Inhomogeneous Broadening of the Exciton Band in Optical Absorption Spectra of InP/ZnS Nanocrystals
Abstract
1. Introduction
2. Half-Width of the InP/ZnS Exciton Absorption Band
3. Model
3.1. Static and Dynamic Disorder in Ensemble
3.2. Single-Nanocrystal Exciton Peak Behavior
3.3. QDs Size Distribution
3.4. Inhomogeneous and Homogeneous Broadening Contributions
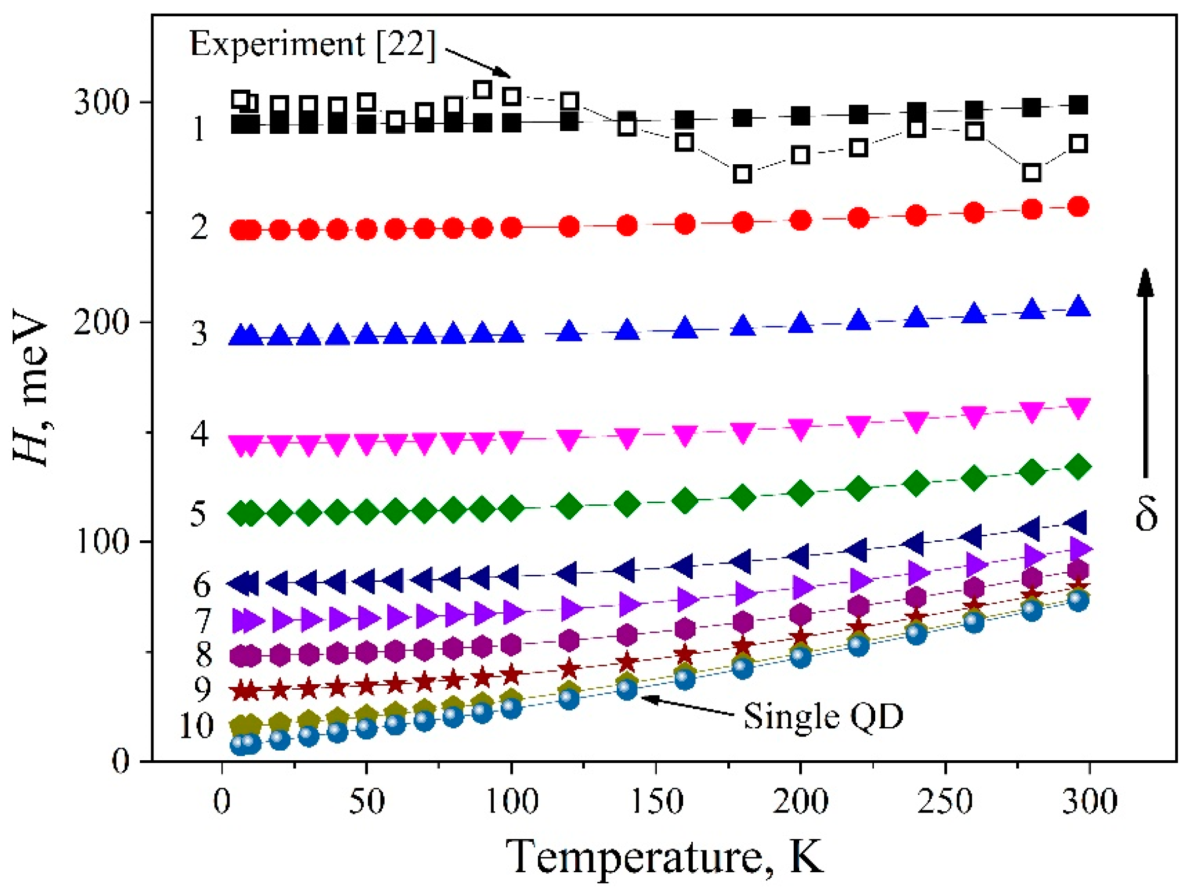
4. Results and Discussion
4.1. Simulation of Experimental InP/ZnS Ensembles
4.2. Inhomogeneous and Homogeneous Broadening
5. Conclusions
Author Contributions
Funding
Conflicts of Interest
References
- Alivisatos, A.P. Semiconductor clusters, nanocrystals, and quantum dots. Science 1996, 271, 933–937. [Google Scholar] [CrossRef]
- Efros, A.L.; Efros, A.L. Interband Absorption of Light in a Semiconductor Sphere. Sov. Phys. Semicond. 1982, 16, 772–775. [Google Scholar]
- Brus, L.E. Electron-electron and electron-hole interactions in small semiconductor crystallites: The size dependence of the lowest excited electronic state. J. Chem. Phys. 1984, 80, 4403–4409. [Google Scholar] [CrossRef]
- Lee, S.-H.; Lee, K.-H.; Jo, J.-H.; Park, B.; Kwon, Y.; Jang, H.S.; Yang, H. Remote-type, high-color gamut white light-emitting diode based on InP quantum dot color converters. Opt. Mater. Express 2014, 4, 1297–1302. [Google Scholar] [CrossRef]
- Song, W.-S.; Lee, S.-H.; Yang, H. Fabrication of warm, high CRI white LED using non-cadmium quantum dots. Opt. Mater. Express 2013, 3, 1468–1473. [Google Scholar] [CrossRef]
- Hussain, S.; Won, N.; Nam, J.; Bang, J.; Chung, H.; Kim, S. One-pot fabrication of high-quality InP/ZnS (Core/Shell) quantum dots and their application to cellular imaging. Chem. Phys. Chem. 2009, 10, 1466–1470. [Google Scholar] [CrossRef]
- Savchenko, S.S.; Vokhmintsev, A.S.; Weinstein, I.A. Luminescence parameters of InP/ZnS@AAO nanostructures. AIP Conf. Proc. 2016, 1717, 040028. [Google Scholar] [CrossRef]
- Savchenko, S.S.; Vokhmintsev, A.S.; Weinstein, I.A. Optical properties of InP/ZnS quantum dots deposited into nanoporous anodic alumina. J. Phys. Conf. Ser. 2016, 741, 012151. [Google Scholar] [CrossRef]
- Scher, J.A.; Bayne, M.G.; Srihari, A.; Nangia, S.; Chakraborty, A. Development of effective stochastic potential method using random matrix theory for efficient conformational sampling of semiconductor nanoparticles at non-zero temperatures. J. Chem. Phys. 2018, 149, 014103. [Google Scholar] [CrossRef]
