Identification of a Small Molecule That Inhibits the Interaction of LPS Transporters LptA and LptC
Abstract
1. Introduction
2. Materials and Methods
2.1. Strains and Compound Library
2.2. Compound Library Screen
2.3. Quantitative β-Galactosidase (β-Gal) Assay
2.4. Expression and Purification of Recombinant Lpt Proteins
2.5. Surface Plasmon Resonance (SPR) Analysis
2.6. The Inhibition of E. coli Growth by the Compound IMB-0042
2.7. Testing the Mode of Action: Bacteriostatic vs. Bactericidal Mode
2.8. Light Microscopy and Transmission Electron Microscopy (TEM)
2.9. In Vitro Accumulation of Ethidium Bromide (EtBr)
2.10. Cytotoxicity Assay
2.11. Statistical Analysis
3. Results
3.1. Compound IMB-0042 Inhibits LptA/LptC Interaction in the Y2H System
3.2. Compound IMB-0042 Inhibits LptA/LptC Interaction In Vitro
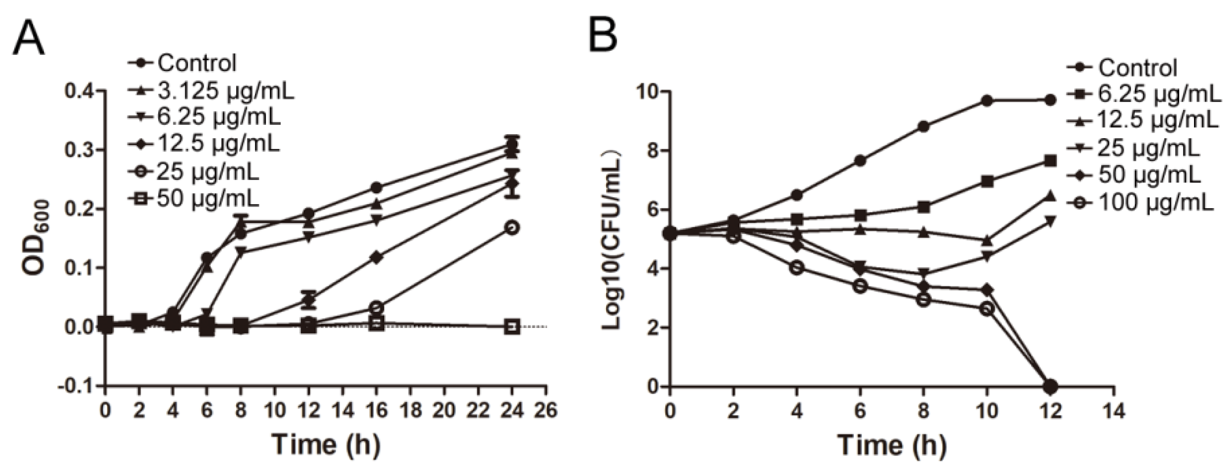
3.3. Antibacterial Activity of Compound IMB-0042
3.4. Effect of Compound IMB-0042 on the OM Structure
3.5. Toxicity of IMB-0042
4. Discussion
Supplementary Materials
Author Contributions
Funding
Institutional Review Board Statement
Informed Consent Statement
Data Availability Statement
Conflicts of Interest
References
- Tacconelli, E.; Carrara, E.; Savoldi, A.; Harbarth, S.; Mendelson, M.; Monnet, D.L.; Pulcini, C.; Kahlmeter, G.; Kluytmans, J.; Carmeli, Y.; et al. Discovery, research, and development of new antibiotics: The WHO priority list of antibiotic-resistant bacteria and tuberculosis. Lancet Infect. Dis. 2018, 18, 318–327. [Google Scholar] [CrossRef]
- Nikaido, H. Molecular basis of bacterial outer membrane permeability revisited. Microbiol. Mol. Biol. Rev. 2003, 67, 593–656. [Google Scholar] [CrossRef] [PubMed]
- Raetz, C.R.; Whitfield, C. Lipopolysaccharide endotoxins. Annu. Rev. Biochem. 2002, 71, 635–700. [Google Scholar] [CrossRef] [PubMed]
- Silhavy, T.J.; Kahne, D.; Walker, S. The bacterial cell envelope. Cold Spring Harb. Perspect. Biol. 2010, 2, a000414. [Google Scholar] [CrossRef]
- Ebbensgaard, A.; Mordhorst, H.; Aarestrup, F.M.; Hansen, E.B. The Role of Outer Membrane Proteins and Lipopolysaccharides for the Sensitivity of Escherichia coli to Antimicrobial Peptides. Front. Microbiol. 2018, 9, 2153. [Google Scholar] [CrossRef] [PubMed]
- Freinkman, E.; Okuda, S.; Ruiz, N.; Kahne, D. Regulated assembly of the transenvelope protein complex required for lipopolysaccharide export. Biochemistry 2012, 51, 4800–4806. [Google Scholar] [CrossRef] [PubMed]
- May, J.M.; Sherman, D.J.; Simpson, B.W.; Ruiz, N.; Kahne, D. Lipopolysaccharide transport to the cell surface: Periplasmic transport and assembly into the outer membrane. Philos. Trans. R. Soc. Lond. B Biol. Sci. 2015, 370, 20150027. [Google Scholar] [CrossRef]
