Characterization of the Composition Variation of Healthy Human Gut Microbiome in Correlation with Antibiotic Usage and Yogurt Consumption
Abstract
1. Introduction
2. Results
2.1. Baseline Characteristics among Study Groups
2.2. Composition of the Gut Microbiota in groups of Antibiotic Usage and Yogurt Consumption
2.3. Alpha and Beta Diversity in the Gut Microbiome among Antibiotic Usage, Yogurt Consumption and Control
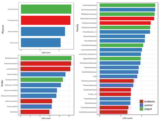
2.4. Biomarker Differences among Antibiotic Usage, Yogurt Consumption and Control
3. Discussion
4. Materials and Methods
4.1. Study Design and Participants
4.2. Sample Collection
4.3. Genomic DNA Extraction
4.4. PCR Amplification of the V3-V4 Region of 16S rRNA Gene
4.5. Microbial Data Analyses
5. Conclusions
Author Contributions
Funding
Institutional Review Board Statement
Informed Consent Statement
Data Availability Statement
Acknowledgments
Conflicts of Interest
References
- Thursby, E.; Juge, N. Introduction to the human gut microbiota. Biochem. J. 2017, 474, 1823–1836. [Google Scholar] [CrossRef]
- Moszak, M.; Szulińska, M.; Bogdański, P. You Are What You Eat-The Relationship between Diet, Microbiota, and Metabolic Disorders-A Review. Nutrients 2020, 12, 1096. [Google Scholar] [CrossRef] [PubMed]
- Bäumler, A.J.; Sperandio, V. Interactions between the microbiota and pathogenic bacteria in the gut. Nature 2016, 535, 85–93. [Google Scholar] [CrossRef]
- Bresser, L.R.F.; de Goffau, M.C. Gut Microbiota in Nutrition and Health with a Special Focus on Specific Bacterial Clusters. Cells 2022, 11, 3091. [Google Scholar] [CrossRef]
- Cook, J.; Prinz, M. Regulation of microglial physiology by the microbiota. Gut Microbes 2022, 14, 2125739. [Google Scholar] [CrossRef] [PubMed]
- Nash, A.K.; Auchtung, T.A.; Wong, M.C.; Smith, D.P.; Gesell, J.R.; Ross, M.C.; Stewart, C.J.; Metcalf, G.A.; Muzny, D.M.; Gibbs, R.A.; et al. The gut mycobiome of the Human Microbiome Project healthy cohort. Microbiome 2017, 5, 153. [Google Scholar] [CrossRef] [PubMed]
- Lamberte, L.E.; van Schaik, W. Antibiotic resistance in the commensal human gut microbiota. Curr. Opin. Microbiol. 2022, 68, 102150. [Google Scholar] [CrossRef]
- Kwon, Y.; Cho, Y.S.; Lee, Y.M.; Kim, S.J.; Bae, J.; Jeong, S.J. Changes to Gut Microbiota Following Systemic Antibiotic Administration in Infants. Antibiotics 2022, 11, 470. [Google Scholar] [CrossRef] [PubMed]
- Gu, X.; Sim, J.X.Y.; Lee, W.L.; Cui, L.; Chan, Y.F.Z.; Chang, E.D.; Teh, Y.E.; Zhang, A.N.; Armas, F.; Chandra, F.; et al. Gut Ruminococcaceae levels at baseline correlate with risk of antibiotic-associated diarrhea. iScience 2022, 25, 103644. [Google Scholar] [CrossRef] [PubMed]
- Crits-Christoph, A.; Hallowell, H.A.; Koutouvalis, K.; Suez, J. Good microbes, bad genes? The dissemination of antimicrobial resistance in the human microbiome. Gut Microbes 2022, 14, 2055944. [Google Scholar] [CrossRef]
- Khanna, S.; Tosh, P.K. A clinician’s primer on the role of the microbiome in human health and disease. Mayo Clin. Proc. 2014, 89, 107–114. [Google Scholar] [CrossRef]
- Kamińska, K.; Stenclik, D.; Błażejewska, W.; Bogdański, P.; Moszak, M. Probiotics in the Prevention and Treatment of Gestational Diabetes Mellitus (GDM): A Review. Nutrients 2022, 14, 4303. [Google Scholar] [CrossRef]
