Bioluminescent Whole-Cell Bioreporter Bacterial Panel for Sustainable Screening and Discovery of Bioactive Compounds Derived from Mushrooms
Abstract
1. Introduction
2. Materials and Methods
2.1. Bacterial Strains and Culturing Conditions
2.2. Mushroom Extracts
2.3. Bioluminescence Kinetics
2.4. Interpretation of Bioluminescence Kinetics
3. Results and Discussions
- (a)
- Selection of samples expressing a specific activity: by calculating the induction factor, it is possible to identify samples that are inducing bioluminescence (IF ≥ 1.5) and those that are inhibiting the bioluminescence IF ≤ 0.5 (Table 3 and Supplementary Material, Table S1: Individual profile toxicity).
- (b)
- Concentration-bioluminescence relationship: the presence of linearity between the two variables was examined (Table 3).
- (c)
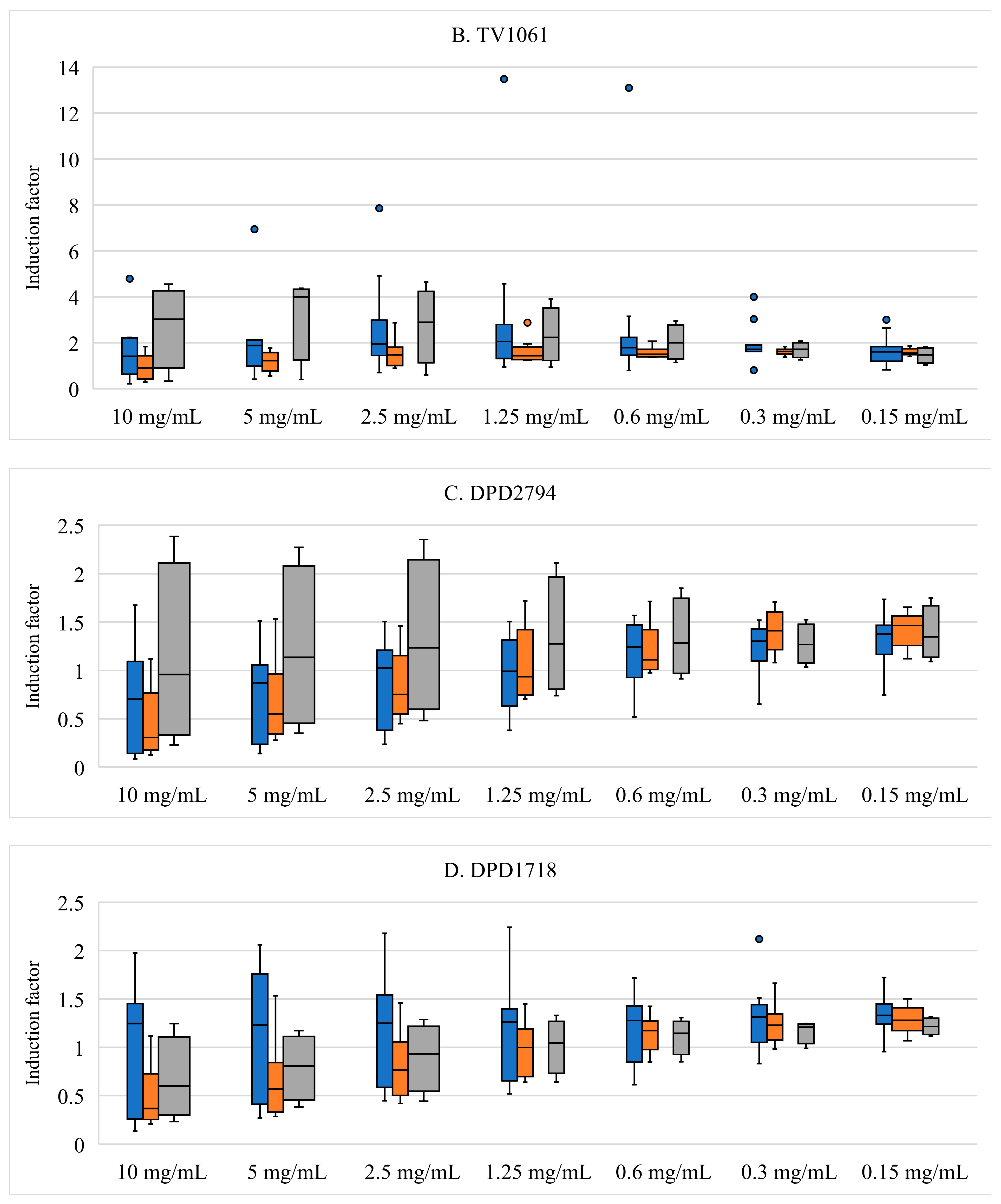
- Correlation between method of extraction and IF: extracts were prepared by different extraction techniques, including different solvents, which enabled the examination of the influence of extraction and, thus, the chemical composition of the extract on tested bacteria (Figure 2).
- (d)
- Active concentration: the correlation between the concentration of a sample and the IF was investigated (Figure 3).
