Next Article in Journal
Promotion of Vascular Morphogenesis of Endothelial Cells Co-Cultured with Human Adipose-Derived Mesenchymal Stem Cells Using Polycaprolactone/Gelatin Nanofibrous Scaffolds
Previous Article in Journal
Functionalized Asymmetric Bola-Type Amphiphiles for Efficient Gene and Drug Delivery
Previous Article in Special Issue
UV-Assisted Photochemical Synthesis of Reduced Graphene Oxide/ZnO Nanowires Composite for Photoresponse Enhancement in UV Photodetectors
 
 
Font Type:
Arial Georgia Verdana
Font Size:
Aa Aa Aa
Line Spacing:
Column Width:
Background:
Article

Nanocantilevers with Adjustable Static Deflection and Significantly Tunable Spectrum Resonant Frequencies for Applications in Nanomechanical Mass Sensors

1
School of Sciences, Harbin Institute of Technology—Shenzhen Graduate School, Shenzhen 551800, China
2
Institute of Physics, Czech Academy of Sciences, 18221 Prague, Czech Republic
*
Author to whom correspondence should be addressed.
Nanomaterials 2018, 8(2), 116; https://doi.org/10.3390/nano8020116
Submission received: 19 December 2017 / Revised: 9 February 2018 / Accepted: 14 February 2018 / Published: 17 February 2018
(This article belongs to the Special Issue Nanomaterials for Sensing Applications)

Abstract

Nanocantilevers have become key components of nanomechanical sensors that exploit changes in their resonant frequencies or static deflection in response to the environment. It is necessary that they can operate at a given, but adjustable, resonant frequency and/or static deflection ranges. Here we propose a new class of nanocantilevers with a significantly tunable spectrum of the resonant frequencies and changeable static deflection utilizing the unique properties of a phase-transforming NiTi film sputtered on the usual nanotechnology cantilever materials. The reversible frequency tuning and the adjustable static deflection are obtained by intentionally changing the Young’s modulus and the interlayer stress of the NiTi film during its phase transformation, while the usual cantilever elastic materials guarantee a high frequency actuation (up to tens of MHz). By incorporating the NiTi phase transformation characteristic into the classical continuum mechanics theory we present theoretical models that account for the nanocantilever frequency shift and variation in static deflection caused by a phase transformation of NiTi film. Due to the practical importance in nanomechanical sensors, we carry out a complete theoretical analysis and evaluate the impact of NiTi film on the cantilever Young’s modulus, static deflection, and the resonant frequencies. Moreover, the importance of proposed NiTi nanocantilever is illustrated on the nanomechanical based mass sensors. Our findings will be of value in the development of advanced nanotechnology sensors with intentionally-changeable physical and mechanical properties.

1. Introduction

Nanocantilevers have emerged as the fundamental components of micro(nano)-electromechanical systems (MEMS/NEMS), such as nanomechanical-based mass sensors [1,2,3,4,5]. It is the unprecedented physical and mechanical properties of materials in micro-(nano) dimensions that enable for the extraordinary high sensitivity and frequency stability. There are two different sensing principles of nanocantilever-based sensors. First, one utilizes the measurement of changes in a cantilever static deflection, i.e., the so-called “static mode” [6], whereas the second one enables evaluating the measured quantities from changes in the sensor frequency response, i.e., “dynamic mode” [7]. To determine the measured quantities, it is required that cantilever operates at given ranges of static deflection and resonant frequencies. Furthermore, for the dynamic mode, the cantilever must also exhibit a linear response to external stimuli [8,9,10] and, consequently, its sensitivity is then determined by the resonant frequencies [11].
In order to design these mechanical devices so that they can reach the required sensitivity and/or to keep the desired operating conditions during its lifetime, it is often necessary to compensate for changes in either the cantilever static deflection or the resonant frequencies that are caused by the fabrication tolerances and the unwilling environmental effects such as humidity and pressure [12]. For dynamic mode several methods capable of correcting the cantilever resonant frequencies have been proposed [12,13,14]. However, if we exclude the nanocantilevers made of extraordinary materials, like graphene or carbon nanotubes, then the common active resonant frequency tuning methods, such as piezoelectric or electrostatic ones allow usually only for a weak correction of the fundamental (first) resonant frequency, i.e., hundreds of Hz [9]. This is due to the fact that both of these methods mainly generate a relatively small in-plane stress on the cantilever surface, which causes only weak changes in the cantilever effective stiffness near its clamped end [15]. The impact of the mechanical stress on the resonant frequency strongly decreases with an increase of the vibrational mode [16,17]. Therefore, within a linear dynamic range, these two methods do not enable tuning of the resonant frequencies of higher vibrational modes. We must emphasize here that, in general, created in-plane stresses on the cantilever surface can also be large. For instance, the power intensity changes of the laser light used for probing the mechanical state of the cantilever resonator generates the in-plane surface stresses due to heating, which can result in large non-linear shifts of the cantilever resonant frequencies [18].
A low tunability of the nanocantilever resonant frequencies within the linear dynamic range limits their widespread use in high frequency operating linear sensors. Moreover, many other nanotechnology applications such as RF filters, power generators or amplifiers would benefit from cantilevers with significantly tunable spectrum of the resonant frequencies [19].
Nitinol (NiTi) is a metallic alloy that exhibits the unique functional properties like the shape memory effect and the superelasticity [20,21]. These properties are the result of a reversible diffusionless martensitic transformation driven by temperature and/or stress. The variation of both temperature and stress is involved in the shape memory effect, while the superelasticity involves only a stress-driven transformation [22,23,24]. The superelasticity is by far the most useful property, mainly in medical applications like stents [25]. There exist one-/two-way memory effects. The one-way shape memory effect represents a heating-induced reversal of shape of a deformed NiTi component in the absence of stress. The two-way memory effect the NiTi involves the memory of both low- and high-temperature shapes. The two-way memory effect is not an intrinsic property, but requires so-called “training” and, as such, the low-temperature strain in NiTi can easily become unstable [26]. The superelastic property of NiTi consists of the reversibility of a large deformation upon loading-unloading at constant temperature, i.e., up to ~5% for micro-/nanopillars and thin films [27]. It shall be pointed out that this large reversible deformation is a result of the reversible motion of phase interfaces during the phase transformation allowing the NiTi to return to the original shape after removal of the applied strain. The superelasticity can, thus, be exploited to generate the large flexural deflection of the NiTi cantilever vibrating at a constant temperature [21].
NiTi thin films have been conventionally used for microactuation in MEMS due to the high energy density involved [28]. Since the current NiTi actuators are set into motion by the martensitic transformation activated periodically by heating and cooling, the achievable actuating speed is low, just a few Hz, since thermal actuation also requires slow, natural cooling, which limits the achievable actuation frequencies [29,30]. As such, the majority of studies carried out so far on NiTi thin films focused on the variation of the NiTi film’s mechanical and physical properties with the slowly varying temperature and stress [31,32,33]. When temperature and stress varies quickly (>10 Hz), additional problems with the periodically-generated/absorbed latent heat and dissipated heat accumulation appear [34]. The heat exchange between the nanocantilever and environment affects the potential use of NiTi thin films in tunable high-frequency nanoresonators, such as ultrasensitive physical and chemical sensors or RF filters. However, as the displacement amplitudes in vibrating nanoresonators tend to be small, and heat exchange is fast, there is a good chance that the impact of the heat effect is not that critical, as in the case of bulky NiTi elements. To date, no systematic study on NiTi thin films for nanomechanical-based actuators and sensors have yet been performed.
In response to this challenge, we carried out the systematic theoretical investigations of nanocantilevers that take advantage of both the commonly-used nanotechnology elastic substrate materials, such as Si, SiO2, or Si3N4 (silicon nitride), and the NiTi alloys in a thin film form. A dedicated theoretical model that accounts for the variable elasticity of sputtered NiTi film and the interlayer internal stress between the film and the elastic substrate has been put forward. Then, based on the results, the impact of a phase-transforming NiTi film on the achievable changes in the cantilever effective Young’s modulus, static deflection, and the resonant frequencies is determined. The elastic substrate guarantees not only the high-frequency actuation (up to tens of MHz) but, due to a variation in the interlayer stress during a phase transformation of NiTi, it can also withstand non-negligible changes in static deflection [35]. The variable Young’s modulus of the NiTi film results in changes in the cantilever effective modulus and, correspondingly, in contrast to piezoelectric or electrostatic methods, it provides the extraordinarily high tunability of the multiple consecutive resonant frequencies of the designed nanocantilever. In addition to the unprecedented high frequency tunability, the NiTi nanocantilevers can be potentially used as sensors for multiple mass determinations, and for adsorbate molecule mass and stiffness measurements, as will be shown below. These examples will be of practical value to users of real-time nanomechanical-based mass sensors. Present theoretical models and analysis can also serve as a simple guide for further design of the nanomechanical sensors and actuators with changeable physical properties and tunable spectra of the resonant frequencies utilizing shape memory alloy (SMA) elements and films.
For the reader’s convenience, this paper begins with a brief introduction to NiTi film properties and NiTi nanocantilever preparation. In the second part of the paper a dedicated theoretical model accounting for a phase-transforming NiTi film is presented. In the third part of the paper, the role of a phase-transforming NiTi film on the effective Young’s modulus, static deflection and resonant frequencies of the designed NiTi nanocantilever is evaluated and, in the last part of the paper, examples of NiTi nanocantilevers for use as real-time mass sensors are given.

2. NiTi Film Preparation Methods and Properties

The NiTi films are prepared either by the vacuum magnetron sputtering method [23] or the bias target beam deposition method [36]. A uniform surface oxide layer independent of film thickness is naturally created on the free surface of a sputtered NiTi film. With a decrease of the film thickness, microstructure of the film changes and the oxide layer starts to affect its mechanical properties. Consequently, at film thicknesses of about 100 nm, the transformation behavior of NiTi starts to deviate from that known for bulk NiTi [27,32]. To prevent interdiffusion between the substrate and NiTi film, a thin interlayer made of Si3N4 must be deposited on the substrate prior sputtering the NiTi film. Furthermore, NiTi films sputtered at relatively low temperatures are amorphous. In order to obtain phase-transforming crystalline films, they have to be crystallized by suitable heat treatment [23,27]. This is done by heating the cantilever with sputtered NiTi film to a temperature of about 500 °C for several minutes. Alternatively, the NiTi films can be also produced by sputtering at high temperatures [37]. The thermal coefficient expansion (CTE) of NiTi is essentially higher than that of the commonly-used nanocantilever substrate materials; therefore, once the cantilever is cooled to room temperature a tensile stress is typically generated in the NiTi film upon cooling. This stress can be partially relaxed either if the NiTi starts to transform martensitically or the designed NiTi cantilever starts to bend upon cooling. The tensile stress in the NiTi film is balanced by the compressive stress in the substrate. Importantly, this internal stress in the cantilever can lead to a sharp decrease of the linear dynamic regime or to the non-linear vibration [38,8]. The low temperature sputtering followed by a heat treatment would be, therefore, the preferable route for most nanotechnology applications.
The density of the NiTi film is approximately 6.45 g/cm3 and does not change with temperature. However, the Young’s modulus of NiTi depends strongly on temperature. At low temperatures, NiTi film is in the martensite phase and the modulus ranges from 25 GPa to 40 GPa. Then, upon heating, the martensite starts transforming to an austenite phase and, correspondingly, the Young’s modulus increases. When martensite is fully transformed to the austenite, the Young’s modulus of NiTi reaches 60 GPa to 83 GPa. The martensitic transformation in 200-nm thick NiTi film sputtered on 200 nm thick Si3N4 substrate has been also observed just above room temperature, i.e., from 25 °C to 35 °C [32].

