elderly. Rev. Mal. Respir. 2004, 21, 8s25–32. [Google Scholar] [PubMed]
- Swift, C.G. Pharmacokinetics and prescribing in the elderly. J. Antimicrob. Chemother. 1994, 34 (Suppl. A), 25–32. [Google Scholar] [CrossRef]
- Lederle Laboratories. Piperacillin Sodium and Tazobactam Sodium (Zosyn) Product Information; Lederle Laboratories: Amherst, MA, USA, 2012. [Google Scholar]
- Committee, C.G.E. Clinical Practice Guidebook for Diagnosis and Treatment of Chronic Kidney Disease 2009; The Japanese Society of Nephrology: Tokyo, Japan, 2009. [Google Scholar]
- VanScoy, B.; Mendes, R.E.; Nicasio, A.M.; Castanheira, M.; Bulik, C.C.; Okusanya, O.O.; Bhavnani, S.M.; Forrest, A.; Jones, R.N.; Friedrich, L.V.; et al. Pharmacokinetics-pharmacodynamics of tazobactam in combination with ceftolozane in an in vitro infection model. Antimicrob. Agents Chemother. 2013, 57, 2809–2814. [Google Scholar] [CrossRef] [PubMed]
- Ambrose, P.G.; Bhavnani, S.M.; Jones, R.N. Pharmacokinetics-Pharmacodynamics of Cefepime and Piperacillin- Tazobactam against Escherichia coli and Klebsiella pneumoniae Strains Producing Extended-Spectrum β-Lactamases: Report from the ARREST Program. Antimicrob. Agents Chemother. 2003, 47, 1643–1646. [Google Scholar] [CrossRef] [PubMed]
- Sugimoto, N.; Yamagishi, Y.; Mikamo, H. Proposed breakpoint of piperacillin/tazobactam against extended spectrum beta-lactamases producing bacteria in bacteremia. J. Infect. Chemother. 2017, 23, 65–67. [Google Scholar] [CrossRef] [PubMed]
- Karino, F.; Nishimura, N.; Ishihara, N.; Moriyama, H.; Miura, K.; Hamaguchi, S.; Sutani, A.; Kuraki, T.; Ikawa, K.; Morikawa, N. Nephrotoxicity induced by piperacillin-tazobactam in late elderly Japanese patients with nursing and healthcare associated pneumonia. Biol. Pharm. Bull. 2014, 37, 1971–1976. [Google Scholar] [CrossRef] [PubMed]
- Wise, R.; Logan, M.; Cooper, M.; Andrews, J.M. Pharmacokinetics and tissue penetration of tazobactam administered alone and with piperacillin. Antimicrob. Agents Chemother. 1991, 35, 1081–1084. [Google Scholar] [CrossRef]
- van den Akker, M.; Buntinx, F.; Metsemakers, J.F.; Roos, S.; Knottnerus, J.A. Multimorbidity in general practice: Prevalence, incidence, and determinants of co-occurring chronic and recurrent diseases. J. Clin. Epidemiol. 1998, 51, 367–375. [Google Scholar] [CrossRef]
- Akishita, M.; Teramoto, S.; Arai, H.; Arai, H.; Mizukami, K.; Morimoto, S.; Toba, K. Incidence of adverse drug reactions in geriatric wards of university hospitals. Nihon Ronen Igakkai Zasshi 2004, 41, 303–306. [Google Scholar] [CrossRef][Green Version]
- Gurwitz, J.H.; Field, T.S.; Judge, J.; Rochon, P.; Harrold, L.R.; Cadoret, C.; Lee, M.; White, K.; LaPrino, J.; Erramuspe-Mainard, J.; et al. The incidence of adverse drug events in two large academic long-term care facilities. Am. J. Med. 2005, 118, 251–258. [Google Scholar] [CrossRef]
- Scott, I.A.; Guyatt, G.H. Cautionary Tales in the Interpretation of Clinical Studies Involving Older Persons. Arch. Intern. Med. 2010, 170. [Google Scholar] [CrossRef] [PubMed]
