Precision Phage Cocktail Targeting Surface Appendages for Biocontrol of Salmonella in Cold-Stored Foods
Abstract
1. Introduction
2. Results and Discussion
2.1. Morphological and Genomic Features of Phages
2.2. The Determination of the Host Range of the Salmonella-Targeting Phages
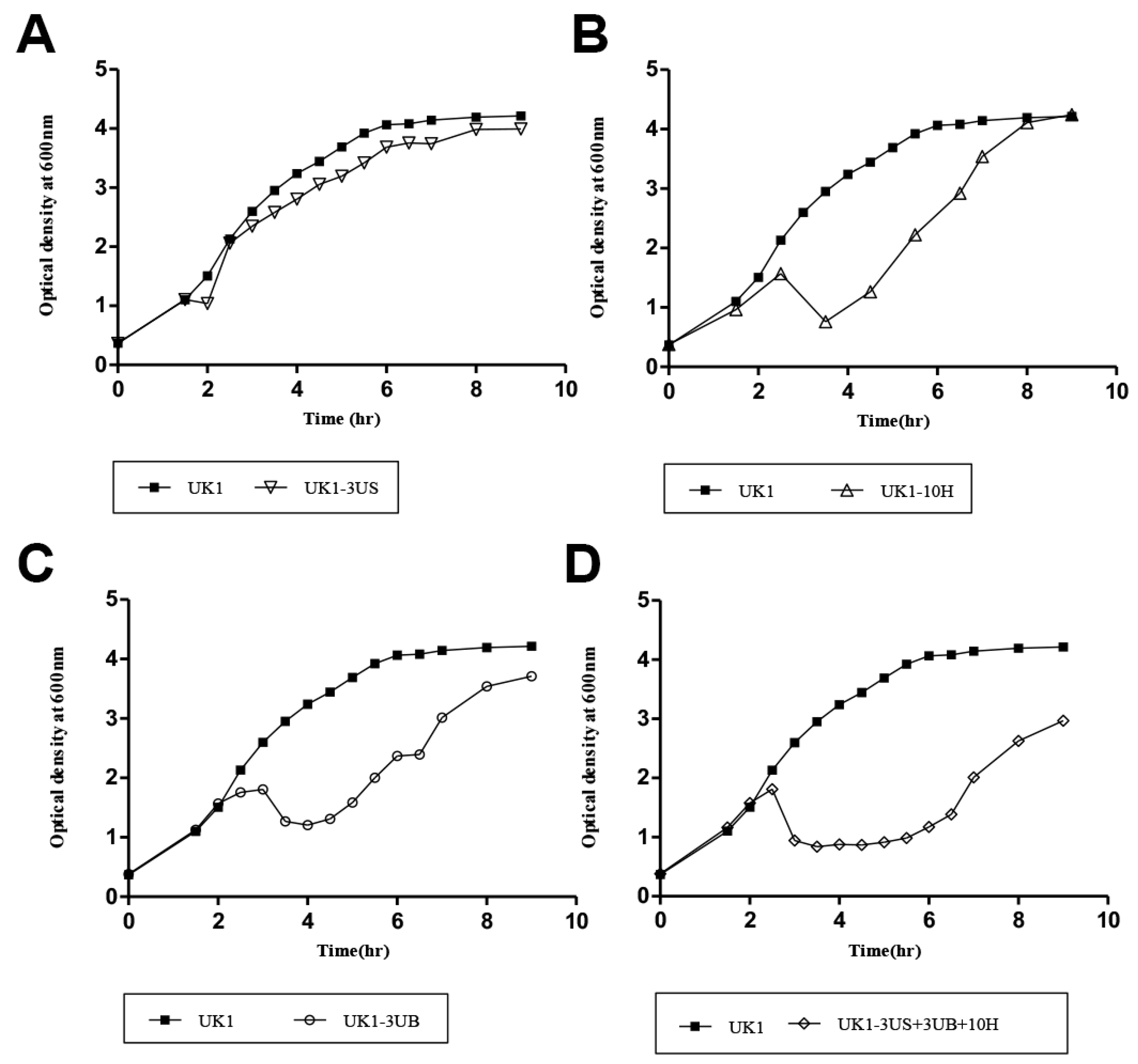
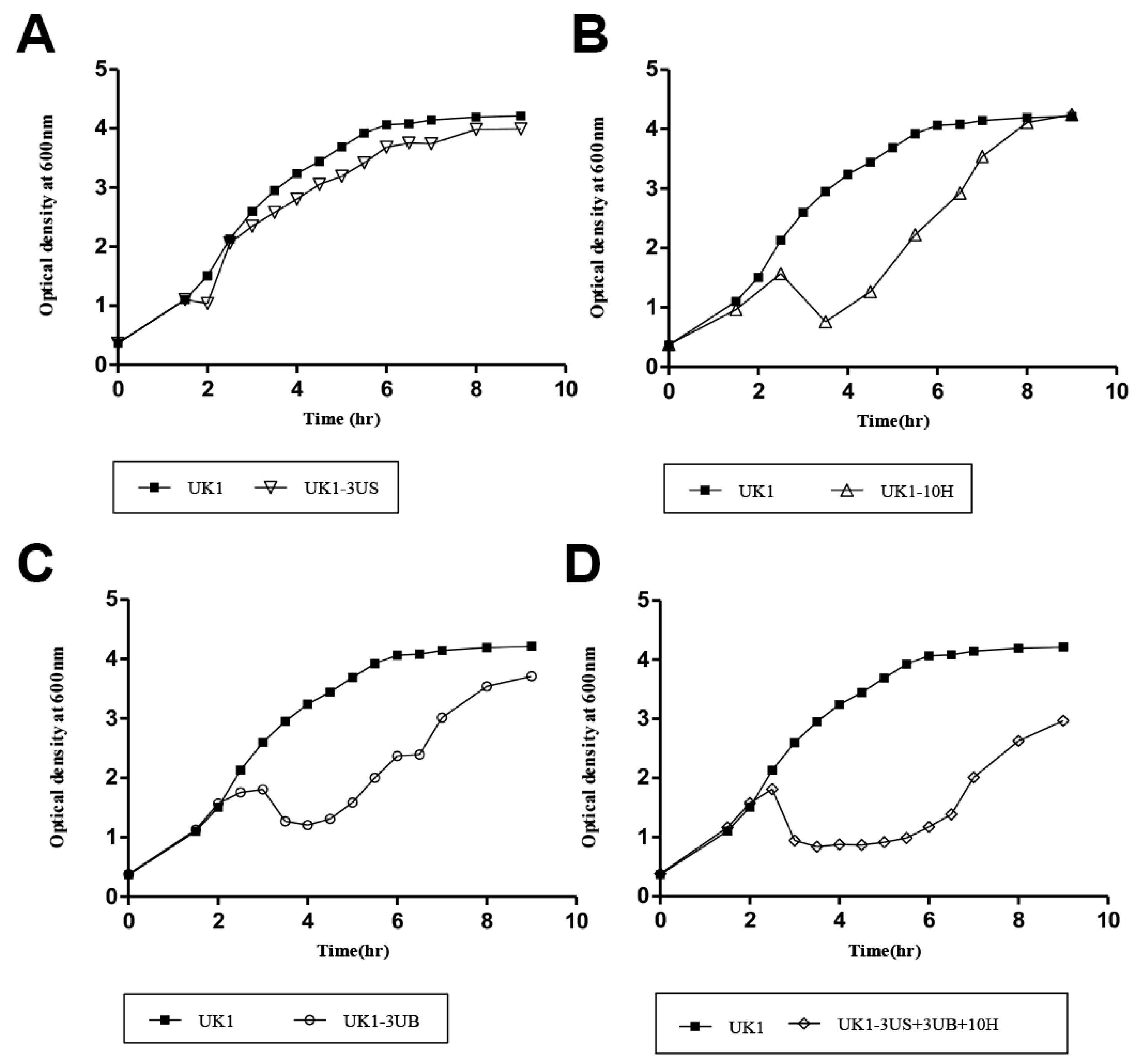
2.3. Bacterial Challenge Assay
2.4. The Application of the Phage Cocktail to Prevent Salmonella Contamination in Foods
3. Materials and Methods
3.1. Bacterial Strains and Growth Condition
3.2. Bacteriophage Isolation and Propagation
3.3. Bacteriophage Host Range
3.4. Morphological Analysis by TEM
3.5. Phage DNA Extraction
3.6. Whole-Genome Sequencing and Genomic Analysis
3.7. Bacterial Challenge Assay
3.8. Biocontrol of Bacteria in Foods
4. Conclusions
Author Contributions
Funding
Institutional Review Board Statement
Informed Consent Statement
Data Availability Statement
Conflicts of Interest
References
- Center for Disease Control and Prevention. Salmonella. Available online: https://www.cdc.gov/Salmonella/index.html (accessed on 15 February 2024).