3. Theory

In this section, we present, based on the continuum mechanics theory and transformation characteristics of NiTi SMA, general theoretical models that enable accurate predictions of the static and dynamic deflections of a nanocantilever with a sputtered phase-transforming NiTi film. A schematic of the NiTi nanocantilever considered in this work is given in Figure 1. Despite the fact that the analysis is primarily carried out for NiTi films sputtered on Si, SiO2, or Si3N4 nanocantilevers, the obtained results are general and, hence, they are also valid for any other common nanotechnology used nanocantilever elastic materials. Densities and Young’s moduli of Si, SiO2, and Si3N4 considered in the present work are 2.33, 2.2, and 3.2 g/cm3, and 169, 69, and 310 GPa, respectively.
If temperature varies through the transformation range, the Young’s modulus of the NiTi film, as well as the interlayer stress between the film and substrate exhibits hysteresis, i.e., it is important to distinguish whether the current temperature was reached by cooling or heating [35]. This hysteresis, originating from the martensitic phase transformation, depends on the chemical composition, deposition, and annealing temperatures, etc. [20]. It shall be pointed out that the hysteresis width corresponding to cubic to monoclinic martensitic transformation is about 30–40 °C for common NiTi alloys. Fortunately, in the case of the NiTi thin film deposited on the elastic substrate, including the present case, the transformation range is extended and the physical properties vary with temperature with a small “effective” hysteresis of only a few degree Celsius [39]. This is the consequence of the constraint on film deformation/transformation exerted from the elastic constraint. In addition, the linear part of temperature dependency of the internal stress and Young’s modulus can differ for cooling and heating. In order to account for this in the present models, it is necessary to find dependencies of the Young’s modulus and interlayer stress on temperature for both parts of hysteresis experimentally. These measurements can be done, for instance, by the resonant methods [40] or nanoindentation [41]. In comparison to known piezoelectric or electrostatic tuning methods, where the in-plane stresses are generated mainly in a near vicinity of the cantilever clamped end [9], the interlayer internal stress originated from a phase transformation of NiTi film does create in-plane stresses over the entire cantilever length resulting in the static deflection and the axial loading FσσWT2, where W is the cantilever width, T2 is the NiTi film thickness, and σ is the temperature-dependent average interlayer internal stress [42]. For ultrathin films deposited on a relatively thick elastic substrate T2 → 0 and Fσ → 0, and, as expected, the surface stress dominates the cantilever response and the modified Stoney’s equation can be used to predict the cantilever deflection [43]. Nevertheless this equation does not account for the variable elasticity of the sputtered NiTi film; therefore, it cannot be, in principle, used to predict the static deflection of nanocantilever with the NiTi film of an arbitrary thickness. The required general dependency of cantilever deflection on the interlayer stress and the variable elasticity of NiTi film for various film thicknesses can be derived from a three-dimensional model by following the approach given in [44]. Shortly, at first a position of the neutral axis is determined. Then, a relationship between the normal stress and a curvature of considered two layered plate can be obtained, and after some simplifications and assumptions, e.g., stress in the film is isotropic and homogeneous, the desired expression-related bending of the cantilever with stress can be found. Now, omitting cumbersome calculations, the general relationship among stress, film elasticity, and the cantilever static deflection can be written as:
z = 3 ( 1 ν 1 ) ( 1 ν 2 ) ( 1 + η ) η L 2 [ ( 1 ν 2 ) + ( 1 ν 1 ) ξ η 3 ] E 1 T 1 σ ,
where z is the temperature dependent “effective” cantilever deflection, L is the length of cantilever, E is the Young’s modulus, T is the thickness, η = T2/T1 is the thickness ratio, ξ = E2/E1 is the modulus ratio, ν is the Poisson’s ratio, and subscripts 1 and 2 stand for the elastic substrate and NiTi film, respectively.
For the vibrational amplitude that is much smaller than any of the cantilever length scale, the governing equation for the elastic deformation of the multilayered cantilever beam performing the flexural oscillations takes the following general form [45]:
A 1 2 u ( x , t ) t 2 + ( A 2 A 3 2 A 4 ) 4 u ( x , t ) x 4 ± F T 2 u ( x , t ) x 2 = F ext ( x , t ) .
Here A 1 = i = 1 N ρ i S i , A 2 = i = 1 N E i Γ i u * 2 d S , A 3 = i = 1 N E i Γ i u * d S , and A 4 = i = 1 N E i S i , u(x,t) are the dynamic deflection functions of the multilayered cantilever beam, x is the spatial coordinate along the length of the beam, t is the time, N is the number of the beam material layers, S is the cross-sectional area of the beam, ρi and Ei are the volumetric mass density and the Young’s modulus of the i-th material layer, u* is the local coordinate in the lateral direction, Γi is the i-th region of the beam cross-section, ±FT stands for the resulting compressive/tensile axial load caused by the multiple physical and material effects, such as the residual stress, the CTE difference between each of the deposited material layer and, in our case, it also includes stresses originating from sputtering and a phase transformation of NiTi film, and Fext(x,t) is the external force per unit length, including driving and dissipative forces [46].
For nanocantilevers made of an elastic substrate and the sputtered phase-transforming NiTi film (see Figure 1) N = 2, FT ≈ Fσ is the tensile interlayer internal stress from NiTi [35,42], A1 = W[ρ1T1 + ρ2T2H], A2 = (W/12)[E1T13 + (3E1T1T22 + 3E2T12T2 + E2T23)], A3 = (W/2)T1T2(E2E1) and A4 = W[E1T1 + E2T2H]. It shall be pointed out that, for Si and SiO2 substrates, the interlayer film made of Si3N4 can be neglected since its thickness is essentially smaller than the thicknesses of the silicon and NiTi layers. The boundary conditions are the usual clamped-free end conditions with accounting for axial load:
u ( x , t ) | x = 0 = 0 , u ( x , t ) x | x = 0 = 0 , 2 u ( x , t ) x 2 | x = L = 0 , ( A 2 A 3 2 A 4 ) 2 u ( x , t ) x 2 | x = L F σ u ( x , t ) x | x = L = 0 .
Solving Equation (2) with due account for the boundary conditions given by Equation (3) and Fext(x,t) = 0 yields the desired spectrum of the resonant frequencies:
f = γ n 2 2 π L 2 E 1 T 1 2 r ( ξ , η ) 12 ρ 1 ( 1 + μ η ) .
Here, r(ξ,η) = [ξ2η4 + 4ξη(1+ 1.5η + η2) + 1]/(1 + ξη) μ = ρ2/ρ1 and γn2 are the dimensionless resonant frequencies obtained as the positive roots of:
( 1 + b 4 2 q 1 2 q 2 2 ) cosh q 1 cos q 2 + 1 + b 2 2 q 1 q 2 sinh q 1 sin q 2 = 0 ,
where q 1 , 2 = ± b 2 2 + b 4 4 + γ 4 and b ( L / T 1 ) 12 σ η / ( E 1 r ( ξ , η ) ) is the stress induced “tension parameter”, which accounts for the temperature-dependent average interlayer internal stress variation caused by the sputtered phase-transforming NiTi film.

