Aqueous Cymbopogon citratus Extract Mediated Silver Nanoparticles: Part I. Influence of Synthesis Parameters, Characterization, and Biomedical Studies
Abstract
1. Introduction
2. Materials and Methods
2.1. Materials
2.1.1. Chemicals Used
2.1.2. Plant Collection
2.2. Synthesis of AgNPs
2.2.1. Extract Preparation
2.2.2. Synthesis
2.2.3. Influence of Synthesis Parameters
2.3. Characterization of AgNPs
2.4. Biomedical Studies
2.4.1. AgNPs Stock Solution
2.4.2. Antibacterial Studies—Agar Well Diffusion Assay
2.4.3. Anti-Inflammatory Studies
2.4.4. Antidiabetic Studies
α-Glucosidase Assay
α-Amylase Assay
2.4.5. Antioxidative Studies
DPPH Assay
ABTS Assay
TRP Assay
2.5. Toxicity Studies
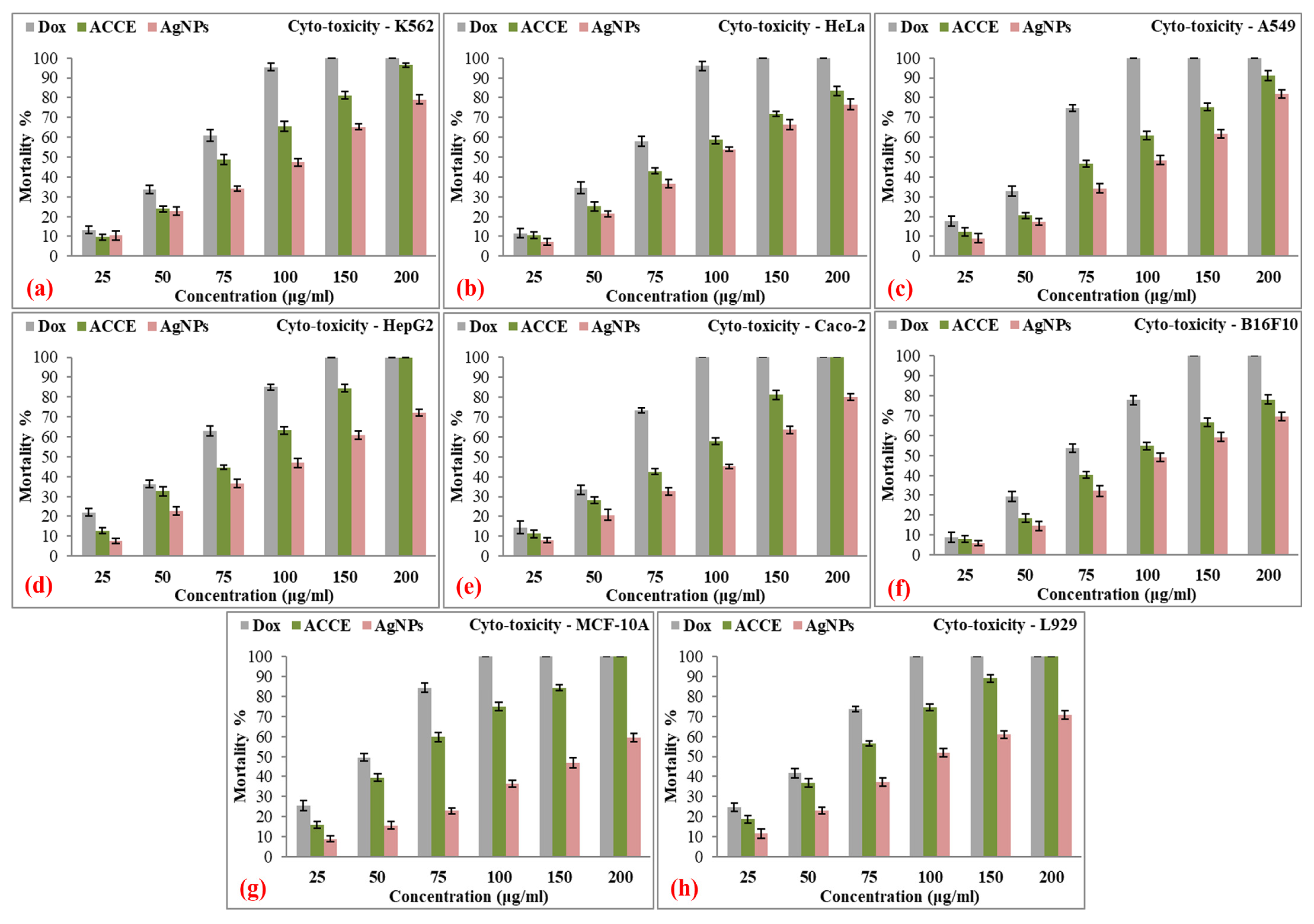
2.5.1. Cyto-Toxicity Assay
2.5.2. Eco-Toxicity Assay
2.6. Statistical Analysis
3. Results and Discussion
3.1. Synthesis of AgNPs
3.2. Influence of Synthesis Parameters
3.2.1. Influence of Metal Precursor Concentration
3.2.2. Influence of Extract Concentration
3.2.3. Influence of Reaction Temperature
3.2.4. Influence of Reaction pH
3.2.5. Influence of Reaction Time
3.3. Characterization of AgNPs
3.3.1. Optical Analysis
3.3.2. Particle Size Distribution
3.3.3. Surface Charge
3.3.4. Crystallinity
3.3.5. Morphological Analysis
FE-SEM Analysis
TEM Analysis
3.3.6. Elemental Analysis
3.4. Biomedical Studies
3.4.1. Antibacterial Studies
3.4.2. Anti-Inflammatory Studies
3.4.3. Antidiabetic Studies
α-Glucosidase Assay
α-Amylase Assay
3.4.4. Antioxidative Studies
DPPH Assay
ABTS Assay
TRP Assay
3.5. Toxicity Studies
3.5.1. Cyto-Toxicity Assay
3.5.2. Eco-Toxicity Assay
4. Conclusions
Supplementary Materials
Author Contributions
Funding
Data Availability Statement
Acknowledgments
Conflicts of Interest
List of Abbreviations
References
- Chandhru, M.; Logesh, R.; Kutti Rani, S.; Ahmed, N.; Vasimalai, N. Green Synthesis of Silver Nanoparticles from Plant Latex and Their Antibacterial and Photocatalytic Studies. Environ. Technol. 2022, 43, 3064–3074. [Google Scholar] [CrossRef] [PubMed]
- Nga, N.T.A.; Raghavendra, V.B.; Sindhu, R.; Alshiekheid, M.; Sabour, A.; Krishnan, R.; Lan Chi, N.T.; Pugazhendhi, A. Green Fabrication of Silver Nanoparticles Using Chloroxylon Swietenia Leaves and Their Application towards Dye Degradation and Food Borne Pathogens. Food Chem. Toxicol. 2022, 165, 113192. [Google Scholar] [CrossRef]
- Vidyasagar; Patel, R.R.; Singh, S.K.; Singh, M. Green Synthesis of Silver Nanoparticles: Methods, Biological Applications, Delivery and Toxicity. Mater. Adv. 2023, 4, 1831–1849. [Google Scholar] [CrossRef]
- Naysmith, A.; Mian, N.S.; Rana, S. Development of Conductive Textile Fabric Using Plackett–Burman Optimized Green Synthesized Silver Nanoparticles and in Situ Polymerized Polypyrrole. Green Chem. Lett. Rev. 2023, 16, 2158690. [Google Scholar] [CrossRef]
- Jabbar, A.; Abbas, A.; Assad, N.; Naeem-ul-Hassan, M.; Alhazmi, H.A.; Najmi, A.; Zoghebi, K.; Al Bratty, M.; Hanbashi, A.; Amin, H.M.A. A Highly Selective Hg2+ Colorimetric Sensor and Antimicrobial Agent Based on Green Synthesized Silver Nanoparticles Using Equisetum diffusum Extract. RSC Adv. 2023, 13, 28666–28675. [Google Scholar] [CrossRef]
- Abed, A.S.; Khalaf, Y.H.; Mohammed, A.M. Green Synthesis of Gold Nanoparticles as an Effective Opportunity for Cancer Treatment. Results Chem. 2023, 5, 100848. [Google Scholar] [CrossRef]
- MuthuKathija, M.; Sheik Muhideen Badhusha, M.; Rama, V. Green Synthesis of Zinc Oxide Nanoparticles Using Pisonia alba Leaf Extract and Its Antibacterial Activity. Appl. Surf. Sci. Adv. 2023, 15, 100400. [Google Scholar] [CrossRef]
- Alahdal, F.A.M.; Qashqoosh, M.T.A.; Manea, Y.K.; Mohammed, R.K.A.; Naqvi, S. Green Synthesis and Characterization of Copper Nanoparticles Using Phragmanthera austroarabica Extract and Their Biological/Environmental Applications. Sustain. Mater. Technol. 2023, 35, e00540. [Google Scholar] [CrossRef]
- Alex Mbachu, C.; Kamoru Babayemi, A.; Chinedu Egbosiuba, T.; Ifeanyichukwu Ike, J.; Jacinta Ani, I.; Mustapha, S. Green Synthesis of Iron Oxide Nanoparticles by Taguchi Design of Experiment Method for Effective Adsorption of Methylene Blue and Methyl Orange from Textile Wastewater. Results Eng. 2023, 19, 101198. [Google Scholar] [CrossRef]
- Naveenkumar, S.; Kamaraj, C.; Prem, P.; Raja, R.K.; Priyadharsan, A.; Alrefaei, A.F.; Govindarajan, R.K.; Thamarai, R.; Subramaniyan, V. Eco-Friendly Synthesis of Palladium Nanoparticles using Zaleya decandra: Assessing Mosquito Larvicidal Activity, Zebrafish Embryo Developmental Toxicity, and Impacts on Freshwater Sludge Worm Tubifex tubifex. J. Environ. Chem. Eng. 2024, 12, 111912. [Google Scholar] [CrossRef]
- Md Ishak, N.A.I.; Kamarudin, S.K.; Timmiati, S.N.; Mohd Sauid, S.; Karim, N.A.; Basri, S. Green Synthesis of Platinum Nanoparticles as a Robust Electrocatalyst for Methanol Oxidation Reaction: Metabolite Profiling and Antioxidant Evaluation. J. Clean. Prod. 2023, 382, 135111. [Google Scholar] [CrossRef]
- Chelliah, P.; Wabaidur, S.M.; Sharma, H.P.; Jweeg, M.J.; Majdi, H.S.; Kubaisy, M.M.R.A.; Iqbal, A.; Lai, W.-C. Green Synthesis and Characterizations of Cobalt Oxide Nanoparticles and Their Coherent Photocatalytic and Antibacterial Investigations. Water 2023, 15, 910. [Google Scholar] [CrossRef]
- Meera, K.; Ramesan, M.T. Tailoring the Performance of Boehmite Nanoparticles Reinforced Carboxymethyl Chitosan/Cashew Gum Blend Nanocomposites via Green Synthesis. Polymers 2023, 268, 125706. [Google Scholar] [CrossRef]
- Alzubaidi, A.K.; Al-Kaabi, W.J.; Ali, A.A.; Albukhaty, S.; Al-Karagoly, H.; Sulaiman, G.M.; Asiri, M.; Khane, Y. Green Synthesis and Characterization of Silver Nanoparticles Using Flaxseed Extract and Evaluation of Their Antibacterial and Antioxidant Activities. Appl. Sci. 2023, 13, 2182. [Google Scholar] [CrossRef]
- Mihailović, V.; Srećković, N.; Nedić, Z.P.; Dimitrijević, S.; Matić, M.; Obradović, A.; Selaković, D.; Rosić, G.; Katanić Stanković, J.S. Green Synthesis of Silver Nanoparticles Using Salvia verticillata and Filipendula ulmaria Extracts: Optimization of Synthesis, Biological Activities, and Catalytic Properties. Molecules 2023, 28, 808. [Google Scholar] [CrossRef]
- Aravind, M.; Ahmad, A.; Ahmad, I.; Amalanathan, M.; Naseem, K.; Mary, S.M.M.; Parvathiraja, C.; Hussain, S.; Algarni, T.S.; Pervaiz, M.; et al. Critical Green Routing Synthesis of Silver NPs Using Jasmine Flower Extract for Biological Activities and Photocatalytical Degradation of Methylene Blue. J. Environ. Chem. Eng. 2021, 9, 104877. [Google Scholar] [CrossRef]
- Ibrahim, N.; Zubir, S.A.; Manaf, A.A.; Mustapha, M. Stability and Conductivity of Water-Based Colloidal Silver Nanoparticles Conductive Inks for Sustainable Printed Electronics. J. Taiwan Inst. Chem. Eng. 2023, 153, 105202. [Google Scholar] [CrossRef]
- Meydan, I.; Aygun, A.; Tiri, R.N.E.; Gur, T.; Kocak, Y.; Seckin, H.; Sen, F. Chitosan/PVA-Supported Silver Nanoparticles for Azo Dyes Removal: Fabrication, Characterization, and Assessment of Antioxidant Activity. Environ. Sci. Adv. 2024, 3, 28–35. [Google Scholar] [CrossRef]
- Nguyen, N.P.U.; Dang, N.T.; Doan, L.; Nguyen, T.T.H. Synthesis of Silver Nanoparticles: From Conventional to ‘Modern’ Methods—A Review. Processes 2023, 11, 2617. [Google Scholar] [CrossRef]
- Ajayi, E.; Afolayan, A. Green Synthesis, Characterization and Biological Activities of Silver Nanoparticles from Alkalinized Cymbopogon citratus Stapf. Adv. Nat. Sci. Nanosci. Nanotechnol. 2017, 8, 015017. [Google Scholar] [CrossRef]
- Chen, Z.; Ye, X.; Qingkui, G.; Wenliang, Q.; Wen, Z.; Ning, W.; Min, Z. Anticancer Activity of Green Synthesised AgNPs from Cymbopogon citratus (LG) against Lung Carcinoma Cell Line A549. IET Nanobiotechnol. 2019, 13, 178–182. [Google Scholar] [CrossRef] [PubMed]
