Aerosol Inhalation Delivery of Ag Nanoparticles in Mice: Pharmacokinetics and Antibacterial Action
Abstract
1. Introduction
2. Experimental
2.1. Aerosol Generation and Inhalation Equipment
2.2. Investigation of Antibacterial Activity
3. Results and Discussion
3.1. Aerosol Measurements
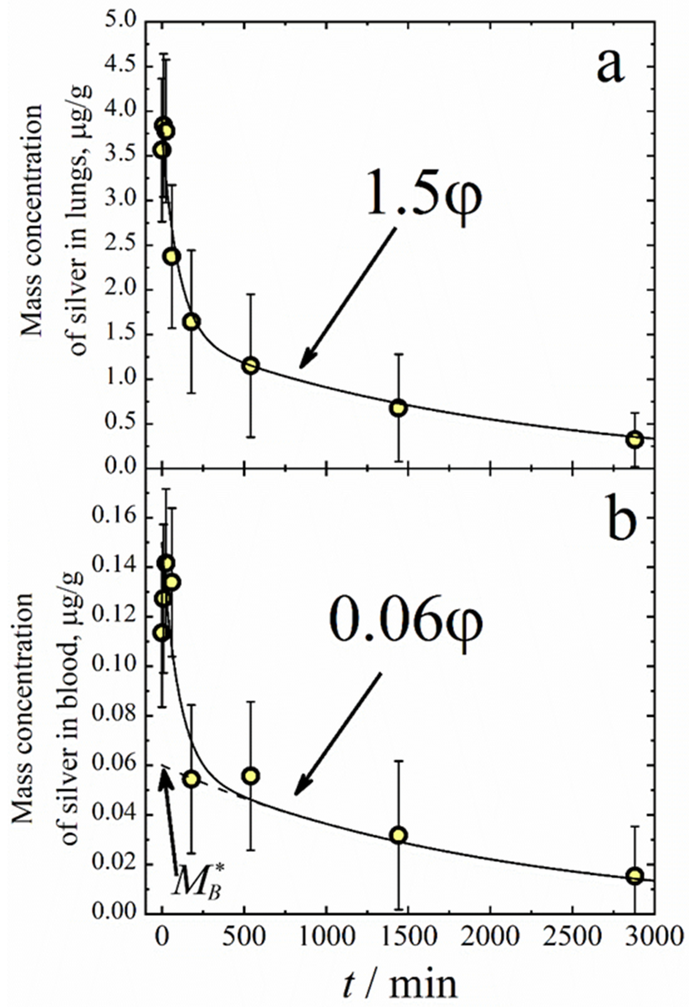
3.2. Pharmacokinetics of Silver Particles
3.3. Antibacterial Activity
4. Conclusions
Author Contributions
Funding
Institutional Review Board Statement
Informed Consent Statement
Data Availability Statement
Conflicts of Interest
References
- Shcherbakov, A.B.; Korchak, G.I.; Surmasheva, E.V.; Skorokhod, I.M.; Mikhienkova, A.I. Silver Preparations: Yesterday, Today, and Tomorrow. Farmatsevt. Zhurn. 2006, 5, 45–57. (In Russian) [Google Scholar]
- Barras, F.; Aussel, L.; Ezraty, B. Silver and antibiotic, new facts to an old story. Antibiotics 2018, 7, 79. [Google Scholar] [CrossRef] [PubMed]
- Wesley Alexander, J. History of the medical use of silver. Surg. Infect. 2009, 10, 289–292. [Google Scholar] [CrossRef] [PubMed]
- Politano, A.D.; Campbell, K.T.; Rosenberger, L.H.; Sawyer, R.G. Use of silver in the prevention and treatment of infections: Silver review. Surg. Infect. 2013, 14, 8–20. [Google Scholar] [CrossRef]
- Mijnendonckx, K.; Leys, N.; Mahillon, J.; Silver, S.; Van Houdt, R. Antimicrobial silver: Uses, toxicity and potential for resistance. Biometals 2013, 26, 609–621. [Google Scholar] [CrossRef]
- Kalmantaeva, O.V.; Firstova, V.V.; Grishchenko, N.S.; Rudnitskaya, T.I.; Potapov, V.D.; Ignatov, S.G. Antibacterial and immunomodulating activity of silver nanoparticles on mice experimental tuberculosis model. Appl. Biochem. Microbiol. 2020, 56, 226–232. [Google Scholar] [CrossRef]
- Zakharov, А.V.; Ergeshov, А.E.; Khokhlov, А.L.; Kibrik, B.S. Effectiveness of combination of isoniazid and silver nanoparticles in the treatment of experimental tuberculosis. Tuberc. Lung Dis. 2017, 95, 51–58. (In Russian) [Google Scholar] [CrossRef][Green Version]
- Banu, A.; Rathod, V. Biosynthesis of monodispersed silver nanoparticles and their activity against mycobacterium tuberculosis. Int. J. Biomed. Nanosci. Nanotechnol. 2013, 3, 211–220. [Google Scholar] [CrossRef]
- Selim, A.; Elhaig, M.M.; Taha, S.A.; Nasr, E.A. Antibacterial activity of silver nanoparticles against field and reference strains of Mycobacterium tuberculosis, Mycobacterium bovis and multiple-drug-resistant tuberculosis strains. OIE Revue Scientifique et Technique. 2018, 37, 823–830. [Google Scholar] [CrossRef]