4. Results and Discussion

4.1. Impact of Phase-Transforming NiTi Film on the Cantilever Effective Young’s Modulus and Static Deflection

In this section, we use the above theory to examine the impact of phase-transforming NiTi film on the effective Young’s modulus and static deflection of the NiTi nanocantilever. To begin, we note that the term (A2 − (A32/A4)) in Equation (2) stands for the flexural rigidity of the multilayered cantilever that, for a two layered nanocantilever, i.e., NiTi film sputtered on elastic substrate, yields:
D F = ( 1 / 12 ) W T 1 3 E 1 r ( ξ , η ) .
The flexural rigidity of any rectangular beam is given as (1/12) WT3E [47], thus, the effective Young’s modulus of the cantilever with accounting for variable elasticity of a phase-transforming NiTi film cannot be directly retrieved from Equation (6). However, by introducing the following dimensionless thickness parameters h1 = T1/TT, h2 = T2/TT and TT = T1 + T2 Equation (6) can be rewritten in the following way:
D F = ( 1 / 12 ) W T T 3 E 1 r ( ξ , η ) / T 1 3 .
Now, as it is evident from structure of Equation (7), the term (1/12)W T T 3 is nothing other than the moment of inertia of the nanocantilever and, consequently, the term E1r(ξ,η)/T13 can be viewed as the effective Young’s modulus of the nanocantilever with sputtered phase-transforming NiTi film, which can be expressed as:
E eff = E 1 2 h 1 4 + E 2 2 h 2 4 + 4 E 1 E 2 h 1 3 h 2 + 6 E 1 E 2 h 1 2 h 2 2 + 4 E 1 E 2 h 1 h 2 3 E 1 h 1 + E 2 h 2 .
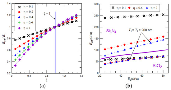
The variable elasticity of sputtered NiTi film related to its martensitic transformation yields changes in the cantilever effective Young’s modulus, which exact value depends on the substrate and film thicknesses and corresponding moduli. It shall be pointed out that the martensitic transformation of NiTi film does not change the Young’s modulus of the cantilever elastic substrate. Hence, it is useful for a further analysis of the one to consider variations in the cantilever effective Young’s modulus as its ratio to a known substrate Young’s modulus:
E eff / E 1 = 1 + ξ 2 η 4 + 4 ξ η ( 1 + 1.5 η + η 2 ) ( 1 + ξ η ) ( 1 + η 3 ) .
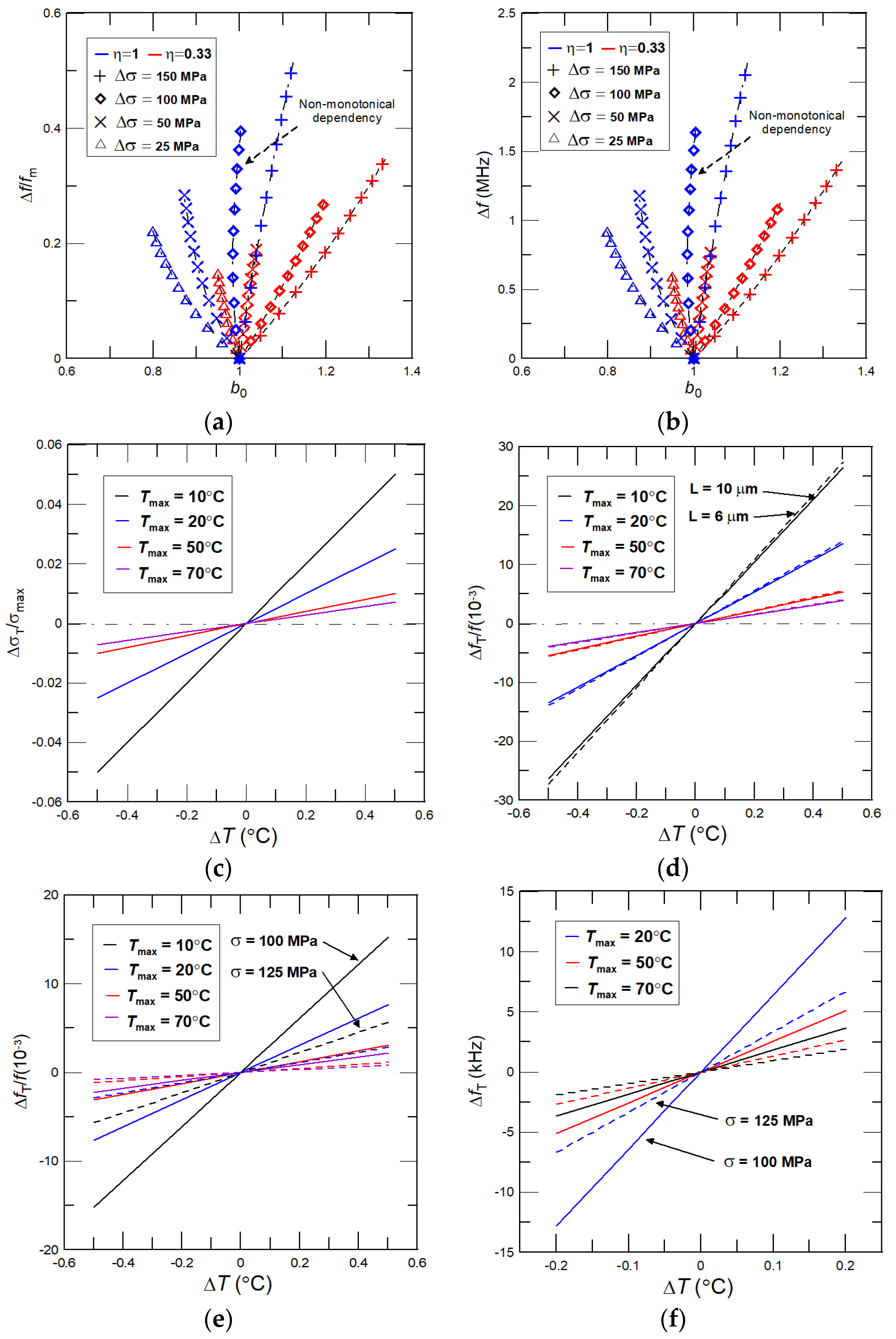
The relative changes in cantilever Young’s modulus depends on the combination of temperature-dependent dimensionless modulus parameter ξ and the film to substrate thickness ratio represented by η. Equation (9) discloses that the modulus variation depends strongly on film thickness (as η4) and less significantly on the modulus ratio (as ξ2). Hence, it can be expected that, for ultrathin films, the impact of the NiTi phase transformation on the cantilever effective Young’s modulus is negligibly small. Indeed, results presented in Figure 2a reveal that, for η ≤ 0.2, Eeff depends linearly on the dimensionless modulus ratio ξ. As such, the variation of cantilever effective modulus can be considered to be almost independent on the martensitic transformation in NiTi film. Nevertheless, with a further increase of film thickness, the impact of NiTi phase transformation starts to notably affect the effective Young’s modulus. For 0.2 < η < 0.5 the quadratic dependency and for 0.5 ≤ η the cubic dependency of the cantilever effective Young’s modulus are found. It is important to note that with an increase of substrate stiffness changes in the dimensionless modulus parameter ξ decreases and, consequently, for a given thickness ratio η, the dependency of Eeff on NiTi film during its phase transformation is almost linear, but cannot be neglected. For illustration, dependencies of the cantilever effective Young’s modulus as a function of the variable NiTi film modulus for two different substrate materials SiO2 and Si3N4, and three different film-to-substrate thickness ratios 0.1, 0.6, and 1 are shown in Figure 2b. As expected for Si3N4, almost linear dependency of Eeff on the NiTi film modulus is observed for all considered values of η, while, for SiO2, the linear dependency is realized only for η = 0.1; for the SiO2 substrate and η = 0.6 and 1, the cubic dependency is found. Figure 2b also reveals that, for a given film thickness, essentially larger variation of the cantilever effective Young’s modulus can be reached by sputtering NiTi film on stiff substrate materials, like Si3N4. For η = 1, e.g., a cantilever of T1 = T2 = 200 nm, the achievable changes in the cantilever effective Young’s modulus due to a phase transformation of the NiTi film are, for Si3N4 and SiO2 substrates, 70 GPa and 40 GPa.
Heating of the NiTi film is essentially faster than cooling [20,21], therefore, to set up the desired operating conditions by heating would be preferable for the majority of the nanotechnology applications. As such, we use the martensite phase in the NiTi film as the NiTi cantilever initial state. Then, the relative change in the cantilever deflection, accounting for variations in the interlayer stress and elasticity during a phase transformation of NiTi film from martensite to austenite, obtained from Equation (1) reads:
z / z m = ( 1 ν 2 ) + ( 1 ν 1 ) ξ m η 3 ( 1 ν 2 ) + ( 1 ν 1 ) ξ η 3 1 σ σ m ,
where subscript m stands for the NiTi film in the martensite phase.
As can be seen from Equation (10), the cantilever deflection depends linearly on the interlayer stress and it is inversely proportional to the combination of NiTi film thickness and Young’s modulus as (ξη3)−1. Consequently, it can be easily concluded that for thin films, i.e., η << 1, changes in the static deflection of cantilever depend only on variation in the interlayer stress, i.e., ξη3 → 0. Dedicated calculations presented in Figure 3a demonstrate that the assumption of “thin NiTi film” holds for a cantilever with η ≤ 0.4, whereas, for a cantilever with a thickness ratio η > 0.4, the variation in the NiTi Young’s modulus comes into play and results in a weak, but not negligible, decrease of the cantilever’s deflection. The achievable static deflection calculated by Equation (1) and the three-dimensional model (3D model) for the cantilever made of silicon nitride substrate of length 6 μm, thickness 250 nm, and width of 900 nm with sputtered NiTi film of three different thicknesses is given in Figure 3b. As expected, for η = 0.4, cantilever deflection depends only on the variation in the interlayer stress and with a further increase of NiTi film thickness, η = 0.7 and 1, the weak non-linear decrease of the achievable static deflection is observed. For given cantilever properties and dimensions, Equation (1) yields the upper limit of static deflection, i.e., deflection predicted by theory (Equation (1)), is higher than the one obtained by a 3D model. The discrepancy between theory and the 3D model is due to a “plate approximation” used to derive Equation (1) [47] and, as it can be expected, it decreases with a decrease of film thickness represented by a thickness ratio η (see Figure 3b). Note that theoretical predictions given in Figure 3a,b also agree qualitatively with experiments obtained by a curvature measurement method for NiTi thin films [48] and, correspondingly, it allows us to confirm the validity of the derived expressions (Equations (1) and (10)) used for general prediction of the cantilever static deflection caused by a phase-transforming NiTi film.

