Dual-Emission Carbon-Dot Ratiometric Fluorescence Sensor for Morphine Recognition in Biological Samples
Abstract
1. Introduction
2. Materials and Methods
2.1. Chemicals
2.2. Instruments
2.3. Preparation of Real Samples and Standard Solutions
2.4. Preparation of N-CDs
2.5. Detection of MOR with the Ratiometric Sensor
3. Results and Discussion
3.1. Characterization Results of N-CDs
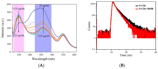
3.2. Optical Properties of N-CDs
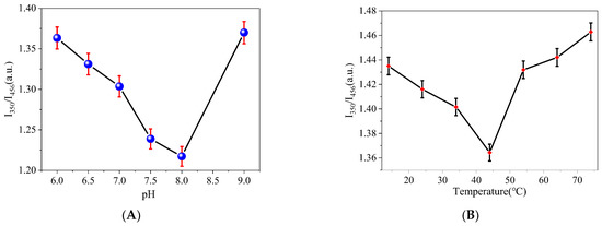
3.3. Effect of Solution pH
3.4. System Temperature
3.5. Effect of Interfering Ions and Substances
3.6. Method Validation
3.7. Analysis of Real Samples
3.8. Sensing Mechanism of Ratiometric Nanosensor towards MOR
4. Conclusions
Author Contributions
Funding
Institutional Review Board Statement
Informed Consent Statement
Data Availability Statement
Conflicts of Interest
References
- Acharya, H.S.; Sharma, V. Molecular characterization of opium poppy (Papaver somniferum) germplasm. Am. J. Infect. Dis. 2009, 5, 148–153. [Google Scholar] [CrossRef]
- Pandey, S.S.; Singh, S.; Babu, C.S.V.; Shanker, K.; Srivastava, N.K.; Shukla, A.K.; Kalra, A. Fungal endophytes of catharanthus roseus enhance vindoline content by modulating structural and regulatory genes related to terpenoid indole alkaloid biosynthesis. Sci. Rep. 2016, 6, 26583. [Google Scholar] [CrossRef]
- Celik, I.; Camci, H.; Kose, A.; Kosar, F.C.; Doganlar, S.; Frary, A. Molecular genetic diversity and association mapping of morphine content and agronomic traits in turkish opium poppy (papaver somniferum) germplasm. Mol. Breed. 2016, 36, 46. [Google Scholar] [CrossRef]
- Brezinová, B.; Macák, M.; Eftimová, J. The morphological diversity of selected traits of world collection of poppy genotypes (genus Papaver). J. Cent. Eur. Agric. 2009, 10, 183–192. [Google Scholar]
- Bandoni, A.L.; Stermitz, F.R.; Rondina, R.; Coussio, J.D. Alkaloidal content of argentine argemone. Phytochemistry 1975, 14, 1785–1788. [Google Scholar] [CrossRef]
- Pham, Q.; Burrows, M.; Litwin, A. Urgent need to expand syringe services programs in South Carolina and beyond. Subst. Abuse Trea. Pre. Policy 2022, 17, 47. [Google Scholar] [CrossRef] [PubMed]
- Alhaddad, M.; Sheta, S.M. Dual naked-eye and optical chemosensor for morphine detection in biological real samples based on Cr (iii) metal-organic framework nanoparticles. ACS Omega 2022, 5, 28296–28304. [Google Scholar] [CrossRef] [PubMed]
- Lü, S.; Chang, W.B.; Li, Y.Z.; Ci, Y.X. The immunoassay of morphine using phase separation and colloid gold marking. Chin. J. Anal. Chem. 2000, 28, 1324–1325. [Google Scholar]
- Feng, S.; Chen, W.; Huang, W.; Cheng, M.; Lin, J.; Li, Y. Surface-enhanced Raman spectroscopy of morphine in silver colloid. Chin. Opt. Lett. 2009, 7, 1055–1057. [Google Scholar] [CrossRef]
- Vergara, A.V.; Pernites, R.B.; Tiu, B.D.B.T.; Leon, A.C.C.; Mangadlao, J.D.; Binag, C.A.; Advincula, R.C. Capacitive detection of morphine via cathodically electropolymerized, molecularly imprinted poly(p-aminostyrene) films. Macromol. Chem. Phys. 2016, 217, 1810–1822. [Google Scholar] [CrossRef]
- Heydari, P.; Martins, M.; Rosing, H.; Hillebrand, M.; Gebretensae, A.; Schinkel, A.H.; Beijnen, J.H. Development and validation of a UPLC-MS/MS method with a broad linear dynamic range for the quantification of morphine, morphine-3-glucuronide and morphine-6-glucuronide in mouse plasma and tissue homogenates. J. Chromatogr. B 2021, 1166, 122403. [Google Scholar] [CrossRef] [PubMed]