- Ooi, M.L.; Richter, K.; Bennett, C.; Macias-Valle, L.; Vreugde, S.; Psaltis, A.J.; Wormald, P.-J. Topical colloidal silver for the treatment of recalcitrant chronic rhinosinusitis. Front. Microbiol. 2018, 9, 720. [Google Scholar] [CrossRef]
- Sim, W.; Barnard, R.T.; Blaskovich, M.A.; Ziora, Z.M. Antimicrobial silver in medicinal and consumer applications: A patent review of the past decade (2007–2017). Antibiot. 2018, 7, 93. [Google Scholar] [CrossRef]
- Al-Radadi, N.S.; Abu-Dief, A.M. Silver nanoparticles (AgNPs) as a metal nano-therapy: Possible mechanisms of antiviral action against COVID-19. Inorg. Nano-Met. Chem. 2022, 52, 1–19. [Google Scholar] [CrossRef]
- Ferdous, Z.; Nemmar, A. Health impact of silver nanoparticles: A review of the biodistribution and toxicity following various routes of exposure. Int. J. Mol. Sci. 2020, 21, 2375. [Google Scholar] [CrossRef]
- Bruna, T.; Maldonado-Bravo, F.; Jara, P.; Caro, N. Silver nanoparticles and their antibacterial applications. Int. J. Mol. Sci. 2021, 22, 7202. [Google Scholar] [CrossRef] [PubMed]
- Wei, L.; Lu, J.; Xu, H.; Patel, A.; Chen, Z.-S.; Chen, G. Silver nanoparticles: Synthesis, properties, and therapeutic applications. Drug Discov. Today 2015, 20, 595–601. [Google Scholar] [CrossRef] [PubMed]
- Xu, L.; Wang, Y.-Y.; Huang, J.; Chen, C.-Y.; Wang, Z.-X.; Xie, H. Silver nanoparticles: Synthesis, medical applications and biosafety. Theranostics 2020, 10, 8996–9031. [Google Scholar] [CrossRef] [PubMed]
- Long, Y.-M.; Hu, L.-G.; Yan, X.-T.; Zhao, X.-C.; Zhou, Q.-F.; Cai, Y.; Jiang, G.-B. Surface ligand controls silver ion release of nanosilver and its antibacterial activity against Escherichia coli. Int. J. Nanomed. 2017, 12, 3193–3206. [Google Scholar] [CrossRef] [PubMed]
- Lansdown, A.B.G. A pharmacological and toxicological profile of silver as an antimicrobial agent in medical devices. Adv. Pharmacol. Sci. 2010, 2010, 910686. [Google Scholar] [CrossRef]
- Drake, P.L.; Hazelwood, K.J. Exposure-related health effects of silver and silver compounds: A review. Ann.Occup. Hyg. 2005, 49, 575–585. [Google Scholar]
- Xu, J.Q.; Murphy, S.L.; Kochanek, K.D.; Bastian, B.A.; Arias, E. Deaths: Final Data for 2013, National Vital Statistics Reports; National Center for Health Statistics: Hyattsville, MD, USA, 2016. [Google Scholar]
- Wenzler, E.; Fraidenburg, D.R.; Scardina, T.; Danzigera, L.H. Inhaled antibiotics for gram-negative respiratory infections. Clin. Microbiol. Rev. 2016, 29, 581–632. [Google Scholar] [CrossRef]
- Quon, B.S.; Goss, C.H.; Ramsey, B.W. Inhaled antibiotics for lower airway infections. Ann. Am. Thorac. Soc. 2014, 11, 425–434. [Google Scholar] [CrossRef] [PubMed]