4.2. Impact of Phase-Transforming NiTi Film on the Cantilever Resonant Frequencies

Here we use the theoretical model to evaluate the effect of a phase-transforming NiTi film on the cantilever resonant frequencies, i.e., “dynamic deflection”. Accounting for Equation (4), the relative frequency shift of cantilever with sputtered phase-transforming NiTi film can be expressed as:
Δ f / f m = ( γ γ m ) 2 r ( ξ , η ) r ( ξ m , η ) 1 ,
where fm and γm are the resonant frequencies of the n-th mode of the cantilever with NiTi film in the martensite phase and Δf = ffm. Equation (11) clearly shows that, for the cantilever, the resonant frequency shift depends directly on the variable elasticity of NiTi represented by r(ξ,η) and indirectly on the interlayer internal stress σ represented by the stress-induced tension parameter b (see the structure of Equation (5)). We notice here that the impact of stress on the resonant frequency shift decreases with an increase of the vibrational mode, whereas the variable elasticity of the NiTi film is independent of the considered vibrational mode [16]. As a result, it can be easily concluded that by sputtering a phase-transforming NiTi film on the common nanocantilever materials it is possible to significantly tune multiple consecutive resonant frequencies of the designed NiTi nanocantilever.
We now define the dimensionless parameters that would help us to examine the frequency response of the nanocantilever of an arbitrary material properties and dimensions with due account for sputtered phase-transforming NiTi film of arbitrary values of the interlayer internal stress and the Young’s modulus. As is evident from Equations (4), (5), and (11), the natural dimensionless parameters can be easily defined as follows:
b 0 = b b m = σ σ m r ( ξ m , η ) r ( ξ , η ) ,   E eff _ 0 = E eff E eff _ m = r ( ξ , η ) r ( ξ m , η ) ,   σ 0 = b 0 2 E eff _ 0 = σ σ m
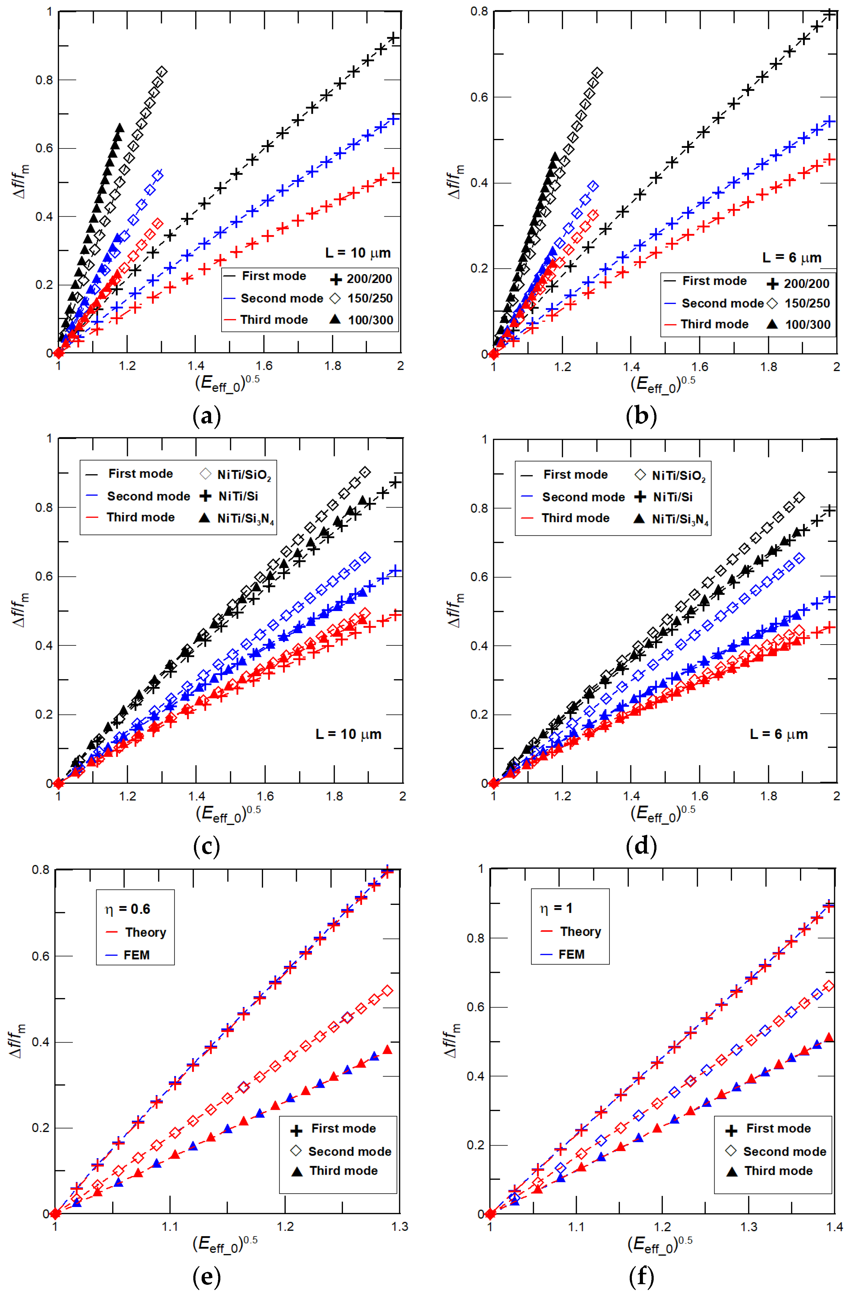
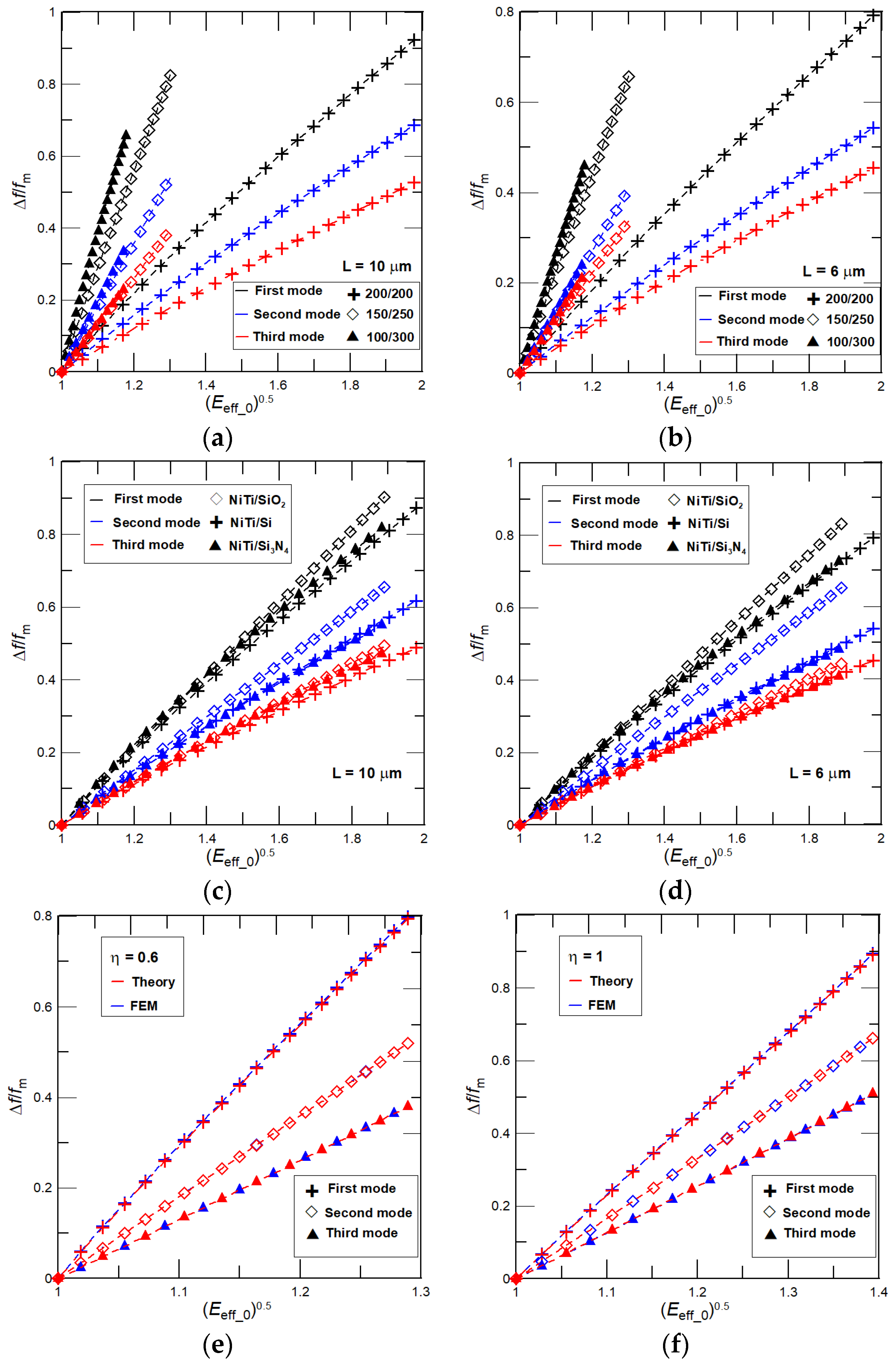
From Equations (11) and (12) it can be concluded that if a phase transformation of NiTi film is realized without any interlayer stress, i.e., σ = 0, then the relative frequency shift is independent of the considered vibrational mode, as well as the cantilever length, width, and density. The relative frequency shift would be just linearly proportional to changes in the cantilever effective Young’s modulus caused by a variable elasticity of NiTi film as Eeff_01/2. For a further analysis we consider only a linear part of the hysteresis with the NiTi film Young’s modulus ranges from 25 (martensite) to 80 (austenite) GPa. We note here that the identical linear increase of the NiTi Young’s modulus was used previously for the estimation of Eeff (see Figure 2b). Figure 4a,b present results for the relative frequency shift as a function of Eeff_01/2 calculated by Equation (11) for σ = 0 and: (i) a NiTi/Si nanocantilever of three different lengths L = 6, 8, and 10 μm and three thickness ratios, η = 0.33, 0.6, and 1, i.e., T1 = 300 (T2 = 100), 250 (150), and 200 (200) nm (see Figure 4a); and (ii) NiTi/Si, NiTi/SiO2, and NiTi/Si3N4 nanocantilevers of L = 6, 8, and 10 μm and η = 1, i.e., T1 = T2 = 200 nm. The width of all considered cantilevers is 900 nm. As it is predicted by the model, a general linear dependency of Δf/fm on Eeff_01/2 independent on the considered vibrational mode, cantilever size, and properties is obtained. Figure 4a also shows that, in accordance with theory, the achievable relative frequency shift increases with an increase of η.
If there is an interlayer internal stress in the prepared NiTi nanocantilever that, however, does not significantly vary during the phase transformation of the NiTi film, i.e., σ ≠ 0 and σ ~ constant, then, for the higher vibrational modes, a significant increase of the achievable frequency shift Δf/fm is found as shown for the NiTi/Si nanocantilever of η = 0.33, 0.6, and 1, and a low interlayer internal stress, i.e., σ = 100 MPa, in Figure 4c and for a large stress value, i.e., σ = 500 MPa, in Figure 4d, and also for NiTi/Si, NiTi/SiO2, and NiTi/Si3N4 nanocantilevers of T1 = T2 = 200 nm in Figure 4e (σ = 100 MPa) and Figure 4f (σ = 500 MPa). Moreover, the following two additional key features are also evident from Figure 4c–f: (i) a linear dependency of Δf/fm on Eeff_01/2, and (ii) the achievable tunability of Δf/fm decreases (increases) with an increase of the interlayer internal stress value (the NiTi film thickness represented by η). Both of these features, as well as the significant increase of the achievable frequency shift Δf/fm for the higher vibrational modes, are related to the variable elasticity of the NiTi film. The Young’s modulus of NiTi film during its phase transformation increases causing a linear increase of the relative frequency shift on Eeff_01/2 as shown in Figure 4a,b. At the same time, for given constant values of σ, the tension parameter b decreases with an increase of the NiTi film Young’s modulus, i.e., b ~ (σ/Eeff)0.5, Eeff > Eeff_m and bm > b, resulting in a decrease of the dimensionless resonant frequencies γ2. For simplicity, we suppose that b causes a small decrease in the dimensionless resonant frequency, i.e., γγma1b2, a1b2 << 1, where a1 is some constant, γ2γm2(1 − 2 a1b2/γm) and (γ/γm)2 ≈ 1 − 2a1b2/γm. Hence, for a constant σ with an increase of the considered vibrational mode the dimensionless resonant frequency of cantilever with NiTi in martensite state γm also increases shifting (γ/γm)2 to the higher values and, in a limiting case, γm → ∞, (γ/γm)2 ≈ 1 and Δf/fm ~ Eeff_01/2. Now, for the same vibrational mode, the higher values of the interlayer internal stress cause a decrease of the relative frequency shift and, in a limiting case, σ → ∞ and (γ/γm)2 → 0, yielding a sharp decrease of the achievable frequency shift Δf/fm, as evident from Figure 4d or Figure 4f. A good agreement between the present theoretical predictions, i.e., the analytical model, and the finite element simulations (FEM) presented in Figure 4g,h has been also found. For example, for the NiTi/Si nanocantilever discrepancy between the analytical model and FEM results is within a few percent.
We must emphasize here that when NiTi is sputtered at high temperature followed by cooling to room temperature, the CTE mismatch between the film and substrate results in the tensile interlayer internal stress that decreases with an increase of temperature. At the same time, the martensite phase of NiTi will be moved back to the austenite causing an increase of stress. The interplay among these two stresses, as well as other interface stresses can result, for some configurations and temperature ranges, in a constant value of the resulting average internal interlayer stress [35].
If NiTi is sputtered at a low temperature and followed by heat treatment, then the phase transformation of NiTi film causes an increase of both the cantilever effective Young’s modulus Eeff and the interlayer internal stress σ. As a result, the frequency shift Δf/fm depends on combination of a linear increase of Eeff_00.5 and a non-linear variation of (γ/γm)2 that is proportional to the interplay between the stress induced parameter b and the effective elasticity Eeff (see Equations (11) and (12)). At first, let us consider that the phase transformation of the NiTi film is accompanied with a large linear variation of the interlayer internal stress ranging from 100 MPa (martensite) to 500 MPa (austenite) [32]. Then, for the considered nanocantilevers’ dimensions and properties, and ranges of the NiTi Young’s moduli and interlayer stresses, the dimensionless stress-induced tension parameter b0 = (σ0/Eeff_0)0.5 increases with temperature from 1 (NiTi in martensite) to about 2.52 (NiTi in austenite), i.e., σ0, is from 1 to 5 and Eeff_0 is from 1 to about 1.98 (for NiTi sputtered on Si substrate of η = 1). An increase of b0 shifts the dimensionless resonant frequencies γ2 to the higher values and, correspondingly, it enables the extraordinary high-frequency tunability of, particularly, the fundamental resonant frequencies, which is four times higher than the tunability obtained for a constant stress. Importantly, for higher vibrational modes, the impact of stress on the frequency response decreases resulting in the lowering of the achievable Δf/fm (see Figure 5). The higher frequency tunability can be also achieved by increasing the nanocantilever length. Additionally, an increase of σ0 is essentially faster than of Eeff_0, thus, the weak non-linear dependency of Δf/fm on Eeff_00.5 can be observed as also shown in Figure 5.
In Figure 6 we present complementary results for the absolute frequency shift Δf in nanocantilevers caused by the phase transformation of NiTi film. Here, we consider the identical nanocantilevers, stresses, and NiTi properties that have been used to analyze the effect of NiTi film on Δf/fm. As expected, the absolute frequency shifts increase (decrease) with the considered vibrational mode (decrease with NiTi film thickness represented by η). For instance, for a nanoresonator of L = 6 μm and the NiTi film of phase transformation characteristics used in the present manuscript for analysis, the theoretically achievable extraordinary high-frequency tunability of the first resonant frequency of about 7 MHz is predicted by the present analytical model.