- Rakib-Uz-Zaman, S.M.; Hoque Apu, E.; Muntasir, M.N.; Mowna, S.A.; Khanom, M.G.; Jahan, S.S.; Akter, N.; Khan, M.A.R.; Shuborna, N.S.; Shams, S.M.; et al. Biosynthesis of Silver Nanoparticles from Cymbopogon citratus Leaf Extract and Evaluation of Their Antimicrobial Properties. Challenges 2022, 13, 18. [Google Scholar] [CrossRef]
- Cherian, T.; Ali, K.; Saquib, Q.; Faisal, M.; Wahab, R.; Musarrat, J. Cymbopogon citratus Functionalized Green Synthesis of CuO-Nanoparticles: Novel Prospects as Antibacterial and Antibiofilm Agents. Biomolecules 2020, 10, 169. [Google Scholar] [CrossRef] [PubMed]
- Patiño-Ruiz, D.; Sánchez-Botero, L.; Tejeda-Benitez, L.; Hinestroza, J.; Herrera, A. Green Synthesis of Iron Oxide Nanoparticles Using Cymbopogon citratus Extract and Sodium Carbonate Salt: Nanotoxicological Considerations for Potential Environmental Applications. Environ. Nanotechnol. Monit. Manag. 2020, 14, 100377. [Google Scholar] [CrossRef]
- Placha, D.; Jampilek, J. Chronic Inflammatory Diseases, Anti-Inflammatory Agents and Their Delivery Nanosystems. Pharmaceutics 2021, 13, 64. [Google Scholar] [CrossRef]
- Ren, Y.; Zhang, Y.; Li, X. Application of AgNPs in Biomedicine: An Overview and Current Trends. Nanotechnol. Rev. 2024, 13, 20240030. [Google Scholar] [CrossRef]
- Hou, T.; Guo, Y.; Han, W.; Zhou, Y.; Netala, V.R.; Li, H.; Li, H.; Zhang, Z. Exploring the Biomedical Applications of Biosynthesized Silver Nanoparticles Using Perilla Frutescens Flavonoid Extract: Antibacterial, Antioxidant, and Cell Toxicity Properties against Colon Cancer Cells. Molecules 2023, 28, 6431. [Google Scholar] [CrossRef]
- Samrot, A.V.; Ram Singh, S.P.; Deenadhayalan, R.; Rajesh, V.V.; Padmanaban, S.; Radhakrishnan, K. Nanoparticles, a Double-Edged Sword with Oxidant as Well as Antioxidant Properties—A Review. Oxygen 2022, 2, 591–604. [Google Scholar] [CrossRef]
- Rajput, S.; Kumar, D.; Agrawal, V. Green Synthesis of Silver Nanoparticles Using Indian Belladonna Extract and Their Potential Antioxidant, Anti-Inflammatory, Anticancer and Larvicidal Activities. Plant Cell Rep. 2020, 39, 921–939. [Google Scholar] [CrossRef]
- Vijayakumar, S.; Divya, M.; Vaseeharan, B.; Chen, J.; Biruntha, M.; Silva, L.P.; Durán-Lara, E.F.; Shreema, K.; Ranjan, S.; Dasgupta, N. Biological Compound Capping of Silver Nanoparticle with the Seed Extracts of Blackcumin (Nigella sativa): A Potential Antibacterial, Antidiabetic, Anti-Inflammatory, and Antioxidant. J. Inorg. Organomet. Polym. Mater. 2021, 31, 624–635. [Google Scholar] [CrossRef]
- Arsene, M.M.J.; Davares, A.K.L.; Goriainov, S.; Viktorovna, P.I.; Parfait, K.; Andreevna, S.L.; Vyacheslavovna, Y.N.; Aleksandrovna, V.E.; Zdislavovna, E.I.; Sulikoevich, K.Z.; et al. Synthesis of Green-Engineered Silver Nanoparticles Using Cymbopogon citratus (Lemongrass) and Its Antibacterial Activity against Clinical Pseudomonas aeruginosa. Int. J. One Health 2024, 10, 100–113. [Google Scholar] [CrossRef]
- Santhana Lakshmi, V.; Ranjani, S.; Hemalatha, S. Anti-Bacterial Activity of Cymbopogon citratus Nanoparticles against Vibrio Species Infecting Aquatic Organisms. Aquat. Toxicol. 2023, 260, 106583. [Google Scholar] [CrossRef] [PubMed]
- Govindarajan, D.K.; Selvaraj, V.; Selvaraj, A.S.J.M.; Shahul Hameed, S.; Pandiarajan, J.; Veluswamy, A. Green Synthesis of Silver Micro- and Nano-Particles Using Phytochemical Extracts of Cymbopogon citratus Exhibits Antibacterial Properties. Mater. Today Proc. 2023, 76, 103–108. [Google Scholar] [CrossRef]
- Al-Otibi, F.; Albulayhid, L.S.; Alharbi, R.I.; Almohsen, A.A.; AlShowiman, G.M. Biological Activity of Biosynthesized Silver Nanoaggregates Prepared from the Aqueous Extract of Cymbopogon citratus against Candida spp. Nanomaterials 2023, 13, 2198. [Google Scholar] [CrossRef]
- Riyanto; Mulwandari, M.; Asysyafiiyah, L.; Sirajuddin, M.I.; Cahyandaru, N. Direct Synthesis of Lemongrass (Cymbopogon citratus L.) Essential Oil-Silver Nanoparticles (EO-AgNPs) as Biopesticides and Application for Lichen Inhibition on Stones. Heliyon 2022, 8, e09701. [Google Scholar] [CrossRef]
- Basera, P.; Lavania, M.; Agnihotri, A.; Lal, B. Analytical Investigation of Cymbopogon citratus and Exploiting the Potential of Developed Silver Nanoparticle Against the Dominating Species of Pathogenic Bacteria. Front. Microbiol. 2019, 10, 410952. [Google Scholar] [CrossRef]
- Masurkar, S.A.; Chaudhari, P.R.; Shidore, V.B.; Kamble, S.P. Rapid Biosynthesis of Silver Nanoparticles Using Cymbopogan citratus (Lemongrass) and Its Antimicrobial Activity. Nano-Micro Lett. 2011, 3, 189–194. [Google Scholar] [CrossRef]
- Velidandi, A.; Sarvepalli, M.; Aramanda, P.; Amudala, M.L.; Baadhe, R.R. Effect of Size on Physicochemical, Antibacterial, and Catalytic Properties of Neolamarckia cadamba (Burflower-Tree) Synthesized Silver/Silver Chloride Nanoparticles. Environ. Sci. Pollut. Res. 2023, 30, 63231–63249. [Google Scholar] [CrossRef]
- Velidandi, A.; Sarvepalli, M.; Gandam, P.K.; Prashanth Pabbathi, N.P.; Baadhe, R.R. Characterization, Catalytic, and Recyclability Studies of Nano-Sized Spherical Palladium Particles Synthesized Using Aqueous Poly-Extract (Turmeric, Neem, and Tulasi). Environ. Res. 2023, 228, 115821. [Google Scholar] [CrossRef]
- Velidandi, A.; Pabbathi, N.P.P.; Dahariya, S.; Kagithoju, S.; Baadhe, R.R. Bio-Fabrication of Silver-Silver Chloride Nanoparticles Using Annona Muricata Leaf Extract: Characterization, Biological, Dye Degradation and Eco-Toxicity Studies. Int. J. Environ. Sci. Technol. 2022, 19, 6555–6572. [Google Scholar] [CrossRef]
- Velidandi, A.; Pabbathi, N.P.P.; Dahariya, S.; Baadhe, R.R. Catalytic and Eco-Toxicity Investigations of Bio-Fabricated Monometallic Nanoparticles along with Their Anti-Bacterial, Anti-Inflammatory, Anti-Diabetic, Anti-Oxidative and Anti-Cancer Potentials. Colloid Interface Sci. Commun. 2020, 38, 100302. [Google Scholar] [CrossRef]
- Sarvepalli, M.; Velidandi, A.; Korrapati, N. Chemical vs. Biological Silver Nanoparticles: Synthesis, Characterization, Properties, and in Vitro Applications. Inorg. Chem. Commun. 2024, 167, 112667. [Google Scholar] [CrossRef]
- Riss, T.L.; Moravec, R.A.; Niles, A.L.; Duellman, S.; Benink, H.A.; Worzella, T.J.; Minor, L. Cell Viability Assays. In The Assay Guidance Manual; Eli Lily & Company: Indianapolis, IN, USA; National Center for Advancing Translational Sciences: Bethesda, MD, USA, 2004; pp. 1–25. [Google Scholar]
- Vankdoth, S.; Velidandi, A.; Sarvepalli, M.; Vangalapati, M. Role of Plant (Tulasi, Neem and Turmeric) Extracts in Defining the Morphological, Toxicity and Catalytic Properties of Silver Nanoparticles. Inorg. Chem. Commun. 2022, 140, 109476. [Google Scholar] [CrossRef]
- Basalius, H.; Mani, A.; Michael, A.; Mary, S.M.; Lenin, M.; Chelliah, P.; Siddiqui, M.R.; Wabaidur, S.M.; Islam, M.A. Green Synthesis of Nano-Silver Using Syzygium samarangense Flower Extract for Multifaceted Applications in Biomedical and Photocatalytic Degradation of Methylene Blue. Appl. Nanosci. 2023, 13, 3735–3747. [Google Scholar] [CrossRef]
- Kaur, N.; Singh, A.; Ahmad, W. Microwave Assisted Green Synthesis of Silver Nanoparticles and Its Application: A Review. J. Inorg. Organomet. Polym. Mater. 2023, 33, 663–672. [Google Scholar] [CrossRef]
- Rizki, I.N.; Klaypradit, W. Patmawati Utilization of Marine Organisms for the Green Synthesis of Silver and Gold Nanoparticles and Their Applications: A Review. Sustain. Chem. Pharm. 2023, 31, 100888. [Google Scholar] [CrossRef]
- Wasilewska, A.; Klekotka, U.; Zambrzycka, M.; Zambrowski, G.; Święcicka, I.; Kalska-Szostko, B. Physico-Chemical Properties and Antimicrobial Activity of Silver Nanoparticles Fabricated by Green Synthesis. Food Chem. 2023, 400, 133960. [Google Scholar] [CrossRef]