| Strain Sensitivity | Quorum Sensing | Heat Shock | Genotoxicity | Fatty Acid Biosynthesis Inhibition | Oxidative Stress | ||
|---|---|---|---|---|---|---|---|
| Strain Name | K802NR | TV1061 | DPD2794 | DPD1718 | DPD2544 | DPD2511 | |
| Promoters | Iasl | grpE | recA | recA | fabA | katG | |
| No. | Name (Extraction) | ||||||
| 1 | A. muscaria (tincture in ethanol) | + * | ++ * | No | + * | No | ++ * | 
| 2 | A. auricula-judae (alkali extract) | No | + | + | No | No | No | 
| 3 | A. auricula-judae (water extract) | ++ | ++ * | + | No | No | ++ * | 
| 4 | Chaga (commercial dry extract) | + | +++ | - | - | No | No | 
| 5 | Chaga (tincture in ethanol 16%) | No | - | - | - | - | +++ * | 
| 6 | C. striatus (alkali extracts) | No | + | - | - | - | + * | 
| 7 | C. striatus (methanol extract) | ++ | +++ | ++ | No | No | +++ | 
| 8 | C. striatus (water extracts) | ++ | + | No | + * | No | ++ | 
| 9 | C. militaris (tincture in ethanol) | +++ | +++ | + * | + * | No | +++ | 
| 10 | C. cornucopioides (alkali extracts) | No | + | - | No | - | No | 
| 11 | C. cornucopioides (water extracts) | - | + | - | - | - | - | 
| 12 | D. quercina (methanol extract) | No | ++ | + | No | No | ++ | 
| 13 | F. hepatica (alkali extract) | ++ | + | -/+ | No | - | +++ | 
| 14 | F. hepatica (water extract) | +++ | ++ | + | No | No | +++ | 
| 15 | F. fomentarius (alkali extract) | + * | + | -/+ | - | - | ++ * | 
| 16 | F. fomentarius (methanol extract) | + * | +++ | + * | No | - | +++ * | 
| 17 | F. fomentarius (water extract) | No | + | - | - | - | ++ | 
| 18 | Ganoderic acids (70% ethanol extract) | No | + | No | No | No | ++ * | 
| 19 | F. betulinus (alkali extract) | No | + | - | - | - | No | 
| 20 | Fiptoporus betulinus (water extract) | + | ++ * | No | ++ * | No | ++ | 
| 21 | G. lucidum (PT) | + | ++ | + | No | No | ++ * | 
| 22 | G. lucidum (tincture in ethanol) | + | ++ * | No | ++ * | No | ++ * | 
| 23 | G. lucidum spores (water extract) | +++* | ++ | + | + | No | ++ * | 
| 24 | H. erinaceus (ethanol extract) | + * | +++ * | No | No | No | +++ | 
| 25 | H. erinaceus (tincture in ethanol) | + * | + * | + | + * | No | No | 
| 26 | I. hispidus (methanol extract) | No | - | - | - | - | +++ * | 
| 27 | I. obliquus (70% ethanol extract) | + | +++ * | No | No | - | + | 
| 28 | I. obliquus (subcritical water extract at 120 °C) | - | +++ | - | - | - | - | 
| 29 | I. obliquus (subcritical water extract at 200 °C) | No | + | - | - | -/+ | ++ | 
| 30 | L. sulphureus (water extract) | +++ * | ++ | + | + | No | ++ * | 
| 31 | M. giganteus (alkali extract) | +++ * | - | - | - | - | ++ * | 
| 32 | M. giganteus (water extract) | +++ | +++ | No | ++ * | - | +++ * | 
| 33 | O. sinensis (capsule, water extract) | +++ | +++ | + | + | No | +++ | 
| 34 | P. linteus (ethanol extract) | No | + | + | No | + | ++* | 
| 35 | P. cinnabarinus (ethanol extract) | No | ++ * | No | No | No | ++ | 
| 36 | T. versicolor (alkali extract) | ++ * | No | - | - | - | + | 
| 37 | T. versicolor (water extract) | +++ | ++ | + * | + * | No | + | 
| 38 | T. fuciformis (alkali extract) | ++ * | + | + * | + * | No | ++ | 
| 39 | T. fuciformis (water extract) | ++ * | ++ | + * | No | No | ++ | 




3.1. Quorum Sensing (Strain K802NR, Promoter Iasl)
3.2. Heat Shock (Strain TV1061, Promoter grpE)
3.3. Genotoxicity
3.3.1. Strain DPD2794 (Promoter recA)
3.3.2. Strain DPD1718 (Promoter recA)
3.4. Fatty Acid Biosynthesis Inhibition (Strain DPD2544, Promoter fabA)
3.5. Oxidative Stress (Strain DPD2511, Promoter katG)
4. Conclusions
Supplementary Materials
Author Contributions
Funding
Institutional Review Board Statement
Informed Consent Statement
Data Availability Statement
Acknowledgments
Conflicts of Interest
References
- Bartlett, A.; Padfield, D.; Lear, L.; Bendall, R.; Vos, M. A comprehensive list of bacterial pathogens infecting humans. Microbiology 2022, 168, 001269. [Google Scholar] [CrossRef] [PubMed]
- Van Boeckel, T.P.; Gandra, S.; Ashok, A.; Caudron, Q.; Grenfell, B.T.; Levin, S.A.; Laxminarayan, R. Global antibiotic consumption 2000 to 2010: An analysis of national pharmaceutical sales data. Lancet Infect. Dis. 2014, 14, 742–750. [Google Scholar] [CrossRef]
- Podolsky, S.H. The evolving response to antibiotic resistance (1945–2018). Palgrave Commun. 2018, 4, 124. [Google Scholar] [CrossRef]
- Ventola, C.L.J.P. The antibiotic resistance crisis: Part 2: Management strategies and new agents. Pharm. Ther. 2015, 40, 344. [Google Scholar]