- Okuda, S.; Sherman, D.J.; Silhavy, T.J.; Ruiz, N.; Kahne, D. Lipopolysaccharide transport and assembly at the outer membrane: The PEZ model. Nat. Rev. Microbiol. 2016, 14, 337–345. [Google Scholar] [CrossRef] [PubMed]
- Okuda, S.; Freinkman, E.; Kahne, D. Cytoplasmic ATP hydrolysis powers transport of lipopolysaccharide across the periplasm in E. coli. Science 2012, 338, 1214–1217. [Google Scholar] [CrossRef]
- Lo Sciuto, A.; Martorana, A.M.; Fernandez-Pinar, R.; Mancone, C.; Polissi, A.; Imperi, F. Pseudomonas aeruginosa LptE is crucial for LptD assembly, cell envelope integrity, antibiotic resistance and virulence. Virulence 2018, 9, 1718–1733. [Google Scholar] [CrossRef]
- Qiao, S.; Luo, Q.; Zhao, Y.; Zhang, X.C.; Huang, Y. Structural basis for lipopolysaccharide insertion in the bacterial outer membrane. Nature 2014, 511, 108–111. [Google Scholar] [CrossRef]
- Falchi, F.A.; Maccagni, E.A.; Puccio, S.; Peano, C.; De Castro, C.; Palmigiano, A.; Garozzo, D.; Martorana, A.M.; Polissi, A.; Deho, G.; et al. Mutation and Suppressor Analysis of the Essential Lipopolysaccharide Transport Protein LptA Reveals Strategies To Overcome Severe Outer Membrane Permeability Defects in Escherichia coli. J. Bacteriol. 2018, 200, e00487-17. [Google Scholar] [CrossRef]
- Sperandeo, P.; Cescutti, R.; Villa, R.; Di Benedetto, C.; Candia, D.; Deho, G.; Polissi, A. Characterization of lptA and lptB, two essential genes implicated in lipopolysaccharide transport to the outer membrane of Escherichia coli. J. Bacteriol. 2007, 189, 244–253. [Google Scholar] [CrossRef]
- Sperandeo, P.; Lau, F.K.; Carpentieri, A.; De Castro, C.; Molinaro, A.; Deho, G.; Silhavy, T.J.; Polissi, A. Functional analysis of the protein machinery required for transport of lipopolysaccharide to the outer membrane of Escherichia coli. J. Bacteriol. 2008, 190, 4460–4469. [Google Scholar] [CrossRef]
- Zhang, X.; Li, Y.; Wang, W.; Zhang, J.; Lin, Y.; Hong, B.; You, X.; Song, D.; Wang, Y.; Jiang, J.; et al. Identification of an anti-Gram-negative bacteria agent disrupting the interaction between lipopolysaccharide transporters LptA and LptC. Int. J. Antimicrob. Agents 2019, 53, 442–448. [Google Scholar] [CrossRef]
- Kim, S.; Jeon, J.-O.; Jun, E.; Jee, J.; Jung, H.-K.; Lee, B.-H.; Kim, I.-S.; Kim, S. Designing Peptide Bunches on Nanocage for Bispecific or Superaffinity Targeting. Biomacromolecules 2016, 17, 1150–1159. [Google Scholar] [CrossRef]
- Li, B.; Fields, S. Identification of mutations in p53 that affect its binding to SV40 large T antigen by using the yeast two-hybrid system. FASEB J. Off. Publ. Fed. Am. Soc. Exp. Biol. 1993, 7, 957–963. [Google Scholar] [CrossRef]