- Mehdi Zabihi, M.; Eghbaliferiz, S.; Khorashadizadeh, M.; Mortazavi-Derazkola, S.; Yousefi, M. Green Synthesis of Non-Toxic Silver Nanoparticles Using Salvia tebesana Bunge Extract: Optimization, Cytotoxicity, and Antibacterial Activities. Results Chem. 2024, 7, 101510. [Google Scholar] [CrossRef]
- Pungle, R.; Nile, S.H.; Makwana, N.; Singh, R.; Singh, R.P.; Kharat, A.S. Green Synthesis of Silver Nanoparticles Using the Tridax Procumbens Plant Extract and Screening of Its Antimicrobial and Anticancer Activities. Oxid. Med. Cell. Longev. 2022, 2022, 9671594. [Google Scholar] [CrossRef]
- Oves, M.; Ahmar Rauf, M.; Aslam, M.; Qari, H.A.; Sonbol, H.; Ahmad, I.; Sarwar Zaman, G.; Saeed, M. Green Synthesis of Silver Nanoparticles by Conocarpus lancifolius Plant Extract and Their Antimicrobial and Anticancer Activities. Saudi J. Biol. Sci. 2022, 29, 460–471. [Google Scholar] [CrossRef]
- Zare-Bidaki, M.; Aramjoo, H.; Mizwari, Z.M.; Mohammadparast-Tabas, P.; Javanshir, R.; Mortazavi-Derazkola, S. Cytotoxicity, Antifungal, Antioxidant, Antibacterial and Photodegradation Potential of Silver Nanoparticles Mediated via Medicago sativa Extract. Arab. J. Chem. 2022, 15, 103842. [Google Scholar] [CrossRef]
- Saied, E.; Hashem, A.H.; Ali, O.M.; Selim, S.; Almuhayawi, M.S.; Elbahnasawy, M.A. Photocatalytic and Antimicrobial Activities of Biosynthesized Silver Nanoparticles Using Cytobacillus firmus. Life 2022, 12, 1331. [Google Scholar] [CrossRef] [PubMed]
- Dashora, A.; Rathore, K.; Raj, S.; Sharma, K. Synthesis of Silver Nanoparticles Employing Polyalthia longifolia Leaf Extract and Their in Vitro Antifungal Activity against Phytopathogen. Biochem. Biophys. Rep. 2022, 31, 101320. [Google Scholar] [CrossRef] [PubMed]
- Khan, S.; Singh, S.; Gaikwad, S.; Nawani, N.; Junnarkar, M.; Pawar, S.V. Optimization of Process Parameters for the Synthesis of Silver Nanoparticles from Piper Betle Leaf Aqueous Extract, and Evaluation of Their Antiphytofungal Activity. Environ. Sci. Pollut. Res. 2020, 27, 27221–27233. [Google Scholar] [CrossRef] [PubMed]
- Liaqat, N.; Jahan, N.; Rahman, K.-u.; Anwar, T.; Qureshi, H. Green Synthesized Silver Nanoparticles: Optimization, Characterization, Antimicrobial Activity, and Cytotoxicity Study by Hemolysis Assay. Front. Chem. 2022, 10, 952006. [Google Scholar] [CrossRef] [PubMed]
- Ansari, M.; Ahmed, S.; Abbasi, A.; Khan, M.T.; Subhan, M.; Bukhari, N.A.; Hatamleh, A.A.; Abdelsalam, N.R. Plant Mediated Fabrication of Silver Nanoparticles, Process Optimization, and Impact on Tomato Plant. Sci. Rep. 2023, 13, 18048. [Google Scholar] [CrossRef] [PubMed]
- Nasar, M.Q.; Shah, M.; Khalil, A.T.; Kakar, M.Q.; Ayaz, M.; Dablool, A.S.; Shinwari, Z.K. Ephedra Intermedia Mediated Synthesis of Biogenic Silver Nanoparticles and Their Antimicrobial, Cytotoxic and Hemocompatability Evaluations. Inorg. Chem. Commun. 2022, 137, 109252. [Google Scholar] [CrossRef]
- Younas, M.; Rasool, M.H.; Khurshid, M.; Khan, A.; Nawaz, M.Z.; Ahmad, I.; Lakhan, M.N. Moringa oleifera Leaf Extract Mediated Green Synthesis of Silver Nanoparticles and Their Antibacterial Effect against Selected Gram-Negative Strains. Biochem. Syst. Ecol. 2023, 107, 104605. [Google Scholar] [CrossRef]
- Anis, S.N.S.; Liew, W.C.; Mohd Marsin, A.; Muhamad, I.I.; Teh, S.H.; Md Khudzari, A.Z. Microwave-Assisted Green Synthesis of Silver Nanoparticles Using Pineapple Leaves Waste. Clean. Eng. Technol. 2023, 15, 100660. [Google Scholar] [CrossRef]
- Gonfa, Y.H.; Gelagle, A.A.; Hailegnaw, B.; Kabeto, S.A.; Workeneh, G.A.; Tessema, F.B.; Tadesse, M.G.; Wabaidur, S.M.; Dahlous, K.A.; Abou Fayssal, S.; et al. Optimization, Characterization, and Biological Applications of Silver Nanoparticles Synthesized Using Essential Oil of Aerial Part of Laggera tomentosa. Sustainability 2023, 15, 797. [Google Scholar] [CrossRef]
- Bonnia, N.N.; Rani, M.A.A.; Fairuzi, A.A. Study on Parameters Optimization of Silver Nanoparticles Biosynthesized Using Aqueous Extract of Imperata cylindrica. Desalin. Water Treat. 2020, 174, 186–195. [Google Scholar] [CrossRef]
- Khane, Y.; Benouis, K.; Albukhaty, S.; Sulaiman, G.M.; Abomughaid, M.M.; Al Ali, A.; Aouf, D.; Fenniche, F.; Khane, S.; Chaibi, W.; et al. Green Synthesis of Silver Nanoparticles Using Aqueous Citrus Limon Zest Extract: Characterization and Evaluation of Their Antioxidant and Antimicrobial Properties. Nanomaterials 2022, 12, 2013. [Google Scholar] [CrossRef] [PubMed]
- Ghojavand, S.; Madani, M.; Karimi, J. Green Synthesis, Characterization and Antifungal Activity of Silver Nanoparticles Using Stems and Flowers of Felty Germander. J. Inorg. Organomet. Polym. Mater. 2020, 30, 2987–2997. [Google Scholar] [CrossRef]
- Htwe, Y.Z.; Chow, W.S.; Suda, Y.; Mariatti, M. Effect of Silver Nitrate Concentration on the Production of Silver Nanoparticles by Green Method. Mater. Today Proc. 2019, 17, 568–573. [Google Scholar] [CrossRef]
- Kuo, Y.L.; Juang, T.Y.; Chang, S.H.; Tsai, C.M.; Lai, Y.S.; Yang, L.C.; Huang, C.L. Influence of Temperature on the Formation of Silver Nanoparticles by Using a Seed-Free Photochemical Method under Sodium-Lamp Irradiation. ChemPhysChem 2015, 16, 3254–3263. [Google Scholar] [CrossRef]
- Jafarov, M.; Ganbarov, K.; Kariptas, E.; Huseynova, S.; Guliyeva, S. The Impact of Temperature on the Synthesis of Silver Nanoparticles by Candida macedoniensis. Black Sea J. Health Sci. 2023, 6, 163–166. [Google Scholar] [CrossRef]
- Long, Y.; Hu, S.; Lei, P.; Li, Y. Preparation of Green Silver Nanoparticles with High Antibacterial Ability Using N-Maleoyl Chitosan and Montmorillonite. Mater. Lett. 2022, 316, 132044. [Google Scholar] [CrossRef]
- Bélteky, P.; Rónavári, A.; Zakupszky, D.; Boka, E.; Igaz, N.; Szerencsés, B.; Pfeiffer, I.; Vágvölgyi, C.; Kiricsi, M.; Kónya, Z. Are Smaller Nanoparticles Always Better? Understanding the Biological Effect of Size-Dependent Silver Nanoparticle Aggregation Under Biorelevant Conditions. Int. J. Nanomed. 2021, 16, 3021–3040. [Google Scholar] [CrossRef]
- Godoy-Gallardo, M.; Eckhard, U.; Delgado, L.M.; de Roo Puente, Y.J.D.; Hoyos-Nogués, M.; Gil, F.J.; Perez, R.A. Antibacterial Approaches in Tissue Engineering Using Metal Ions and Nanoparticles: From Mechanisms to Applications. Bioact. Mater. 2021, 6, 4470–4490. [Google Scholar] [CrossRef]
- Furxhi, I.; Faccani, L.; Zanoni, I.; Brigliadori, A.; Vespignani, M.; Costa, A.L. Design Rules Applied to Silver Nanoparticles Synthesis: A Practical Example of Machine Learning Application. Comput. Struct. Biotechnol. J. 2024, 25, 20–33. [Google Scholar] [CrossRef]
- Ahmed, A.; Usman, M.; Ji, Z.; Rafiq, M.; Yu, B.; Shen, Y.; Cong, H. Nature-Inspired Biogenic Synthesis of Silver Nanoparticles for Antibacterial Applications. Mater. Today Chem. 2023, 27, 101339. [Google Scholar] [CrossRef]
- Din, S.M.; Malek, N.A.N.N.; Shamsuddin, M.; Matmin, J.; Hadi, A.A.; Asraf, M.H. Antibacterial Silver Nanoparticles Using Different Organs of Ficus deltoidea Jack Var. Kunstleri (King) Corner. Biocatal. Agric. Biotechnol. 2022, 44, 102473. [Google Scholar] [CrossRef]
- Filippo, E.; Serra, A.; Buccolieri, A.; Manno, D. Green Synthesis of Silver Nanoparticles with Sucrose and Maltose: Morphological and Structural Characterization. J. Non. Cryst. Solids 2010, 356, 344–350. [Google Scholar] [CrossRef]
- Ponsanti, K.; Tangnorawich, B.; Ngernyuang, N.; Pechyen, C. A Flower Shape-Green Synthesis and Characterization of Silver Nanoparticles (AgNPs) with Different Starch as a Reducing Agent. J. Mater. Res. Technol. 2020, 9, 11003–11012. [Google Scholar] [CrossRef]
- Handayani, W.; Ningrum, A.S.; Imawan, C. The Role of PH in Synthesis Silver Nanoparticles Using Pometia pinnata (Matoa) Leaves Extract as Bioreductor. J. Phys. Conf. Ser. 2020, 1428, 012021. [Google Scholar] [CrossRef]