- Interagency Food Safety Analytics Collaboration. Foodborne Illness Source Attribution Estimates for Salmonella, Escherichia coli O157, and Listeria monocytogenes Using Multi-Year Outbreak Surveillance Data, United States. Centers for Disease Control and Prevention, 2021. Available online: https://www.cdc.gov/foodsafety/ifsac/annual-reports.html (accessed on 1 July 2024).
- Naushad, S.; Ogunremi, D.; Huang, H. Salmonella: A Brief Review; IntechOpen: London, UK, 2023. [Google Scholar]
- Eng, S.K.; Pusparajah, P.; Ab Mutalib, N.S.; Ser, H.L.; Chan, K.G.; Lee, L.H. A review on pathogenesis, epidemiology and antibiotic resistance. Front. Life Sci. 2015, 8, 284–293. [Google Scholar] [CrossRef]
- Ferrari, R.G.; Rosario, D.K.; Cunha-Neto, A.; Mano, S.B.; Figueiredo, E.E.; Conte-Junior, C.A. Worldwide epidemiology of Salmonella serovars in animal-based foods: A meta-analysis. Appl. Environ. Microb. 2019, 85, e00591-19. [Google Scholar] [CrossRef] [PubMed]
- VT Nair, D.; Venkitanarayanan, K.; Kollanoor Johny, A. Antibiotic-resistant Salmonella in the food supply and the potential role of antibiotic alternatives for control. Foods 2018, 7, 167. [Google Scholar] [CrossRef] [PubMed]
- Wang, X.; Biswas, S.; Paudyal, N.; Pan, H.; Li, X.; Fang, W.; Yue, M. Antibiotic resistance in Salmonella Typhimurium isolates recovered from the food chain through national antimicrobial resistance monitoring system between 1996 and 2016. Front. Microbiol. 2019, 10, 985. [Google Scholar] [CrossRef] [PubMed]
- Azeredo, J.; Sutherland, I.W. The use of phages for the removal of infectious biofilms. Curr. Pharm. Biotechnol. 2008, 9, 261–266. [Google Scholar] [CrossRef]
- Lin, D.M.; Koskella, B.; Lin, H.C. Phage therapy: An alternative to antibiotics in the age of multi-drug resistance. World J. Gastrointest. Pharmacol. Ther. 2017, 8, 162. [Google Scholar] [CrossRef]
- Moye, Z.D.; Woolston, J.; Sulakvelidze, A. Bacteriophage applications for food production and processing. Viruses 2018, 10, 205. [Google Scholar] [CrossRef]
- Garcia, P.; Martinez, B.; Obeso, J.; Rodriguez, A. Bacteriophages and their application in food safety. Lett. Appl. Microbiol. 2008, 47, 479–485. [Google Scholar] [CrossRef]
- Lenneman, B.R.; Fernbach, J.; Loessner, M.J.; Lu, T.K.; Kilcher, S. Enhancing phage therapy through synthetic biology and genome engineering. Curr. Opin. Biotechnol. 2021, 68, 151–159. [Google Scholar] [CrossRef]
- Abedon, S.T.; Danis-Wlodarczyk, K.M.; Wozniak, D.J. Phage cocktail development for bacteriophage therapy: Toward improving spectrum of activity breadth and depth. Pharmaceuticals 2021, 14, 1019. [Google Scholar] [CrossRef]
- Abhisingha, M.; Dumnil, J.; Pitaksutheepong, C. Efficiency of phage cocktail to reduce Salmonella Typhimurium on chicken meat during low temperature storage. LWT 2020, 129, 109580. [Google Scholar] [CrossRef]
- Bai, J.; Jeon, B.; Ryu, S. Effective inhibition of Salmonella Typhimurium in fresh produce by a phage cocktail targeting multiple host receptors. Food Microbiol. 2019, 77, 52–60. [Google Scholar] [CrossRef] [PubMed]
- Zhu, Y.; Shang, J.; Peng, C.; Sun, Y. Phage family classification under Caudoviricetes: A review of current tools using the latest ICTV classification framework. Front. Microbiol. 2022, 13, 1032186. [Google Scholar] [CrossRef]