- Chavanieu, A.; Pugnière, M. Developments in SPR Fragment Screening. Expert Opin. Drug Discov. 2016, 11, 489–499. [Google Scholar] [CrossRef]
- Manganelli, R.; Martorana, A.M.; Motta, S.; Di Silvestre, D.; Falchi, F.; Dehò, G.; Mauri, P.; Sperandeo, P.; Polissi, A. Dissecting Escherichia coli Outer Membrane Biogenesis Using Differential Proteomics. PLoS ONE 2014, 9, e100941. [Google Scholar] [CrossRef]
- Gichner, T.; Mukherjee, A.; Velemínský, J. DNA staining with the fluorochromes EtBr, DAPI and YOYO-1 in the comet assay with tobacco plants after treatment with ethyl methanesulphonate, hyperthermia and DNase-I. Mutat. Res. Genet. Toxicol. Environ. Mutagenesis 2006, 605, 17–21. [Google Scholar] [CrossRef]
- Lundstedt, E.; Kahne, D.; Ruiz, N. Assembly and Maintenance of Lipids at the Bacterial Outer Membrane. Chem. Rev. 2021, 121, 5098–5123. [Google Scholar] [CrossRef] [PubMed]
- Suits, M.D.; Sperandeo, P.; Dehò, G.; Polissi, A.; Jia, Z. Novel structure of the conserved gram-negative lipopolysaccharide transport protein A and mutagenesis analysis. J. Mol. Biol. 2008, 380, 476–488. [Google Scholar] [CrossRef]
- Bos, M.P.; Robert, V.; Tommassen, J. Biogenesis of the gram-negative bacterial outer membrane. Annu. Rev. Microbiol. 2007, 61, 191–214. [Google Scholar] [CrossRef]
- Malojčić, G.; Andres, D.; Grabowicz, M.; George, A.H.; Ruiz, N.; Silhavy, T.J.; Kahne, D. LptE binds to and alters the physical state of LPS to catalyze its assembly at the cell surface. Proc. Natl. Acad. Sci. USA 2014, 111, 9467–9472. [Google Scholar] [CrossRef] [PubMed]
- Bollati, M.; Villa, R.; Gourlay, L.J.; Benedet, M.; Dehò, G.; Polissi, A.; Barbiroli, A.; Martorana, A.M.; Sperandeo, P.; Bolognesi, M.; et al. Crystal structure of LptH, the periplasmic component of the lipopolysaccharide transport machinery from Pseudomonas aeruginosa. FEBS J. 2015, 282, 1980–1997. [Google Scholar] [CrossRef] [PubMed]
- Putker, F.; Bos, M.P.; Tommassen, J. Transport of lipopolysaccharide to the Gram-negative bacterial cell surface. FEMS Microbiol. Rev. 2015, 39, 985–1002. [Google Scholar] [CrossRef] [PubMed]






| Sample | Kon (1/Ms) | Koff (1/s) | KD(M) |
|---|---|---|---|
| LptA with IMB-0042 | 2.78 × 103 | 1.30 × 10−2 | 4.67 × 10−6 |
| LptC with IMB-0042 | 1.51 × 103 | 4.93 × 10−2 | 3.26 × 10−5 |
| LptC with LptA | 1.69 ×105 | 3.85 × 10−1 | 2.28 × 10−6 |
| Compounds | MICCompound (μg/mL) | MICIMB-0042 (μg/mL) | FICI | ||
|---|---|---|---|---|---|
| Single | Combination | Single | Combination | ||
| polymyxin B | 0.03 | 0.00098 | 25 | 1.56 | 0.095 |
| Amikacin | 25 | 0.20 | 25 | 0.78 | 0.039 |
| Gentamicin | 12.5 | 0.05 | 25 | 1.56 | 0.066 |
| Ciprofloxacin | 6.25 | 1.56 | 25 | 12.5 | 0.75 |
| meropenem | 0.78 | 0.39 | 25 | 3.13 | 0.625 |