- Miethke, M.; Pieroni, M.; Weber, T.; Brönstrup, M.; Hammann, P.; Halby, L.; Arimondo, P.B.; Glaser, P.; Aigle, B.; Bode, H.B.; et al. Towards the sustainable discovery and development of new antibiotics. Nat. Rev. Chem. 2021, 5, 726–749. [Google Scholar] [CrossRef] [PubMed]
- Hegemann, J.D.; Birkelbach, J.; Walesch, S.; Müller, R. Current developments in antibiotic discovery: Global microbial diversity as a source for evolutionary optimized anti-bacterials. EMBO Rep. 2023, 24, e56184. [Google Scholar] [CrossRef]
- Gonzalez-Pastor, R.; Carrera-Pacheco, S.E.; Zúñiga-Miranda, J.; Rodríguez-Pólit, C.; Mayorga-Ramos, A.; Guamán, L.P.; Barba-Ostria, C. Current landscape of methods to evaluate antimicrobial activity of natural extracts. Molecules 2023, 28, 1068. [Google Scholar] [CrossRef]
- Khan, Z.A.; Siddiqui, M.F.; Park, S. Current and emerging methods of antibiotic susceptibility testing. Diagnostics 2019, 9, 49. [Google Scholar] [CrossRef]
- Behera, B.; Vishnu, G.K.A.; Chatterjee, S.; Sitaramgupta, V.S.N.; Sreekumar, N.; Nagabhushan, A.; Rajendran, N.; Prathik, B.H.; Pandya, H.J. Emerging technologies for antibiotic susceptibility testing. Biosens. Bioelectron. 2019, 142, 111552. [Google Scholar] [CrossRef]
- Polyak, B.; Bassis, E.; Novodvorets, A.; Belkin, S.; Marks, R. Optical fiber bioluminescent whole-cell microbial biosensors to genotoxicants. Water Sci. Technol. 2000, 42, 305–311. [Google Scholar] [CrossRef]
- Hakkila, K.; Green, T.; Leskinen, P.; Ivask, A.; Marks, R.; Virta, M. Detection of bioavailable heavy metals in EILATox-Oregon samples using whole-cell luminescent bacterial sensors in suspension or immobilized onto fibre-optic tips. J. Appl. Toxicol. 2004, 24, 333–342. [Google Scholar] [CrossRef] [PubMed]
- Jia, K.; Eltzov, E.; Toury, T.; Marks, R.S.; Ionescu, R.E. A lower limit of detection for atrazine was obtained using bioluminescent reporter bacteria via a lower incubation temperature. Ecotoxicol. Environ. Saf. 2012, 84, 221–226. [Google Scholar] [CrossRef] [PubMed]
- Ivask, A.; Green, T.; Polyak, B.; Mor, A.; Kahru, A.; Virta, M.; Marks, R. Fibre-optic bacterial biosensors and their application for the analysis of bioavailable Hg and As in soils and sediments from Aznalcollar mining area in Spain. Biosens. Bioelectron. 2007, 22, 1396–1402. [Google Scholar] [CrossRef]
- Paul, A.A.; Kadosh, Y.S.; Kushmaro, A.; Marks, R.S. Microbead-Encapsulated Luminescent Bioreporter Screening of P. aeruginosa via Its Secreted Quorum-Sensing Molecules. Biosensors 2024, 14, 383. [Google Scholar] [CrossRef]
- Mazzai, A.; Eltzov, E.; Manzano, M.; Marks, R.S. Probing putative carcinogenic potential of processed and unprocessed meat using bioluminescent bacterial bioreporters. Sens. Actuators B Chem. 2017, 239, 113–119. [Google Scholar] [CrossRef]
- Sekler, M.S.; Levi, Y.; Polyak, B.; Novoa, A.; Dunlop, P.S.M.; Byrne, J.A.; Marks, R.S. Monitoring genotoxicity during the photocatalytic degradation of p-nitrophenol. J. Appl. Toxicol. Int. J. 2004, 24, 395–400. [Google Scholar] [CrossRef]
- Axelrod, T.; Eltzov, E.; Lerman, M.; Harpaz, D.; Marks, R.S. Cigarette smoke toxicity modes of action estimated by a bioluminescent bioreporter bacterial panel. Talanta 2021, 226, 122076. [Google Scholar] [CrossRef]
- Fine, T.; Leskinen, P.; Isobe, T.; Shiraishi, H.; Morita, M.; Marks, R.; Virta, M. Luminescent yeast cells entrapped in hydrogels for estrogenic endocrine disrupting chemical biodetection. Biosens. Bioelectron. 2006, 21, 2263–2269. [Google Scholar] [CrossRef]
- Eltzov, E.; Ben-Yosef, D.Z.; Kushmaro, A.; Marks, R. Detection of sub-inhibitory antibiotic concentrations via luminescent sensing bacteria and prediction of their mode of action. Sens. Actuators B Chem. 2008, 129, 685–692. [Google Scholar] [CrossRef]
- Eltzov, E.; Pennybaker, S.; Shanit-Orland, M.; Marks, R.S.; Kushmaro, A. Multi-resistance as a tool for detecting novel beta-lactam antibiotics in the environment. Sens. Actuators B Chem. 2012, 174, 342–348. [Google Scholar] [CrossRef]
- Harpaz, D.; Yeo, L.P.; Cecchini, F.; Koon, T.H.P.; Kushmaro, A.; Tok, A.I.Y.; Marks, R.S.; Eltzov, E. Measuring artificial sweeteners toxicity using a bioluminescent bacterial panel. Molecules 2018, 23, 2454. [Google Scholar] [CrossRef] [PubMed]
- Jia, K.; Marks, R.S.; Ionescu, R.E. Influence of carbon-based nanomaterials on lux-bioreporter Escherichia coli. Talanta 2014, 126, 208–213. [Google Scholar] [CrossRef] [PubMed]
- Hartono, M.R.; Kushmaro, A.; Chen, X.; Marks, R.S. Probing the toxicity mechanism of multiwalled carbon nanotubes on bacteria. Environ. Sci. Pollut. Res. 2018, 25, 5003–5012. [Google Scholar] [CrossRef]
