Intelligent Evaluation and Dynamic Prediction of Oysters Freshness with Electronic Nose Non-Destructive Monitoring and Machine Learning
Abstract
1. Introduction
2. Materials and Methods
2.1. Mechanism Analysis and Model Framework
2.2. System Architecture
2.3. Sample Collection and Processing
2.4. Oyster Nose Design and Measurements
- Step 1: Connect the sensor array to the test system and preheat the sensors for one week;
- Step 2: Place 11 oysters in an enclosed detection gas chamber within a modified polypropylene fresh-keeping box (30 cm × 20 cm × 12 cm), which is then placed in a constant temperature and humidity chamber set at temperatures of 4 °C, 12 °C, 20 °C, and 28 °C, respectively;
- Step 3: Connect the constant temperature and humidity box to the test system, open the airflow control switch, and initiate data collection using upper computer software until complete decay of the sample;
- Step 4: Conclude the experiment by organizing obtained datasets into classified labels.
2.5. GC-MS Analysis of Volatile Compounds
2.6. Evaluation Index
2.6.1. TVBN
- Step 1: Firstly, weigh 1 g of magnesium oxide for later use;
- Step 2: Next, grind the oyster sample and weigh the resulting 10 g oyster sample into the distillation tube;
- Step 3: Then, add 75 mL water to the distillation tube containing the oyster sample and shake until evenly dispersed in the solution, allowing it to impregnate for 30 min;
- Step 4: After standing, add 1 g of magnesium oxide to the distillation tube;
- Step 5: The instrument setup involves using a volume of alkali and diluted water at 0 mL and a receiving solution of boric acid at 30 mL;
- Step 6: Finally, computer measurement begins after setting up the instrument; start distillation with a duration of three min.
2.6.2. Microbiological Analysis
2.6.3. Sensory Analysis
2.6.4. Texture Analysis
2.6.5. Statistics Analysis
2.7. Evaluation and Prediction Models
- Step 1: Input the stress factor parameters and the stress parameters collected, determine the number of neuronal nodes in each layer of the neural network, and classify test dataset from predictive training set;
- Step 2: Establish relevant parameters for the genetic algorithm including the chromosome coding method, the selection operation implementation algorithm, the fitness function, and the probability of crossover and mutation operation;
- Step 3: Generate the original population based on the neural network structure with random individual real numbers encoding the network weight and threshold information;
- Step 4: Evaluate the adaptability of each individual in the population, inherit excellent individuals for crossover and variation into next generation, output optimal individual after several iterations;
- Step 5: Decipher the optimal individual, allocate the optimal threshold and initial weight to the neural network, and conduct training and prediction based on the optimal weight and threshold.
3. Results and Discussion
3.1. Response of Electronic Nose to Oysters of Different Qualities
3.2. Quality Index Evaluation
3.3. Freshness Prediction
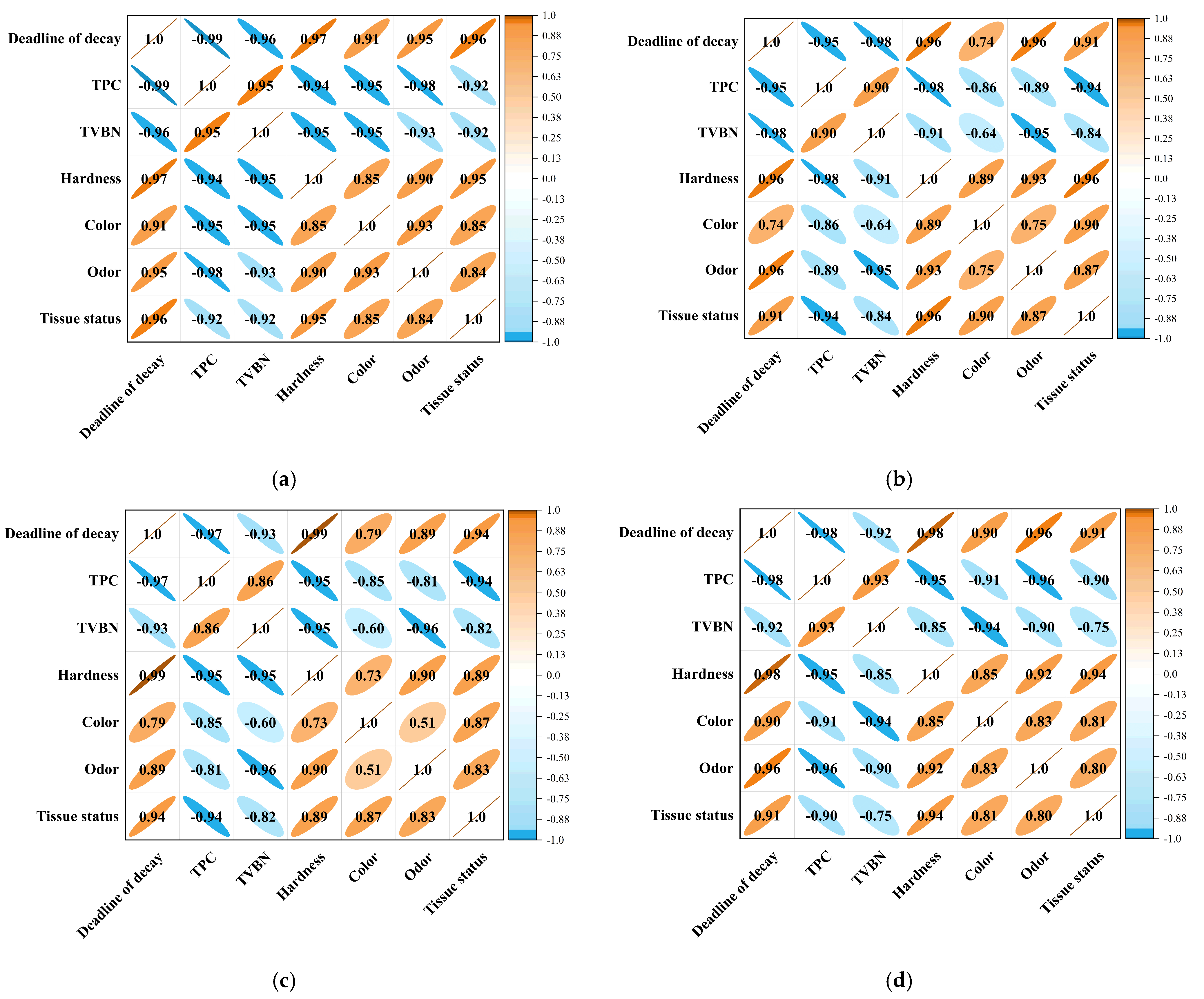
3.3.1. Correlational Analysis