- Barzinjy, A.A.; Azeez, H.H. Green Synthesis and Characterization of Zinc Oxide Nanoparticles Using Eucalyptus globulus Labill. Leaf Extract and Zinc Nitrate Hexahydrate Salt. SN Appl. Sci. 2020, 2, 991. [Google Scholar] [CrossRef]
- de Melo, A.P.Z.; de Oliveira Brisola Maciel, M.V.; Sganzerla, W.G.; da Rosa Almeida, A.; de Armas, R.D.; Machado, M.H.; da Rosa, C.G.; Nunes, M.R.; Bertoldi, F.C.; Barreto, P.L.M. Antibacterial Activity, Morphology, and Physicochemical Stability of Biosynthesized Silver Nanoparticles Using Thyme (Thymus vulgaris) Essential Oil. Mater. Res. Express 2020, 7, 015087. [Google Scholar] [CrossRef]
- Zhou, W.; Liu, Y.-L.; Stallworth, A.M.; Ye, C.; Lenhart, J.J. Effects of PH, Electrolyte, Humic Acid, and Light Exposure on the Long-Term Fate of Silver Nanoparticles. Environ. Sci. Technol. 2016, 50, 12214–12224. [Google Scholar] [CrossRef]
- Badawy, A.M.E.; Luxton, T.P.; Silva, R.G.; Scheckel, K.G.; Suidan, M.T.; Tolaymat, T.M. Impact of Environmental Conditions (PH, Ionic Strength, and Electrolyte Type) on the Surface Charge and Aggregation of Silver Nanoparticles Suspensions. Environ. Sci. Technol. 2010, 44, 1260–1266. [Google Scholar] [CrossRef]
- Przemieniecki, S.W.; Oćwieja, M.; Ciesielski, S.; Halecki, W.; Matras, E.; Gorczyca, A. Chemical Structure of Stabilizing Layers of Negatively Charged Silver Nanoparticles as an Effector of Shifts in Soil Bacterial Microbiome under Short-Term Exposure. Int. J. Environ. Res. Public Health 2022, 19, 14438. [Google Scholar] [CrossRef]
- Midekessa, G.; Godakumara, K.; Ord, J.; Viil, J.; Lättekivi, F.; Dissanayake, K.; Kopanchuk, S.; Rinken, A.; Andronowska, A.; Bhattacharjee, S.; et al. Zeta Potential of Extracellular Vesicles: Toward Understanding the Attributes That Determine Colloidal Stability. ACS Omega 2020, 5, 16701–16710. [Google Scholar] [CrossRef] [PubMed]
- Cao, T.; Elimelech, M. Colloidal Stability of Cellulose Nanocrystals in Aqueous Solutions Containing Monovalent, Divalent, and Trivalent Inorganic Salts. J. Colloid Interface Sci. 2021, 584, 456–463. [Google Scholar] [CrossRef] [PubMed]
- Sharifi-Rad, M.; Elshafie, H.S.; Pohl, P. Green Synthesis of Silver Nanoparticles (AgNPs) by Lallemantia royleana Leaf Extract: Their Bio-Pharmaceutical and Catalytic Properties. J. Photochem. Photobiol. A Chem. 2024, 448, 115318. [Google Scholar] [CrossRef]
- Kingslin, A.; Kalimuthu, K.; Kiruthika, M.L.; Khalifa, A.S.; Nhat, P.T.; Brindhadevi, K. Synthesis, Characterization and Biological Potential of Silver Nanoparticles Using Enteromorpha prolifera Algal Extract. Appl. Nanosci. 2023, 13, 2165–2178. [Google Scholar] [CrossRef]
- Nagime, P.V.; Singh, S.; Shaikh, N.M.; Gomare, K.S.; Chitme, H.; Abdel-Wahab, B.A.; Alqahtany, Y.S.; Khateeb, M.M.; Habeeb, M.S.; Bakir, M.B. Biogenic Fabrication of Silver Nanoparticles Using Calotropis Procera Flower Extract with Enhanced Biomimetics Attributes. Materials 2023, 16, 4058. [Google Scholar] [CrossRef]
- Thomas, T.; Thalla, A.K. Synthesis of Silver Nanoparticles Using Myristica fragrans Seed Shell: Assessment of Antibacterial, Antioxidant Properties and Photocatalytic Degradation of Dyes. J. Environ. Chem. Eng. 2023, 11, 109585. [Google Scholar] [CrossRef]
- Keshari, A.K.; Pal, G.; Saxena, S.; Srivastava, R.; Srivashtav, V. Fabrication and Characterization of Biosynthesized Silver Nanoparticles Using Cymbopogon citratus and Evaluation of Its Antioxidant, Free Radicals and Reducing Power Activity. Nanomed. Res. J. 2020, 5, 132–142. [Google Scholar] [CrossRef]
- Balamurugan, V.; Ragavendran, C.; Arulbalachandran, D.; Fahad Alrefaei, A.; Rajendran, R. Green Synthesis of Silver Nanoparticles Using Pandanus Tectorius Aerial Root Extract: Characterization, Antibacterial, Cytotoxic, and Photocatalytic Properties, and Ecotoxicological Assessment. Inorg. Chem. Commun. 2024, 168, 112882. [Google Scholar] [CrossRef]
- Zannotti, M.; Piras, S.; Rita Magnaghi, L.; Biesuz, R.; Giovannetti, R. Silver Nanoparticles from Orange Peel Extract: Colorimetric Detection of Pb2+ and Cd2+ Ions with a Chemometric Approach. Spectrochim. Acta Part A Mol. Biomol. Spectrosc. 2024, 323, 124881. [Google Scholar] [CrossRef]
- Bhusal, M.; Pathak, I.; Bhadel, A.; Shrestha, D.K.; Sharma, K.R. Synthesis of Silver Nanoparticles Assisted by Aqueous Root and Leaf Extracts of Rhus chinensis Mill and Its Antibacterial Activity. Heliyon 2024, 10, e33603. [Google Scholar] [CrossRef]
- Naim, R.H.; Uddin, M.B.; Kabir, S.R.; Asaduzzaman, A.K.M.; Shaha, R.K.; Hasan, I. Biosynthesis, Antimicrobial and in Vitro Antiproliferative Activities of Silver/Silver Chloride Nanoparticles from Mixed Fruit Extracts of Capsicum frutescens and Tamarindus indica. Food Chem. Adv. 2024, 5, 100773. [Google Scholar] [CrossRef]
- Abbaszadegan, A.; Ghahramani, Y.; Gholami, A.; Hemmateenejad, B.; Dorostkar, S.; Nabavizadeh, M.; Sharghi, H. The Effect of Charge at the Surface of Silver Nanoparticles on Antimicrobial Activity against Gram-Positive and Gram-Negative Bacteria: A Preliminary Study. J. Nanomater. 2015, 2015, 53. [Google Scholar] [CrossRef]
- Zhang, Y.; Hudson-Smith, N.V.; Frand, S.D.; Cahill, M.S.; Davis, L.S.; Feng, Z.V.; Haynes, C.L.; Hamers, R.J. Influence of the Spatial Distribution of Cationic Functional Groups at Nanoparticle Surfaces on Bacterial Viability and Membrane Interactions. J. Am. Chem. Soc. 2020, 142, 10814–10823. [Google Scholar] [CrossRef] [PubMed]
- Ansari, M.A.; Khan, H.M.; Khan, A.A.; Ahmad, M.K.; Mahdi, A.A.; Pal, R.; Cameotra, S.S. Interaction of Silver Nanoparticles with Escherichia coli and Their Cell Envelope Biomolecules. J. Basic Microbiol. 2014, 54, 905–915. [Google Scholar] [CrossRef]
- Ciepluch, K.; Skrzyniarz, K.; Barrios-Gumiel, A.; Quintana, S.; Sánchez-Nieves, J.; de la Mata, F.J.; Maciejewska, B.; Drulis-Kawa, Z.; Arabski, M. Dendronized Silver Nanoparticles as Bacterial Membrane Permeabilizers and Their Interactions with P. Aeruginosa Lipopolysaccharides, Lysozymes, and Phage-Derived Endolysins. Front. Microbiol. 2019, 10, 2771. [Google Scholar] [CrossRef]
- Bondarenko, O.M.; Sihtmäe, M.; Kuzmičiova, J.; Ragelienė, L.; Kahru, A.; Daugelavičius, R. Plasma Membrane Is the Target of Rapid Antibacterial Action of Silver Nanoparticles in Escherichia coli and Pseudomonas aeruginosa. Int. J. Nanomed. 2018, 13, 6779–6790. [Google Scholar] [CrossRef]
- Jena, P.; Bhattacharya, M.; Bhattacharjee, G.; Satpati, B.; Mukherjee, P.; Senapati, D.; Srinivasan, R. Bimetallic Gold-Silver Nanoparticles Mediate Bacterial Killing by Disrupting the Actin Cytoskeleton MreB. Nanoscale 2020, 12, 3731–3749. [Google Scholar] [CrossRef]
- Nie, X.; Gao, F.; Wang, F.; Liu, C.; You, Y.Z. Charge-Reversal Silver Clusters for Targeted Bacterial Killing. J. Mater. Chem. B 2021, 9, 4006–4014. [Google Scholar] [CrossRef]
- Qasim, S.; Alamgeer; Kalsoom, S.; Shahzad, M.; Irfan, H.M.; Zafar, M.S.; Bukhari, I.A.; Vohra, F.; Afzal, S. Appraisal of Disease-Modifying Potential of Amlodipine as an Anti-Arthritic Agent: New Indication for an Old Drug. Inflammopharmacology 2020, 28, 1121–1136. [Google Scholar] [CrossRef]
- Anwar, S.; Raut, R.; Alhumaydhi, F.A. A Comprehensive Investigation on Alleviating Oxidative Stress and Inflammation in Hyperglycaemic Conditions through in Vitro Experiments and Computational Analysis. Saudi J. Biol. Sci. 2024, 31, 104003. [Google Scholar] [CrossRef]
- Sharifi-Rad, M.; Pohl, P.; Epifano, F.; Álvarez-Suarez, J.M. Green Synthesis of Silver Nanoparticles Using Astragalus tribuloides Delile. Root Extract: Characterization, Antioxidant, Antibacterial, and Anti-Inflammatory Activities. Nanomaterials 2020, 10, 2383. [Google Scholar] [CrossRef] [PubMed]