- Xie, R.; Battaglia, D.; Peng, X. Colloidal InP nanocrystals as efficient emitters covering blue to near-infrared. J. Am. Chem. Soc. 2007, 129, 15432–15433. [Google Scholar] [CrossRef] [PubMed]
- Song, W.-S.; Lee, H.-S.; Lee, J.C.; Jang, D.S.; Choi, Y.; Choi, M.; Yang, H. Amine-derived synthetic approach to color-tunable InP/ZnS quantum dots with high fluorescent qualities. J. Nanoparticle Res. 2013, 15, 1750. [Google Scholar] [CrossRef]
- Brichkin, S.B. Synthesis and properties of colloidal indium phosphide quantum dots. Colloid J. 2015, 77, 393–403. [Google Scholar] [CrossRef]
- Ayupova, D.; Dobhal, G.; Laufersky, G.; Nann, T.; Goreham, R.V. An in vitro investigation of cytotoxic effects of InP/ZnS quantum dots with different surface chemistries. Nanomaterials 2019, 9, 135. [Google Scholar] [CrossRef]
- Baskoutas, S.; Terzis, A.F. Size-dependent band gap of colloidal quantum dots. J. Appl. Phys. 2006, 99, 013708. [Google Scholar] [CrossRef]
- Gaponenko, S.V. Optical Properties of Semiconductor Nanocrystals; Cambridge University Press: Cambridge, UK, 1998; p. 245. [Google Scholar]
- Weller, H. Colloidal Semiconductor Q-Particles-Chemistry in the Transition Region Between Solid-State and Molecules. Angew. Chemie-International Ed. English 1993, 32, 41–53. [Google Scholar] [CrossRef]
- Empedocles, S.A.; Bawendi, M.G. Quantum-Confined Stark Effect in Single CdSe Quantum-Confined Stark Effect in Single CdSe Nanocrystallite Quantum Dots. Science 1997, 278, 2114–2117. [Google Scholar] [CrossRef]
- Ekimov, A.I. Optical Properties of Semiconductor Quantum Dots in Glass Matrix. Phys. Scr. 1991, 39, 217–222. [Google Scholar] [CrossRef]
- Murray, C.B.; Norris, D.J.; Bawendi, M.G. Synthesis and characterization of nearly monodisperse CdE (E = S, Se, Te) semiconductor nanocrystallites. J. Am. Chem. Soc. 1993, 115, 8706–8715. [Google Scholar] [CrossRef]
- Efros, A.L.; Rosen, M.; Kuno, M.; Nirmal, M.; Norris, D.; Bawendi, M. Band-edge exciton in quantum dots of semiconductors with a degenerate valence band: Dark and bright exciton states. Phys. Rev. B. 1996, 54, 4843–4856. [Google Scholar] [CrossRef]
- Sugisaki, M.; Ren, H.-W.; Nishi, K.; Masumoto, Y. Optical properties of InP self-assembled quantum dots studied by imaging and single dot spectroscopy. Japanese J. Appl. Physics, Part. 1 Regul. Pap. Short Notes Rev. Pap. 2002, 41, 958–966. [Google Scholar] [CrossRef]