3.3.2. The PCA and GA-BP Array Data of the Gas Sensor
3.4. System Evaluation
3.5. Discussion
4. Conclusions
- We designed and established a real-time dynamic monitoring system for the cold chain transportation of freshly captured oysters;
- We deduced the factors influencing the quality of fresh oysters based on their logistics process and quality change mechanisms, while also discussing the feasibility and correlation between different signals as indicators of oyster quality;
- We developed a neural network-based coupling model that integrates gas sensor information with oyster quality and verified its effectiveness. The results demonstrated that the prediction accuracy for classifying the gas-quality grade of oysters at different temperatures exceeded 95%, indicating that the classification and prediction of oyster quality grades can be effectively achieved through this coupling model.
Author Contributions
Funding
Data Availability Statement
Conflicts of Interest
References
- Wright, A.C.; Fan, Y.; Baker, G.L. Nutritional value and food safety of bivalve molluscan shellfish. J. Shellfish Res. 2018, 37, 695–708. [Google Scholar] [CrossRef]
- Tan, Y.; Li, Y.; Ren, L.; Fu, H.; Li, Q.; Liu, S. Integrative proteome and metabolome analyses reveal molecular basis underlying growth and nutrient composition in the Pacific oyster, Crassostrea gigas. J. Proteomics. 2024, 290, 105021. [Google Scholar] [CrossRef] [PubMed]
- Cong, X.; Wang, Q.; Sun, C.; Yu, F.; Chen, L.; Sun, Z.; Shi, H.; Xue, C.; Li, Z. Temperature effects on the nutritional quality in Pacific oysters (Crassostrea gigas) during ultraviolet depuration. J. Sci. Food Agric. 2022, 102, 1651–1659. [Google Scholar] [CrossRef]
- Pérez-Mateos, M.; López-Caballero, M.E.; Montero, P. Effect of High Pressure and 4-Hexylresorcinol on Enzymatic Activity and Darkening in Oysters. J. Food Sci. 2002, 67, 2107–2112. [Google Scholar] [CrossRef]
- Dong, S.; Niu, Y.; Wei, H.; Lin, Y.; Lu, X.; Yamashita, T.; Yu, K.; Takaki, K.; Yuan, C. Effect of super-chilling storage on maintenance of quality and freshness of the Pacific oyster (Crassostrea gigas). Food Qual. Saf. 2023, 7, fyad008. [Google Scholar] [CrossRef]
- Lekjing, S.; Venkatachalam, K. Effects of Modified Atmospheric Packaging Conditions on the Quality Changes of Pasteurized Oyster (Crassostrea belcheri) Meat during Chilled Storage. J. Aquat. Food Prod. Technol. 2018, 27, 1106–1119. [Google Scholar] [CrossRef]
- Huang, X.; Du, S.; Zhang, H.; Chen, C.; Xiao, G.; Huang, L.; Zhang, D. Temporal patterns of bacterial communities in shrimp (Litopenaeus vannamei) culture systems loaded with oyster shells. Aquaculture 2020, 526, 735424. [Google Scholar] [CrossRef]
- Kuuliala, L.; Hage, Y.; Ioannidis, A.; Sader, M.; Kerckhof, F.; Vanderroost, M.; Boon, N.; Baets, B.; Meulenaer, B.; Ragaert, P.; et al. Microbiological, chemical and sensory spoilage analysis of raw Atlantic cod (Gadus morhua) stored under modified atmospheres. Food Microbiol. 2018, 70, 232–244. [Google Scholar] [CrossRef]
- Luzuriage, D.; Korel, F.; Balaban, M. Odor Evaluation of Shrimp Treated with Different Chemicals Using an Electronic Nose and a Sensory Panel. J. Aquat. Food Prod. Technol. 2008, 16, 57–75. [Google Scholar] [CrossRef]