- Patil, J.S.; Sarasij, S. Pulmonary drug delivery strategies: A concise, systematic review. Lung India 2012, 29, 44–49. [Google Scholar] [PubMed]
- Sabuj, M.Z.R.; Islam, N. Inhaled antibiotic-loaded polymeric nanoparticles for the management of lower respiratory tract infections. Nanoscale Adv. 2021, 3, 4005–4018. [Google Scholar] [CrossRef]
- Weers, J. Inhaled antimicrobial therapy—Barriers to effective treatment. Adv. Drug Deliv. Rev. 2015, 85, 24–43. [Google Scholar]
- Sung, J.H.; Ji, J.H.; Park, J.D.; Yoon, J.U.; Kim, D.S.; Jeon, K.S.; Song, M.Y.; Jeong, J.; Han, B.S.; Han, J.H.; et al. Subchronic inhalation toxicity of silver nanoparticles. Toxicol. Sci. 2009, 108, 452–461. [Google Scholar] [CrossRef]
- Ji, J.H.; Jung, J.H.; Kim, S.S.; Yoon, J.U.; Park, J.D.; Choi, B.-S.; Chung, Y.H.; Kwon, I.H.; Jeong, J.; Han, B.S.; et al. Twenty-eight-day inhalation toxicity study of silver nanoparticles in Sprague-Dawley rats. Inhal. Toxicol. 2007, 19, 857–871. [Google Scholar] [CrossRef]
- Sung, J.H.; Ji, J.H.; Yoon, J.U.; Kim, D.S.; Song, M.Y.; Jeong, J.; Han, B.S.; Han, J.H.; Chung, Y.H.; Kim, J.; et al. Lung function changes in Sprague-Dawley rats after prolonged inhalation exposure to silver nanoparticles. Inhal. Toxicol. 2008, 20, 567–574. [Google Scholar] [CrossRef] [PubMed]
- Hyuna, J.-S.; Leeb, B.S.; Ryuc, H.Y.; Sungc, J.H.; Chunga, K.H.; Yua, I.J. Effects of repeated silver nanoparticles exposure on the histological structure and mucins of nasal respiratory mucosa in rats. Toxicol. Lett. 2008, 182, 24–28. [Google Scholar] [CrossRef]
- Song, K.S.; Sung, J.H.; Ji, J.H.; Lee, J.H.; Lee, J.S.; Ryu, H.R.; Lee, J.K.; Chung, Y.H.; Park, H.M.; Shin, B.S.; et al. Recovery from silver-nanoparticle-exposure-induced lung inflammation and lung function changes in Sprague Dawley rats. Nanotoxicology 2013, 7, 169–180. [Google Scholar] [CrossRef]
- Kim, J.S.; Sung, J.H.; Ji, J.H.; Song, K.S.; Lee, J.H.; Kang, C.S.; Yu, I.J. In vivo genotoxicity of silver nanoparticles after 90-day silver nanoparticle inhalation exposure. Saf. Health Work 2011, 2, 34–38. [Google Scholar] [CrossRef]
- Takenaka, S.; Karg, E.; Roth, C.; Schulz, H.; Ziesenis, A.; Heinzmann, U.; Schramel, P.; Heyder, J. Pulmonary and systemic distribution of inhaled ultrafine silver particles in rats. Environ. Health Perspect. 2001, 109, 547–551. [Google Scholar]
- Roberts, J.R.; McKinney, W.; Kan, H.; Krajnak, K.; Frazer, D.G.; Thomas, T.A.; Waugh, S.; Kenyon, A.; MacCuspie, R.I.; Hackley, V.A.; et al. Pulmonary and cardiovascular responses of rats to inhalation of silver nanoparticles. J. Toxicol. Environ. Health Part A 2013, 76, 651–668. [Google Scholar] [CrossRef] [PubMed]