It is worth noting that for a nanomechanical resonator clamped at both ends, i.e., a suspended beam, the impacts of variable elasticity of NiTi and the interlayer stress on the resonant frequencies is essentially higher than for the cantilever beam case considered here. For example, for a nanoresonator of L = 6 μm, the tunability of 16 MHz (~30%) is calculated by an analytical model, i.e., for a doubly-clamped beam generated interlayer internal stress cannot be due to the clamped-clamped ends partially released and, as a result, its effect on the frequency shift is essentially stronger than the one for the nanocantilever. In addition, good agreements between resonant frequencies calculated by Equations (4) and (11), and predicted from the FEM simulations are found (see Figure 5e,f and Figure 6e,f). For NiTi/Si nanocantilevers of η = 0.6 and 1, the difference between Δf obtained from FEM and the analytical model is within several percent. The resonant frequencies predicted by FEM are higher than those obtained by the present theory.
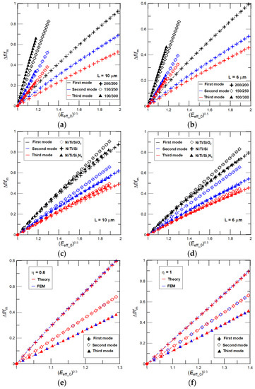
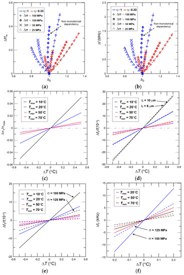
Phase transformation of NiTi films that is accompanied with a large variation in the interlayer internal stress enabled us to evaluate the maximum theoretically-achievable resonant frequency tunability of the nanocantilever with due account for a phase-transforming NiTi film. Noticing here that during phase transformation of the NiTi film the moderate variation in the interlayer internal stress is often realized [28,35]. In general, the tension parameter b0 is proportional to the ratio of stress to the effective modulus variations as (σ + Δσ)/(Eeff_0 + ΔEeff_0), where Δσ and ΔEeff_0 are the stress and modulus changes caused by a phase transformation of NiTi. For given changes in ΔEeff_0, the lower variation in Δσ results in smaller values of b0 and, in a limiting case, Δσ = 0 and σ = const., Δf/fm depends just on Eeff_00.5, and the considered vibrational modes are as shown previously in Figure 4c–f. Hence, for moderate variation of σ, the tension-induced parameter b0 can either weakly increase, decrease, or change non-monotonically. For the reader’s convenience, we present in Figure 7a,b the theoretically-achievable frequency shifts of Δf/fm and Δf as functions of b0 for NiTi/Si nanocantilevers of L = 10 μm and thickness ratios of η = 0.33 and 1, σm = 100 MPa, and Δσ = 150, 100, 50, and 25 MPa. The expected non-monotonic variation in b0 can be found for η = 1 and Δσ = 100 MPa.
The NiTi films with high interlayer internal stress variation are of practical value for nanomechanical devices that are intended to operate at two significantly different resonant frequencies, i.e., “bistable” resonators. To ensure these resonators operate at desired values of the resonant frequencies, it is necessary that the NiTi film is either in the austenite or martensite phase. In this case, there would not be a shift in the cantilever resonant frequencies caused by a small variation of stress due to the unwilling temperature fluctuations. NiTi nanocantilevers with moderate interlayer stress can be used either to compensate for the frequency shift caused by drifting of the external temperature or in various actuators and sensors, where continuous tunability of the several consecutive resonant frequencies would be beneficial. In this case, the accuracy and application potential of these devices depends strongly on the NiTi phase transformation temperatures and uncertainties in the interlayer internal stress and NiTi elasticity that are caused by errors (fluctuation) in the setting of the temperature during the device operating conditions. To ensure that NiTi nanocantilevers with continuously-tunable resonant frequencies can be used in nanotechnology applications, we now examine the effect of uncertainties in temperature on the variation of the interlayer internal stress, NiTi elasticity and the nanocantilever fundamental resonant frequencies. For NiTi film sputtered at a low temperature, the interlayer stress and the NiTi Young’s modulus increase linearly with an increase of temperature during NiTi film phase transformation. Computations carried out over large ranges of the interlayer internal stresses and NiTi Young’s moduli, different transformation temperatures, and nanocantilever dimensions and properties reveal that there exists a linear dependency of a relative change in the interlayer internal stress and/or the NiTi Young’s modulus on the uncertainties in temperature setup as:
Δ σ T σ max = Δ E 2 E 2 max = Δ T T max
where ΔσT, ΔE2, and ΔT are the variations in NiTi stress, Young’s modulus and temperature, σmax = σaσm, E2max = EaEm, Tmax = TaTm, and subscript “a” stands for the NiTi film in the austenite phase. From Equation (13) we can conclude that, for a given inaccuracy in temperature due to thermal fluctuations, the lower error in σ can be achieved for NiTi films with a moderate and/or weak variation in the interlayer internal stress during its phase transformation or for NiTi film that the phase transformation is relatively slow, as given in Figure 7c. Noticing only that for common uncertainties in the temperature setting, the error in NiTi elasticity is negligibly small.
The interlayer internal stress does affect through the stress induced tension parameter b only the dimensionless resonant frequencies γ2 (see Equation (5)). As such, the inaccuracies in the temperature setup yield the errors in σ and, consequently, they cause small uncertainties in the cantilever resonant frequencies. If the error in stress Δσ due to the temperature fluctuation ΔT is small, i.e., Δσ << σ and ΔE2 ≈ 0, then Δb/b ≈ 0.5 Δσ/σ. For moderate interlayer stress, the dimensionless resonant frequencies calculated by Equation (5) can be accurately approximated as γ2γB2 + a2b2 + a3b, where γB2 are the resonant frequencies without tension γB2 = 3.516…, a2 = 0.2375, and a3 = 0.5547 [17]. Then, the error in the dimensionless resonant frequencies with due account for the error in Δσ can be obtained as follows:
Δ γ γ = 1 4 ( 2 a 2 b + a 3 γ B 2 + a 2 b 2 + a 3 b ) Δ σ T σ
Equation (14) indicates that the error in desired frequency shift depends linearly on the uncertainties in temperature set up represented through the error in the interlayer internal stress Δσ. Furthermore, the stress induced tension parameter is proportional to the interlayer internal stress and the cantilever length as b ~ σ1/2L, therefore, by increasing the cantilever length and/or stress, the parameter b also shifts to the higher values. At the same time, the denominator γB2 + a2b2 + a3b in Equation (14) increases essentially faster than the numerator 2a2b + a3. As a result, for given uncertainties in the temperature setup, the lower error in the resonant frequencies can be easily achieved by increasing the cantilever length or utilizing the nanocantilevers with high initial values of interlayer internal stress, i.e., σm is high. To confirm these important results, we also perform computations for large ranges of the nanocantilevers’ dimensions, properties, interlayer internal stresses, different transformation temperature ranges, and uncertainties in ΔσT and ΔE2, and present the relative ΔfT/f and absolute ΔfT frequency shifts for different inaccuracies in the temperature setup in Figure 4d–f. Importantly, these numerical computations are in good agreement with theoretical predictions obtained from Equations (13) and (14). For example, for a NiTi/Si nanocantilever of η = 1, i.e., T1 = T2 = 200 nm, of length L = 10 μm, with moderate variation in the interlayer internal stress ranging from σ = 100 MPa to σ = 200 MPa, the absolute frequency shifts ΔfT (uncertainties in resonant frequency measurements) for σ = 100 MPa, ΔT = 0.01 and transformation temperature Tmax = 20 °C (50 °C) are ~1.123 (0.45) kHz. Once stress reached the value of 200 MPa, then the error in frequency shift sharply decreases (almost two times) and for Tmax = 20 °C (50 °C) ΔfT ≈ 0.67 (0.27) kHz. For identical nanocantilever with stress ranging from 100 MPa to 125 MPa, ΔT = 0.01 and Tmax = 50 °C the error in frequency determination of ~100 Hz can be easily achieved. Our results reveal that by using: (i) the higher initial stress values σm; (ii) longer nanocantilevers; and/or (iii) increasing the transformation temperature ranges, the impact of thermal fluctuations on the nanocantilever resonant frequencies can be efficiently suppressed to values that are comparable with the usual errors obtained for piezoelectric and/or electrostatic frequency tuning methods [9]. These findings are of practical importance in the design of the nanocantilever-based sensors and actuators with significantly changeable spectra of the resonant frequencies utilizing the phase transformation of sputtered NiTi films.
For NiTi cantilevers designed at high temperature, the interplay between stress from CTE and stress originated from a phase transformation of NiTi operating around room temperature can also generate a non-monotonic variation in the interlayer internal stress resulting in the non-monotonic dependency of Δf/fm on temperature. In addition, despite the fact that the nanocantilever-based sensors and actuators utilizing the unique properties of phase-transforming NiTi film have not yet been experimentally studied, the validity of the general theoretical model represented by Equations (4), (5), and (11) were recently reinforced by experiments carried out on the microcantilevers with NiTi films sputtered at a high temperature [37]. In accordance with model, the expected non-monotonic dependency of Δf/fm on temperature were observed and Δf increases with an increase of the considered vibrational mode. These experiments can, therefore, be used to verify the validity and robustness of the theoretical analysis and predictions carried out in the present work.