- Román, A.; Prasyad, H.; Oiry, S.; Davies, B.F.R.; Brunier, G.; Barillé, L. Mapping intertidal oyster farms using unmanned aerial vehicles (UAV) high-resolution multispectral data. Estuarine Coastal Shelf Sci. 2023, 291, 108432. [Google Scholar] [CrossRef]
- Kunene, S.C.; Lin, K.S.; Mdlovu, N.V.; Shih, W.C. Bioaccumulation of trace metals and speciation of copper and zinc in Pacific oysters (Crassostrea gigas) using XANES/EXAFS spectroscopies. Chemosphere 2021, 265, 129067. [Google Scholar] [CrossRef] [PubMed]
- Guo, Z.; Zhang, M.; Lee, D.J.; Simons, T. Smart Camera for Quality Inspection and Grading of Food Products. Electronics 2020, 9, 505. [Google Scholar] [CrossRef]
- Li, J.; Wang, S.; Wang, H.; Cao, W.; Lin, H.; Qin, X.; Chen, Z.; Gao, J.; Wu, L.; Zheng, H. Effect of ultrasonic power on the stability of low-molecular-weight oyster peptides functional-nutrition W1/O/W2 double emulsion. Ultrason. Sonochem. 2023, 92, 106282. [Google Scholar] [CrossRef]
- Chen, L.; Zhang, H.; Shi, H.; Xue, C.; Wang, Q.; Yu, F.; Xue, Y.; Wang, Y.; Li, Z. The flavor profile changes of Pacific oysters (Crassostrea gigas) in response to salinity during depuration. Food Chem. X 2022, 16, 100485. [Google Scholar] [CrossRef]
- van der Sar, I.G.; Moor, C.C.; Oppenheimer, J.C.; Luijendijk, M.L.; van Daele, P.L.A.; Maitland-van der Zee, A.H.; Brinkman, P.; Wijsenbeek, M.S. Diagnostic Performance of Electronic Nose Technology in Sarcoidosis. Chest 2022, 161, 738–747. [Google Scholar] [CrossRef]
- Cheli, F.; Ottoboni, M.; Fumagalli, F.; Mazzoleni, S.; Ferrari, L.; Pinotti, L. E-Nose Technology for Mycotoxin Detection in Feed: Ready for a Real Context in Field Application or Still an Emerging Technology? Toxins 2023, 15, 146. [Google Scholar] [CrossRef]
- Tibaduiza, D.; Anaya, M.; Gómez, J.; Sarmiento, J.; Perez, M.; Lara, C.; Ruiz, J.; Osorio, N.; Rodriguez, K.; Hernandez, I.; et al. Electronic Tongues and Noses: A General Overview. Biosensors 2024, 14, 190. [Google Scholar] [CrossRef]
- Du, S.; Xi, G.; Chen, X.; Wang, X.; Ai, B.; Wu, S.; Li, S.; Zhao, W. Applications of electronic nose technology in the tobacco industry: A comprehensive review. Meas. Sci. Technol. 2024, 35, 032002. [Google Scholar] [CrossRef]
- Ye, Z.; Liu, Y.; Li, Q. Recent Progress in Smart Electronic Nose Technologies Enabled with Machine Learning Methods. Sensors 2021, 21, 7620. [Google Scholar] [CrossRef]
- Harsono, W.; Sarno, R.; Sabilla, S. Recognition of Original Arabica Civet Coffee based on Odor using Electronic Nose and Machine Learning. ISemantic 2020, 7, 333–339. [Google Scholar]
- Huang, Y.; Doh, L.; Bae, E. Design and Validation of a Portable Machine Learning-Based Electronic Nose. Sensors 2021, 21, 3923. [Google Scholar] [CrossRef]
- Liu, L.; Li, W.; He, Z.C.; Chen, W.; Liu, H.; Chen, K.; Pi, X. Detection of lung cancer with electronic nose using a novel ensemble learning framework. J. Breath Res. 2021, 15, 026014. [Google Scholar] [CrossRef] [PubMed]
- Sabilla, S.I.; Sarno, R.; Triyana, K.; Hayashi, K. Deep learning in a sensor array system based on the distribution of volatile compounds from meat cuts using GC–MS analysis. Sens. Bio-Sens. Res. 2020, 29, 100371. [Google Scholar] [CrossRef]