- Jin, Y.; Zhao, J.; Xu, X.; Wang, Y. Qualitative and quantitative analysis of opiate and related metabolites in human urine samples by UPLC-MS/MS. Int. J. Mass Spectrome. 2021, 464, 116575. [Google Scholar] [CrossRef]
- Robert, M. GC-MS quantitation of codeine, morphine, 6-acetylmorphine, hydrocodone, hydromorphone, oxycodone, and oxymorphone in blood. J. Anal. Toxicol. 2005, 29, 301–308. [Google Scholar]
- Santos, V.; López, K.J.; Santos, L.M.; Yonamine, M.; Carmona, M.J.; Santos, S.R. Determining plasma morphine levels using GC-MS after solid phase extraction to monitor drug levels in the postoperative period. Clinics 2008, 63, 307–314. [Google Scholar] [CrossRef]
- Tian, Y.; Martinez, M.M.; Pappas, D. Fluorescence correlation spectroscopy: A review of biochemical and microfluidic applications. Appl. Spectrosc. 2011, 65, 115–124. [Google Scholar] [CrossRef]
- Lim, S.Y.; Shen, W.; Gao, Z.Q. Carbon quantum dots and their applications. Chem. Soc. Rev. 2015, 44, 362–381. [Google Scholar] [CrossRef]
- Sun, S.; Zhang, L.; Jiang, K.; Wu, A.; Lin, H. Toward high-efficient red emissive carbon dots: Facile preparation, unique properties, and applications as multifunctional theranostic agents. Chem. Mater. 2016, 28, 8659–8668. [Google Scholar] [CrossRef]
- Wang, Y.; Zhu, Y.; Yu, S.; Jiang, C. Fluorescent carbon dots: Rational synthesis, tunable optical properties and analytical applications. RSC Adv. 2017, 7, 40973–40989. [Google Scholar] [CrossRef]
- Zhang, D.; Zhang, F.; Liao, Y.; Wang, F.; Liu, H. Carbon quantum dots from pomelo peel as fluorescence probes for “turn-off-on” high-sensitivity detection of Fe3+ and L-cysteine. Molecules 2022, 27, 4099. [Google Scholar] [CrossRef]
- Zhang, Q.; Du, S.; Tian, F.; Long, X.; Xie, S.; Tang, S.; Bao, L. Silver nanoparticle-functionalised nitrogen-doped carbon quantum dots for the highly efficient determination of uric acid. Molecules 2022, 27, 4586. [Google Scholar] [CrossRef]
- Bhattacharyya, D.; Sarswat, P.K.; Free, M.L. Quantum dots and carbon dots based fluorescent sensors for TB biomarkers detection. Vacuum 2017, 146, 606–613. [Google Scholar] [CrossRef]
- Wang, K.X.; Nie, C.; Guan, R.F.; Zhang, H. Double emission fluorescence probes based on unconventional fluorescent molecules and fluorescein isothiocyanate for ClO and Cu2+ detection. Chin. J. Anal. Chem. 2022, 50, 47–54. [Google Scholar] [CrossRef]
- Xu, D.; Fang, L.; Chen, H.; Yin, L.; Ying, S.; Xie, J. One-step hydrothermal synthesis and optical properties of self-quenching-resistant carbon dots towards fluorescent ink and as nanosensors for Fe3+ detection. RSC Adv. 2019, 9, 8290–8299. [Google Scholar] [CrossRef] [PubMed]
- Li, S.; Yang, H.; Xu, R.; Jiang, Y.; Gong, Y.; Gu, L.; Yu, Y. Selenium embedded in MOFs-derived N-doped microporous carbon polyhedrons as a high performance cathode for sodium-selenium batteries. Mater. Chem. Front. 2018, 2, 1574–1582. [Google Scholar] [CrossRef]
- Wang, Y.; Chang, Q.; Hu, S. Carbon dots with concentration-tunable multicolored photoluminescence for simultaneous detection of Fe3+ and Cu2+ ions. Sensor. Actuat. B 2017, 253, 928–933. [Google Scholar] [CrossRef]
