Use of PEDOT:PSS/Graphene/Nafion Composite in Biosensors Based on Acetic Acid Bacteria
Abstract
:1. Introduction
2. Materials and Methods
2.1. Reagents
2.2. Instrumentation
2.3. Formation of Biosensor
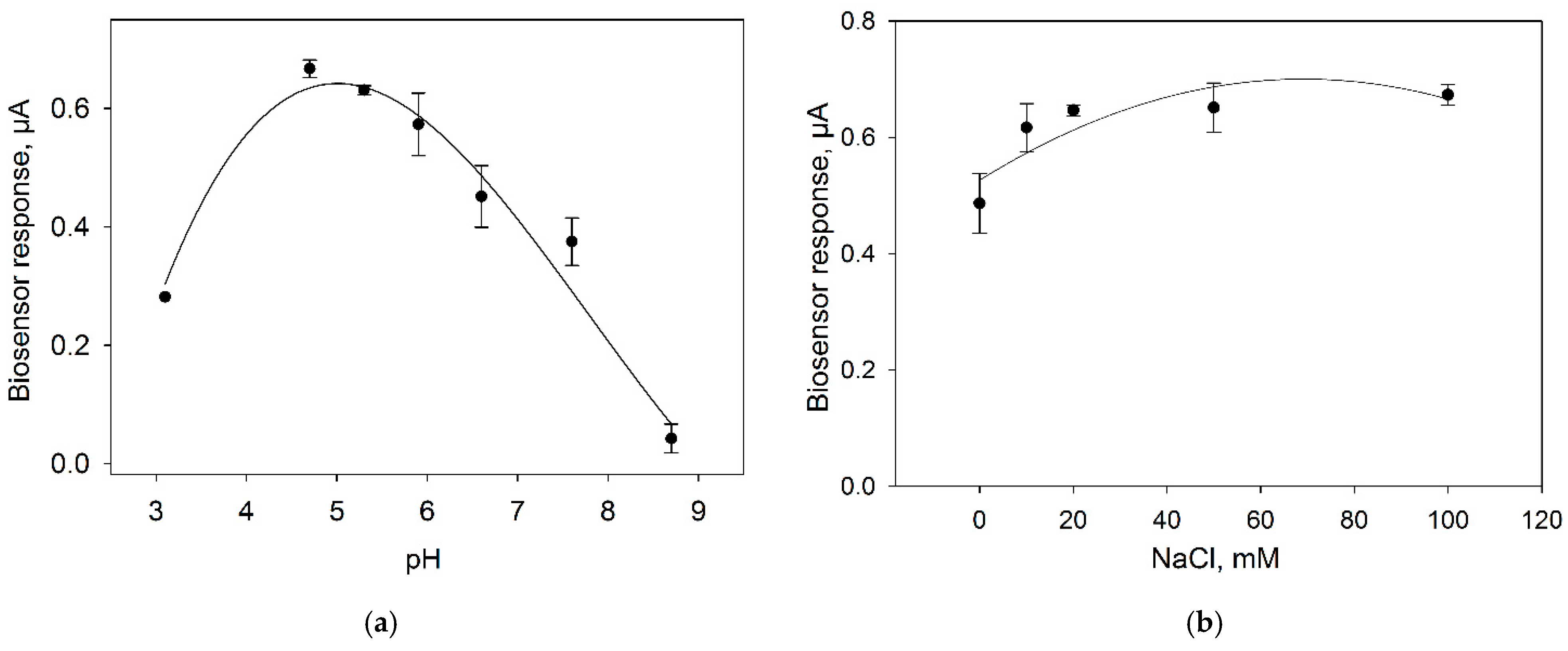
3. Results and Discussion
3.1. Electrochemical Analysis of the Composite
3.2. Optimization of the Composite for Bioelectrode Formation
3.3. Analytical Parameters of the Developed Bioelectrode as Part of Glucose Biosensor
4. Conclusions
Supplementary Materials
Author Contributions
Funding
Institutional Review Board Statement
Informed Consent Statement
Data Availability Statement
Acknowledgments
Conflicts of Interest
References
- Guisan, J.M.; Bolivar, J.M.; López-Gallego, F.; Rocha-Martín, J. Correction to: Immobilization of Enzymes and Cells. In Immobilization of Enzymes and Cells; Humana: New York, NY, USA, 2020; Volume 2100, p. C1. [Google Scholar] [CrossRef] [Green Version]
- Grieshaber, D.; MacKenzie, R.; Vörös, J.; Reimhult, E. Electrochemical Biosensors—Sensor Principles and Architectures. Sensors 2008, 8, 1400–1458. [Google Scholar] [CrossRef] [PubMed]
- Górecka, E.; Jastrzębska, M. Immobilization techniques and biopolymer carriers. Biotechnol. Food Sci. 2011, 75, 65–86. [Google Scholar]
- Jafari, H.; Amiri, M.; Abdi, E.; Navid, S.L.; Bouckaert, J.; Jijie, R.; Boukherroub, R.; Szunerits, S. Entrapment of uropathogenic E. coli cells into ultra-thin sol-gel matrices on gold thin films: A low cost alternative for impedimetric bacteria sensing. Biosens. Bioelectron. 2018, 124–125, 161–166. [Google Scholar] [CrossRef] [PubMed]
- Berillo, D.; Al-Jwaid, A.; Caplin, J. Polymeric Materials Used for Immobilisation of Bacteria for the Bioremediation of Contaminants in Water. Polymers 2021, 13, 1073. [Google Scholar] [CrossRef] [PubMed]
- Song, R.-B.; Wu, Y.; Lin, Z.-Q.; Xie, J.; Tan, C.H.; Loo, J.S.C.; Cao, B.; Zhang, J.-R.; Zhu, J.-J.; Zhang, Q. Living and Conducting: Coating Individual Bacterial Cells with In Situ Formed Polypyrrole. Angew. Chem. Int. Ed. 2017, 56, 10516–10520. [Google Scholar] [CrossRef]
- Nagaoka, T.; Shiigi, H.; Tokonami, S.; Saimatsu, K. Entrapment of whole cell bacteria into conducting polymers. J. Flow Inject. Anal. 2012, 29, 7–10. [Google Scholar]
- Boehler, C.; Aqrawe, Z.; Asplund, M. Applications of PEDOT in bioelectronic medicine. Bioelectron. Med. 2019, 2, 89–99. [Google Scholar] [CrossRef] [Green Version]