- Vajdi, M.; Varidi, M.J.; Varidi, M.; Mohebbi, M. Using electronic nose to recognize fish spoilage with an optimum classifier. J. Food Meas. Charact. 2019, 13, 1205–1217. [Google Scholar] [CrossRef]
- Li, P.; Ren, Z.; Shao, K.; Tan, H.; Niu, Z. Research on Distinguishing Fish Meal Quality Using Different Characteristic Parameters Based on Electronic Nose Technology. Sensors 2019, 19, 2146. [Google Scholar] [CrossRef]
- Srinivasan, P.; Robinson, J.; Geevaretnam, J.; Rayappan, J.B.B. Development of Electronic Nose (Shrimp-Nose) for the Determination of Perishable Quality and Shelf-Life of Cultured Pacific White Shrimp (Litopenaeus Vannamei). Sens. Actuators B Chem. 2020, 317, 128192. [Google Scholar] [CrossRef]
- Liu, P.; Qu, X.; Zhang, X.; Ma, R. Flexible Sensing Enabled Nondestructive Detection on Viability/Quality of Live Edible Oyster. Foods 2024, 13, 167. [Google Scholar] [CrossRef]
- Aulia, D.; Sarno, R.; Hidayati, S.C.; Rivai, M. Optimization of the Electronic Nose Sensor Array for Asthma Detection Based on Genetic Algorithm. IEEE Access 2023, 11, 74924–74935. [Google Scholar] [CrossRef]
- Sun, P.; Shi, Y.; Shi, Y. Multivariate Regression in Conjunction with GA-BP for Optimization of Data Processing of Trace NO Gas Flow in Active Pumping Electronic Nose. Sensors 2023, 23, 1524. [Google Scholar] [CrossRef]
- Campbell, M.D.; Hall, S.G. Hydrodynamic effects on oyster aquaculture systems: A review. Rev. Aquacult. 2019, 11, 896–906. [Google Scholar] [CrossRef]
- Zhang, J.; Liu, S.; Walton, W.C.; Wang, Y. Volatile organic compounds of Eastern oyster (Crassostrea virginica) cultured by two treatments and their changes during cold storage. Aquacult. Res. 2021, 52, 1442–1452. [Google Scholar] [CrossRef]
- Chen, D.; Wan, P.; Cai, B.; Ye, Z.; Chen, H.; Chen, X.; Sun, H.; Pan, J. Trimethylamine adsorption mechanism on activated carbon and removal in water and oyster proteolytic solution. J. Ocean Univ. China 2021, 20, 1578–1586. [Google Scholar] [CrossRef]
- Filippini, G.; Dafforn, K.A.; Bugnot, A.B. Shellfish as a bioremediation tool: A review and meta-analysis. Environ. Pollut. 2023, 316, 120614. [Google Scholar] [CrossRef]
- Piveteau, F.; Le Guen, S.; Gandemer, G.; Baud, J.P.; Prost, C.; Demaimay, M. Aroma of fresh oysters Crassostrea gigas: Composition and aroma notes. J. Agric. Food. Chem. 2000, 48, 4851–4857. [Google Scholar] [CrossRef] [PubMed]
- Zagan, I.; Găitan, V.G. Enhancing the modbus communication protocol to minimize acquisition times based on an STM32-embedded device. Mathematics 2022, 10, 4686. [Google Scholar] [CrossRef]
- Ding, J.; Sun, C.; Wang, J.; Shao, J.; Liu, Y. A Rapid Detection System Based on LabVIEW and microcomputer. Telkomnika: Indones. J. Electr. Eng. 2013, 11, 3066–3071. [Google Scholar]
- Zhang, W.; Ma, J.; Sun, D.W. Dual-signal Fluorescent Test Strips for Spoilage Sensing of Packaged Seafood: Visual Monitoring of Volatile Basic Nitrogens. Food Chem. 2023, 416, 135725. [Google Scholar] [CrossRef]
- 1 July. Available online: http://down.foodmate.net/standard/sort/3/50367.html (accessed on 1 July 2024).