- Lee, J.H.; Shin, H.; Ryu, S. Complete genome sequence of Salmonella enterica serovar Typhimurium bacteriophage SPN3UB. J. Virol. 2012, 86, 3404–3405. [Google Scholar] [CrossRef][Green Version]
- Lee, J.H.; Shin, H.; Kim, H.; Ryu, S. Complete genome sequence of Salmonella bacteriophage SPN3US. J. Virol. 2011, 85, 13470–13471. [Google Scholar] [CrossRef]
- Kuo, T.T.; Stocker, B.A. ES18, a general transducing phage for smooth and nonsmooth Salmonella typhimurium. Virology 1970, 42, 621–632. [Google Scholar] [CrossRef] [PubMed]
- Otto, E.C.; Blanchette, R.A. Antagonistic interactions between native fungi of Minnesota and the root rot pathogen. For. Pathol. 2023, 53, e12836. [Google Scholar] [CrossRef]
- Patil, K.; Zeng, C.; O’Leary, C.; Lessor, L.; Kongari, R.; Gill, J.; Liu, M. Complete genome sequence of Salmonella enterica serovar Typhimurium siphophage Seabear. Microbiol. Resour. Announc. 2019, 8, 10-1128. [Google Scholar] [CrossRef]
- Grover, J.M.; Luna, A.J.; Wood, T.L.; Chamakura, K.R.; Kuty Everett, G.F. Complete genome of Salmonella enterica serovar Typhimurium T5-Like siphophage Stitch. Genome Announc. 2015, 3, e01435-14. [Google Scholar] [CrossRef]
- Hong, J.; Kim, K.P.; Heu, S.; Lee, S.J.; Adhya, S.; Ryu, S. Identification of host receptor and receptor-binding module of a newly sequenced T5-like phage EPS7. FEMS Microbiol. Lett. 2008, 289, 202–209. [Google Scholar] [CrossRef]
- McClelland, M.; Sanderson, K.E.; Spieth, J.; Clifton, S.W.; Latreille, P.; Courtney, L.; Porwollik, S.; Ali, J.; Dante, M.; Du, F.; et al. Complete genome sequence of Salmonella enterica serovar Typhimurium LT2. Nature 2001, 413, 852–856. [Google Scholar] [CrossRef] [PubMed]
- Zhang, X.; Kelly, S.M.; Bollen, W.S.; Curtiss, R., 3rd. Characterization and immunogenicity of Salmonella typhimurium SL1344 and UK-1 delta crp and delta cdt deletion mutants. Infect. Immun. 1997, 65, 5381–5387. [Google Scholar] [CrossRef] [PubMed]
- Poppe, C.; Smart, N.; Khakhria, R.; Johnson, W.; Spika, J.; Prescott, J. Salmonella typhimurium DT104: A virulent and drug-resistant pathogen. Can. Vet. J. 1998, 39, 559–565. [Google Scholar] [PubMed]
- Marti, R.; Zurfluh, K.; Hagens, S.; Pianezzi, J.; Klumpp, J.; Loessner, M.J. Long tail fibres of the novel broad-host-range T-even bacteriophage S16 specifically recognize Salmonella OmpC. Mol. Microbiol. 2013, 87, 818–834. [Google Scholar] [CrossRef] [PubMed]
- Hayashi, K.; Morooka, N.; Yamamoto, Y.; Fujita, K.; Isono, K.; Choi, S.; Ohtsubo, E.; Baba, T.; Wanner, B.L.; Mori, H.; et al. Highly accurate genome sequences of Escherichia coli K-12 strains MG1655 and W3110. Mol. Syst. Biol. 2006, 2, 2006-0007. [Google Scholar] [CrossRef]
- Hanahan, D. Studies on transformation of Escherichia coli with plasmids. J. Mol. Biol. 1983, 166, 557–580. [Google Scholar] [CrossRef]
- Monteiro, R.; Pires, D.P.; Costa, A.R.; Azeredo, J. Phage therapy: Going temperate? Trends Microbiol. 2019, 27, 368–378. [Google Scholar] [CrossRef]
- Stalin, N.; Srinivasan, P. Efficacy of potential phage cocktails against Vibrio harveyi and closely related Vibrio species isolated from shrimp aquaculture environment in the south east coast of India. Vet. Microbiol. 2017, 207, 83–96. [Google Scholar] [CrossRef]
- Islam, M.S.; Zhou, Y.; Liang, L.; Nime, I.; Liu, K.; Yan, T.; Wang, X.; Li, J. Application of a phage cocktail for control of Salmonella in foods and reducing biofilms. Viruses 2019, 11, 841. [Google Scholar] [CrossRef]