- Stebounova, L.V.; Adamcakova-Dodd, A.; Kim, J.S.; Park, H.; O’Shaughnessy, P.T.; Grassian, V.H.; Thorne, P.S. Nanosilver induces minimal lung toxicity or inflammation in a subacute murine inhalation model. Part. Fibre Toxicol. 2011, 8, 5. [Google Scholar] [CrossRef] [PubMed]
- Braakhuis, H.M.; Gosens, I.; Krystek, P.; Boere, J.A.F.; Cassee, F.R.; Fokkens, P.H.B.; Post, J.A.; van Loveren, H.; Park, M.V.D.Z. Particle size dependent deposition and pulmonary inflammation after short-term inhalation of silver nanoparticles. Part. Fibre Toxicol. 2014, 11, 49. [Google Scholar] [CrossRef]
- Seiffert, J.; Buckley, A.; Leo, B.; Martin, N.G.; Zhu, J.; Dai, R.; Hussain, F.; Guo, C.; Warren, J.; Hodgson, A.; et al. Pulmonary effects of inhalation of spark-generated silver nanoparticles in Brown-Norway and Sprague–Dawley rats. Respir. Res. 2016, 17, 85. [Google Scholar] [CrossRef]
- Hadrup, N.; Sharma, A.K.; Loeschner, K.; Jacobsen, N.R. Pulmonary toxicity of silver vapours, nanoparticles and fine dusts: A review. Regul. Toxicol. Pharmacol. 2020, 115, 104690. [Google Scholar] [CrossRef] [PubMed]
- Kreyling, W.G.; Holzwarth, U.; Hirn, S.; Schlen, C.; Wenk, A.; Schaffler, M.; Haberl, N.; Gibson, N. Quantitative biokinetics over a 28 day period of freshly generated, pristine, 20 nm silver nanoparticle aerosols in healthy adult rats after a single 1½-hour inhalation exposure. Part Fibre Toxicol. 2020, 17, 21. [Google Scholar] [CrossRef] [PubMed]
- Valiulin, S.V.; Onischuk, A.A.; Baklanov, A.M.; An’kov, S.V.; Dubtsov, S.N.; Alekseev, A.A.; Shkil, N.N.; Nefedova, E.V.; Plokhotnichenko, M.E.; Tolstikova, T.G.; et al. Aerosol inhalation delivery of ceftriaxone in mice: Generation procedure, pharmacokinetics, and therapeutic outcome. Antibiotics 2022, 11, 1305. [Google Scholar] [CrossRef]
- Valiulin, S.; Onischuk, A.; Baklanov, A.; Dubtsov, S.; An’Kov, S.; Shkil, N.; Nefedova, E.; Plokhotnichenko, M.; Tolstikova, T.; Dolgov, A.; et al. Aerosol inhalation delivery of cefazolin in mice: Pharmacokinetic measurements and antibacterial effect. Int. J. Pharm. 2021, 607, 121013. [Google Scholar] [CrossRef]
- Dubtsov, S.; Ovchinnikova, T.; Valiulin, S.; Chen, X.; Manninen, H.E.; Aalto, P.P.; Petaj, T. Laboratory verification of Aerosol Diffusion Spectrometer and the application to ambient measurements of new particle formation. J. Aerosol Sci. 2017, 105, 10–23. [Google Scholar] [CrossRef]
- Onischuk, A.A.; Valiulin, S.V.; Baklanov, A.M.; Moiseenko, P.P.; Mitrochenko, V.G. Determination of the aerosol particle size distribution by means of the diffusion battery: Analytical inversion. Aerosol Sci. Technol. 2018, 52, 841–853. [Google Scholar] [CrossRef]