- Savchenko, S.S.; Vokhmintsev, A.S.; Weinstein, I.A. Temperature-induced shift of the exciton absorption band in InP/ZnS quantum dots. Opt. Mater. Express. 2017, 7, 354–359. [Google Scholar] [CrossRef]
- Savchenko, S.S.; Vokhmintsev, A.S.; Weinstein, I.A. Effect of temperature on the spectral properties of InP/ZnS nanocrystals. J. Phys. Conf. Ser. 2018, 961, 012003. [Google Scholar] [CrossRef]
- Norris, D.J.; Bawendi, M.G. Measurement and assignment of the size-dependent optical spectrum in CdSe quantum dots. Phys. Rev. B. 1996, 53, 16338–16346. [Google Scholar] [CrossRef]
- Savchenko, S.S.; Vokhmintsev, A.S.; Weinstein, I.A. Photoluminescence thermal quenching of yellow-emitting InP/ZnS quantum dots. AIP Conf. Proc. 2018, 2015, 020085. [Google Scholar] [CrossRef]
- Narayanaswamy, A.; Feiner, L.F.; van der Zaag, P.J. Temperature dependence of the photoluminescence of InP/ZnS quantum dots. J. Phys. Chem. C 2008, 112, 6775–6780. [Google Scholar] [CrossRef]
- Narayanaswamy, A.; Feiner, L.F.; Meijerink, A.; van der Zaag, P.J. The effect of temperature and dot size on the spectral properties of colloidal InP/ZnS core-shell quantum dots. ACS Nano 2009, 3, 2539–2546. [Google Scholar] [CrossRef]
- Turner, W.J.; Reese, W.E.; Pettit, G.D. Exciton Absorption and Emission in InP. Phys. Rev. 1964, 136, 1955–1958. [Google Scholar] [CrossRef]
- Zilli, A.; De Luca, M.; Tedeschi, D.; Fonseka, H.A.; Miriametro, A.; Tan, H.H.; Jagadish, C.; Capizzi, M.; Polimeni, A. Temperature dependence of interband transitions in wurtzite InP nanowires. ACS Nano 2015, 9, 4277–4287. [Google Scholar] [CrossRef]
- Vaganov, S.A.; Seisyan, R.P. Temperature-dependent integral exciton absorption in semiconducting InP crystals. Tech. Phys. Lett. 2012, 38, 121–124. [Google Scholar] [CrossRef]
- Woggon, U.; Gaponenko, S.V.; Uhrig, A.; Langbein, W.; Klingshirn, C. Homogeneous linewidth and relaxation of excited hole states in II–VI quantum dots. Adv. Mater. Opt. Electron. 1994, 3, 141–150. [Google Scholar] [CrossRef]
- Rudin, S.; Reinecke, T.L.; Segall, B. Temperature-dependent exciton linewidths in semiconductors. Phys. Rev. B 1990, 42, 11218–11231. [Google Scholar] [CrossRef]
- Salvador, M.R.; Graham, M.W.; Scholes, G.D. Exciton-phonon coupling and disorder in the excited states of CdSe colloidal quantum dots. J. Chem. Phys. 2006, 125, 184709. [Google Scholar] [CrossRef]
- Weinstein, I.A.; Zatsepin, A.F.; Kortov, V.S. Effects of structural disorder and Urbach’s rule in binary lead silicate glasses. J. Non. Cryst. Solids. 2001, 279, 77–87. [Google Scholar] [CrossRef]