- Kim, M.; Kim, S.; Park, B.; Ryu, S. Core lipopolysaccharide-specific phage SSU5 as an auxiliary component of a phage cocktail for Salmonella bioncontrol. Appl. Environ. Microb. 2014, 80, 1026–1034. [Google Scholar] [CrossRef]
- Shin, H.; Lee, J.H.; Kim, H.; Choi, Y.; Heu, S.; Ryu, S. Receptor diversity and host interaction of bacteriophages infecting Salmonella enterica serovar Typhimurium. PLoS ONE 2012, 7, e43392. [Google Scholar] [CrossRef] [PubMed]
- Xu, Y. Phage and phage lysins: New era of bio-preservatives and food safety agents. J. Food Sci. 2021, 86, 3349–3373. [Google Scholar] [CrossRef]
- Bao, H.; Zhang, P.; Zhang, H.; Zhou, Y.; Zhang, L.; Wang, R. Bio-control of Salmonella enteritidis in foods using bacteriophages. Viruses 2015, 7, 4836–4853. [Google Scholar] [CrossRef] [PubMed]
- Zinno, P.; Devirgiliis, C.; Ercolini, D.; Ongeng, D.; Mauriello, G. Bacteriophage P22 to challenge Salmonella in foods. Int. J. Food Microbiol. 2014, 191, 69–74. [Google Scholar] [CrossRef]
- D’Aoust, J.Y. Psychrotrophy and foodborne Salmonella. Int. J. Food Microbiol. 1991, 13, 207–215. [Google Scholar] [CrossRef]
- Morey, A.; Singh, M. Low-temperature survival of Salmonella spp. in a model food system with natural microflora. Foodborne Pathog. Dis. 2012, 9, 218–223. [Google Scholar] [CrossRef] [PubMed]
- Duc, H.M.; Son, H.M.; Yi, H.P.S.; Sato, J.; Ngan, P.H.; Masuda, Y.; Honjoh, K.I.; Miyamoto, T. Isolation, characterization and application of a polyvalent phage capable of controlling Salmonella and Escherichia coli O157:H7 in different food matrices. Food Res. Int. 2020, 131, 108977. [Google Scholar] [CrossRef]
- Hooton, S.P.; Atterbury, R.J.; Connerton, I.F. Application of a bacteriophage cocktail to reduce Salmonella Typhimurium U288 contamination on pig skin. Int. J. Food Microbiol. 2011, 151, 157–163. [Google Scholar] [CrossRef]
- Lefkowitz, E.J.; Dempsey, D.M.; Hendrickson, R.C.; Orton, R.J.; Siddell, S.G.; Smith, D.B. Virus taxonomy: The database of the International Committee on Taxonomy of Viruses (ICTV). Nucleic Acids Res. 2018, 46, D708–D717. [Google Scholar] [CrossRef]
- Sambrook, J.; Russell, D.W. Molecular Cloning: A Laboratory Manual, 3rd ed.; Cold Spring Harbor Laboratory Press: Cold Spring Harbor, NY, USA, 2001. [Google Scholar]
- Edgar, R.C. MUSCLE: Multiple sequence alignment with high accuracy and high throughput. Nucleic Acids Res. 2004, 32, 1792–1797. [Google Scholar] [CrossRef]
- Tamura, K.; Stecher, G.; Kumar, S. MEGA11: Molecular Evolutionary Genetics Analysis version 11. Mol. Biol. Evol. 2021, 38, 3022–3027. [Google Scholar] [CrossRef] [PubMed]
- Saitou, N.; Nei, M. The neighbor-joining method: A new method for reconstructing phylogenetic trees. Mol. Biol. Evol. 1987, 4, 406–425. [Google Scholar] [CrossRef] [PubMed]
- Karabasanavar, N.S.; Madhavaprasad, C.B.; Gopalakrishna, S.A.; Hiremath, J.; Patil, G.S.; Barbuddhe, S.B. Prevalence of serotypes S. Enteritidis and S. Typhimurium in poultry and poultry products. J. Food Saf. 2020, 40, e12852. [Google Scholar] [CrossRef]





| Host Strains | Lytic Activity of Phage 1 | ||||
|---|---|---|---|---|---|
| SPN3UB | SPN3US | SPN10H | Source or Reference 2 | ||
| S. typhimurium | LT2 | C | C | C | [24] |
| UK1 | C | C | C | [25] | |
| SL1344 | C | C | C | NCTC | |
| 14028S | I | C | I | ATCC | |
| DT104 | C | C | I | [26] | |
| ATCC 19586 | C | C | C | ATCC | |
| ATCC 43174 | C | C | I | ATCC | |