- Purnomo, Y.; Wahyuningsih, D.; Tilaqza, A. Anti-Inflammatory Potency of Pulutan (Urena lobata) Leaf Extract and Its Fractions by Protein Denaturation Inhibition Assay. Res. J. Pharm. Technol. 2023, 16, 5406–5409. [Google Scholar] [CrossRef]
- Singha, R.; Kanthal, L.K.; Pattanayak, S.; Maiti, M.; Bhuniya, T.; Maity, P. In-Vitro Anti-Inflammatory Activity of Mimosa pudica Against Inhibition of Protein Denaturation and Heat Induced Haemolysis Methods. Int. J. Pharm. Sci. Rev. Res. 2023, 82, 48–51. [Google Scholar] [CrossRef]
- Tortella, G.R.; Rubilar, O.; Durán, N.; Diez, M.C.; Martínez, M.; Parada, J.; Seabra, A.B. Silver Nanoparticles: Toxicity in Model Organisms as an Overview of Its Hazard for Human Health and the Environment. J. Hazard. Mater. 2020, 390, 121974. [Google Scholar] [CrossRef]
- Jaswal, T.; Gupta, J. A Review on the Toxicity of Silver Nanoparticles on Human Health. Mater. Today Proc. 2023, 81, 859–863. [Google Scholar] [CrossRef]
- Tinajero-Díaz, E.; Salado-Leza, D.; Gonzalez, C.; Martínez Velázquez, M.; López, Z.; Bravo-Madrigal, J.; Knauth, P.; Flores-Hernández, F.Y.; Herrera-Rodríguez, S.E.; Navarro, R.E.; et al. Green Metallic Nanoparticles for Cancer Therapy: Evaluation Models and Cancer Applications. Pharmaceutics 2021, 13, 1719. [Google Scholar] [CrossRef]
- Wypij, M.; Jędrzejewski, T.; Ostrowski, M.; Trzcińska, J.; Rai, M.; Golińska, P. Biogenic Silver Nanoparticles: Assessment of Their Cytotoxicity, Genotoxicity and Study of Capping Proteins. Molecules 2020, 25, 3022. [Google Scholar] [CrossRef]
- Pannerselvam, B.; Thiyagarajan, D.; Pazhani, A.; Thangavelu, K.P.; Kim, H.J.; Rangarajulu, S.K. Copperpod Plant Synthesized AgNPs Enhance Cytotoxic and Apoptotic Effect in Cancer Cell Lines. Processes 2021, 9, 888. [Google Scholar] [CrossRef]
- Ferdous, Z.; Nemmar, A. Health Impact of Silver Nanoparticles: A Review of the Biodistribution and Toxicity Following Various Routes of Exposure. Int. J. Mol. Sci. 2020, 21, 2375. [Google Scholar] [CrossRef]
- Nie, P.; Zhao, Y.; Xu, H. Synthesis, Applications, Toxicity and Toxicity Mechanisms of Silver Nanoparticles: A Review. Ecotoxicol. Environ. Saf. 2023, 253, 114636. [Google Scholar] [CrossRef]
- Sun, J.; Wan, J.; Zhai, X.; Wang, J.; Liu, Z.; Tian, H.; Xin, L. Silver Nanoparticles: Correlating Particle Size and Ionic Ag Release with Cytotoxicity, Genotoxicity, and Inflammatory Responses in Human Cell Lines. Toxicol. Ind. Health 2021, 37, 198–209. [Google Scholar] [CrossRef] [PubMed]
- Farhadi, L.; Mohtashami, M.; Saeidi, J.; Azimi-nezhad, M.; Taheri, G.; Khojasteh-Taheri, R.; Rezagholizade-Shirvan, A.; Shamloo, E.; Ghasemi, A. Green Synthesis of Chitosan-Coated Silver Nanoparticle, Characterization, Antimicrobial Activities, and Cytotoxicity Analysis in Cancerous and Normal Cell Lines. J. Inorg. Organomet. Polym. Mater. 2022, 32, 1637–1649. [Google Scholar] [CrossRef]
- Noga, M.; Milan, J.; Frydrych, A.; Jurowski, K. Toxicological Aspects, Safety Assessment, and Green Toxicology of Silver Nanoparticles (AgNPs)—Critical Review: State of the Art. Int. J. Mol. Sci. 2023, 24, 5133. [Google Scholar] [CrossRef]
- Ahmadi, S.; Fazilati, M.; Mousavi, S.M.; Nazem, H. Anti-Bacterial/Fungal and Anti-Cancer Performance of Green Synthesized Ag Nanoparticles Using Summer Savory Extract. J. Exp. Nanosci. 2020, 15, 363–380. [Google Scholar] [CrossRef]
- Kiani, Z.; Aramjoo, H.; Chamani, E.; Siami-Aliabad, M.; Mortazavi-Derazkola, S. In Vitro Cytotoxicity against K562 Tumor Cell Line, Antibacterial, Antioxidant, Antifungal and Catalytic Activities of Biosynthesized Silver Nanoparticles Using Sophora pachycarpa Extract. Arab. J. Chem. 2022, 15, 103677. [Google Scholar] [CrossRef]
- Srimurugan, S.; Ravi, A.K.; Arumugam, V.A.; Muthukrishnan, S. Biosynthesis of Silver Nanoparticles Using Citrus hystrix Leaf Extract and Evaluation of Its Anticancer Efficacy against HeLa Cell Line. Drug Dev. Ind. Pharm. 2022, 48, 480–490. [Google Scholar] [CrossRef]
- Liu, X.; Shan, K.; Shao, X.; Shi, X.; He, Y.; Liu, Z.; Jacob, J.A.; Deng, L. Nanotoxic Effects of Silver Nanoparticles on Normal HEK-293 Cells in Comparison to Cancerous HeLa Cell Line. Int. J. Nanomed. 2021, 16, 753–761. [Google Scholar] [CrossRef]
- Veeragoni, D.; Deshpande, S.; Rachamalla, H.K.; Ande, A.; Misra, S.; Mutheneni, S.R. In Vitro and In Vivo Anticancer and Genotoxicity Profiles of Green Synthesized and Chemically Synthesized Silver Nanoparticles. ACS Appl. Bio Mater. 2022, 5, 2324–2339. [Google Scholar] [CrossRef]
- Balamurugan, V.; Balasubramani, G. Green Synthesis and Cytotoxicity Evaluation of Silver and Gold Nanoparticles Using Pandanus canaranus Leaf Extract on Artemia salina and A549 Lung Cancer Cells. Biomass Convers. Biorefinery 2024, 14, 14433–14446. [Google Scholar] [CrossRef]
- Farshori, N.N.; Al-Oqail, M.M.; Al-Sheddi, E.S.; Al-Massarani, S.M.; Saquib, Q.; Siddiqui, M.A.; Wahab, R.; Al-Khedhairy, A.A. Green Synthesis of Silver Nanoparticles Using Phoenix dactylifera Seed Extract and Its Anticancer Effect against Human Lung Adenocarcinoma Cells. J. Drug Deliv. Sci. Technol. 2022, 70, 103260. [Google Scholar] [CrossRef]
- Tian, S.; Saravanan, K.; Mothana, R.A.; Ramachandran, G.; Rajivgandhi, G.; Manoharan, N. Anti-Cancer Activity of Biosynthesized Silver Nanoparticles Using Avicennia marina against A549 Lung Cancer Cells through ROS/Mitochondrial Damages. Saudi J. Biol. Sci. 2020, 27, 3018–3024. [Google Scholar] [CrossRef] [PubMed]
- Hamida, R.S.; Abdelmeguid, N.E.; Ali, M.A.; Bin-Meferij, M.M.; Khalil, M.I. Synthesis of Silver Nanoparticles Using a Novel Cyanobacteria desertifilum sp. Extract: Their Antibacterial and Cytotoxicity Effects. Int. J. Nanomed. 2020, 15, 49–63. [Google Scholar] [CrossRef] [PubMed]
- Al-Khedhairy, A.A.; Wahab, R. Silver Nanoparticles: An Instantaneous Solution for Anticancer Activity against Human Liver (HepG2) and Breast (MCF-7) Cancer Cells. Metals 2022, 12, 148. [Google Scholar] [CrossRef]
- Shyamalagowri, S.; Charles, P.; Manjunathan, J.; Kamaraj, M.; Anitha, R.; Pugazhendhi, A. In Vitro Anticancer Activity of Silver Nanoparticles Phyto-Fabricated by Hylocereus undatus Peel Extracts on Human Liver Carcinoma (HepG2) Cell Lines. Process Biochem. 2022, 116, 17–25. [Google Scholar] [CrossRef]
- Math, H.H.; Shashiraj, K.N.; Kumar, R.S.; Rudrappa, M.; Bhat, M.P.; Basavarajappa, D.S.; Almansour, A.I.; Perumal, K.; Nayaka, S. Investigation of In Vitro Anticancer and Apoptotic Potential of Biofabricated Silver Nanoparticles from Cardamine hirsuta (L.) Leaf Extract against Caco-2 Cell Line. Inorganics 2023, 11, 322. [Google Scholar] [CrossRef]
- Al Baloushi, K.S.Y.; Senthilkumar, A.; Kandhan, K.; Subramanian, R.; Kizhakkayil, J.; Ramachandran, T.; Shehab, S.; Kurup, S.; Alyafei, M.A.M.; Al Dhaheri, A.; et al. Green Synthesis and Characterization of Silver Nanoparticles Using Moringa peregrina and Their Toxicity on MCF-7 and Caco-2 Human Cancer Cells. Int. J. Nanomed. 2024, 19, 3891–3905. [Google Scholar] [CrossRef]
- Golpour, M.; Ebrahimnejad, P.; Gatabi, Z.R.; Najafi, A.; Davoodi, A.; Khajavi, R.; Alimohammadi, M.; Mousavi, T. Green Tea-Mediated Synthesis of Silver Nanoparticles: Enhanced Anti-Cancer Activity and Reduced Cytotoxicity Melanoma and Normal Murine Cell Lines. Inorg. Chem. Commun. 2024, 161, 111989. [Google Scholar] [CrossRef]
- Chandraker, S.K.; Lal, M.; Khanam, F.; Dhruve, P.; Singh, R.P.; Shukla, R. Therapeutic Potential of Biogenic and Optimized Silver Nanoparticles Using Rubia cordifolia L. Leaf Extract. Sci. Rep. 2022, 12, 8831. [Google Scholar] [CrossRef]
- Kumkoon, T.; Srisaisap, M.; Boonserm, P. Biosynthesized Silver Nanoparticles Using Morus alba (White Mulberry) Leaf Extract as Potential Antibacterial and Anticancer Agents. Molecules 2023, 28, 1213. [Google Scholar] [CrossRef]