- Hammond, J.; Marquis, B.; Michaels, R.; Oickle, B.; Segee, B.; Vetelino, J.; Bushway, A.; Camire, M.; Davis, K. A semiconducting metal-oxide array for monitoring fish freshness. Sens. Actuators B 2002, 84, 113–122. [Google Scholar] [CrossRef]
- Olafsdottir, G.; Lauzon, H.L.; Martinsdottir, E.; Kristbergsson, K. Influence of storage temperature on microbial spoilage characteristics of haddo`llets (Melanogrammus aegleffnus) evaluated by multivariate quality prediction. Int. J. Food Microbiol. 2006, 111, 112–125. [Google Scholar] [CrossRef]















| S. No | Sensor Types | Volatile Compounds | Detection Range (ppm) |
|---|---|---|---|
| S1. | TGS2602 | Ammonia, hydrogen sulfide, and toluene | 1~30 |
| S2. | TGS2603 | Amine series, hydrogen sulfide, etc. | 1~10 |
| S3. | TGS2612 | Methane, propane, isobutane, etc. | 500~10,000 |
| S4. | TGS2630 | Refrigerant gas | 1000~10,000 |
| S5. | MQ137 | Ammonia and amine compounds | 5~500 |
| S6. | MQ135 | Ammonia gas, sulfide, benzene series vapor | 10~1000 |
| S7. | TGS2611 | Ethanol, hydrogen, isobutane, methane | 500~10,000 |
| S8. | TGS2610 | Ethanol, hydrogen, methane, isobutane/propane | 500~10,000 |
| S9. | TGS2620 | Organic solvents, alcohol, etc. | 50~5000 |
| S10. | TGS2600 | Carbon monoxide, hydrogen | 1~30 |
| Monitoring Items | 4 °C | 12 °C | 20 °C | 28 °C | ||||
|---|---|---|---|---|---|---|---|---|
| Test Node | Duration | Test Node | Duration | Test Node | Duration | Test Node | Duration | |
| TVBN | Days 0, 2, 4, 7, 8, 9 | Day 10 | Every day | 7 days | Every 12 h | 72 h | Every 4 h | 48 h |
| Microbial analysis | ||||||||
| Sensory evaluation | ||||||||
| Texture analysis | ||||||||
| Sensory Score | Color (10 Points) | Odor (10 Points) | Tissue Status (10 Points) |
|---|---|---|---|
| 8–10 | Milky or cream white and shiny | It smells normal and has no odor | Good elasticity, quick rebound after pressing, firm flesh |
| 5–7 | White with an eggy yellowish color, slightly dull in color | Slightly fishy | Elasticity is general, after pressing it cannot be fully restored to its original state, the meat is firmer |
| 0–4 | Yellowish and noticeably dull | Distinctly fishy | Poor elasticity, does not return to its original state after pressing, and the flesh is soft or tends to be mushy |
| Model Performance | Sensors Performance and Environmental Parameters Evaluation | Quality Analysis and Evaluation | Prediction Model Evaluation | ||||||||
|---|---|---|---|---|---|---|---|---|---|---|---|
| Monitoring Parameters | Temperature | Humidity | Amine Series | Sulfide Series | Alkane Series | 4 °C | 12 °C | 20 °C | 28 °C | ||
| Previous monitoring method | Temperature and Humidity | Range: −40–120 °C Accuracy: ±0.4 °C | Range: 0–100%RH Accuracy: ±3% RH | None | None | None | None | None | |||
| Improved model | Temperature Humidity Amine series Sulfide series Alkane series | Range: −40–70 °C Accuracy: ±0.2 °C | Range: 0–100%RH Accuracy: ±1% RH | Range: 5–500 ppm 0–100 ppm 1–30 ppm 0–0.5 ppm | Range: 1–30 ppm 0–0.5 ppm | Range: 500–10,000 ppm 0.1–0.25 ppm | TVBN ≤ 25 | TVBN ≤ 25 | TVBN ≤ 25 | TVBN ≤ 25 | The accuracy at different temperatures is all greater than 95% |
| TPC ≤ 7.70 | TPC ≤ 7.70 | TPC ≤ 7.70 | TPC ≤ 7.70 | ||||||||
| Sensory score ≥ 5 | Sensory score ≥ 5 | Sensory score ≥ 5 | Sensory score ≥ 5 | ||||||||