- Cheng, Y.; Li, C.M.; Mu, R.Z.; Li, Y.F.; Xing, T.T.; Chen, B.B.; Huang, C.Z. Dynamically long-term imaging of cellular RNA by fluorescent carbon dots with surface isoquinoline moieties and amines. Anal. Chem. 2018, 90, 11358–11365. [Google Scholar] [CrossRef] [PubMed]
- Gao, Z.; Li, X.; Shi, L.; Yang, Y. Deep eutectic solvents-derived carbon dots for detection of mercury (ii), photocatalytic antifungal activity and fluorescent labeling for C. albicans. Spectrochim. Acta A 2019, 220, 117080. [Google Scholar] [CrossRef] [PubMed]
- Wang, H.; Liu, S.; Xie, Y.; Bi, J.; Li, Y.; Song, Y.; Cheng, S.; Li, D.; Tan, M. Facile one-step synthesis of highly luminescent n-doped carbon dots as an efficient fluorescent probe for chromium(vi) detection based on the inner filter effect. New J. Chem. 2018, 42, 3729–3735. [Google Scholar] [CrossRef]
- Miao, C.F.; Guo, X.Z.; Zhang, X.T.; Lin, Y.N.; Han, W.D.; Huang, Z.J.; Wen, S.H. Ratiometric fluorescence assay based on carbon dots and Cu2+-catalyzed oxidation of O-phenylenediamine for the effective detection of deferasirox. RSC Adv. 2021, 11, 34525–34532. [Google Scholar] [CrossRef]
- Liu, J.; Liu, X.; Luo, H.; Gao, Y. One-step preparation of nitrogen-doped and surface-passivated carbon quantum dots with high quantum yield and excellent optical properties. RSC Adv. 2014, 4, 7648–7654. [Google Scholar] [CrossRef]
- Eda, G.; Lin, Y.Y.; Mattevi, C.H.; Yamaguchi, H.; Chen, H.A.; Chen, I.S.; Chen, C.W.; Chhowalla, M. Blue photoluminescence from chemically derived graphene oxide. Adv. Mater. 2010, 22, 505–509. [Google Scholar] [CrossRef] [PubMed]
- Hu, Y.; Yang, J.; Jia, L.; Yu, J.S. Ethanol in aqueous hydrogen peroxide solution: Hydrothermal synthesis of highly photo luminescent carbon dots as multi-functional nanosensors. Carbon 2015, 93, 999–1007. [Google Scholar] [CrossRef]
- Peng, L.; Wei, R.; Li, K.; Zhou, Z.; Song, P.; Tong, A. A ratiometric fluorescent probe for hydrophobic proteins in aqueous solution based on aggregation-induced emission. Analyst 2013, 138, 2068–2072. [Google Scholar] [CrossRef] [PubMed]
- Mokhtari, A.; Karimi-Maleh, H.; Ensafi, A.A.; Beitollahi, H. Application of modified multiwall carbon nanotubes paste electrode for simultaneous voltammetric determination of morphine and diclofenac in biological and pharmaceutical samples. Sensor. Actuat. B 2012, 169, 96–105. [Google Scholar] [CrossRef]
- Masteri-Farahani, M.; Mosleh, N. Functionalization of graphene quantum dots with antimorphine: Design of selective nanosensor for detection of morphine. Mater. Lett. 2019, 241, 206–209. [Google Scholar] [CrossRef]
- Masteri-Farahani, M.; Askari, F. Design and photophysical insights on graphene quantum dots for use as nanosensor in differentiating methamphetamine and morphine in solution. Spectrochim. Acta A 2019, 206, 448–453. [Google Scholar] [CrossRef]
- Zhang, C.; Yu, X.; Shi, X.M.; Han, Y.F.; Guo, Z.M.; Liu, Y. Development of carbon quantum dot–labeled antibody fluorescence immunoassays for the detection of morphine in hot pot soup base. Food Anal. Methods 2020, 13, 1042–1049. [Google Scholar] [CrossRef]
- Yin, Q.; Wang, M.; Fang, D.; Zhu, Y.; Yang, L. Novel N,Cl-doped deep eutectic solvents-based carbon dots as a selective fluorescent probe for determination of morphine in food. RSC Adv. 2021, 11, 16805–16813. [Google Scholar] [CrossRef]
- Dai, R.; Hu, Y. Green/red dual emissive carbon dots for ratiometric fluorescence detection of acid red 18 in food. Sensor. Actuat. B 2022, 370, 132420. [Google Scholar] [CrossRef]