- Kopacz, K.; Phadtare, S. Probiotics for the Prevention of Antibiotic-Associated Diarrhea. Healthcare 2022, 10, 1450. [Google Scholar] [CrossRef]
- Oliver, A.; Xue, Z.; Villanueva, Y.T.; Durbin-Johnson, B.; Alkan, Z.; Taft, D.H.; Liu, J.; Korf, I.; Laugero, K.D.; Stephensen, C.B.; et al. Association of Diet and Antimicrobial Resistance in Healthy U.S. Adults. mBio 2022, 13, e0010122. [Google Scholar] [CrossRef]
- Fernandez, M.A.; Panahi, S.; Daniel, N.; Tremblay, A.; Marette, A. Yogurt and Cardiometabolic Diseases: A Critical Review of Potential Mechanisms. Adv. Nutr. 2017, 8, 812–829. [Google Scholar] [CrossRef]
- Dhariwal, A.; Chong, J.; Habib, S.; King, I.L.; Agellon, L.B.; Xia, J. MicrobiomeAnalyst: A web-based tool for comprehensive statistical, visual and meta-analysis of microbiome data. Nucleic Acids Res. 2017, 45, W180–W188. [Google Scholar] [CrossRef]
- Chong, J.; Liu, P.; Zhou, G.; Xia, J. Using MicrobiomeAnalyst for comprehensive statistical, functional, and meta-analysis of microbiome data. Nat. Protoc. 2020, 15, 799–821. [Google Scholar] [CrossRef]
- Kok, C.R.; Hutkins, R. Yogurt and other fermented foods as sources of health-promoting bacteria. Nutr. Rev. 2018, 76 (Suppl. S1), 4–15. [Google Scholar] [CrossRef]
- Alvaro, E.; Andrieux, C.; Rochet, V.; Rigottier-Gois, L.; Lepercq, P.; Sutren, M.; Galan, P.; Duval, Y.; Juste, C.; Doré, J. Composition and metabolism of the intestinal microbiota in consumers and non-consumers of yogurt. Br. J. Nutr. 2007, 97, 126–133. [Google Scholar] [CrossRef]
- Lim, S.M.; Jeong, J.J.; Woo, K.H.; Han, M.J.; Kim, D.H. Lactobacillus sakei OK67 ameliorates high-fat diet-induced blood glucose intolerance and obesity in mice by inhibiting gut microbiota lipopolysaccharide production and inducing colon tight junction protein expression. Nutr. Res. 2016, 36, 337–348. [Google Scholar] [CrossRef]
- Odamaki, T.; Sugahara, H.; Yonezawa, S.; Yaeshima, T.; Iwatsuki, K.; Tanabe, S.; Tominaga, T.; Togashi, H.; Benno, Y.; Xiao, J.Z. Effect of the oral intake of yogurt containing Bifidobacterium longum BB536 on the cell numbers of enterotoxigenic Bacteroides fragilis in microbiota. Anaerobe 2012, 18, 14–18. [Google Scholar] [CrossRef] [PubMed]
- Gómez-Gallego, C.; Gueimonde, M.; Salminen, S. The role of yogurt in food-based dietary guidelines. Nutr. Rev. 2018, 76 (Suppl. S1), 29–39. [Google Scholar] [CrossRef] [PubMed]
- Tutunchi, H.; Naghshi, S.; Naemi, M.; Naeini, F.; Esmaillzadeh, A. Yogurt consumption and risk of mortality from all causes, cardiovascular disease, and cancer: A comprehensive systematic review and dose-response meta-analysis of cohort studies. Public Health Nutr. 2022, 1–29, online ahead of print. [Google Scholar] [CrossRef]
- Tsigalou, C.; Konstantinidis, T.; Stavropoulou, E.; Bezirtzoglou, E.E.; Tsakris, A. Potential Elimination of Human Gut Resistome by Exploiting the Benefits of Functional Foods. Front. Microbiol. 2020, 11, 50. [Google Scholar] [CrossRef] [PubMed]
- Rosenberg, K. Multispecies Probiotic Can Prevent Antibiotic-Associated Diarrhea in Children. Am. J. Nurs. 2022, 122, 58. [Google Scholar] [CrossRef]