- Weinstein, I.A.; Zatsepin, A.F. Modified Urbach’s rule and frozen phonons in glasses. Phys. Status Solidi C 2004, 2919, 2916–2919. [Google Scholar] [CrossRef]
- Fan, H.Y. Temperature dependence of the energy gap in semiconductors. Phys. Rev. 1951, 82, 900–905. [Google Scholar] [CrossRef]
- Vainshtein, I.A.; Zatsepin, A.F.; Kortov, V.S. Applicability of the empirical Varshni relation for the temperature dependence of the width of the band gap. Phys. Solid State 1999, 41, 905–908. [Google Scholar] [CrossRef]
- Savchenko, S.S.; Vokhmintsev, A.S.; Weinstein, I.A. Temperature dependence of the optical absorption spectra of InP/ZnS quantum dots. Tech. Phys. Lett. 2017, 43, 297–300. [Google Scholar] [CrossRef]
- Cui, J.; Beyler, A.P.; Marshall, L.F.; Chen, O.; Harris, D.K.; Wanger, D.D.; Brokmann, X.; Bawendi, M.G. Direct probe of spectral inhomogeneity reveals synthetic tunability of single-nanocrystal spectral linewidths. Nat. Chem. 2013, 5, 602–606. [Google Scholar] [CrossRef] [PubMed]
- Mićić, O.I.; Curtis, C.J.; Jones, K.M.; Sprague, J.R.; Nozik, A.J. Synthesis and Characterization of InP Quantum Dots. J. Phys. Chem. 1994, 98, 4966–4969. [Google Scholar] [CrossRef]
- Fu, H.; Wang, L.W.; Zunger, A. Applicability of the k∙p method to the electronic structure of quantum dots. Phys. Rev. B 1998, 57, 9971–9987. [Google Scholar] [CrossRef]
- Kayanuma, Y.; Momiji, H. Incomplete confinement of electrons and holes in microcrystals. Phys. Rev. B 1990, 41, 10261–10263. [Google Scholar] [CrossRef]
- Pellegrini, G.; Mattei, G.; Mazzoldi, P. Finite depth square well model: Applicability and limitations. J. Appl. Phys. 2005, 97, 073706. [Google Scholar] [CrossRef]
- Baskoutas, S.; Terzis, A.F. Size dependent exciton energy of various technologically important colloidal quantum dots. Mater. Sci. Eng. B-Solid State Mater. Adv. Technol. 2008, 147, 280–283. [Google Scholar] [CrossRef]
- Garoufalis, C.S.; Barnasas, A.; Stamatelatos, A.; Karoutsos, V.; Grammatikopoulos, S.; Poulopoulos, P.; Baskoutas, S. A study of quantum confinement effects in ultrathin NiO films performed by experiment and theory. Materials 2018, 11, 949. [Google Scholar] [CrossRef] [PubMed]
- Arias-Cerón, J.S.; González-Araoz, M.P.; Bautista-Hernández, A.; Sánchez Ramírez, J.F.; Herrera-Pérez, J.L.; Mendoza-Álvarez, J.G. Semiconductor Nanocrystals of InP@ZnS: Synthesis and Characterization. Superf. y Vacío. 2012, 25, 134–138. [Google Scholar]