- Alburae, N.; Alshamrani, R.; Mohammed, A.E. Bioactive Silver Nanoparticles Fabricated Using Lasiurus scindicus and Panicum turgidum Seed Extracts: Anticancer and Antibacterial Efficiency. Sci. Rep. 2024, 14, 4162. [Google Scholar] [CrossRef]
- Seçme, A.; Bozer, B.M.; Yıldırım Kocaman, A.; Erenler, R.; Calimli, M.H. Synthesis, Characterization, and Anticancer Properties of Ag Nanoparticles Derived from Walnut Leaves Tested on Cells of L929, MCF-7 and H1299. J. Drug Deliv. Sci. Technol. 2024, 94, 105478. [Google Scholar] [CrossRef]
- Govindappa, M.; Tejashree, S.; Thanuja, V.; Hemashekhar, B.; Srinivas, C.; Nasif, O.; Pugazhendhi, A.; Raghavendra, V.B. Pomegranate Fruit Fleshy Pericarp Mediated Silver Nanoparticles Possessing Antimicrobial, Antibiofilm Formation, Antioxidant, Biocompatibility and Anticancer Activity. J. Drug Deliv. Sci. Technol. 2021, 61, 102289. [Google Scholar] [CrossRef]
- Karan, T.; Erenler, R.; Moran Bozer, B. Synthesis and Characterization of Silver Nanoparticles Using Curcumin: Cytotoxic, Apoptotic, and Necrotic Effects on Various Cell Lines. Z. Naturforsch. C 2022, 77, 343–350. [Google Scholar] [CrossRef] [PubMed]
- Banu, A.N.; Kudesia, N.; Raut, A.M.; Pakrudheen, I.; Wahengbam, J. Toxicity, Bioaccumulation, and Transformation of Silver Nanoparticles in Aqua Biota: A Review. Environ. Chem. Lett. 2021, 19, 4275–4296. [Google Scholar] [CrossRef]
- Ramzan, U.; Majeed, W.; Hussain, A.A.; Qurashi, F.; Qamar, S.U.R.; Naeem, M.; Uddin, J.; Khan, A.; Al-Harrasi, A.; Razak, S.I.A.; et al. New Insights for Exploring the Risks of Bioaccumulation, Molecular Mechanisms, and Cellular Toxicities of AgNPs in Aquatic Ecosystem. Water 2022, 14, 2192. [Google Scholar] [CrossRef]
- Rajan, R.; Huo, P.; Chandran, K.; Manickam Dakshinamoorthi, B.; Yun, S.-I.; Liu, B. A Review on the Toxicity of Silver Nanoparticles against Different Biosystems. Chemosphere 2022, 292, 133397. [Google Scholar] [CrossRef]
- Corsi, I.; Desimone, M.F.; Cazenave, J. Building the Bridge from Aquatic Nanotoxicology to Safety by Design Silver Nanoparticles. Front. Bioeng. Biotechnol. 2022, 10, 836742. [Google Scholar] [CrossRef]
- Balamurugan, V.; Ragavendran, C.; Arulbalachandran, D. Eco-Friendly Green Synthesis of AgNPs from Elaeocarpus serratus Fruit Extract: Potential to Antibacterial, Antioxidant, Cytotoxic Effects of Colon Cancerous Cells (HT-29) and Its Toxicity Assessments of Marine Microcrustacean Artemia Nauplii. Mol. Biol. Rep. 2024, 51, 418. [Google Scholar] [CrossRef]
- Anjali, R.; Palanisamy, S.; Vinosha, M.; Selvi, A.M.; Sathiyaraj, G.; Marudhupandi, T.; Mohandoss, S.; Prabhu, N.M.; You, S.G. Fabrication of Silver Nanoparticles from Marine Macro Algae Caulerpa sertularioides: Characterization, Antioxidant and Antimicrobial Activity. Process Biochem. 2022, 121, 601–618. [Google Scholar] [CrossRef]
- Sangameshwaran, V.; Ragu Prasath, A.; Selvam, K.; Obaidullah, A.J.; Kumar Yadav, K.; Sudhakar, C. Green Synthesis of Silver Nanoparticles Using Senna alexandrina Leaf Extracts and Their Antibacterial, Larvicidal, Nanotoxicity and Photocatalytic Activity. Inorganica Chim. Acta 2024, 571, 122220. [Google Scholar] [CrossRef]
- Thavamurugan, S.; Annamalai, A.; Narayanan, M.; Devan, M.; Manoharan, N.; Prabha, A.L. Green Synthesis of Silver Nanoparticles Using Osbeckia leschenaultiana DC Extract: Optimization of Synthesis, Biological Activities, Larvicidal Activity and Toxicity Analysis. Inorg. Chem. Commun. 2024, 169, 113011. [Google Scholar] [CrossRef]
- Rajasekar, P.; Palanisamy, S.; Anjali, R.; Vinosha, M.; Thillaieswari, M.; Malaikozhundan, B.; Boomi, P.; Saravanan, M.; You, S.; Prabhu, N.M. Cladophora Fascicularis Mediated Silver Nanoparticles: Assessment of Their Antibacterial Activity Against Aeromonas Hydrophila. J. Clust. Sci. 2020, 31, 673–683. [Google Scholar] [CrossRef]
- Sultana, N.; Ruhul-Amin, M.; Hasan, I.; Kabir, S.R.; Asaduzzaman, A.K.M. Antibacterial, Antioxidant, and Anticancer Effects of Green Synthesized Silver/Silver Chloride Nanoparticles Using Spondias pinnata Bark Extract. Food Chem. Adv. 2024, 4, 100709. [Google Scholar] [CrossRef]
- Rajagopal, G.; Manivannan, N.; Sundararajan, M.; Kumar, A.G.; Senthilkumar, S.; Mathivanan, N.; Ilango, S. Biocompatibility Assessment of Silver Chloride Nanoparticles Derived from Padina gymnospora and Its Therapeutic Potential. Nano Express 2021, 2, 010010. [Google Scholar] [CrossRef]
- Singh, R.; Sagar, N.A.; Kumar, N. Bio-Inspired Green Fabrication of Silver Nanoparticles (AgNPs) Using Aqueous Leaves Extract of Ipomoea carnea Jacq. To Tackle Multiple Drug Resistance MTCC Bacterial Strains. Eur. J. Med. Chem. Rep. 2022, 6, 100066. [Google Scholar] [CrossRef]
















| Year | Characteristics | Applications | Remarks | Ref. |
|---|---|---|---|---|
| 2024 | 464 nm, 50.29 nm | Antibacterial | Only one bacterium was used | [31] |
| 2023 | 431 nm, 43.82 nm, −12.6 mV, 2 to 200 nm, spherical, and well dispersed | Antibacterial and toxicity | Standard was missing in toxicity studies | [32] |
| 2023 | 410 nm | Antibacterial | Showed minimal activity | [33] |
| 2023 | 450 nm, 100.6 nm, 12 to 59 nm, spherical, and well dispersed | Antifungal | Similar activity to control | [34] |
| 2022 | 390 to 470 nm | Antibacterial | Standard was not used | [22] |
| 2022 | 430 nm, 332 nm | Antifungal | Standard was not used | [35] |
| 2019 | ~35 nm | Antibacterial and cyto-toxicity | Standard was not used | [36] |
| 2019 | 435 nm, 121.1 nm, 17 to 25.8 nm, spherical, and well dispersed | Antibacterial, antifungal, and anticarcinogenic | Standard was not used | [21] |
| 2017 | 435 nm, 10 to 33 nm, spherical, and well dispersed | Antioxidant and antibacterial | Plant extract was not used as control | [20] |
| 2011 | 430 nm, 32 nm, spherical, and well dispersed | Antibacterial and antifungal | - | [37] |
| AgNO3 Concentration | ACCE Concentration | Temp. | pH | Time | Wavelength | Abs |
|---|---|---|---|---|---|---|
| mM | % v/v | °C | - | min | nm | a.u. |
| 0.25 | 3 | RT | 6.5 to 7.0 | 30 | 413.0 | 0.488 |
| 0.50 | 413.5 | 0.654 | ||||
| 0.75 | 414.0 | 0.818 | ||||
| 1.00 | 414.0 | 0.953 | ||||
| 1.25 | 413.5 | 1.062 | ||||
| 1.50 | 415.5 | 1.364 | ||||
| 1.75 | 418.0 | 1.198 | ||||
| 2.00 | 417.5 | 1.215 | ||||
| 1.50 | 0.5 | RT | 6.5 to 7.5 | 30 | 413.5 | 0.454 |
| 1.0 | 413.5 | 0.753 | ||||
| 1.5 | 412.5 | 0.979 | ||||
| 2.0 | 414.5 | 1.130 | ||||
| 2.5 | 412.5 | 1.216 | ||||
| 3.0 | 416.0 | 1.294 | ||||
| 3.5 | 414.5 | 1.421 | ||||
| 4.0 | 420.5 | 1.422 | ||||
| 1.50 | 3.5 | RT | 6.5 to 7.5 | 30 | 427.0 | 0.198 |
| 40 | 422.0 | 0.198 | ||||
| 50 | 422.0 | 0.258 | ||||
| 60 | 427.0 | 0.298 | ||||
| 70 | 423.0 | 0.385 | ||||
| 80 | 417.0 | 0.440 | ||||
| 90 | 419.0 | 0.531 | ||||
| 100 | 411.0 | 0.633 | ||||
| 1.50 | 3.5 | 100 | 3 | 30 | 398.0 | 0.556 |
| 5 | 421.0 | 1.342 | ||||
| 7 | 417.0 | 1.410 | ||||
| 9 | 416.5 | 1.506 | ||||
| 11 | Two peaks | - | ||||
| 1.50 | 3.5 | 100 | 9 | 0 | - | - |
| 30 | 423.0 | 1.489 | ||||
| 60 | 419.0 | 1.748 | ||||
| 90 | 419.5 | 1.706 | ||||
| 120 | 421.0 | 1.638 |
| Plant | Parameters | Studied Values | Optimized Value | Ref. |
|---|---|---|---|---|
| C. citratus | AgNO3 concentration Extract concentration Reaction temperature Reaction pH Reaction time | 0.25, 0.50, 0.75, 1.00, 1.25, 1.50, 1.75, 2.00 mM 0.5, 1.0, 1.5, 2.0, 2.5, 3.0, 3.5, and 4.0% v/v RT, 40, 50, 60, 70. 80, 90, 100 °C 3, 5, 7, 9, 11 30, 60, 90, 120 min | 1.50 mM 3.5% v/v 100 °C 9 60 min | Present work |
| Filipendula ulmaria | AgNO3 concentration Extract concentration Reaction temperature Reaction pH | 5, 10, 20 mM 5, 10, 20% v/v 25, 50, 80 °C 3, 6, 11 | 10 mM 10% v/v 25 °C 11 | [56] |