- Liang, Y.; Offenhäusser, A.; Ingebrandt, S.; Mayer, D. PEDOT:PSS-Based Bioelectronic Devices for Recording and Modulation of Electrophysiological and Biochemical Cell Signals. Adv. Health Mater. 2021, 10, 2100061. [Google Scholar] [CrossRef]
- Kirchmeyer, S.; Reuter, K. Scientific importance, properties and growing applications of poly(3,4-ethylenedioxythiophene). J. Mater. Chem. 2005, 15, 2077–2088. [Google Scholar] [CrossRef]
- Kaur, G.; Kaur, A.; Kaur, H. Review on nanomaterials/conducting polymer based nanocomposites for the development of biosensors and electrochemical sensors. Polym. Technol. Mater. 2020, 60, 504–521. [Google Scholar] [CrossRef]
- Jin, S.; Jun, G.H.; Jeon, S.; Hong, S.H. Design and application of carbon nanomaterials for photoactive and charge transport layers in organic solar cells. Nano Converg. 2016, 3, 8. [Google Scholar] [CrossRef] [Green Version]
- Abd-Wahab, F.; Guthoos, H.F.A.; Salim, W.W.A.W. Solid-State rGO-PEDOT:PSS Transducing Material for Cost-Effective Enzymatic Sensing. Biosensors 2019, 9, 36. [Google Scholar] [CrossRef] [Green Version]
- Smith, R.E.; Totti, S.; Velliou, E.; Campagnolo, P.; Hingley-Wilson, S.M.; Ward, N.I.; Varcoe, J.R.; Crean, C. Development of a novel highly conductive and flexible cotton yarn for wearable pH sensor technology. Sens. Actuators B Chem. 2019, 287, 338–345. [Google Scholar] [CrossRef]
- Lee, S.L.; Chang, C.-J. Recent Developments about Conductive Polymer Based Composite Photocatalysts. Polymers 2019, 11, 206. [Google Scholar] [CrossRef] [Green Version]
- Bertóková, A.; Bertók, T.; Filip, J.; Tkac, J. Gluconobacter sp. cells for manufacturing of effective electrochemical biosensors and biofuel cells. Chem. Pap. 2015, 69, 27–41. [Google Scholar] [CrossRef]
- Plekhanova, Y.; Tarasov, S.; Bykov, A.; Prisyazhnaya, N.; Kolesov, V.; Sigaev, V.; Signore, M.A.; Reshetilov, A. Multiwalled Carbon Nanotubes and the Electrocatalytic Activity of Gluconobacter oxydans as the Basis of a Biosensor. Biosensors 2019, 9, 137. [Google Scholar] [CrossRef] [PubMed] [Green Version]
- Rakhi, R.; Nayak, P.; Xia, C.; Alshareef, H.N. Novel amperometric glucose biosensor based on MXene nanocomposite. Sci. Rep. 2016, 6, 36422. [Google Scholar] [CrossRef] [PubMed] [Green Version]
- Jeong, H.; Jeon, S. Determination of Dopamine in the Presence of Ascorbic Acid by Nafion and Single-Walled Carbon Nanotube Film Modified on Carbon Fiber Microelectrode. Sensors 2008, 8, 6924–6935. [Google Scholar] [CrossRef]
- Abrar, A.; Dong, Y.; Lee, P.K.; Kim, W.S. Bendable Electro-chemical Lactate Sensor Printed with Silver Nano-particles. Sci. Rep. 2016, 6, 30565. [Google Scholar] [CrossRef] [Green Version]