- Harpaz, D.; Veltman, B.; Sadeh, Y.; Marks, R.S.; Bernstein, N.; Eltzov, E. The effect of cannabis toxicity on a model microbiome bacterium epitomized by a panel of bioluminescent E. coli. Chemosphere 2020, 263, 128241. [Google Scholar] [CrossRef]
- Eltzov, E.; Pavluchkov, V.; Burstin, M.; Marks, R.S. Creation of a fiber optic based biosensor for air toxicity monitoring. Sensors Actuators B Chem. 2011, 155, 859–867. [Google Scholar] [CrossRef]
- Polyak, B.; Geresh, S.; Marks, R.S. Synthesis and characterization of a biotin-alginate conjugate and its application in a biosensor construction. Biomacromolecules 2004, 5, 389–396. [Google Scholar] [CrossRef] [PubMed]
- Eltzov, E.; Cohen, A.; Marks, R.S. Bioluminescent liquid light guide pad biosensor for indoor air toxicity monitoring. Anal. Chem. 2015, 87, 3655–3661. [Google Scholar] [CrossRef] [PubMed]
- Eltzov, E.; Marks, R.S.; Voost, S.; Wullings, B.A.; Heringa, M.B. Flow-through real time bacterial biosensor for toxic compounds in water. Sens. Actuators B Chem. 2009, 142, 11–18. [Google Scholar] [CrossRef]
- Woutersen, M.; Van Der Gaag, B.; Abrafi Boakye, A.; Mink, J.; Marks, R.S.; Wagenvoort, A.J.; Ketelaars, H.A.M.; Brouwer, B.; Heringa, M.B. Development and validation of an on-line water toxicity sensor with immobilized luminescent bacteria for on-line surface water monitoring. Sensors 2017, 17, 2682. [Google Scholar] [CrossRef]
- Eltzov, E.; Prilutsky, D.; Kushmaro, A.; Marks, R.S.; Geddes, C.D. Metal-enhanced bioluminescence: An approach for monitoring biological luminescent processes. Appl. Phys. Lett. 2009, 94, 083901. [Google Scholar] [CrossRef]
- Jia, K.; Eltzov, E.; Marks, R.S.; Ionescu, R.E. Bioluminescence enhancement through an added washing protocol enabling a greater sensitivity to carbofuran toxicity. Ecotoxicol. Environ. Saf. 2013, 96, 61–66. [Google Scholar] [CrossRef] [PubMed]
- Polyak, B.; Bassis, E.; Novodvorets, A.; Belkin, S.; Marks, R.S. Bioluminescent whole cell optical fiber sensor to genotoxicants: System optimization. Sens. Actuators B Chem. 2001, 74, 18–26. [Google Scholar] [CrossRef]
- Sharifian, S.; Homaei, A.; Hemmati, R.; Luwor, R.B.; Khajeh, K. The emerging use of bioluminescence in medical research. Biomed. Pharmacother. 2018, 101, 74–86. [Google Scholar] [CrossRef] [PubMed]
- Syed, A.J.; Anderson, J.C. Applications of bioluminescence in biotechnology and beyond. Chem. Soc. Rev. 2021, 50, 5668–5705. [Google Scholar] [CrossRef]
- Xu, T.; Close, D.M.; Sayler, G.S.; Ripp, S. Genetically modified whole-cell bioreporters for environmental assessment. Ecol. Indic. 2013, 28, 125–141. [Google Scholar] [CrossRef] [PubMed]
- Petrović, P.; Vunduk, J. Nature and chemistry of bioactive components of wild edible mushrooms. In Wild Mushrooms; CRC Press: Boca Raton, FL, USA, 2022; pp. 211–257. [Google Scholar]
- Pandey, A.T.; Pandey, I.; Hachenberger, Y.; Krause, B.-C.; Haidar, R.; Laux, P.; Luch, A.; Singh, M.P.; Singh, A.V. Emerging paradigm against global antimicrobial resistance via bioprospecting of mushroom into novel nanotherapeutics development. Trends Food Sci. Technol. 2020, 106, 333–344. [Google Scholar] [CrossRef]
- Marks, R. Created in BioRender. 2024. Available online: https://biorender.com/o62u033 (accessed on 8 September 2024).
- Shlaes, D.M.; Shlaes, J.H.; Davies, J.; Williamson, R. Escherichia coli susceptible to glycopeptide antibiotics. Antimicrob. Agents Chemother. 1989, 33, 192–197. [Google Scholar] [CrossRef]
- Van Dyk, T.K.; Majarian, W.R.; Konstantinov, K.B.; Young, R.M.; Dhurjati, P.S.; A LaRossa, R. Rapid and sensitive pollutant detection by induction of heat shock gene-bioluminescence gene fusions. Appl. Environ. Microbiol. 1994, 60, 1414–1420. [Google Scholar] [CrossRef]
- Vollmer, A.C.; Belkin, S.; Smulski, D.R.; Van Dyk, T.K.; LaRossa, R.A. Detection of DNA damage by use of Escherichia coli carrying recA’:: Lux, uvrA’:: Lux, or alkA’:: Lux reporter plasmids. J. Appl. Environ. Microbiol. 1997, 63, 2566–2571. [Google Scholar] [CrossRef]
- Davidov, Y.; Rozen, R.; Smulski, D.R.; Van Dyk, T.K.; Vollmer, A.C.; Elsemore, D.A.; LaRossa, R.A.; Belkin, S. Improved bacterial SOS promoter∷lux fusions for genotoxicity detection. Mutat. Res. Toxicol. Environ. Mutagen. 2000, 466, 97–107. [Google Scholar] [CrossRef]
- Bechor, O.; Smulski, D.R.; Van Dyk, T.K.; LaRossa, R.A.; Belkin, S. Recombinant microorganisms as environmental biosensors: Pollutants detection by Escherichia coli bearing fabA′:: Lux fusions. J. Biotechnol. 2002, 94, 125–132. [Google Scholar] [CrossRef] [PubMed]