| Azadirachta indica | AgNO3 concentration Extract concentration Reaction temperature Reaction pH Reaction time | 1, 2, 3, 4 mM 1:1, 1:2, 1:3, 1:4, 1:5 ratio RT, 30, 40, 50, 60, 70 °C 5, 7, 9, 11, 13 1, 2, 3, 4, 5 h | 2 mM 1:1 ratio 70 °C 11 3 h | [58] |
| Ephedra intermedia | AgNO3 concentration Extract concentration Reaction temperature Reaction pH | 1.0, 1.5, 2.0, 2.5, 3.0 mM 1:1, 1:2, 1:3, 1:5, 1:7, 1:10 v/v 30, 45, 60 °C 4, 5, 5.7, 7, 8, 9 | 2.5 mM 1:10 v/v 60 °C 8 | [59] |
| Moringa oleifera | AgNO3 concentration Extract concentration Reaction time | 1.0, 1.5, 2.0, 2.5, 3.0 mM 5, 10, 15, 20, 25 mL 20, 60, 240, 720, 1440 min | 3 mM 20 mL 1440 min | [60] |
| Pineapple leaves | AgNO3 concentration Extract concentration Reaction time | 5, 10, 15, 20, 25 mM 2, 4, 6, 8 mL 2, 4, 6, 24 h | 20 mM 6 mL 24 h | [61] |
| Laggera tomentosa | AgNO3 concentration Extract concentration Reaction temperature Reaction pH Reaction time | 2, 4, 6, 8, 9 mM 15, 20, 30 mL 45, 55, 60, 75, 90 °C 3, 5, 7, 8, 9, 11, 12 20, 30, 40 min | 2 mM 20 mL 75 °C 11 20 min | [62] |
| Eucalyptus camaldulensis | AgNO3 concentration Extract concentration Reaction temperature Reaction pH Reaction time | 0.5, 1.0, 1.5, 2.0 mM 1:9, 2:8, 3:7, 4:6, 5:5 v/v 25, 50, 75, 100 °C 1, 3, 5, 7, 9, 11 15, 30, 45, 60 min | 1 mM 3:7 v/v 75 °C 7 60 min | [57] |
| Imperata cylindrica | AgNO3 concentration Extract concentration Reaction temperature Reaction pH | 5, 10 mM 10, 50% 30, 60, 100 °C 3, 7, 10 | 10 mM 10% 60 °C 5.7 | [63] |
| Citrus limon | AgNO3 concentration Extract concentration Reaction time | 0.5, 1, 2 mM 1:9, 2:8, 5:5 v/v 30, 60, 120, 180, 240 min | 1 mM 1:9 v/v 240 min | [64] |
| Teucrium polium | AgNO3 concentration Extract concentration Reaction temperature Reaction pH Reaction time | 1, 5, 10, 15, 20, 25, 50 mM 100, 150, 300, 600, 900 µL 30, 60, 90 °C 1, 2, 3, 4, 5, 6, 7, 8, 9, 10, 11, 12, 13 5, 10, 15, 20, 25, 30 min | 15 mM 300 µL 30 °C 6 15 min | [65] |
| Bacteria | Gram −/+ | Concentration (µg/Well) | ||||
|---|---|---|---|---|---|---|
| 10 | 20 | 30 | 40 | 50 | ||
| A. baumannii | Gram-negative | 13.99 ± 0.48 | 16.17 ± 0.72 c | 17.87 ± 0.85 c | 18.39 ± 0.21 a | 18.75 ± 0.49 a |
| B. subtilis | Gram-positive | 6.59 ± 0.71 | 10.33 ± 0.64 c | 10.71 ± 0.29 a | 11.13 ± 0.53 a | 12.20 ± 0.47 b |
| E. faecalis | Gram-positive | 11.58 ± 0.49 | 12.74 ± 0.23 b | 13.34 ± 0.16 a | 13.86 ± 0.33 a | 14.20 ± 0.26 |
| E. coli | Gram-negative | 6.65 ± 0.64 | 7.97 ± 0.31 b | 7.42 ± 0.52 | 8.67 ± 0.17 b | 8.52 ± 0.30 |
| K. pneumoniae | Gram-negative | 14.92 ± 0.32 | 16.89 ± 0.59 c | 18.56 ± 0.52 c | 19.98 ± 0.53 c | 21.56 ± 0.35 c |
| M. luteus | Gram-positive | 12.06 ± 0.28 | 15.02 ± 0.39 c | 14.91 ± 0.76 | 16.44 ± 0.33 c | 16.95 ± 0.59 a |
| P. vulgaris | Gram-negative | 7.21 ± 0.29 | 7.47 ± 0.30 | 7.71 ± 0.33 | 8.29 ± 0.11 a | 8.48 ± 0.13 |
| P. aeruginosa | Gram-negative | 15.66 ± 0.35 | 15.91 ± 0.66 | 17.43 ± 0.39 b | 18.03 ± 0.55 a | 19.57 ± 0.26 c |
| S. aureus | Gram-positive | 14.75 ± 0.16 | 16.37 ± 0.71 c | 16.76 ± 0.73 a | 17.56 ± 0.76 b | 18.16 ± 0.37 a |
| Assay | Concentration | Inhibition Percentage (%) | ||
|---|---|---|---|---|
| µg/mL | Standard (Positive Control) | ACCE (Negative Control) | AgNPs (Sample) | |
| Anti-inflammatory (PrDI) | 20 | 32.34 ± 1.76 | 15.37 ± 2.22 | 22.60 ± 1.47 a |
| 40 | 53.32 ± 2.37 | 24.57 ± 2.11 | 33.75 ± 1.12 a | |
| 60 | 79.42 ± 1.92 | 43.58 ± 1.53 | 49.17 ± 2.13 a | |
| 80 | 94.20 ± 1.84 | 53.27 ± 2.29 | 62.07 ± 2.08 b | |
| 100 | 99.11 ± 0.24 | 66.37 ± 2.51 | 78.62 ± 1.55 b | |
| IC50 | 37.56 ± 1.65 | 75.18 ± 3.15 | 61.08 ± 2.66 b | |
| Antidiabetic (α-glucosidase inhibition) | 10 | 28.03 ± 1.75 | 8.82 ± 1.94 | 13.80 ± 2.13 a |
| 20 | 48.05 ± 2.33 | 13.94 ± 2.15 | 28.64 ± 2.71 b | |
| 30 | 62.70 ± 2.41 | 25.07 ± 2.44 | 40.14 ± 1.12 b | |
| 40 | 78.16 ± 2.08 | 33.36 ± 2.15 | 51.76 ± 2.14 b | |
| 50 | 96.33 ± 1.21 | 43.35 ± 3.13 | 66.12 ± 1.56 c | |
| IC50 | 20.84 ± 1.02 | >100 | 38.69 ± 1.63 c | |
| Antidiabetic (α-amylase inhibition) | 10 | 15.42 ± 2.16 | 8.04 ± 1.47 | 11.76 ± 1.72 a |
| 20 | 25.87 ± 1.43 | 14.36 ± 1.99 | 21.62 ± 2.11 b | |
| 30 | 42.98 ± 2.46 | 19.69 ± 2.35 | 35.89 ± 1.98 b | |
| 40 | 57.50 ± 1.85 | 25.47 ± 1.87 | 47.35 ± 2.47 c | |
| 50 | 69.61 ± 1.92 | 31.28 ± 2.68 | 59.95 ± 2.03 c | |
| IC50 | 34.81 ± 1.13 | >100 | 42.31 ± 2.24 c | |
| Antioxidative (DPPH) | 20 | 22.13 ± 2.45 | 15.80 ± 1.72 | 17.42 ± 2.04 |
| 40 | 40.60 ± 1.93 | 28.97 ± 2.43 | 34.26 ± 2.36 a | |
| 60 | 63.06 ± 1.82 | 42.37 ± 1.19 | 51.02 ± 2.29 a | |
| 80 | 75.96 ± 2.23 | 55.79 ± 2.26 | 66.93 ± 1.55 b | |
| 100 | 94.68 ± 2.31 | 72.43 ± 2.03 | 83.13 ± 1.41 b | |
| IC50 | 47.60 ± 1.35 | 71.78 ± 2.98 | 58.88 ± 2.70 c | |
| Antioxidative (ABTS) | 20 | 16.94 ± 2.47 | 7.02 ± 1.19 | 15.44 ± 1.53 a |
| 40 | 37.53 ± 1.61 | 15.09 ± 1.36 | 34.14 ± 1.74 b | |
| 60 | 52.78 ± 2.12 | 23.23 ± 2.51 | 49.55 ± 2.38 c | |
| 80 | 73.52 ± 2.27 | 31.62 ± 2.13 | 64.59 ± 2.04 c | |
| 100 | 94.67 ± 2.38 | 40.12 ± 2.88 | 80.97 ± 1.85 c | |
| IC50 | 56.90 ± 2.33 | >100 | 60.64 ± 2.94 c | |
| Antioxidative (TRP) | 20 | 27.15 ± 1.46 | 12.55 ± 1.47 | 16.25 ± 1.39 |
| 40 | 49.07 ± 2.20 | 23.04 ± 2.16 | 26.87 ± 3.13 | |
| 60 | 62.72 ± 2.58 | 32.97 ± 1.59 | 47.77 ± 1.46 b | |
| 80 | 77.86 ± 2.03 | 42.23 ± 2.37 | 64.75 ± 2.27 c | |
| 100 | 94.51 ± 1.37 | 53.52 ± 2.81 | 82.57 ± 1.84 c | |
| IC50 | 40.81 ± 1.80 | 93.59 ± 1.97 | 62.84 ± 1.92 c | |
| Cell line | Concentration | Mortality percentage (%) | ||
|---|---|---|---|---|
| Type | µg/mL | Standard (Positive Control) | ACCE (Negative Control) | AgNPs (Sample) |
| K562 (human myelogenous leukemia cell line) | 25 | 13.17 ± 1.93 | 9.71 ± 1.49 | 10.52 ± 2.23 a |
| 50 | 33.60 ± 2.01 | 23.89 ± 1.48 | 22.76 ± 1.96 b | |
| 75 | 60.76 ± 2.92 | 48.86 ± 2.46 | 33.99 ± 1.18 c | |
| 100 | 95.34 ± 1.84 | 65.45 ± 2.54 | 47.36 ± 1.95 c | |
| 150 | 100.00 ± 0.00 | 81.16 ± 1.87 | 65.15 ± 1.48 c | |
| 200 | 100.00 ± 0.00 | 96.36 ± 1.14 | 79.02 ± 2.26 c | |
| IC50 | 61.86 ± 2.24 | 76.95 ± 2.58 | 105.75 ± 1.28 c | |
| HeLa (human cervical cell line) | 25 | 11.57 ± 2.37 | 10.66 ± 1.67 | 7.14 ± 1.66 a |
| 50 | 34.38 ± 2.91 | 25.20 ± 2.32 | 21.38 ± 1.52 b | |
| 75 | 58.00 ± 2.67 | 43.05 ± 1.52 | 36.59 ± 2.11 b | |
| 100 | 96.08 ± 2.33 | 58.61 ± 1.96 | 53.94 ± 1.18 c | |
| 150 | 100.00 ± 0.00 | 71.94 ± 1.24 | 66.36 ± 2.34 c | |
| 200 | 100.00 ± 0.00 | 83.34 ± 2.21 | 76.59 ± 2.58 c | |
| IC50 | 64.80 ± 2.37 | 85.40 ± 1.44 | 92.75 ± 1.26 c | |
| A549 (human adenocarcinomic alveolar basal epithelial cell line) | 25 | 17.81 ± 2.46 | 12.23 ± 2.23 | 9.08 ± 2.26 b |
| 50 | 32.71 ± 2.51 | 20.44 ± 1.28 | 17.21 ± 1.63 c | |
| 75 | 74.73 ± 1.59 | 46.65 ± 1.76 | 34.15 ± 2.34 c | |
| 100 | 100.00 ± 0.00 | 60.94 ± 2.17 | 48.33 ± 2.29 c | |
| 150 | 100.00 ± 0.00 | 75.21 ± 1.95 | 61.71 ± 1.96 c | |
| 200 | 100.00 ± 0.00 | 91.07 ± 2.59 | 81.99 ± 2.12 c | |
| IC50 | 50.20 ±1.31 | 82.15 ± 2.06 | 103.68 ± 1.92 c | |
| HepG2 (human hepatocellular carcinoma cell line) | 25 | 21.94 ± 1.86 | 12.83 ± 1.42 | 7.71 ± 1.29 b |
| 50 | 36.27 ± 2.03 | 32.56 ± 2.12 | 22.75 ± 2.05 b | |
| 75 | 62.81 ± 2.55 | 44.65 ± 1.15 | 36.63 ± 1.99 c | |
| 100 | 85.09 ± 1.48 | 63.15 ± 2.01 | 46.83 ± 2.35 c | |
| 150 | 100.00 ± 0.00 | 84.50 ± 1.92 | 60.78 ± 2.13 c | |
| 200 | 100.00 ± 0.00 | 100.00 ± 0.00 | 72.32 ± 1.66 c | |
| IC50 | 59.81 ± 1.96 | 79.26 ± 2.12 | 107.04 ± 2.67 c | |
| Caco-2 (human colorectal adenocarcinoma cell line) | 25 | 14.45 ± 3.12 | 11.23 ± 1.89 | 8.13 ± 1.27 a |
| 50 | 33.38 ± 2.38 | 28.11 ± 1.52 | 20.65 ± 2.72 a | |
| 75 | 73.50 ± 1.25 | 42.58 ± 1.41 | 32.56 ± 1.89 c | |
| 100 | 100.00 ± 0.00 | 57.87 ± 1.74 | 45.16 ± 1.13 c | |
| 150 | 100.00 ± 0.00 | 81.20 ± 2.39 | 63.56 ± 1.85 c | |
| 200 | 100.00 ± 0.00 | 100.00 ± 0.00 | 80.17 ± 1.64 c | |
| IC50 | 51.03 ± 1.08 | 86.48 ± 2.26 | 110.78 ± 1.45 c | |