- Wang, M.; Wang, M.; Zhang, F.; Su, X. A ratiometric fluorescent biosensor for the sensitive determination of α-glucosidase activity and acarbose based on N-doped carbon dots. Analyst 2020, 145, 5808–5815. [Google Scholar] [CrossRef]
- Zhang, Z.; Huang, J.; Zhang, M.; Yuan, Q.; Dong, B. Ultrathin hexagonal SnS2 nanosheets coupled with g-C3N4 nanosheets as 2D/2D heterojunction photocatalysts toward high photocatalytic activity. Appl. Catal. B 2015, 163, 298–305. [Google Scholar] [CrossRef]
- You, J.; Liu, H.; Zhang, R.; Pan, Q.; Sun, A.; Zhang, Z.; Shi, X. Development and application of tricolor ratiometric fluorescence sensor based on molecular imprinted nanoparticles for visual detection of dibutyl phthalate in seawater and fish samples. Sci. Total Environ. 2022, 848, 157675. [Google Scholar] [CrossRef] [PubMed]









| Samples | Added (μg/mL) | Found (μg/mL) | Recovery (%) | RSD (%) |
|---|---|---|---|---|
| Blood (female) | - | N. D. a | - | - |
| 2.495 | 2.411 | 96.7 | 5.6 | |
| 4.990 | 5.153 | 103.3 | 4.3 | |
| Blood (male) | - | N. D. a | - | - |
| 2.495 | 2.515 | 100.8 | 3.5 | |
| 4.990 | 4.683 | 93.8 | 4.9 |
| Materials | Detection Method | Linearity Range | LOD | Reference |
|---|---|---|---|---|
| graphene quantum dots | voltammetric electrode | 0–3.5 μM | 0.06 μM | [34] |
| chiral colloidal CdSe quantum dots | fluorescence enhancement | / | 0.06 μM | [35] |
| graphene quantum dots | fluorescence enhancement | 0–33 μM | 0.5 μg/mL | [36] |
| anti-morphine antibody-labeled C-Dots | fluorescence immunoassay | 3.2 × 10−4–10 mg/L | 3.0 × 10−4 mg/L | [37] |
| N,Cl-CDs | fluorescence enhancement | 0.15–280.25 μg/mL | 46.5 ng/mL | [38] |
| N-CDs | fluorescence quenching | 0.25–25 μg/mL | 71.8 ng/mL | This work |
Disclaimer/Publisher’s Note: The statements, opinions and data contained in all publications are solely those of the individual author(s) and contributor(s) and not of MDPI and/or the editor(s). MDPI and/or the editor(s) disclaim responsibility for any injury to people or property resulting from any ideas, methods, instructions or products referred to in the content. |
© 2023 by the authors. Licensee MDPI, Basel, Switzerland. This article is an open access article distributed under the terms and conditions of the Creative Commons Attribution (CC BY) license (https://creativecommons.org/licenses/by/4.0/).
Share and Cite
Yin, Q.; Wang, Y.; Li, X.; Yang, D.; Yang, Y.; Yang, C.; Zhu, Y. Dual-Emission Carbon-Dot Ratiometric Fluorescence Sensor for Morphine Recognition in Biological Samples. Biosensors 2023, 13, 143. https://doi.org/10.3390/bios13010143
Yin Q, Wang Y, Li X, Yang D, Yang Y, Yang C, Zhu Y. Dual-Emission Carbon-Dot Ratiometric Fluorescence Sensor for Morphine Recognition in Biological Samples. Biosensors. 2023; 13(1):143. https://doi.org/10.3390/bios13010143
Chicago/Turabian StyleYin, Qinhong, Yijie Wang, Xuerong Li, Dezhi Yang, Yaling Yang, Cheng Yang, and Yanqin Zhu. 2023. "Dual-Emission Carbon-Dot Ratiometric Fluorescence Sensor for Morphine Recognition in Biological Samples" Biosensors 13, no. 1: 143. https://doi.org/10.3390/bios13010143
APA StyleYin, Q., Wang, Y., Li, X., Yang, D., Yang, Y., Yang, C., & Zhu, Y. (2023). Dual-Emission Carbon-Dot Ratiometric Fluorescence Sensor for Morphine Recognition in Biological Samples. Biosensors, 13(1), 143. https://doi.org/10.3390/bios13010143