- Belkin, S.; Smulski, D.R.; Vollmer, A.C.; Van Dyk, T.K.; LaRossa, R.A. Oxidative stress detection with Escherichia coli harboring a katG’:: Lux fusion. J. Appl. Environ. Microbiol. 1996, 62, 2252–2256. [Google Scholar] [CrossRef] [PubMed]
- Vunduk, J.; Klaus, A.; Lazić, V.; Kozarski, M.; Radić, D.; Šovljanski, O.; Pezo, L. Artificial Neural Network Prediction of Antiadhesion and Antibiofilm-Forming Effects of Antimicrobial Active Mushroom Extracts on Food-Borne Pathogens. Antibiotics 2023, 12, 627. [Google Scholar] [CrossRef] [PubMed]
- Kozarski, M.; Klaus, A.; Špirović-Trifunović, B.; Miletić, S.; Lazić, V.; Žižak, Ž.; Vunduk, J. Bioprospecting of Selected Species of Polypore Fungi from the Western Balkans. Molecules 2024, 29, 314. [Google Scholar] [CrossRef]
- Lazić, V.; Klaus, A.; Kozarski, M.; Doroški, A.; Tosti, T.; Simić, S.; Vunduk, J. The Effect of Green Extraction Technologies on the Chemical Composition of Medicinal Chaga Mushroom Extracts. J. Fungi 2024, 10, 225. [Google Scholar] [CrossRef]
- Wood, K.O.; Lee, J.C. Integration of synthetic globin genes into an E. coli plasmid. Nucleic Acids Res. 1976, 3, 1961–1972. [Google Scholar] [CrossRef]
- Winson, M.K.; Swift, S.; Fish, L.; Throup, J.P.; Jørgensen, F.; Chhabra, S.R.; Bycroft, B.W.; Williams, P.; Stewart, G.S. Construction and analysis of luxCDABE-based plasmid sensors for investigating N-acyl homoserine lactone-mediated quorum sensing. FEMS Microbiol. Lett. 1998, 163, 185–192. [Google Scholar] [CrossRef]
- Fuqua, C.; Parsek, M.R.; Greenberg, E.P. Regulation of gene expression by cell-to-cell communication: Acyl-homoserine lactone quorum sensing. Annu. Rev. Genet. 2001, 35, 439–468. [Google Scholar] [CrossRef]
- Camilli, A.; Bassler, B.L. Bacterial small-molecule signaling pathways. Science 2006, 311, 1113–1116. [Google Scholar] [CrossRef]
- Glick, R.; Gilmour, C.; Tremblay, J.; Satanower, S.; Avidan, O.; Déziel, E.; Greenberg, E.P.; Poole, K.; Banin, E. Increase in Rhamnolipid Synthesis under Iron-Limiting Conditions Influences Surface Motility and Biofilm Formation in Pseudomonas aeruginosa. J. Bacteriol. 2010, 192, 2973–2980. [Google Scholar] [CrossRef]
- Mohamed, N.M.; Cicirelli, E.M.; Kan, J.; Chen, F.; Fuqua, C.; Hill, R.T. Diversity and quorum-sensing signal production of Proteobacteria associated with marine sponges. Environ. Microbiol. 2007, 10, 75–86. [Google Scholar] [CrossRef] [PubMed]
- Patriquin, G.M.; Banin, E.; Gilmour, C.; Tuchman, R.; Greenberg, E.P.; Poole, K. Influence of Quorum Sensing and Iron on Twitching Motility and Biofilm Formation in Pseudomonas aeruginosa. J. Bacteriol. 2008, 190, 662–671. [Google Scholar] [CrossRef]
- Thenmozhi, R.; Nithyanand, P.; Rathna, J.; Pandian, S.K. Antibiofilm activity of coral-associated bacteria against different clinical M serotypes of Streptococcus pyogenes. FEMS Immunol. Med. Microbiol. 2009, 57, 284–294. [Google Scholar] [CrossRef]
- Williams, P.J.M. Quorum sensing, communication and cross-kingdom signalling in the bacterial world. Microbiology 2007, 153, 3923–3938. [Google Scholar] [CrossRef] [PubMed]
- Golberg, K.; Eltzov, E.; Shnit-Orland, M.; Marks, R.S.; Kushmaro, A. Characterization of Quorum Sensing Signals in Coral-Associated Bacteria. Microb. Ecol. 2011, 61, 783–792. [Google Scholar] [CrossRef] [PubMed]
- Goh, E.-B.; Yim, G.; Tsui, W.; McClure, J.; Surette, M.G.; Davies, J. Transcriptional modulation of bacterial gene expression by subinhibitory concentrations of antibiotics. Proc. Natl. Acad. Sci. USA 2002, 99, 17025–17030. [Google Scholar] [CrossRef] [PubMed]
- Rutherford, S.T.; Bassler, B.L. Bacterial quorum sensing: Its role in virulence and possibilities for its control. Cold Spring Harb. Perspect. Med. 2012, 2, a012427. [Google Scholar] [CrossRef]
- Orio, A.G.A.; Petras, D.; Tobares, R.A.; Aksenov, A.A.; Wang, M.; Juncosa, F.; Sayago, P.; Moyano, A.J.; Dorrestein, P.C.; Smania, A.M. Fungal–bacterial interaction selects for quorum sensing mutants with increased production of natural antifungal compounds. Commun. Biol. 2020, 3, 670. [Google Scholar] [CrossRef]
- Kadosh, Y.S.; Muthuraman, S.; Nisaa, K.; Ben-Zvi, A.; Byron, D.L.K.; Shagan, M.; Brandis, A.; Mehlman, T.; Gopas, J.; Kumar, R.S.; et al. Pseudomonas aeruginosa quorum sensing and biofilm attenuation by a di-hydroxy derivative of piperlongumine (PL-18). Biofilm 2024, 8, 100215. [Google Scholar] [CrossRef]
- Robinson, G.M.; Tonks, K.M.; Thorn, R.M.S.; Reynolds, D.M. Application of Bacterial Bioluminescence to Assess the Efficacy of Fast-Acting Biocides. Antimicrob. Agents Chemother. 2011, 55, 5214–5219. [Google Scholar] [CrossRef]