| B16 F10 (murine melanoma cell line) | 25 | 8.87 ± 2.57 | 8.05 ± 1.55 | 5.98 ± 1.28 |
| 50 | 15.92 ± 1.59 | 18.44 ± 2.18 | 14.49 ± 2.34 | |
| 75 | 53.75 ± 2.04 | 40.42 ± 1.67 | 32.13 ± 2.63 c | |
| 100 | 77.75 ± 2.21 | 54.79 ± 1.99 | 48.94 ± 2.06 c | |
| 150 | 100.00 ± 0.00 | 66.61 ± 2.03 | 59.30 ± 2.39 c | |
| 200 | 100.00 ± 0.00 | 78.10 ± 2.27 | 69.46 ± 2.17 c | |
| IC50 | 69.87 ± 1.65 | 91.38 ± 2.11 | 102.35 ± 2.27 c | |
| MCF-10A (non-canceours breast epithelial cell line) | 25 | 25.47 ± 2.47 | 15.73 ± 1.68 | 8.97 ± 1.61 a |
| 50 | 49.62 ± 2.06 | 39.49 ± 1.92 | 15.66 ± 1.99 c | |
| 75 | 84.32 ± 2.37 | 59.75 ± 2.31 | 22.90 ± 1.53 c | |
| 100 | 100.00 ± 0.00 | 75.14 ± 2.06 | 36.53 ± 1.76 c | |
| 150 | 100.00 ± 0.00 | 84.39 ± 1.63 | 46.82 ± 2.51 c | |
| 200 | 100.00 ± 0.00 | 100.00 ± 0.00 | 59.48 ± 2.28 c | |
| IC50 | 50.47 ± 1.92 | 62.86 ± 2.43 | 160.67 ± 2.79 c | |
| L929 (normal murine cell line) | 25 | 24.68 ± 1.94 | 18.64 ± 1.81 | 11.56 ± 2.23 b |
| 50 | 41.67 ± 2.25 | 36.67 ± 2.15 | 22.96 ± 1.56 c | |
| 75 | 73.79 ± 1.18 | 56.48 ± 1.38 | 37.10 ± 2.17 c | |
| 100 | 100.00 ± 0.00 | 74.44 ± 1.56 | 51.85 ± 2.24 c | |
| 150 | 100.00 ± 0.00 | 89.15 ± 1.92 | 61.06 ± 1.84 c | |
| 200 | 100.00 ± 0.00 | 100.00 ± 0.00 | 70.87 ± 2.07 c | |
| IC50 | 50.83 ± 1.41 | 66.43 ± 1.95 | 96.60 ± 1.98 c | |
| Cell Line | Cell Number/Well | Duration | Concentration Range | IC50 Value | Ref. |
|---|---|---|---|---|---|
| K562 | ~20,000 | 48 h | 25 to 200 µg/mL | 105.75 | Present work |
| HeLa | ~20,000 | 48 h | 25 to 200 µg/mL | 92.75 | |
| A549 | ~20,000 | 48 h | 25 to 200 µg/mL | 103.68 | |
| HepG2 | ~20,000 | 48 h | 25 to 200 µg/mL | 107.04 | |
| Caco-2 | ~20,000 | 48 h | 25 to 200 µg/mL | 110.78 | |
| B16F10 | ~20,000 | 48 h | 25 to 200 µg/mL | 102.35 | |
| MCF-10A | ~20,000 | 48 h | 25 to 200 µg/mL | 160.67 | |
| L929 | ~20,000 | 48 h | 25 to 200 µg/mL | 96.60 | |
| K562 | ~10,000 | 24 h | 1 to 500 µg/mL | 50 | [116] |
| K562 | ~20,000 | 24 h | 6.25 to 50 µg/mL | 19.50 | [117] |
| HeLa | ~100,000 | 24 h | 6.5 to 100 µg/mL | 47.58 | [118] |
| HeLa | ~10,000 | 24 h | 10 to 100 µg/mL | 56 | [90] |
| HeLa | ~10,000 | 24 h | 0.005 to 2.5 µL/mL | 1.98 | [119] |
| HeLa | ~5000 | 24 h | 0.5 to 10 µg/mL | 4.97 | [120] |
| A549 | ~100,000 | 24 h | 20 to 100 µg/mL | 76.90 | [121] |
| A549 | ~10,000 | 24 h | 1 to 100 µg/mL | 9.27 | [122] |
| A549 | ~20,000 | 24 h | 5 to 50 µg/mL | ~50 | [123] |
| HepG2 | ~7000 | 24 h | 31.25 to 1000 µg/mL | 32 | [124] |
| HepG2 | ~20,000 | 24 h | 2 to 200 µg/mL | 5.18 | [125] |
| HepG2 | ~5000 | 24 h | 10 to 50 µg/mL | 37.98 | [126] |
| HepG2 | ~5000 | 24 h | 0.5 to 10 µg/mL | 3.89 | [120] |
| Caco-2 | ~7000 | 24 h | 31.25 to 1000 µg/mL | 90 | [124] |
| Caco-2 | ~20,000 | 24 h | 12.5 to 200 µg/mL | 49.14 | [127] |
| Caco-2 | ~10,000 | 24 h | 10 to 100 µg/mL | 41.59 | [128] |
| B16F10 | ~20,000 | 48 h | 6.25 to 100 µg/mL | 20.2 | [129] |
| B16F10 | ~5000 | 24 h | 0.5 to 10 µg/mL | 3.29 | [120] |
| B16F10 | ~5000 | 24 h | 10 to 100 µg/mL | 36.63 | [130] |
| MCF-10A | ~10,000 | 48 h | 0.1 to 50 µg/mL | Not affected | [131] |
| MCF-10A | ~5000 | 48 h | 0.18 to 360 µg/mL | 57.97 | [132] |
| MCF-10A | ~5000 | 48 h | 0.14 to 288 µg/mL | 40.63 | [132] |
| L929 | ~10,000 | 24 h | 0.0156 to 1 mg/mL | >1 | [133] |
| L929 | ~100,000 | 24 h | 20 to 1000 µg/mL | ~750 | [134] |
| L929 | ~10,000 | 24 h | 0.0625 to 1 mg/mL | >1 | [135] |
| Concentration (µg/mL) | Number of Dead at (Mean) | Mortality Percentage (%; Mean ± SD) at | ||||||
|---|---|---|---|---|---|---|---|---|
| 24 h | 36 h | 48 h | 60 h | 24 h | 36 h | 48 h | 60 h | |
| PDC (Positive Control) | ||||||||
| Blank | 0 | 2 | 4 | 10 | 0.00 ± 0.00 | 0.0 ± 0.00 | 0.00 ± 0.00 | 0.00 ± 0.00 |
| 20 | 35 | 47 | 60 | 60 | 58.33 ± 1.70 | 78.33 ± 1.89 | 100.00 ± 0.00 | 100.00 ± 0.00 |
| 40 | 43 | 54 | 60 | 60 | 71.67 ± 1.25 | 90.00 ± 0.82 | 100.00 ± 0.00 | 100.00 ± 0.00 |
| 60 | 53 | 60 | 60 | 60 | 88.33 ± 1.25 | 100.00 ± 0.00 | 100.00 ± 0.00 | 100.00 ± 0.00 |
| 80 | 56 | 60 | 60 | 60 | 93.33 ± 0.94 | 100.00 ± 0.00 | 100.00 ± 0.00 | 100.00 ± 0.00 |
| 100 | 60 | 60 | 60 | 60 | 100.00 ± 0.00 | 100.00 ± 0.00 | 100.00 ± 0.00 | 100.00 ± 0.00 |
| ACCE (Negative Control) | ||||||||
| 20 | 1 | 5 | 18 | 42 | 1.67 ± 0.47 | 8.33 ± 1.25 | 30.00 ± 0.82 | 70.00 ± 1.41 |
| 40 | 3 | 9 | 26 | 50 | 5.00 ± 1.41 | 15.00 ± 0.82 | 43.33 ± 1.25 | 83.33 ± 1.25 |
| 60 | 6 | 12 | 32 | 51 | 10.00 ± 0.82 | 20.00 ± 0.82 | 53.33 ± 0.94 | 85.00 ± 0.82 |
| 80 | 8 | 16 | 46 | 60 | 13.33 ± 1.70 | 26.67 ± 1.25 | 76.76 ± 0.94 | 100.00 ± 0.00 |
| 100 | 12 | 19 | 50 | 60 | 20.00 ± 0.82 | 31.67 ± 1.25 | 83.33 ± 1.25 | 100.00 ± 0.00 |
| AgNPs (Sample) | ||||||||
| 20 | 1 | 4 | 7 | 17 | 1.67 ± 0.47 c | 6.67 ± 0.94 c | 11.67 ± 1.25 c | 28.33 ± 1.25 c |
| 40 | 2 | 7 | 13 | 22 | 3.33 ± 0.94 c | 11.67 ± 0.47 c | 21.67 ± 0.94 c | 36.67 ± 0.47 c |
| 60 | 5 | 9 | 14 | 23 | 8.33 ± 0.47 c | 15.00 ± 0.82 c | 23.33 ± 1.25 c | 38.33 ± 0.94 c |
| 80 | 5 | 11 | 17 | 26 | 8.33 ± 0.94 c | 18.33 ± 0.94 c | 28.33 ± 0.47 c | 43.33 ± 1.25 c |
| 100 | 7 | 17 | 23 | 28 | 11.67 ± 0.47 c | 28.33 ± 0.47 c | 38.33 ± 0.94 c | 46.67 ± 1.25 c |
| Source | Concentration Range | LC50 Value | Time | Ref. |
|---|---|---|---|---|
| C. citratus | 20 to 100 µg/mL | >100 | 60 h | Present work |
| Pandanus tectorius | 3 to 15 µg/mL | ~11 | 24 h | [118] |
| Elaeocarpus serratus | 3 to 15 µg/mL | ~12 | 24 h | [140] |
| Pandanus canaranus | 2 to 10 µg/mL | ~9 | 24 h | [121] |
| Caulerpa sertularioides | 25 to 200 µg/mL | ~150 | 48 h | [140] |
| Senna alexandrina | 5 to 30 µg/mL | <25 | 24 h | [141] |
| Osbeckia leschenaultiana | 20 to 100 µg/mL | 175.80 | 24 h | [142] |
| Cladophora fascicularis | 25 to 150 µg/mL | >150 | 72 h | [143] |
| Spondias pinnata | 20 to 320 µg/mL | ~30 | 24 h | [144] |
| Padina gymnospora | 10 to 150 µg/mL | 47.92 | 48 h | [145] |
| Ipomoea carnea | 100 to 2000 ng/mL | 1359.03 | 24 h | [146] |
Disclaimer/Publisher’s Note: The statements, opinions and data contained in all publications are solely those of the individual author(s) and contributor(s) and not of MDPI and/or the editor(s). MDPI and/or the editor(s) disclaim responsibility for any injury to people or property resulting from any ideas, methods, instructions or products referred to in the content. |
© 2025 by the authors. Licensee MDPI, Basel, Switzerland. This article is an open access article distributed under the terms and conditions of the Creative Commons Attribution (CC BY) license (https://creativecommons.org/licenses/by/4.0/).
Share and Cite
Kurra, H.; Velidandi, A.; Sarvepalli, M.; Pabbathi, N.P.P.; Godishala, V. Aqueous Cymbopogon citratus Extract Mediated Silver Nanoparticles: Part I. Influence of Synthesis Parameters, Characterization, and Biomedical Studies. Nanomaterials 2025, 15, 328. https://doi.org/10.3390/nano15050328
Kurra H, Velidandi A, Sarvepalli M, Pabbathi NPP, Godishala V. Aqueous Cymbopogon citratus Extract Mediated Silver Nanoparticles: Part I. Influence of Synthesis Parameters, Characterization, and Biomedical Studies. Nanomaterials. 2025; 15(5):328. https://doi.org/10.3390/nano15050328
Chicago/Turabian StyleKurra, Himabindu, Aditya Velidandi, Mounika Sarvepalli, Ninian Prem Prashanth Pabbathi, and Vikram Godishala. 2025. "Aqueous Cymbopogon citratus Extract Mediated Silver Nanoparticles: Part I. Influence of Synthesis Parameters, Characterization, and Biomedical Studies" Nanomaterials 15, no. 5: 328. https://doi.org/10.3390/nano15050328
APA StyleKurra, H., Velidandi, A., Sarvepalli, M., Pabbathi, N. P. P., & Godishala, V. (2025). Aqueous Cymbopogon citratus Extract Mediated Silver Nanoparticles: Part I. Influence of Synthesis Parameters, Characterization, and Biomedical Studies. Nanomaterials, 15(5), 328. https://doi.org/10.3390/nano15050328