| Advantages | Multiple critical parameters monitoring | Trace monitor of multiple gas components Better traceability and accuracy of temperature and humidity Real-time, online monitoring and non-destructive Validation by GC-MS | Different quality evaluation standard under different temperature detailed and comprehensive quality evaluation | Predict accurately and effectively without contamination and contact | |||||||
| Suggestions | More critical parameters | Develop smaller size gas sensor array with fewer numbers of single sensors for oysters’ storage | Only hardness was measured; textural analysis (springiness, cohesiveness, gumminess, and chewiness) still needs to be augmented and improved | Calibrate the gas sensor array with GC-MS to improve accuracy | |||||||
| Parameter | Kuuliala et al. (2018) [8] | Luzuriaga et al. (2008) [9] | Proposed Study |
|---|---|---|---|
| Electronic Nose Model | MOS sensor array | Conductive polymer sensor array | MOS sensor array with GA-BP neural network |
| Detected Volatile Compounds | Trimethylamine, ammonia, hydrogen sulfide | Carbon dioxide, ethanol | Trimethylamine, ammonia, disulfides |
| Storage Temperature Range (°C) | 4–8 °C | 4 °C | 4–28 °C |
| Prediction Accuracy (%) | 85% | 99.2% | 97.9% |
| Freshness Indicators | TVBN, Microbial Analysis, Sensory Analysis | Sensory Analysis | TVBN, TPC, Texture, Sensory, Hardness |
| Machine Learning Applied | None | None | GA-BP Neural Network Model |
| Sampling Frequency | Once per day | Once every 2 days | Hourly |
| Experiment Duration | 7 days | 48 h | 9 days |
| Key Findings | High repeatability and reliability | High accuracy sensory evaluation | Integrated real-time multi-parameter monitoring and machine learning predictions |
Disclaimer/Publisher’s Note: The statements, opinions and data contained in all publications are solely those of the individual author(s) and contributor(s) and not of MDPI and/or the editor(s). MDPI and/or the editor(s) disclaim responsibility for any injury to people or property resulting from any ideas, methods, instructions or products referred to in the content. |
© 2024 by the authors. Licensee MDPI, Basel, Switzerland. This article is an open access article distributed under the terms and conditions of the Creative Commons Attribution (CC BY) license (https://creativecommons.org/licenses/by/4.0/).
Share and Cite
Wang, B.; Li, Y.; Liu, K.; Wei, G.; He, A.; Kong, W.; Zhang, X. Intelligent Evaluation and Dynamic Prediction of Oysters Freshness with Electronic Nose Non-Destructive Monitoring and Machine Learning. Biosensors 2024, 14, 502. https://doi.org/10.3390/bios14100502
Wang B, Li Y, Liu K, Wei G, He A, Kong W, Zhang X. Intelligent Evaluation and Dynamic Prediction of Oysters Freshness with Electronic Nose Non-Destructive Monitoring and Machine Learning. Biosensors. 2024; 14(10):502. https://doi.org/10.3390/bios14100502
Chicago/Turabian StyleWang, Baichuan, Yueyue Li, Kang Liu, Guangfen Wei, Aixiang He, Weifu Kong, and Xiaoshuan Zhang. 2024. "Intelligent Evaluation and Dynamic Prediction of Oysters Freshness with Electronic Nose Non-Destructive Monitoring and Machine Learning" Biosensors 14, no. 10: 502. https://doi.org/10.3390/bios14100502
APA StyleWang, B., Li, Y., Liu, K., Wei, G., He, A., Kong, W., & Zhang, X. (2024). Intelligent Evaluation and Dynamic Prediction of Oysters Freshness with Electronic Nose Non-Destructive Monitoring and Machine Learning. Biosensors, 14(10), 502. https://doi.org/10.3390/bios14100502