4.3. Nanocantilever Based Mass Spectrometry Utilizing the Phase Changeable NiTi Films

Using the above theoretical results, we now demonstrate the potential behind the NiTi nanocantilevers based devices. Particularly, we focus on the nanomechanical resonant based sensors, where the adsorbate mass(es) is (are) determined from changes in the cantilever frequency spectrum (see for example reviews [6,7]). Let us consider two commonly realized scenarios of chemical and biological adsorbate binding: (i) one or multiple adsorbate masses are attached to the cantilever resonator; i.e., for this scenario the total mass (sizes) of adsorbate molecules mΣ (dΣ) is essentially smaller than the mass (dimensions) of the cantilever resonator M (L) [49]; and (ii) the adsorbate forms the uniform material layer on top of the nanocantilever [50].
For the first scenario the general method of multiple mass determinations by means of the axially-loaded cantilever resonators has been already proposed [11]. Briefly, each of the adsorbate masses do not change the cantilever stiffness, but do create an additional mass at a given location hj. To account for the frequency shift due to the adsorbates, the following matching conditions are imposed:
u ( h i , t ) = u ( h i + , t ) , u ( h i , t ) x = u ( h i + , t ) x , 2 u ( h i , t ) x 2 = 2 u ( h i + , t ) x 2 , D F ( 3 u ( h i , t ) x 3 3 u ( h i + , t ) x 3 ) F σ ( u ( h i , t ) x u ( h i + , t ) x ) = m 2 u ( h i , t ) t 2 .
Here, subscript i stands for ith—attached mass and the subscripts + and − stand for the mass location to the direction of the free and clamped ends, respectively. Then, solving Equation (2) for boundary and matching conditions given by Equations (3) and (15) yields the following transcendental equation:
( 1 + b 4 2 q 1 2 q 2 2 ) cosh q 1 cos q 2 + 1 + b 2 2 q 1 q 2 sinh q 1 sin q 2 1 2 q 1 5 B 0 B 1 q 2 2 i = 1 N ε i j = 1 m Σ H ( q , h j ) = 0 ,
where ε = m/M and H(q,h) = B24G0(qh) + B23{cosh q1h sin [q2(Lh)] cos q2 + sinh q1h sinh [q1(Lh)] sin q2} + B22{G0(q) − G0[q(Lh)] − cosh q1h cos [q2(Lh)] sin q2} + B2G1[q(Lh)] + B25B3 sin q2{cos q2 + sin q2h sin [q2(Lh)]} + B24B3{G0[q(Lh)] − (sinh q1 + sin q2) cos [q2(Lh)] cos q2h} + B23B3{G1(q) + cosh [q1(Lh)] sin q2h cos q2} − B22B3 {G0(qh) + sinh q1 sin q2h sin [q2(Lh)] + cosh [q1(Lh)] cos q2h sin q2} + B2B3 G1(qh) − cosh q1h cosh [q1(Lh)] sin q2 + (b/q2)2 {B12[G0(qh) − sinh (q1h) cosh (q1(Lh)) cos q2] + B2[G1(q) + G1(qh) − G1(q(Lh))] + B23B3[G1(q(Lh)) − cosh q1 cos (q2h) sin (q2(Lh))] + B22B3[G1(q(Lh)) + G1(qh) − G1(q)] + B2B3[cosh q1 sin (q2h) cos (q2(Lh)) − G1(qh)] + cosh (q1h) sinh (q1(Lh)) cos q2G0(q(Lh))}, B0 = (b/q1)2 − 1, B1 = q12 + q22, B2 = q2/q1, B3 = [(b/q1)2 + B22]/B0, G0(z) = sinh z1 cos z2, and G1(z) = cosh z1 sin z2. Then, accounting for small mass ratio(s), i.e., εΣ << 1, the desired cantilever frequency shift due to N attached masses can be written in the following way [11]:
Δ f add f = γ 2 γ add 2 γ 2 = 2 ε Σ α Σ ( h j , γ ) ,
where Δfadd = ffadd, fadd are the cantilever resonant frequencies with accounting for the adsorbate masses, εΣ = mΣ/M is a mass ratio accounting for attached masses, α Σ ( h j , γ ) = 1 4 H ( q , h j ) B 2 4 H D ( q , h j ) is the “mode shape function” and HD(q,h) = −2b4/(B1B4)·(1 − cosh q1 cos q2) + 2(2q1/B1 + B1/B4)·(cosh q1 cos q2 + 1) + [1 + b2/(2q22) + b4/(2q1B4)] sinh q1 cos q2 − [1/B2 − b2/(2q1q2) + b4/(2q2B4)] cosh q1 sin q2 + [B1/(q1q2B4) + 4/(q2B3)] sinh q1 sin q2 and B4 = q1q22. Equation (17) enables one to decouple the effect of masses represented by εΣ and their positions of attachment given by αΣ(hj,γ). Once the adsorbate masses are attached to the nanocantilever surface their positions are given and do not change during measurements, and αΣ(hj,γ) depends only on the known dimensionless resonant frequency of the unloaded resonator as γ. Let us suppose only one attached mass on the nanocantilever. Then, two measured frequency shifts yield the following inequalities Δfadd_F1/fF1 = 2εα(h,γF1) and Δfadd_F2/fF2 = 2εα(h,γF2), subscripts F1 and F2 stand for two different allied axial force values. They results in [(Δfadd_F2/fF2)/(Δfadd_F1/fF1)] = α(h,γF2)/α(h,γF1) and for known γ1 and γ2 the position of mass attachment h is found. Plugging known values of h in Equation (17) and accounting for the one of the measured shifts, i.e., Δfadd_1/f1 or Δfadd_2/f2, the mass ratio ε and, consequently, the attached mass m can be determined. It is evident that to determine each adsorbate position of attachment and, afterward, the desired mass requires measurement of at least two resonant frequencies under different axial forces. In addition, it is a necessary condition that αF1(h,γF1) varies significantly from αF2(h,γF2). It has been shown that, to fulfill this important condition, requires b > 3, i.e., for b ≤ 3 the α(h,γ) does not notably change from the mode shape known for cantilever without axial load [11].
The usual electrostatic and piezoelectric tuning methods enable only a small correction of the cantilever fundamental resonant frequencies, therefore, for the same vibrational mode the mode shape function α(h,γ) can be considered constant and, as such, the method of multiple mass determinations by axially-loaded nanocantilevers does not work. Noticing only that for current nanotechnology cantilevers at least three consecutive resonant frequencies are needed to determine each of the adsorbate masses, limiting their usage to only either a single mass [49], or a couple of mass determinations in a real-time [51]. However, as one can expected, this serious drawback can be easily overcome by means of phase-changeable NiTi nanocantilevers. For example, for NiTi/Si nanocantilevers of L = 10 μm, T1 = T2 = 200 nm and W = 900 nm in the martensite phase, where σm = 100, 300, 500 MPa, the tension parameters bm = 2.57, 4.45, and 5.74, while, for the austenite phase, where σa = 125, 325, and 525 MPa, i.e., a low interlayer internal stress variation of Δσ = 25 MPa, bm = 2.04, 3.29, and 4.18. As such, for σm (σa) = 140 (270) MPa, b > 3 and the nanocantilever with sputtered phase-transforming NiTi film indeed enable multiple mass spectrometry in real-time. As one can expect, to determine N attached masses requires the measurement of P shifts of the fundamental resonant frequency of the NiTi film-based nanomechanical resonator, i.e., P ≥ 2N. The different shifts of the fundamental resonant frequencies are obtained by intentionally changing the effective Young’s modulus of the NiTi film and the corresponding interlayer stress between the NiTi film and the elastic substrate. It means that each frequency shift is measured for a given predetermined temperature that can be controlled by for instance thermostat. Interestingly, the weak hysteresis of NiTi film enables one to obtain two different frequency shifts for the same temperatures, i.e., the experiments can be done by combining heating and cooling. Once the required number of frequency shifts is obtained, then, similarly to single mass determination, we again seek positions hj and the mass ratios εΣ that satisfy Equation (17). However, for multiple attached masses, the most likely attachment positions and, afterwards, the desired attached masses, can be obtained only numerically (see [11] and [46]). The dimensionless sensitivity of NiTi nanocantilever-based mass sensors is given by [11]:
S = γ 2 γ add 2 ε .
Interestingly, Equation (18) indicates that the mass sensitivity increases with an increase of γ2. Hence, for NiTi nanocantilever-based mass sensors, the higher value of σm does not only notably reduce the uncertainties in frequency measurement caused by the temperature fluctuation, but also enhance the mass sensitivity. For instance, for the above-considered NiTi/Si nanocantilever, the adsorbate mass of ε = 10−3 attached at h = 0.8L yields for σm (σa) = 300 (325) MPa a sensitivity S = 7.3 (7.5), whereas, for σm (σa) = 500 (525) MPa, the sensitivity is 8.6 (8.8), respectively.
For the second scenario, a uniform material layer formed by the adsorbate molecule on top of the nanocantilever surface causes a variation in both cantilever mass and stiffness. The adsorbate mass shifts the resonant frequencies to lower values, i.e., Δfadd/f = −m/(2M), where the “−” sign denotes a decrease of the resonant frequency, while its “effective spring (or force) constants” result in an increase of the resonant frequencies; Δfadd/f = k/(2K), where k and K are the “spring” constants of the adsorbate and nanocantilever [52,53]. The frequency shift due to adsorbate mass is then a combination of both effects and, in some cases, the adsorbate can cause either an increase of the resonant frequencies or no any detectible frequency shift [54]. For the conventional nanocantilever, its M and K are given, thus, it is does not, in principle, allow the determination of the adsorbate mass from the measured flexural resonant frequency shifts, i.e., the effect of added mass and stiffness cannot be decoupled. For NiTi nanocantilevers only its mass is given, while its K can be intentionally changed by slowly varying the temperature, enabling to decouple the effect of adsorbate mass and stiffness on the cantilever resonant frequencies. For illustration, we suppose the following simple example: two different resonant frequency shifts Δfadd_1 and Δfadd_2 caused by adsorbate mass are measured by NiTi nanocantilever of two known different values K1 and K2. For a uniform material layer formed on top of the cantilever, the frequency shift due to added m and k is Δfadd/f = k/(2K) − m/(2M). It immediately implies that for K1 and K2 the k due to adsorbate yields k = ( Δ f add _ 1 / f 1 ) ( Δ f add _ 2 / f 2 ) K 2 K 1 K 1 K 2 and, consequently, the desired adsorbate mass can be obtained as m = 2 M ( Δ f add _ 1 / f 1 ) K 1 ( Δ f add _ 2 / f 2 ) K 2 K 2 K 1 . Importantly, the theoretical model that explains the frequency response caused by the adsorbate molecule mass and its stiffness bound on an arbitrary location on the cantilever surface is given in [55]. Briefly, the effect of stiffness and mass can be decoupled by positioning the targeted molecule to places where each effect dominates, i.e., mass near the free end and stiffness near the cantilever clamped end. For molecules bound at arbitrary locations on the cantilever, the frequency shift can be calculated by the numerical method, e.g., Raleigh-Ritz [54,55], or analytically by following the approach given in [56] for natural frequencies of a string with an arbitrary number of piece-wise constant mechanical properties.

5. Conclusions

Nanocantilevers with significantly changeable Young’s modulus, variable static deflection, and tunable resonant frequencies utilizing a phase transformation of NiTi thin films sputtered on an elastic substrate, such as Si3N4, Si, or SiO2, were explored. The elastic properties of the sputtered NiTi film and the interlayer stress between the film and the substrate varying with temperature were linked to the martensitic phase transformation in the NiTi film. It was shown that the variation of temperature strongly affects the vibrational response of these nanocantilevers. Changes in cantilever static deflection are dominated by variations in the interlayer stress, while the variable elasticity of the NiTi film enables high-frequency tunability of even the cantilever at higher vibrational modes. In contrast to piezoelectric or electrostatic tuning mechanisms, the phase transformation of the NiTi film enables an extraordinarily high-frequency tuning of several tens of percent. It has been shown that errors in the resonant frequency determination caused by uncertainties in temperature can be significantly suppressed, for instance, by using the NiTi nanocantilevers of higher interlayer stress values. It was found that, for common temperature uncertainties, the error in the nanocantilever frequency setup is of the same magnitude (Δf ~ 100 Hz) as is known for the conventional nanocantilevers that utilize the piezoelectric and/or electrostatic effects. Additionally, an application potential for NiTi nanocantilevers in real-time mass spectrometry was demonstrated on two different examples. The results are expected to be of particular value in studies of biomolecule adsorption on nanomechanical sensors [7] including changes in surface elasticity and surface stress, or in future developments of high-frequency operating sensors and actuators with intentionally-changeable properties utilizing smart memory alloys.

Acknowledgments

This work was supported by the Grant Agency of Czech Republic through GACR 15-13174-J and the additional support from HIT, Shenzhen is also acknowledged.

Author Contributions

Ivo Stachiv proposed the topic, developed the model, carried out the systematic investigation and analysis, and wrote the manuscript. Petr Sittner contributed with the scientific advice related to NiTi and a final correction of the manuscript.

Conflicts of Interest

The authors declare no conflict of interest.