- Di Giovamberardino, G.; Ferrannini, M.; Testore, G.P.; Federici, G.; Pastore, A. High performance liquid chromatographic determination of plasma free and total tazobactam and piperacillin. J. Chromatogr. B Analyt. Technol. Biomed. Life Sci. 2009, 877, 86–88. [Google Scholar] [CrossRef] [PubMed]
- Dosne, A.-G.; Bergstrand, M.; Harling, K.; Karlsson, M.O. Improving the estimation of parameter uncertainty distributions in nonlinear mixed effects models using sampling importance resampling. J. Pharmacokinet. Pharmacodyn. 2016, 43, 583–596. [Google Scholar] [CrossRef] [PubMed]
- Lodise, T.P.; Lomaestro, B.M.; Drusano, G.L. Application of antimicrobial pharmacodynamic concepts into clinical practice: Focus on beta-lactam antibiotics: Insights from the Society of Infectious Diseases Pharmacists. Pharmacotherapy 2006, 26, 1320–1332. [Google Scholar] [CrossRef] [PubMed]
- Andes, D.; Craig, W.A. Animal model pharmacokinetics and pharmacodynamics: A critical review. Int. J. Antimicrob. Agents 2002, 19, 261–268. [Google Scholar] [CrossRef]




| Subjects Number (Male/Female) | 18 (14/4) |
|---|---|
| Characteristic | Mean ± S.D. (Range) |
| Age (years) | 86.5 ± 6.0 (75–101) |
| Height (cm) | 154.1 ± 7.8 (138.0–165.0) |
| Weight (kg) | 45.5 ± 10.0 (32.0–68.7) |
| Body mass index | 19.1 ± 3.5 (13.9–27.3) |
| Serum creatinine (mg/dL) | 0.91 ± 0.31 (0.60–1.55) |
| Creatinine clearance (mL/min) (a) | 38.0 ± 11.1 (21.5–59.1) |
| Serum albumin (g/dL) | 2.9 ± 0.6 (2.1–3.7) |
| Parameter | Population Estimate | Standard Error | 95% Confidence Interval (Bootstrap Procedure) |
|---|---|---|---|
| Fixed-effects parameter | |||
| CL (L/h) = θ1 + θ2 × (CLcr − 37.4) | |||
| θ1 | 4.58 | 0.289 | 4.04–5.22 |
| θ2 | 0.061 | 0.0293 | 0.0107–0.114 |
| Vc (L) = θ3 | |||
| θ3 | 5.39 | 0.969 | 3.81–8.33 |
| Q (L/h) = θ4 | |||
| θ4 | 20.7 | 6.11 | 12.0–37.1 |
| Vp (L) = θ5 | |||
| θ5 | 6.96 | 0.314 | 5.09–7.84 |
| Interindividual variability | |||
| ω2CL | 0.0705 (CV = 27.0%) | 0.0177 | 0.0357–0.104 |
| ω2Vc | 0.389 (CV = 69.0%) | 0.153 | 0.118–0.803 |
| ω2Q | 0.311 (CV = 60.4%) | 0.327 | 0.00990–1.40 |
| ω2Vp | 0 (fixed) | None | None |
| Residual variability | |||
| σ2proprtional | 0.000927 | 0.000798 | 0.000170–0.00289 |
| σ2additive | 25.1 | 12.8 | 3.72–46.6 |
| Parameter | Population Estimate | Standard Error | 95% Confidence Interval (Bootstrap Procedure) |
|---|---|---|---|
| Fixed-effects parameter | |||
| CL (L/h) = θ1 + θ2 × (CLcr – 37.4) | |||
| θ1 | 5.00 | 0.318 | 4.41–5.78 |
| θ2 | 0.0587 | 0.0298 | 0.0116–0.125 |
| Vc (L) = θ3 | |||
| θ3 | 6.29 | 1.04 | 4.13–11.1 |
| Q (L/h) = θ4 | |||
| θ4 | 24.0 | 8.44 | 9.90–44.6 |
| Vp (L) = θ5 | |||
| θ5 | 7.73 | 0.443 | 5.61–8.31 |
| Interindividual variability | |||
| ω2CL | 0.0715 (CV = 27.2%) | 0.0221 | 0.0301–0.125 |
| ω2Vc | 0.547 (CV = 85.3%) | 0.244 | 0.169–1.11 |
| ω2Q | 0.545 (CV = 85.1%) | 0.465 | 0.0340–1.79 |
| ω2Vp | 0 (fixed) | None | None |
| Residual variability | |||
| σ2proprtional | 0.000479 | 0.000749 | 0.0000499–0.00252 |