| 3068 | C | C | I | Laboratory collection | |
| ATCC 12023 | C | C | C | ATCC | |
| BJ 3505 | - | C | C | Laboratory collection | |
| CS 634 | I | I | T | Laboratory collection | |
| CS 800 | I | C | C | Laboratory collection | |
| KCTC 1425 | - | C | C | KCTC | |
| KCTC 1925 | - | I | C | KCTC | |
| S.T 4174 | C | C | C | Laboratory collection | |
| ST DB7155 | C | C | C | [27] | |
| NCTC 12023 | I | C | C | NCTC | |
| Isolate 1 | I | - | - | Laboratory collection | |
| Isolate 2 | C | - | - | Laboratory collection | |
| Isolate 3 | C | - | I | Laboratory collection | |
| Isolate 4 | I | - | T | Laboratory collection | |
| Isolate 5 | C | - | I | Laboratory collection | |
| Isolate 6 | C | C | C | Laboratory collection | |
| Isolate 7 | C | - | I | Laboratory collection | |
| Isolate 8 | - | I | I | Laboratory collection | |
| Isolate 9 | C | C | C | Laboratory collection | |
| Isolate 10 | C | - | C | Laboratory collection | |
| S. enteritidis | ATCC 13076 | - | I | C | Laboratory collection |
| Isolate 1 | - | I | C | Laboratory collection | |
| Isolate 2 | - | C | C | Laboratory collection | |
| Isolate 3 | - | I | T | Laboratory collection | |
| Isolate 4 | C | - | T | Laboratory collection | |
| Isolate 5 | - | C | C | Laboratory collection | |
| Isolate 6 | I | I | C | Laboratory collection | |
| Isolate 7 | I | I | C | Laboratory collection | |
| Isolate 8 | - | C | C | Laboratory collection | |
| Isolate 9 | - | I | C | Laboratory collection | |
| Isolate 10 | I | I | C | Laboratory collection | |
| Other Gram-negative bacteria | E. coli MG1655 | - | - | C | [28] |
| E. coli DH5a | - | - | C | [29] | |
| E. coli O157:H7 ATCC 35150 | - | - | I | ATCC | |
| Cronobacter sakazakii ATCC 29544 | - | I | - | ATCC | |
| Gram-positive bacteria | B. cereus NRRL B-569 | - | - | - | NCTC |
Disclaimer/Publisher’s Note: The statements, opinions and data contained in all publications are solely those of the individual author(s) and contributor(s) and not of MDPI and/or the editor(s). MDPI and/or the editor(s) disclaim responsibility for any injury to people or property resulting from any ideas, methods, instructions or products referred to in the content. |
© 2024 by the authors. Licensee MDPI, Basel, Switzerland. This article is an open access article distributed under the terms and conditions of the Creative Commons Attribution (CC BY) license (https://creativecommons.org/licenses/by/4.0/).
Share and Cite
Kim, S.; Son, B.; Kim, H.; Shin, H.; Ryu, S. Precision Phage Cocktail Targeting Surface Appendages for Biocontrol of Salmonella in Cold-Stored Foods. Antibiotics 2024, 13, 799. https://doi.org/10.3390/antibiotics13090799
Kim S, Son B, Kim H, Shin H, Ryu S. Precision Phage Cocktail Targeting Surface Appendages for Biocontrol of Salmonella in Cold-Stored Foods. Antibiotics. 2024; 13(9):799. https://doi.org/10.3390/antibiotics13090799
Chicago/Turabian StyleKim, Seongok, Bokyung Son, Hyeryen Kim, Hakdong Shin, and Sangryeol Ryu. 2024. "Precision Phage Cocktail Targeting Surface Appendages for Biocontrol of Salmonella in Cold-Stored Foods" Antibiotics 13, no. 9: 799. https://doi.org/10.3390/antibiotics13090799
APA StyleKim, S., Son, B., Kim, H., Shin, H., & Ryu, S. (2024). Precision Phage Cocktail Targeting Surface Appendages for Biocontrol of Salmonella in Cold-Stored Foods. Antibiotics, 13(9), 799. https://doi.org/10.3390/antibiotics13090799