References

  1. Waggoner, P.S.; Craighead, H.G. Micro- and nanomechanical sensors for environmental, chemical, and biological detection. Lab Chip 2007, 7, 1238–1255. [Google Scholar] [CrossRef] [PubMed]
  2. Stachiv, I.; Fedorchenko, A.I.; Chen, Y.-L. Mass detection by means of the vibrating nanomechanical resonators. Appl. Phys. Lett. 2012, 100, 093110. [Google Scholar] [CrossRef]
  3. Arlett, J.L.; Maloney, J.R.; Gudlewski, B.; Muluneh, M.; Roukes, M.L. Self-Sensing Micro- and Nanocantilevers with Attonewton-Scale Force Resolution. Nano Lett. 2006, 6, 1000–1006. [Google Scholar] [CrossRef]
  4. Stachiv, I. On the nanoparticle or macromolecule mass detection in fluid utilizing vibrating micro-/nanoresonators including carbon nanotubes. Sens. Lett. 2013, 11, 613–616. [Google Scholar] [CrossRef]
  5. Fedorchenko, A.I.; Stachiv, I.; Wang, W.-C. Methods of viscosity measurement by means of vibrating micro-/nano-mechanical resonators. Flow Meas. Instrum. 2013, 32, 84–89. [Google Scholar] [CrossRef]
  6. Boisen, A.; Dohn, S.; Keller, S.S.; Schmid, S.; Tenje, M. Cantilever-like micromechanical sensors. Rep. Prog. Phys. 2011, 74, 036101. [Google Scholar] [CrossRef]
  7. Eom, K.; Park, H.S.; Yoon, D.S.; Kwon, T. Nanomechanical resonators and their applications in biological/chemical detection. Phys. Rep. 2011, 503, 115–163. [Google Scholar] [CrossRef]
  8. Kozinsky, I.; Postma, H.W.C.; Bargatin, I.; Roukes, M.L. Tuning nonlinearity, dynamic range, and frequency of nanomechanical resonators. Appl. Phys. Lett. 2006, 88, 253101. [Google Scholar] [CrossRef]
  9. Karabalin, R.B.; Villanueva, L.G.; Matheny, M.H.; Sader, J.E.; Roukes, M.L. Stress-Induced variations in stiffness of micro- and nanocantilever beams. Phys. Rev. Lett. 2012, 108, 236101. [Google Scholar] [CrossRef] [PubMed]
  10. Stachiv, I. Impact of surface and residual stresses and electro-/magnetostatic axial loading on the suspended nanomechanical based mass sensors: A theoretical study. J. Appl. Phys. 2014, 115, 214310. [Google Scholar] [CrossRef]
  11. Stachiv, I.; Fang, T.-H.; Jeng, Y.-R. Mass detection in viscous fluid utilizing vibrating micro- and nanomechanical mass sensors under applied axial tensile force. Sensors 2015, 15, 19351–19368. [Google Scholar] [CrossRef] [PubMed]
  12. Zhang, W.-M.; Hu, K.-M.; Meng, G. Tunable micro- and nanomechanical resonators. Sensors 2015, 15, 26478–26566. [Google Scholar] [CrossRef] [PubMed]
  13. Kafumbe, S.M.M.; Burdess, J.S.; Harris, A.J. Frequency adjustment of microelectromechanical cantilevers using electrostatic pull down. J. Micromech. Microeng. 2005, 15, 1033–1039. [Google Scholar] [CrossRef]
  14. Karabalin, R.B.; Matheny, M.H.; Feng, X.L.; Defaÿ, E.; Le Rhun, G.; Marcoux, C.; Hentz, S.; Andreucci, P.; Roukes, M.L. Piezoelectric nanoelectromechanical resonators based on aluminum nitride films. Appl. Phys. Lett. 2009, 95, 103111. [Google Scholar] [CrossRef]
  15. Lachut, M.J.; Sader, J.E. Effect of surface stress on the stiffness of cantilever plates: Influence of cantilever geometry. Phys. Rev. Lett. 2007, 99, 206102. [Google Scholar] [CrossRef] [PubMed]
  16. Stachiv, I.; Zapomel, J.; Chen, Y.-L. Simultaneous determination of the elastic modulus and density/thickness of ultrathin films utilizing micro-/nanoresonators under applied axial force. J. Appl. Phys. 2014, 115, 124304. [Google Scholar] [CrossRef]
  17. Stachiv, I.; Fang, T.-H.; Chen, T.-H. Micro-/nanosized cantilever beams and mass sensors under applied axial tensile/compressive force vibrating in vacuum and viscous fluid. AIP Adv. 2015, 5, 117140. [Google Scholar] [CrossRef]
  18. Pini, V.; Tamayo, J.; Gil-Santos, E.; Ramos, D.; Kosaka, P.; Tong, H.-D.; van Rijn, C.; Calleja, M. Shedding light on axial stress effect on resonance frequencies of nanocantilevers. ACS Nano 2011, 19, 4269–4275. [Google Scholar] [CrossRef] [PubMed]
  19. Massel, F.; Heikkila, T.T.; Pirkkalainen, J.M.; Cho, S.U.; Saloniemi, H.; Hakonen, P.J.; Sillanpaa, M.A. Microwave amplification with nanomechanical resonators. Nature 2011, 480, 351–354. [Google Scholar] [CrossRef] [PubMed]
  20. Duerig, T.W.; Melton, K.N.; Stockel, D.; Wayman, C.M. Engineering Aspects of Shape Memory Alloys; Butterworth-Heinemann: New York, NY, USA, 1990. [Google Scholar]
  21. Miyazaki, S.; Fu, Y.Q.; Huang, W.M. Thin Film Shape Memory Alloys: Fundamentals and Device Applications; Cambridge University Press: Cambridge, UK, 2009. [Google Scholar]
  22. Sedmak, P.; Pilch, J.; Heller, L.; Kopecek, J.; Wright, J.; Sedlak, P.; Frost, M.; Sittner, P. Grain-resolved analysis of localized deformation in nickel-titanium wire under tensile load. Science 2016, 353, 559–562. [Google Scholar] [CrossRef] [PubMed]
  23. Li, X.H.; Mao, S.C.; Zang, K.T.; Liu, Y.; Guo, Z.X.; Wang, S.B.; Zhang, Y.F.; Yin, X.Q. An in situ TEM study of the size effect on the thermally induced martensitic transformation in nanoscale NiTi shape memory alloy. J. Alloys Compd. 2014, 588, 337–342. [Google Scholar] [CrossRef]
  24. Daly, S.; Ravuchandran, G.; Bhattacharya, K. Stress-induced martensitic phase transformation in thin sheets of Nitinol. Acta Mater. 2007, 55, 3593–3600. [Google Scholar] [CrossRef]
  25. Duerig, T.; Pelton, A.; Stöckel, D. An overview of nitinol medical applications. Mat. Sci. Eng. A 1999, 273, 149–160. [Google Scholar] [CrossRef]
  26. Huang, W.; Toh, W. Training two-way shape memory allow by reheat treatment. Mat. Sci. Lett. 2000, 19, 1549–1550. [Google Scholar] [CrossRef]
  27. Juan, J.M.S.; No, M.L.; Schuh, C.A. Superelasticity and Shape Memory in Micro- and Nanometer-scale Pillars. Adv. Mater. 2008, 20, 272–278. [Google Scholar] [CrossRef]
  28. Kohl, M. Shape Memory Microactuators; Springer: Berlin/Heidelberg, Germany, 2004. [Google Scholar]
  29. Song, S.-H.; Lee, J.-Y.; Rodrigue, H.; Choi, I.-K.; Kang, Y.J.; Ahn, S.-H. 35 Hz shape memory alloy actuator with bending-twisting mode. Sci. Rep. 2016, 6, 21118. [Google Scholar] [CrossRef] [PubMed]
  30. Villanueva, A.; Joshi, K.; Blottman, J.; Priya, S. A bio-inspired shape memory alloy composite (BISMAC) actuator. Smart Mater. Struct. 2010, 19, 025013. [Google Scholar] [CrossRef]
  31. Sittner, P.; Heller, L.; Pilch, J.; Curfs, C.; Alonso, T.; Favier, D. Young’s modulus of austenite and martensite phases in superelastic NiTi wires. J. Mater. Eng. Perform. 2014, 23, 2303–2314. [Google Scholar] [CrossRef]
  32. Lee, H.-J.; Ramirez, A.G. Crystallization and phase transformations in amorphous NiTi films for microelectromechanical systems. Appl. Phys. Lett. 2004, 88, 1146. [Google Scholar] [CrossRef]
  33. Chluba, C.; Ge, W.; de Miranda, R.L.; Strobel, J.; Kienle, L.; Quandt, E.; Wutting, M. Ultralow-fatigue shape memory alloy films. Science 2015, 348, 1004–1007. [Google Scholar] [CrossRef] [PubMed]
  34. Heller, L.; Sittner, P.; Pilch, J. Impact of Heat Effects on Superelasticity. In International Conference on Martensitic Transformation (ICOMAT); Olson, G.B., Lieberman, D.S., Saxena, A., Eds.; John Wiley & Sons Inc.: Hoboken, NJ, USA, 2010. [Google Scholar] [CrossRef]
  35. Fu, Y.; Du, H.; Zhang, S. Sputtering deposited TiNi films: Relationship among processing, stress evolution and phase transformation behaviors. Surf. Coat. Technol. 2003, 167, 120–128. [Google Scholar] [CrossRef]
  36. Hou, H.; Hamilton, R.F.; Horn, M.-W.; Jin, Y. NiTi thin films prepared by biased target ion beam deposition co-sputtering from elemental Ni and Ti targets. Thin Solid Films 2014, 570, 1–6. [Google Scholar] [CrossRef]
  37. Stachiv, I.; Sittner, P.; Olejnicek, J.; Landa, M.; Heller, L. Exploiting NiTi shape memory alloy films in design of tunable high frequency microcantilever resonators. Appl. Phys. Lett. 2017, 111, 213105. [Google Scholar] [CrossRef]
  38. Villanueva, L.G.; Karabalin, R.B.; Matheny, M.H.; Chi, D.; Sader, J.E.; Roukes, M.L. Nonlinearity in nanomechanical cantilevers. Phys. Rev. B 2013, 87, 024304. [Google Scholar] [CrossRef]
  39. Sittner, P.; Vokoun, D.; Dayananda, G.N.; Stalmans, R. Recovery stress generation in shape memory Ti50Ni45Cu5 thin wires. Mater. Sci. Eng. A 2000, 286, 298–311. [Google Scholar] [CrossRef]
  40. Stachiv, I.; Kuo, C.-Y.; Fang, T.-H.; Mortet, V. Simultaneous determination of the residual stress, elastic modulus, density and thickness of ultrathin film utilizing vibrating doubly clamped micro-/nanobeams. AIP Adv. 2016, 6, 045005. [Google Scholar] [CrossRef]
  41. Ghidelli, M.; Sebastiani, M.; Collet, C.; Guillemet, R. Determination of the elastic moduli and residual stresses of freestanding Au-TiW bilayer thin films by nanoindentation. Mater. Des. 2016, 106, 436–445. [Google Scholar] [CrossRef]
  42. Stachiv, I.; Sittner, P.; Jeng, Y.-R.; Vokoun, D. Active frequency tuning of the cantilever nanoresonator utilizing a phase transformation of NiTi thin film. J. Vibroeng. 2017, 19, 5161–5169. [Google Scholar] [CrossRef]
  43. Jaccodine, R.J.; Schlegel, W.A. Measurement of strains at Si-SiO2 interface. J. Appl. Phys. 1966, 37, 2429. [Google Scholar] [CrossRef]
  44. Scharzer, N.; Richter, F. On the Determination of Film Stress from Substrate Bending: Stoney’s Formula and Its Limits. 2006, pp. 1–17. Available online: http://nbn-resolving.de/urn:nbn:de:swb:ch1-200600111 (accessed on 15 December 2017).
  45. Zapomel, J.; Stachiv, I.; Ferfecki, P. A novel method combining Monte-Carlo-FEM simulations and experiments for simultaneous evaluation of the ultrathin film mass density and Young’s modulus. Mech. Syst. Signal Process. 2016, 66–67, 223–231. [Google Scholar] [CrossRef]
  46. Sader, J.E. Frequency response of cantilever beams immersed in viscous fluids with applications to the atomic force microscopy. J. Appl. Phys. 1998, 84, 64–76. [Google Scholar] [CrossRef]
  47. Timoshenko, S.; Goodier, J.N. Theory of Elasticity, 2nd ed.; The Maple Press Comp.: New York, NY, USA, 1951. [Google Scholar]
  48. Fu, Y.Q.; Zhang, S.; Wu, M.J.; Huang, W.M.; Du, H.J.; Luo, J.K.; Flewitt, A.J.; Milne, W.I. On the lower thickness boundary of sputtered TiNi films for shape memory application. Thin Solid Films 2006, 515, 80–86. [Google Scholar] [CrossRef]
  49. Jensen, K.; Kwanpyo, K.; Zettl, A. An atomic-resolution nanomechanical mass sensor. Nat. Nanotechnol. 2008, 3, 533–537. [Google Scholar] [CrossRef] [PubMed]
  50. Berger, R.; Lang, H.P.; Gerber, C.; Gimzewski, K.; Meyer, E. Surface stress in the self-assembly of alkenethiols on gold. Science 1997, 276, 2021–2024. [Google Scholar] [CrossRef]
  51. Dohn, S.; Schmid, S.; Amiot, F.; Boisen, A. Position and mass determination of multiple particles using cantilever based mass sensors. Appl. Phys. Lett. 2010, 97, 044103. [Google Scholar] [CrossRef]
  52. Kwon, T.Y.; Eom, K.; Park, J.H.; Yoon, D.S.; Kim, T.S.; Lee, H.L. In situ real time monitoring of biomolecular interactions based on resonating microcantilevers immersed in a viscous fluid. Appl. Phys. Lett. 2007, 90, 223903. [Google Scholar] [CrossRef]
  53. Gupta, A.K.; Nair, P.R.; Akin, D.; Ladisch, M.R.; Broyles, S.; Alam, M.A.; Bashir, R. Anomalous resonance in a nanomechanical biosensor. Proc. Natl. Acad. Sci. USA 2006, 103, 13362–13367. [Google Scholar] [CrossRef] [PubMed]
  54. Tamayo, J.; Ramos, D.; Mertens, J.; Calleja, M. Effect of the adsorbate stiffness on the resonance response of microcantilever sensors. Appl. Phys. Lett. 2006, 89, 224104. [Google Scholar] [CrossRef]
  55. Ramos, D.; Tamayo, J.; Mertens, J.; Calleja, M. Origin of the response of nanomechanical resonators to bacteria adsorption. J. Appl. Phys. 2006, 100, 106105. [Google Scholar] [CrossRef]
  56. Fedorchenko, A.I.; Stachiv, I.; Wang, A.-B.; Wang, W.-C. Fundamental frequencies of mechanical systems with N-piecewise constant properties. J. Sound Vib. 2008, 317, 490–495. [Google Scholar] [CrossRef]
Figure 1. A schematic layout of NiTi/elastic substrate composite nanocantilever.
Figure 1. A schematic layout of NiTi/elastic substrate composite nanocantilever.
Nanomaterials 08 00116 g001
Figure 2. (a) Variation of the relative effective Young’s modulus of the cantilever, i.e., Eeff/Es, as a function of the temperature-dependent NiTi film Young’s modulus represented through the dimensionless modulus ratio ξ for different thickness ratios η; and (b) the cantilever effective Young’s modulus as a function of the NiTi thin film modulus for two different substrate materials, SiO2 and Si3N4.
Figure 2. (a) Variation of the relative effective Young’s modulus of the cantilever, i.e., Eeff/Es, as a function of the temperature-dependent NiTi film Young’s modulus represented through the dimensionless modulus ratio ξ for different thickness ratios η; and (b) the cantilever effective Young’s modulus as a function of the NiTi thin film modulus for two different substrate materials, SiO2 and Si3N4.
Nanomaterials 08 00116 g002
Figure 3. (a) Change in relative deflection z/zm as a function of the temperature dependent tensile interlayer stress for different thickness ratios η; (b) estimated static deflections of the cantilever made of Si3N4 of L = 6 μm, W = 900 nm and T1 = 250 nm for three different NiTi film thicknesses as a function of the temperature dependent interlayer stress calculated by Equation (1) and the 3D model.
Figure 3. (a) Change in relative deflection z/zm as a function of the temperature dependent tensile interlayer stress for different thickness ratios η; (b) estimated static deflections of the cantilever made of Si3N4 of L = 6 μm, W = 900 nm and T1 = 250 nm for three different NiTi film thicknesses as a function of the temperature dependent interlayer stress calculated by Equation (1) and the 3D model.
Nanomaterials 08 00116 g003
Figure 4. Relative frequency shift Δf/fm as function of (Eeff_0)0.5 calculated for: (a) σ = 0 and a NiTi/Si nanocantilever of different thickness ratios η = 0.33, 0.6, and 1; (b) σ = 0 and NiTi/Si, NiTi/SiO2, and NiTi/Si3N4 nanocantilevers of η = 1. Both results show independency of Δf/fm on the cantilever geometry and properties (as predicted by theory). The dependence of Δf/fm on (Eeff_0)0.5 by Equation (11) for the NiTi/Si nanocantilever of η = 0.33, 0.6, and 1, and (c) σ = 100 MPa, and (d) σ = 500 MPa. The dependence of Δf/fm on (Eeff_0)0.5 was calculated by Equation (11) for NiTi/Si, NiTi/SiO2, and NiTi/Si3N4 nanocantilevers of η = 1 and (e) σ = 100 MPa, and (f) σ = 500 MPa. Δf/fm as a function of (Eeff_0)0.5 for the NiTi/Si nanocantilever of L = 10 μm, W = 900 nm, and η = 0.33, 0.6, and 1 predicted by FEM and (g) σ = 100 MPa, and (h) σ = 500 MPa.
Figure 4. Relative frequency shift Δf/fm as function of (Eeff_0)0.5 calculated for: (a) σ = 0 and a NiTi/Si nanocantilever of different thickness ratios η = 0.33, 0.6, and 1; (b) σ = 0 and NiTi/Si, NiTi/SiO2, and NiTi/Si3N4 nanocantilevers of η = 1. Both results show independency of Δf/fm on the cantilever geometry and properties (as predicted by theory). The dependence of Δf/fm on (Eeff_0)0.5 by Equation (11) for the NiTi/Si nanocantilever of η = 0.33, 0.6, and 1, and (c) σ = 100 MPa, and (d) σ = 500 MPa. The dependence of Δf/fm on (Eeff_0)0.5 was calculated by Equation (11) for NiTi/Si, NiTi/SiO2, and NiTi/Si3N4 nanocantilevers of η = 1 and (e) σ = 100 MPa, and (f) σ = 500 MPa. Δf/fm as a function of (Eeff_0)0.5 for the NiTi/Si nanocantilever of L = 10 μm, W = 900 nm, and η = 0.33, 0.6, and 1 predicted by FEM and (g) σ = 100 MPa, and (h) σ = 500 MPa.
Nanomaterials 08 00116 g004
Figure 5. Relative frequency shift Δf/fm as function of (Eeff_0)0.5 calculated by Equation (11) for NiTi/Si nanocantilevers of η = 0.33, 0.6, and 1, and length (a) L = 10 μm and (b) L = 6 μm. The dependency of Δf/fm on (Eeff_0)0.5 for NiTi/Si, NiTi/SiO2, and NiTi/Si3N4 nanocantilevers of η = 1 and (c) L = 10 μm and (d) L = 6 μm. The dependency of Δf/fm on (Eeff_0)0.5 obtained by the analytical model and FEM for NiTi/Si nanocantilevers of W = 900 nm, L = 10 μm and (e) η = 0.6 and (f) η = 1.
Figure 5. Relative frequency shift Δf/fm as function of (Eeff_0)0.5 calculated by Equation (11) for NiTi/Si nanocantilevers of η = 0.33, 0.6, and 1, and length (a) L = 10 μm and (b) L = 6 μm. The dependency of Δf/fm on (Eeff_0)0.5 for NiTi/Si, NiTi/SiO2, and NiTi/Si3N4 nanocantilevers of η = 1 and (c) L = 10 μm and (d) L = 6 μm. The dependency of Δf/fm on (Eeff_0)0.5 obtained by the analytical model and FEM for NiTi/Si nanocantilevers of W = 900 nm, L = 10 μm and (e) η = 0.6 and (f) η = 1.
Nanomaterials 08 00116 g005
Figure 6. Absolute frequency shift Δf as function of (Eeff_0)0.5 calculated for NiTi/Si nanocantilever of η = 0.33, 0.6, and 1, and length (a) L = 10 μm and (b) L = 6 μm. Dependency of Δf on (Eeff_0)0.5 for NiTi/Si, NiTi/SiO2, and NiTi/Si3N4 nanocantilevers of η = 1 and (c) L = 10 μm and (d) L = 6 μm; σ0 = 1 to 5. Comparisons of Δf on (Eeff_0)0.5 predicted by present analytical model and FEM for NiTi/Si nanocantilevers of W = 900 nm, L = 10 μm, and (e) η = 0.6 and (f) η = 1.
Figure 6. Absolute frequency shift Δf as function of (Eeff_0)0.5 calculated for NiTi/Si nanocantilever of η = 0.33, 0.6, and 1, and length (a) L = 10 μm and (b) L = 6 μm. Dependency of Δf on (Eeff_0)0.5 for NiTi/Si, NiTi/SiO2, and NiTi/Si3N4 nanocantilevers of η = 1 and (c) L = 10 μm and (d) L = 6 μm; σ0 = 1 to 5. Comparisons of Δf on (Eeff_0)0.5 predicted by present analytical model and FEM for NiTi/Si nanocantilevers of W = 900 nm, L = 10 μm, and (e) η = 0.6 and (f) η = 1.
Nanomaterials 08 00116 g006
Figure 7. (a) Relative frequency shift Δf/fm and (b) absolute frequency shift Δf as function of b0 for different moderate variations in the interlayer stress predicted for NiTi/Si nanocantilever of L = 10 μm, η = 0.33, and 1, and σm = 100 MPa; (c) dependency of the relative error in the interlayer internal stress Δσ/σmax on uncertainties in temperature ΔT for different NiTi transformation temperature ranges Tmax; dependency of error in the relative frequency shift ΔfT/f of the NiTi/Si nanocantilever on ΔT for different Tmax for (d) L = 10 and 6 μm, σ = 100 MPa, and σmax = 100 MPa, and (e) L = 10 μm, σ = 100, and 125 MPa, and σmax = 25 MPa; (f) dependency of error in ΔfT of the NiTi/Si nanocantilever of L = 10 μm, σ = 100, and 125 MPa, and σmax = 25 MPa on ΔT for different Tmax; for all cases σm = 100 MPa.
Figure 7. (a) Relative frequency shift Δf/fm and (b) absolute frequency shift Δf as function of b0 for different moderate variations in the interlayer stress predicted for NiTi/Si nanocantilever of L = 10 μm, η = 0.33, and 1, and σm = 100 MPa; (c) dependency of the relative error in the interlayer internal stress Δσ/σmax on uncertainties in temperature ΔT for different NiTi transformation temperature ranges Tmax; dependency of error in the relative frequency shift ΔfT/f of the NiTi/Si nanocantilever on ΔT for different Tmax for (d) L = 10 and 6 μm, σ = 100 MPa, and σmax = 100 MPa, and (e) L = 10 μm, σ = 100, and 125 MPa, and σmax = 25 MPa; (f) dependency of error in ΔfT of the NiTi/Si nanocantilever of L = 10 μm, σ = 100, and 125 MPa, and σmax = 25 MPa on ΔT for different Tmax; for all cases σm = 100 MPa.
Nanomaterials 08 00116 g007