- Klaus, A.; Kozarski, M.; Vunduk, J.; Todorovic, N.; Jakovljevic, D.; Zizak, Z.; Pavlovic, V.; Levic, S.; Niksic, M.; Van Griensven, L.J. Biological potential of extracts of the wild edible Basidiomycete mushroom Grifola frondosa. Food Res. Int. 2015, 67, 272–283. [Google Scholar] [CrossRef]
- Friedman, M. Mushroom Polysaccharides: Chemistry and Antiobesity, Antidiabetes, Anticancer, and Antibiotic Properties in Cells, Rodents, and Humans. Foods 2016, 5, 80. [Google Scholar] [CrossRef] [PubMed]
- Vunduk, J.; Wan-Mohtar, W.A.A.Q.I.; Mohamad, S.A.; Halim, N.H.A.; Dzomir, A.Z.M.; Žižak, Ž.; Klaus, A. Polysaccharides of Pleurotus flabellatus strain Mynuk produced by submerged fermentation as a promising novel tool against adhesion and biofilm formation of foodborne pathogens. LWT 2019, 112, 108221. [Google Scholar] [CrossRef]
- Thorn, R.M.S.; Nelson, S.M.; Greenman, J. Use of a bioluminescent Pseudomonas aeruginosa strain within an in vitro microbiological system, as a model of wound infection, to assess the antimicrobial efficacy of wound dressings by monitoring light production. Antimicrob. Agents Chemother. 2007, 51, 3217–3224. [Google Scholar] [CrossRef] [PubMed]
- Cutter, K.L.; Alloush, H.M.; Salisbury, V.C. Stimulation of DNA repair and increased light output in response to UV irradiation in Escherichia coli expressing lux genes. Luminescence 2007, 22, 177–181. [Google Scholar] [CrossRef]
- Klaus, A.; Kozarski, M.; Niksic, M.; Jakovljevic, D.; Todorovic, N.; Van Griensven, L.J. Antioxidative activities and chemical characterization of polysaccharides extracted from the basidiomycete Schizophyllum commune. LWT 2011, 44, 2005–2011. [Google Scholar] [CrossRef]
- Klaus, A.; Kozarski, M.; Niksic, M.; Jakovljevic, D.; Todorovic, N.; Stefanoska, I.; Van Griensven, L.J. The edible mushroom Laetiporus sulphureus as potential source of natural antioxidants. Int. J. Food Sci. Nutr. 2013, 64, 599–610. [Google Scholar] [CrossRef]
- Strapáč, I.; Bedlovičová, Z.; Čuvalová, A.; Handrová, L.; Kmeť, V. Antioxidant and anti-quorum sensing properties of edible mushrooms. J. Food Nutr. Res. 2019, 58, 146. [Google Scholar]
- Bains, A.; Chawla, P.; Inbaraj, B.S. Inbaraj, Evaluation of in vitro antimicrobial, antioxidant, and anti-quorum sensing activity of edible mushroom (Agrocybe aegerita). Foods 2023, 12, 3562. [Google Scholar] [CrossRef]
- Alves, M.J.; Ferreira, I.C.F.R.; Dias, J.; Teixeira, V.; Martins, A.; Pintado, M. A Review on Antimicrobial Activity of Mushroom (Basidiomycetes) Extracts and Isolated Compounds. Planta Medica 2012, 78, 1707–1718. [Google Scholar] [CrossRef]
- Karaca, B.; Cihan, A.Ç.; Akata, I.; Altuner, E.M. Anti-Biofilm and Antimicrobial Activities of Five Edible and Medicinal Macrofungi Samples on Some Biofilm Producing Multi Drug Resistant Enterococcus Strains. Turk. J. Agric.-Food Sci. Technol. 2020, 8, 69–80. [Google Scholar] [CrossRef]
- Zhu, H.; Wang, S.-X.; Zhang, S.-S.; Cao, C.-X. Inhibiting Effect of Bioactive Metabolites Produced by Mushroom Cultivation on Bacterial Quorum Sensing-Regulated Behaviors. Chemotherapy 2011, 57, 292–297. [Google Scholar] [CrossRef] [PubMed]
- Roy, R.; Tiwari, M.; Donelli, G.; Tiwari, V. Strategies for combating bacterial biofilms: A focus on anti-biofilm agents and their mechanisms of action. Virulence 2018, 9, 522–554. [Google Scholar] [CrossRef] [PubMed]
- Alves, M.J.; Ferreira, I.C.F.R.; Lourenço, I.; Costa, E.; Martins, A.; Pintado, M. Wild Mushroom Extracts as Inhibitors of Bacterial Biofilm Formation. Pathogens 2014, 3, 667–679. [Google Scholar] [CrossRef]
- Craig, E.A.; Gross, C.A. Is hsp70 the cellular thermometer? Trends Biochem. Sci. 1991, 16, 135–140. [Google Scholar] [CrossRef]
- LaRossa, R.A.; Van Dyk, T.K. Physiological roles of the DnaK and GroE stress proteins: Catalysts of protein folding or macromolecular sponges? Mol. Microbiol. 1991, 5, 529–534. [Google Scholar] [CrossRef]
- Van Dyk, T.K.; Belkin, S.; Vollmer, A.C.; Smulski, D.R.; Reed, T.R.; LaRossa, R.A. Fusions of Vibrio fischeri lux genes to Escherichia coli stress promoters: Detection of environmental stress. In Bioluminescence and Chemiluminescence: Fundamentals and Applied Aspects; Campbell, A.K., Kricka, L.J., Stanley, P.E., Eds.; Swarthmore College: Swarthmore, PA, USA, 1994. [Google Scholar]
- Kozarski, M.; Klaus, A.; Jakovljevic, D.; Todorovic, N.; Vunduk, J.; Petrović, P.; Niksic, M.; Vrvic, M.M.; Van Griensven, L. Antioxidants of Edible Mushrooms. Molecules 2015, 20, 19489–19525. [Google Scholar] [CrossRef]