- Meredith, S.; Xu, S.; Meredith, M.T.; Minteer, S.D. Hydrophobic Salt-modified Nafion for Enzyme Immobilization and Stabilization. J. Vis. Exp. 2012, 65, 3949. [Google Scholar] [CrossRef] [Green Version]
- Liang, B.; Zhang, S.; Lang, Q.; Song, J.; Han, L.; Liu, A. Amperometric l-glutamate biosensor based on bacterial cell-surface displayed glutamate dehydrogenase. Anal. Chim. Acta 2015, 884, 83–89. [Google Scholar] [CrossRef] [PubMed]
- Prust, C.; Hoffmeister, M.; Liesegang, H.; Wiezer, A.; Fricke, W.F.; Ehrenreich, A.; Gottschalk, G.; Deppenmeier, U. Complete genome sequence of the acetic acid bacterium Gluconobacter oxydans. Nat. Biotechnol. 2005, 23, 195–200. [Google Scholar] [CrossRef] [PubMed]
- Reshetilov, A.N.; Plekhanova, J.V.; Tarasov, S.; Bykov, A.G.; Gutorov, M.A.; Alferov, S.; Tenchurin, T.K.; Chvalun, S.N.; Orekhov, A.S.; Shepelev, A.D.; et al. Evaluation properties of bioelectrodes based on carbon superfine materials containing model microorganisms Gluconobacter. Nanotechnol. Russ. 2017, 12, 107–115. [Google Scholar] [CrossRef]
- Krishnaveni, P.; Ganesh, V. Electron transfer studies of a conventional redox probe in human sweat and saliva bio-mimicking conditions. Sci. Rep. 2021, 11, 7663. [Google Scholar] [CrossRef] [PubMed]
- Liu, D.; Rahman, M.M.; Ge, C.; Kim, J.; Lee, J.-J. Highly stable and conductive PEDOT:PSS/graphene nanocomposites for biosensor applications in aqueous medium. New J. Chem. 2017, 41, 15458–15465. [Google Scholar] [CrossRef]
- Alanazi, T. The Study of the Dielectric Properties of Nafion-117 Thin Film. Master’s Thesis, University of Akron, Akron, OH, USA, 2016. [Google Scholar]
- Luchterhand, B.; Fischöder, T.; Grimm, A.R.; Wewetzer, S.; Wunderlich, M.; Schlepütz, T.; Büchs, J. Quantifying the sensitivity of G. oxydans ATCC 621H and DSM 3504 to osmotic stress triggered by soluble buffers. J. Ind. Microbiol. Biotechnol. 2015, 42, 585–600. [Google Scholar] [CrossRef]
- Ko, Y.; Kim, J.; Jeong, H.Y.; Kwon, G.; Kim, D.; Ku, M.; Yang, J.; Yamauchi, Y.; Kim, H.-Y.; Lee, C.; et al. Antibacterial poly (3,4-ethylenedioxythiophene):poly(styrene-sulfonate)/agarose nanocomposite hydrogels with thermo-processability and self-healing. Carbohydr. Polym. 2018, 203, 26–34. [Google Scholar] [CrossRef] [PubMed] [Green Version]










| Parameters | Bacterial Cells:Nafion Ratios | |||||||
|---|---|---|---|---|---|---|---|---|
| 3:1 | 5:1 | 1:1 | 1:2 | |||||