- Onischuk, A.A.; Valiulin, S.V.; Baklanov, A.M.; Moiseenko, P.P.; Mitrochenko, V.G.; Dultseva, G.G. Aerosol diffusion battery: Analytical inversion from noisy penetration. Measurement 2020, 164, 108049. [Google Scholar] [CrossRef]
- Onischuk, A.A.; Vosel, S.V.; Borovkova, O.V.; Baklanov, A.M.; Karasev, V.V.; diStasio, S. Experimental study of homogeneous nucleation from the bismuth supersaturated vapor: Evaluation of the surface tension of critical nucleus. J. Chem. Phys. 2012, 136, 224506. [Google Scholar] [CrossRef] [PubMed]
- Gonzalez, D.; Nasibulin, A.G.; Baklanov, A.M.; Shandakov, S.D.; Brown, D.P.; Queipo, P.; Kauppinen, E.I. A new thermophoretic precipitator for collection of nanometer-sized aerosol particles. Aerosol Sci. Technol. 2005, 39, 1064–1071. [Google Scholar] [CrossRef]
- Valiulin, S.V.; Onischuk, A.A.; Baklanov, A.M.; Dubtsov, S.N.; Dultseva, G.G.; An’kov, S.V.; Tolstikova, T.G.; Belogorodtsev, S.N.; Schwartz, Y.S. Studies of the specific activity of aerosolized isoniazid against tuberculosis in a mouse model. Antibiotics 2022, 11, 1527. [Google Scholar] [CrossRef]
- Kirsh, A.A.; Stechkina, I.B.; Fuchs, N.A. Efficiency of aerosol filters made of ultrafine polydisperse fibres. J. Aerosol Sci. 1975, 5, 119–124. [Google Scholar] [CrossRef]
- Winkler-Heil, R.; Hofmann, W. Modeling particle deposition in the Balb/c mouse respiratory tract. Inhal. Toxicol. 2016, 28, 180–191. [Google Scholar] [CrossRef]








| Group | Actions |
|---|---|
| Reference «−» | Not infected. Inhalation with pure air, 2 times for 20 min. |
| Reference «+» | Infected. Inhalation with pure air, 2 times for 20 min. |
| Aerosol | Infected. Inhalation with silver/PVP aerosol, 2 times for 20 min. |
| Time | Manipulations |
|---|---|
| 0 h 00 min | Introduction of the bacterial suspension (0.5 mL, 106 CFU/mL) |
| 0 h 10 min | Aerosol inhalation for 20 min |
| 3 h 30 min | Aerosol inhalation for 20 min |
| 4 h 30 min | Several animals are withdrawn from the experiment |
| Number of Animals | Day 1 | Day 2 | Day 3 | Day 4 | Days 5–9 | ||||||
|---|---|---|---|---|---|---|---|---|---|---|---|
| A | D | A | D | A | D | A | D | A | D | ||
| Reference «−» | 15 | 15 | 0 | 15 | 0 | 15 | 0 | 15 | 0 | 15 | 0 |
| Reference «+» | 15 | 15 | 0 | 7 | 8 | 0 | 15 | 0 | 15 | 0 | 15 |
| Aerosol | 15 | 15 | 0 | 14 | 1 | 14 | 1 | 14 | 1 | 14 | 1 |
| Number of Animals | Day 1 | Day 2 | Day 3 | Day 4 | Days 5–9 | ||||||
|---|---|---|---|---|---|---|---|---|---|---|---|
| A | D | A | D | A | D | A | D | A | D | ||