- Popkin, B.M.; Du, S.; Zhai, F.; Zhang, B. Cohort Profile: The China Health and Nutrition Survey--monitoring and understanding socio-economic and health change in China, 1989-2011. Int. J. Epidemiol. 2010, 39, 1435–1440. [Google Scholar] [CrossRef]
- Sun, S.; Wang, H.; Tsilimigras, M.C.; Howard, A.G.; Sha, W.; Zhang, J.; Su, C.; Wang, Z.; Du, S.; Sioda, M.; et al. Does geographical variation confound the relationship between host factors and the human gut microbiota: A population-based study in China. Bmj Open 2020, 10, e038163. [Google Scholar] [CrossRef]
- Bolyen, E.; Rideout, J.R.; Dillon, M.R.; Bokulich, N.A.; Abnet, C.C.; Al-Ghalith, G.A.; Alexander, H.; Alm, E.J.; Arumugam, M.; Asnicar, F.; et al. Reproducible, interactive, scalable and extensible microbiome data science using QIIME 2. Nat. Biotechnol. 2019, 37, 852–857. [Google Scholar] [CrossRef]



| Characteristics | Control Group (n = 494) | Yogurt Group (n = 497) | Antibiotic Group (n = 122) |
|---|---|---|---|
| Gender (n, %) | |||
| Male | 202 (40.9) | 202 (40.6) | 58 (47.5) |
| Female | 292 (59.1) | 295 (59.4) | 64 (52.5) |
| Age (year) | 48.5 | 48.0 | 54.7 |
| BMI (kg/m2) | 25.0 | 23.9 | 24.5 |
| WC (cm) | 86.3 | 83.4 | 85.7 |
| Smoke (n, %) | |||
| No | 372 (75.6) | 402 (81.1) | 87 (71.9) |
| Yes | 120 (24.4) | 94 (18.9) | 34 (28.1) |
| PA (METs/week) | 148.6 | 117.0 | 140.7 |
| Education (n, %) | |||
| Primary and below | 104 (23.5) | 36 (7.7) | 21 (21.6) |
| Junior high | 175 (39.6) | 136 (29.0) | 42 (43.3) |
| Senior high and above | 163 (36.9) | 297 (63.3) | 34 (35.1) |
| Total energy (kcal/d) | 2000.0 | 2043.1 | 1931.9 |
Publisher’s Note: MDPI stays neutral with regard to jurisdictional claims in published maps and institutional affiliations. |
© 2022 by the authors. Licensee MDPI, Basel, Switzerland. This article is an open access article distributed under the terms and conditions of the Creative Commons Attribution (CC BY) license (https://creativecommons.org/licenses/by/4.0/).
Share and Cite
Yan, S.; Zhang, X.; Jia, X.; Zhang, J.; Han, X.; Su, C.; Zhao, J.; Gou, W.; Xu, J.; Zhang, B. Characterization of the Composition Variation of Healthy Human Gut Microbiome in Correlation with Antibiotic Usage and Yogurt Consumption. Antibiotics 2022, 11, 1827. https://doi.org/10.3390/antibiotics11121827
Yan S, Zhang X, Jia X, Zhang J, Han X, Su C, Zhao J, Gou W, Xu J, Zhang B. Characterization of the Composition Variation of Healthy Human Gut Microbiome in Correlation with Antibiotic Usage and Yogurt Consumption. Antibiotics. 2022; 11(12):1827. https://doi.org/10.3390/antibiotics11121827
Chicago/Turabian StyleYan, Shaofei, Xiaofan Zhang, Xiaofang Jia, Jiguo Zhang, Xiaomin Han, Chang Su, Jianyun Zhao, Wanglong Gou, Jin Xu, and Bing Zhang. 2022. "Characterization of the Composition Variation of Healthy Human Gut Microbiome in Correlation with Antibiotic Usage and Yogurt Consumption" Antibiotics 11, no. 12: 1827. https://doi.org/10.3390/antibiotics11121827
APA StyleYan, S., Zhang, X., Jia, X., Zhang, J., Han, X., Su, C., Zhao, J., Gou, W., Xu, J., & Zhang, B. (2022). Characterization of the Composition Variation of Healthy Human Gut Microbiome in Correlation with Antibiotic Usage and Yogurt Consumption. Antibiotics, 11(12), 1827. https://doi.org/10.3390/antibiotics11121827