| σ2additive | 0.394 | 0.223 | 0.0297–0.602 |
| Piperacillin/Tazobactam Regimen | Creatinine Clearance (mL/min) | |||||
|---|---|---|---|---|---|---|
| 60 | 50 | 40 | 30 | 20 | 10 | |
| 4.5 g q6h | 8 μg/mL | 16 μg/mL | 16 μg/mL | 32 μg/mL | 32 μg/mL | 64 μg/mL |
| 4.5 g q8h | 2 μg/mL | 4 μg/mL | 8 μg/mL | 8 μg/mL | 16 μg/mL | 32 μg/mL |
| 4.5 g q12h | 0.125 μg/mL | 0.25 μg/mL | 0.5 μg/mL | 1 μg/mL | 2 μg/mL | 4 μg/mL |
| 2.25 g q6h | 8 μg/mL | 8 μg/mL | 16 μg/mL | 16 μg/mL | 16 μg/mL | 32 μg/mL |
| 2.25 g q8h | 1 μg/mL | 2 μg/mL | 8 μg/mL | 8 μg/mL | 8 μg/mL | 16 μg/mL |
| 2.25 g q12h | 0.063 μg/mL | 0.125 μg/mL | 0.25 μg/mL | 0.5 μg/mL | 1 μg/mL | 2 μg/mL |
| MIC (μg/mL) | Creatinine Clearance (mL/min) | |||||
|---|---|---|---|---|---|---|
| 60 | 50 | 40 | 30 | 20 | 10 | |
| 2 | 4.5 g q8h | 4.5 g q8h | 2.25 g q6h | 2.25 g q6h * | 2.25 g q8h * | 2.25 g q8h * |
| 4 | 4.5 g q8h | 4.5 g q8h | 2.25 g q6h | 2.25 g q6h * | 2.25 g q8h * | 2.25 g q8h * |
| 8 | 4.5 g q6h | 4.5 g q6h | 2.25 g q6h | 2.25 g q6h * | 2.25 g q8h * | 2.25 g q8h * |
| 16 | - | 4.5 g q6h | 4.5 g q6h | 2.25 g q6h * | 2.25 g q6h * | 2.25 g q8h * |
| 32 | - | - | - | 4.5 g q6h * | 4.5 g q6h * | 2.25 g q6h * |
| 64 | - | - | - | - | - | 4.5 g q6h * |
© 2020 by the authors. Licensee MDPI, Basel, Switzerland. This article is an open access article distributed under the terms and conditions of the Creative Commons Attribution (CC BY) license (http://creativecommons.org/licenses/by/4.0/).
Share and Cite
Ishihara, N.; Nishimura, N.; Ikawa, K.; Karino, F.; Miura, K.; Tamaki, H.; Yano, T.; Isobe, T.; Morikawa, N.; Naora, K. Population Pharmacokinetic Modeling and Pharmacodynamic Target Attainment Simulation of Piperacillin/Tazobactam for Dosing Optimization in Late Elderly Patients with Pneumonia. Antibiotics 2020, 9, 113. https://doi.org/10.3390/antibiotics9030113
Ishihara N, Nishimura N, Ikawa K, Karino F, Miura K, Tamaki H, Yano T, Isobe T, Morikawa N, Naora K. Population Pharmacokinetic Modeling and Pharmacodynamic Target Attainment Simulation of Piperacillin/Tazobactam for Dosing Optimization in Late Elderly Patients with Pneumonia. Antibiotics. 2020; 9(3):113. https://doi.org/10.3390/antibiotics9030113
Chicago/Turabian StyleIshihara, Noriyuki, Nobuhiro Nishimura, Kazuro Ikawa, Fumi Karino, Kiyotaka Miura, Hiroki Tamaki, Takahisa Yano, Takeshi Isobe, Norifumi Morikawa, and Kohji Naora. 2020. "Population Pharmacokinetic Modeling and Pharmacodynamic Target Attainment Simulation of Piperacillin/Tazobactam for Dosing Optimization in Late Elderly Patients with Pneumonia" Antibiotics 9, no. 3: 113. https://doi.org/10.3390/antibiotics9030113
APA StyleIshihara, N., Nishimura, N., Ikawa, K., Karino, F., Miura, K., Tamaki, H., Yano, T., Isobe, T., Morikawa, N., & Naora, K. (2020). Population Pharmacokinetic Modeling and Pharmacodynamic Target Attainment Simulation of Piperacillin/Tazobactam for Dosing Optimization in Late Elderly Patients with Pneumonia. Antibiotics, 9(3), 113. https://doi.org/10.3390/antibiotics9030113