- Kashmiri, Z.N.; Mankar, S.A. Free radicals and oxidative stress in bacteria. Int. J. Curr. Microbiol. Appl. Sci. 2014, 3, 34–40. [Google Scholar]
- Arpha, K.; Phosri, C.; Suwannasai, N.; Mongkolthanaruk, W.; Sodngam, S. Astraodoric acids A–D: New lanostane triterpenes from edible mushroom Astraeus odoratus and their anti-Mycobacterium tuberculosis H37Ra and cytotoxic activity. J. Agric. Food Chem. 2012, 60, 9834–9841. [Google Scholar] [CrossRef]
- Intaraudom, C.; Boonyuen, N.; Supothina, S.; Tobwor, P.; Prabpai, S.; Kongsaeree, P.; Pittayakhajonwut, P. Novel spiro-sesquiterpene from the mushroom Anthracophyllum sp. BCC18695. Phytochem. Lett. 2013, 6, 345–349. [Google Scholar] [CrossRef]
- Han, J.; Chen, Y.; Bao, L.; Yang, X.; Liu, D.; Li, S.; Zhao, F.; Liu, H. Anti-inflammatory and cytotoxic cyathane diterpenoids from the medicinal fungus Cyathus africanus. Fitoterapia 2013, 84, 22–31. [Google Scholar] [CrossRef] [PubMed]
- Wang, S.-J.; Li, Y.-X.; Bao, L.; Han, J.-J.; Yang, X.-L.; Li, H.-R.; Wang, Y.-Q.; Li, S.-J.; Liu, H.-W. Eryngiolide A, a Cytotoxic Macrocyclic Diterpenoid with an Unusual Cyclododecane Core Skeleton Produced by the Edible Mushroom Pleurotus eryngii. Org. Lett. 2012, 14, 3672–3675. [Google Scholar] [CrossRef] [PubMed]
- Kim, E.J.; Bin Seo, H.; Gu, M.B. Prescreening of Natural Products in Drug Discovery Using Recombinant Bioluminescent Bacteria. Biotechnol. Bioprocess Eng. 2019, 24, 264–271. [Google Scholar] [CrossRef]
- Kenyon, C.J.; Brent, R.; Ptashne, M.; Walker, G.C. Regulation of damage-inducible genes in Escherichia coli. J. Mol. Biol. 1982, 160, 445–457. [Google Scholar] [CrossRef] [PubMed]
- Papkova, S.V.; Tarasov, V.A.; Abilev, S.K. Cloning of recA and lexA genes on the plasmid with a broad host range. Genetika 1993, 29, 914–921. [Google Scholar]
- Wang, Y.; Ma, S. Recent Advances in Inhibitors of Bacterial Fatty Acid Synthesis Type II (FASII) System Enzymes as Potential Antibacterial Agents. ChemMedChem 2013, 8, 1589–1608. [Google Scholar] [CrossRef]
- Szychowski, K.A.; Skóra, B.; Pomianek, T.; Gmiński, J. Inonotus obliquus–from folk medicine to clinical use. J. Tradit. Complement. Med. 2021, 11, 293–302. [Google Scholar] [CrossRef]
- Badalyan, S.M.; Rapior, S. Perspectives of Biomedical Application of Macrofungi. Curr. Trends Biomed. Eng. Biosci. 2020, 19, 1–4. [Google Scholar] [CrossRef]
- Xu, W.; Gavia, D.J.; Tang, Y. Biosynthesis of fungal indole alkaloids. Nat. Prod. Rep. 2014, 31, 1474–1487. [Google Scholar] [CrossRef]
- Yaoita, Y.; Kikuchi, M.; Machida, K. Terpenoids and sterols from mushrooms. Stud. Nat. Prod. Chem. 2015, 44, 1–32. [Google Scholar]
- Dupont, S.; Fleurat-Lessard, P.; Cruz, R.G.; Lafarge, C.; Grangeteau, C.; Yahou, F.; Gerbeau-Pissot, P.; Júnior, O.A.; Gervais, P.; Simon-Plas, F.; et al. Antioxidant Properties of Ergosterol and Its Role in Yeast Resistance to Oxidation. Antioxidants 2021, 10, 1024. [Google Scholar] [CrossRef] [PubMed]
- Jeong, Y.-U.; Park, Y.-J. Ergosterol Peroxide from the Medicinal Mushroom Ganoderma lucidum Inhibits Differentiation and Lipid Accumulation of 3T3-L1 Adipocytes. Int. J. Mol. Sci. 2020, 21, 460. [Google Scholar] [CrossRef] [PubMed]
- Yoneyama, T.; Takahashi, H.; Grudniewska, A.; Ban, S.; Umeyama, A.; Noji, M. Ergostane-Type Sterols from Several Cordyceps Strains. Nat. Prod. Commun. 2022, 17, 1–8. [Google Scholar] [CrossRef]

| E. coli Strain | Plasmid/Host | Promoter | Strain Sensitivity | Inducer of Bioluminescence | Conc. of Inducer | Ref. | 
|---|---|---|---|---|---|---|
| K802NR | pSB1075/K-12 | Iasl | Quorum sensing | Nalidixic acid | 0.1 mg/mL | [39] | 
| TV1061 | pGrpELux/RFM443 | grpE | Heat shock | Ethanol | 15.8 mg/mL | [40] | 
| DPD2794 | pRecALux/RFM443 | recA | DNA damage | Mitomycin C | 0.0008 mg/mL | [41] | 
| DPD1718 | */DPD1692 | recA | DNA damage | Mitomycin C | 0.0008 mg/mL | [42] | 
| DPD2544 | pFabALux/W3110 | fabA | Fatty acid biosynthesis inhibition | Phenol | 0.047 mg/mL | [43] | 
| DPD2511 | pKatGLux2/RFM443 | katG | Oxidative stress | Hydrogen peroxide | 0.0035 mg/mL | [44] | 
| Nr. | Name | Initial Form | Extraction | Extraction Ref. | Solvent for Extract | 
|---|---|---|---|---|---|
| 1 | Amanita muscaria | tincture, 40% v/v ethanol | ethanol | PT | 0.25% DMSO | 
| 2 | Auricularia auricula-judae | dry extract | alkaline | [45] | water | 
| 3 | Auricularia auricula-judae | dry extract | water | [45] | water | 
| 4 | Chaga (Inonotus obliquus) | commercial dry extract | water | PT | water | 
| 5 | Chaga (Inonotus obliquus) | tincture, 16% v/v ethanol | ethanol | PT | 0.25% DMSO | 