- Shen, W.; Tang, H.; Yang, X.; Cao, Z.; Cheng, T.; Wang, X.; Tan, Z.; You, J.; Deng, Z. Synthesis of Highly Fluorescent InP/ZnS Small-Core/Thick-Shell Tetrahedral-Shaped Quantum Dots for Blue Light-Emitting Diodes. J. Mater. Chem. C 2017, 5, 8243–8249. [Google Scholar] [CrossRef]
- Mićić, O.I.; Jones, K.M.; Cahill, A.; Nozik, A.J. Optical, Electronic, and Structural Properties of Uncoupled and Close-Packed Arrays of InP Quantum Dots. J. Phys. Chem. B 1998, 102, 9791–9796. [Google Scholar] [CrossRef]








| Shift [22,38] | E1(0), eV | AF, eV | ћω, meV | |
| 2.715 | 0.89 | 15 | ||
| Broadening [27,39] | h0, meV | σ, µeV/K | ALO, meV | ћωLO, meV |
| 6.3 | 172 | 60 | 40 | |
| Curve | H(6.5 K), meV | N | δ, % | CI, % | CH, % | Q |
|---|---|---|---|---|---|---|
| 1 | 290 | 180 | 11.1 | 94.9 | 3.0 | 0.03 |
| 2 | 242 | 150 | 9.2 | 93.3 | 4.2 | 0.05 |
| 3 | 193 | 120 | 7.3 | 90.5 | 6.4 | 0.07 |
| 4 | 145 | 90 | 5.5 | 85.5 | 10.6 | 0.12 |
| 5 | 113 | 70 | 4.3 | 79.4 | 15.9 | 0.20 |
| 6 | 81 | 50 | 3.1 | 68.7 | 25.5 | 0.37 |
| 7 | 64 | 40 | 2.4 | 59.6 | 33.9 | 0.57 |
| 8 | 48 | 30 | 1.8 | 47.9 | 44.9 | 0.94 |
| 9 | 32 | 20 | 1.2 | 32.4 | 59.7 | 1.84 |
| 10 | 16 | 10 | 0.6 | 13.0 | 78.5 | 6.02 |
| single QD | 7.4 | 1 | 0 | 0 | 89.9 | - |
© 2019 by the authors. Licensee MDPI, Basel, Switzerland. This article is an open access article distributed under the terms and conditions of the Creative Commons Attribution (CC BY) license (http://creativecommons.org/licenses/by/4.0/).
Share and Cite
Savchenko, S.S.; Weinstein, I.A. Inhomogeneous Broadening of the Exciton Band in Optical Absorption Spectra of InP/ZnS Nanocrystals. Nanomaterials 2019, 9, 716. https://doi.org/10.3390/nano9050716
Savchenko SS, Weinstein IA. Inhomogeneous Broadening of the Exciton Band in Optical Absorption Spectra of InP/ZnS Nanocrystals. Nanomaterials. 2019; 9(5):716. https://doi.org/10.3390/nano9050716
Chicago/Turabian StyleSavchenko, Sergey S., and Ilya A. Weinstein. 2019. "Inhomogeneous Broadening of the Exciton Band in Optical Absorption Spectra of InP/ZnS Nanocrystals" Nanomaterials 9, no. 5: 716. https://doi.org/10.3390/nano9050716
APA StyleSavchenko, S. S., & Weinstein, I. A. (2019). Inhomogeneous Broadening of the Exciton Band in Optical Absorption Spectra of InP/ZnS Nanocrystals. Nanomaterials, 9(5), 716. https://doi.org/10.3390/nano9050716