Share and Cite

MDPI and ACS Style

Stachiv, I.; Sittner, P. Nanocantilevers with Adjustable Static Deflection and Significantly Tunable Spectrum Resonant Frequencies for Applications in Nanomechanical Mass Sensors. Nanomaterials 2018, 8, 116. https://doi.org/10.3390/nano8020116

AMA Style

Stachiv I, Sittner P. Nanocantilevers with Adjustable Static Deflection and Significantly Tunable Spectrum Resonant Frequencies for Applications in Nanomechanical Mass Sensors. Nanomaterials. 2018; 8(2):116. https://doi.org/10.3390/nano8020116

Chicago/Turabian Style

Stachiv, Ivo, and Petr Sittner. 2018. "Nanocantilevers with Adjustable Static Deflection and Significantly Tunable Spectrum Resonant Frequencies for Applications in Nanomechanical Mass Sensors" Nanomaterials 8, no. 2: 116. https://doi.org/10.3390/nano8020116

APA Style

Stachiv, I., & Sittner, P. (2018). Nanocantilevers with Adjustable Static Deflection and Significantly Tunable Spectrum Resonant Frequencies for Applications in Nanomechanical Mass Sensors. Nanomaterials, 8(2), 116. https://doi.org/10.3390/nano8020116

Note that from the first issue of 2016, this journal uses article numbers instead of page numbers. See further details here.

Article Metrics

Back to TopTop