| 6 | Ciatus striatus | dry extract | alkaline | [45] | water | 
| 7 | Ciatus striatus | dry extract | methanol | [46] | 0.25% DMSO | 
| 8 | Ciatus striatus | dry extract | water | [45] | water | 
| 9 | Cordyceps militaris | tincture, 26% v/v ethanol | combined water and ethanol | PT | 0.25% DMSO | 
| 10 | Craterellus cornucopioides | dry extract | alkaline | [45] | water | 
| 11 | Craterellus cornucopioides | dry extract | water | [45] | water | 
| 12 | Daedalea quercina | dry extract | methanol | [46] | 0.25% DMSO | 
| 13 | Fistulina hepatica | dry extract | alkaline | [45] | water | 
| 14 | Fistulina hepatica | dry extract | water | [45] | water | 
| 15 | Fomes fomentarius | dry extract | alkaline | [45] | water | 
| 16 | Fomes fomentarius | dry extract | methanol | [46] | 0.25% DMSO | 
| 17 | Fomes fomentarius | dry extract | water | [45] | water | 
| 18 | Fomitopsis betulinus | dry extract | alkaline | [45] | water | 
| 19 | Fomitopsis betulinus | dry extract | ethanol | water | |
| 20 | Ganoderic acids, extract | 70% v/v ethanol extract, crude | ethanol | PT | 0.25% DMSO | 
| 21 | Ganoderma lucidum | tincture, 26% v/v ethanol | combined water and ethanol | [45] | 0.25% DMSO | 
| 22 | Ganoderma lucidum (PT) | tincture, 26% v/v ethanol | combined water and ethanol extract | PT | 0.25% DMSO | 
| 23 | Ganoderma lucidum spores (cell wall broken) | dry extract, commercial | proprietary technology | PT | water | 
| 24 | Hericium erinaceus | dry extract | ethanol, 70% | PT | 0.25% DMSO | 
| 25 | Hericium erinaceus | tincture, 26% v/v ethanol | combined water and ethanol extract | [45] | 0.25% DMSO | 
| 26 | Inonotus hispidus | dry extract | methanol | [46] | 0.25% DMSO | 
| 27 | Inonotus obliquus | dry extract | 70% ethanol | water | |
| 28 | Inonotus obliquus | dry extract | subcritical water extract at 120 °C | [47] | water | 
| 29 | Inonotus obliquus | dry extract | subcritical water extract at 200 °C | [47] | water | 
| 30 | Laetiporus sulphureus | dry extract | water | [45] | water | 
| 31 | Meripilus giganteus | dry extract | alkaline | [45] | water | 
| 32 | Meripilus giganteus | dry extract | water | [45] | water | 
| 33 | Ophiocordyceps sinensis-mycelium | capsules—dry extract powder (standardized to 30% polysaccharides) | water | PT | water | 
| 34 | Phellinus linteus | dry extract | ethanol | water | |
| 35 | Pycnoporus cinnabarinus | dry extract | ethanol | 0.25% DMSO | |
| 36 | Trametes versicolor | dry extract | alkaline | [45] | water | 
| 37 | Trametes versicolor | dry extract | water | [45] | water | 
| 38 | Tremella fuciformis, cultivated | dry extract | alkaline | [45] | water | 
| 39 | Tremella fuciformis, cultivated | dry extract | water | [45] | water | 
| Disclaimer/Publisher’s Note: The statements, opinions and data contained in all publications are solely those of the individual author(s) and contributor(s) and not of MDPI and/or the editor(s). MDPI and/or the editor(s) disclaim responsibility for any injury to people or property resulting from any ideas, methods, instructions or products referred to in the content. | 
© 2024 by the authors. Licensee MDPI, Basel, Switzerland. This article is an open access article distributed under the terms and conditions of the Creative Commons Attribution (CC BY) license (https://creativecommons.org/licenses/by/4.0/).
Share and Cite
Trif, C.; Vunduk, J.; Parcharoen, Y.; Bualuang, A.; Marks, R.S. Bioluminescent Whole-Cell Bioreporter Bacterial Panel for Sustainable Screening and Discovery of Bioactive Compounds Derived from Mushrooms. Biosensors 2024, 14, 558. https://doi.org/10.3390/bios14110558
Trif C, Vunduk J, Parcharoen Y, Bualuang A, Marks RS. Bioluminescent Whole-Cell Bioreporter Bacterial Panel for Sustainable Screening and Discovery of Bioactive Compounds Derived from Mushrooms. Biosensors. 2024; 14(11):558. https://doi.org/10.3390/bios14110558
Chicago/Turabian StyleTrif, Calin, Jovana Vunduk, Yardnapar Parcharoen, Aporn Bualuang, and Robert S. Marks. 2024. "Bioluminescent Whole-Cell Bioreporter Bacterial Panel for Sustainable Screening and Discovery of Bioactive Compounds Derived from Mushrooms" Biosensors 14, no. 11: 558. https://doi.org/10.3390/bios14110558
APA StyleTrif, C., Vunduk, J., Parcharoen, Y., Bualuang, A., & Marks, R. S. (2024). Bioluminescent Whole-Cell Bioreporter Bacterial Panel for Sustainable Screening and Discovery of Bioactive Compounds Derived from Mushrooms. Biosensors, 14(11), 558. https://doi.org/10.3390/bios14110558
 
        


 
       