| Reference «−» | 6 | 6 | 0 | 6 | 0 | 6 | 0 | 6 | 0 | 6 | 0 |
| Reference «+» | 6 | 6 | 0 | 3 | 3 | 2 | 4 | 1 | 5 | 1 | 5 |
| Aerosol | 6 | 6 | 0 | 6 | 0 | 6 | 0 | 6 | 0 | 6 | 0 |
| Animal No. | CFU/mL | ||
|---|---|---|---|
| Reference «−» | Reference «+» | Aerosol | |
| 1 | 0 | 14,800 | 200 |
| 2 | 0 | 12,800 | 0 |
| 3 | 0 | 9000 | 400 |
| 4 | 0 | 14,500 | 100 |
| 5 | 0 | 4200 | 0 |
| Animal No. | CFU/mL | ||
|---|---|---|---|
| Reference «−» | Reference «+» | Aerosol | |
| 1 | 0 | 38,500 | 0 |
| 2 | 0 | 11,700 | 0 |
| 3 | 0 | 36,000 | 100 |
| 4 | 0 | 9600 | 100 |
Disclaimer/Publisher’s Note: The statements, opinions and data contained in all publications are solely those of the individual author(s) and contributor(s) and not of MDPI and/or the editor(s). MDPI and/or the editor(s) disclaim responsibility for any injury to people or property resulting from any ideas, methods, instructions or products referred to in the content. |
© 2023 by the authors. Licensee MDPI, Basel, Switzerland. This article is an open access article distributed under the terms and conditions of the Creative Commons Attribution (CC BY) license (https://creativecommons.org/licenses/by/4.0/).
Share and Cite
Valiulin, S.V.; Onischuk, A.A.; Pyryaeva, A.P.; An’kov, S.V.; Baklanov, A.M.; Shkil, N.N.; Nefedova, E.V.; Ershov, K.S.; Tolstikova, T.G.; Dultseva, G.G. Aerosol Inhalation Delivery of Ag Nanoparticles in Mice: Pharmacokinetics and Antibacterial Action. Antibiotics 2023, 12, 1534. https://doi.org/10.3390/antibiotics12101534
Valiulin SV, Onischuk AA, Pyryaeva AP, An’kov SV, Baklanov AM, Shkil NN, Nefedova EV, Ershov KS, Tolstikova TG, Dultseva GG. Aerosol Inhalation Delivery of Ag Nanoparticles in Mice: Pharmacokinetics and Antibacterial Action. Antibiotics. 2023; 12(10):1534. https://doi.org/10.3390/antibiotics12101534
Chicago/Turabian StyleValiulin, Sergey V., Andrei A. Onischuk, Alexandra P. Pyryaeva, Sergey V. An’kov, Anatoly M. Baklanov, Nikolay N. Shkil, Ekaterina V. Nefedova, Kirill S. Ershov, Tatyana G. Tolstikova, and Galina G. Dultseva. 2023. "Aerosol Inhalation Delivery of Ag Nanoparticles in Mice: Pharmacokinetics and Antibacterial Action" Antibiotics 12, no. 10: 1534. https://doi.org/10.3390/antibiotics12101534
APA StyleValiulin, S. V., Onischuk, A. A., Pyryaeva, A. P., An’kov, S. V., Baklanov, A. M., Shkil, N. N., Nefedova, E. V., Ershov, K. S., Tolstikova, T. G., & Dultseva, G. G. (2023). Aerosol Inhalation Delivery of Ag Nanoparticles in Mice: Pharmacokinetics and Antibacterial Action. Antibiotics, 12(10), 1534. https://doi.org/10.3390/antibiotics12101534