| Days | 1 | 15 | 1 | 15 | 1 | 15 | 1 | 15 |
| Imax, μA | 3.16 ± 0.02 | 1.29 ± 0.06 | 2.59 ± 0.14 | 2.25 ± 0.05 | 1.16 ± 0.15 | 1.28 ± 0.10 | 0.37 ± 0.02 | 0.19 ± 0.05 |
| Linear detection range, mM | 0.2–1.3 | 0.2–0.8 | 0.02–0.40 | 0.03–0.60 | 0.1–0.4 | 0.1–0.9 | 0.2–1 | 0.6–1.4 |
| Regression equation for the linear segment | Y = 1.46X + 0.03 | Y = 1.15X + 0.10 | Y = 2.96X + 0.03 | Y = 1.87X + 0.16 | Y = 1.37X + 0.15 | Y = 0.83X + 0.02 | Y = 0,28X + 0.02 | Y = 0.09X + 0.04 |
| Sensitivity coefficient, μA/mM | 1.46 | 1.15 | 2.96 | 1.87 | 1.37 | 0.83 | 0.28 | 0.09 |
| Detection range, mM | 0.2–3.0 | 0.2–2 | 0.02–3 | 0.03–3 | 0.1–1 | 0.1–3 | 0.2–2 | 0.6–2 |
| Protocols | 1 | 2 | 3 | 4 | |
|---|---|---|---|---|---|
| Parameter | |||||
| Imax, μA | 0.15 | 0.23 | 1.07 | 1.86 | |
| h | 1.19 | 2.17 | 0.50 | 1.26 | |
| KM, mM | 0.56 | 0.29 | 2.26 | 0.57 | |
| Linear detection range, mM | 0.2–0.8 | 0.1–0.4 | 0.26–0.96 | 0.02–0.7 | |
| Regression equation for the linear segment | Y = 0.10X + 0.02 | Y = 0.45X + 0.02 | Y = 0.21X + 0.22 | Y = 1.54X + 0.13 | |
| Sensitivity coefficient, μA × mM−1 × cm−2 | 1.43 | 6.43 | 3.00 | 22.00 | |
| Detection range, mM | 0.2–1 | 0.1–1 | 0.26–2 | 0.02–2 | |
| Detection limit at signal-to-noise ratio of 3, mM | 0.2 | 0.1 | 0.26 | 0.02 | |
Publisher’s Note: MDPI stays neutral with regard to jurisdictional claims in published maps and institutional affiliations. |
© 2021 by the authors. Licensee MDPI, Basel, Switzerland. This article is an open access article distributed under the terms and conditions of the Creative Commons Attribution (CC BY) license (https://creativecommons.org/licenses/by/4.0/).
Share and Cite
Plekhanova, Y.; Tarasov, S.; Reshetilov, A. Use of PEDOT:PSS/Graphene/Nafion Composite in Biosensors Based on Acetic Acid Bacteria. Biosensors 2021, 11, 332. https://doi.org/10.3390/bios11090332
Plekhanova Y, Tarasov S, Reshetilov A. Use of PEDOT:PSS/Graphene/Nafion Composite in Biosensors Based on Acetic Acid Bacteria. Biosensors. 2021; 11(9):332. https://doi.org/10.3390/bios11090332
Chicago/Turabian StylePlekhanova, Yulia, Sergei Tarasov, and Anatoly Reshetilov. 2021. "Use of PEDOT:PSS/Graphene/Nafion Composite in Biosensors Based on Acetic Acid Bacteria" Biosensors 11, no. 9: 332. https://doi.org/10.3390/bios11090332
APA StylePlekhanova, Y., Tarasov, S., & Reshetilov, A. (2021). Use of PEDOT:PSS/Graphene/Nafion Composite in Biosensors Based on Acetic Acid Bacteria. Biosensors, 11(9), 332. https://doi.org/10.3390/bios11090332