| Stranis | Compounds | MICCompound (μg/mL) | MICIMB-0042 (μg/mL) | FICI | ||
|---|---|---|---|---|---|---|
| Single | Combination | Single | Combination | |||
| E. colia | polymyxin B | 0.1 | 0.00625 | 3.13 | 0.125 | |
| Amikacin | 100 | 6.25 | 50 | 3.125 | 0.125 | |
| Gentamicin | >100 | >100 | 50 | >1 | ||
| E. colib | polymyxin B | 0.78 | 0.2 | 6.25 | 0.375 | |
| Amikacin | >100 | >100 | 50 | 6.25 | - | |
| Gentamicin | >100 | >100 | 50 | >1 | ||
| E. colic | polymyxin B | 12.5 | 6.25 | 50 | 1.5 | |
| Amikacin | 100 | 6.25 | 50 | 6.25 | 0.188 | |
| Gentamicin | 25 | 3.13 | 3.13 | 0.188 | ||
| E. colid | polymyxin B | 12.5 | 0.39 | 1.56 | 0.094 | |
| Amikacin | 6.25 | 0.39 | 25 | 6.25 | 0.313 | |
| Gentamicin | 50 | 12.5 | 1.56 | 0.313 | ||
| K. pneumonia | polymyxin B | 6.25 | 1.56 | 6.25 | 0.313 | |
| Amikacin | 6.25 | 6.25 | 100 | 50 | 1.5 | |
| Gentamicin | 50 | 50 | 50 | 1.5 | ||
| P. aeruginosa | polymyxin B | 25 | 0.39 | 3.13 | 0.047 | |
| Amikacin | >100 | 0.78 | 100 | 0.78 | 0.0156 | |
| Gentamicin | 100 | 0.39 | 0.78 | 0..0117 | ||
| A. baumannii | polymyxin B | 6.25 | 0.024 | 3.13 | 0.133 | |
| Amikacin | 12.5 | 6.25 | 25 | 12.5 | 0.75 | |
| Gentamicin | 25 | 6.25 | 12.5 | 0.75 | ||
Publisher’s Note: MDPI stays neutral with regard to jurisdictional claims in published maps and institutional affiliations. |
© 2022 by the authors. Licensee MDPI, Basel, Switzerland. This article is an open access article distributed under the terms and conditions of the Creative Commons Attribution (CC BY) license (https://creativecommons.org/licenses/by/4.0/).
Share and Cite
Dai, X.; Yuan, M.; Lu, Y.; Zhu, X.; Liu, C.; Zheng, Y.; Si, S.; Yuan, L.; Zhang, J.; Li, Y. Identification of a Small Molecule That Inhibits the Interaction of LPS Transporters LptA and LptC. Antibiotics 2022, 11, 1385. https://doi.org/10.3390/antibiotics11101385
Dai X, Yuan M, Lu Y, Zhu X, Liu C, Zheng Y, Si S, Yuan L, Zhang J, Li Y. Identification of a Small Molecule That Inhibits the Interaction of LPS Transporters LptA and LptC. Antibiotics. 2022; 11(10):1385. https://doi.org/10.3390/antibiotics11101385
Chicago/Turabian StyleDai, Xiaowei, Min Yuan, Yu Lu, Xiaohong Zhu, Chao Liu, Yifan Zheng, Shuyi Si, Lijie Yuan, Jing Zhang, and Yan Li. 2022. "Identification of a Small Molecule That Inhibits the Interaction of LPS Transporters LptA and LptC" Antibiotics 11, no. 10: 1385. https://doi.org/10.3390/antibiotics11101385
APA StyleDai, X., Yuan, M., Lu, Y., Zhu, X., Liu, C., Zheng, Y., Si, S., Yuan, L., Zhang, J., & Li, Y. (2022). Identification of a Small Molecule That Inhibits the Interaction of LPS Transporters LptA and LptC. Antibiotics, 11(10), 1385. https://doi.org/10.3390/antibiotics11101385

