An Electroanalytical Enzymeless α-Fe2O3-ZnO Hybrid Nanostructure-Based Sensor for Sensitive Quantification of Nitrite Ions
Abstract
1. Introduction
2. Materials and Methods
2.1. Chemicals
2.2. α-Fe2O3-ZnO NR Hybrid Nanostructure Synthesis
2.3. Instrumentation
2.4. Nitrite Sensor Fabrication and Sensing Measurements
3. Results
3.1. Material Characterization
3.2. Electrochemical Properties of α-Fe2O3-ZnO NR Hybrid Nanostructure
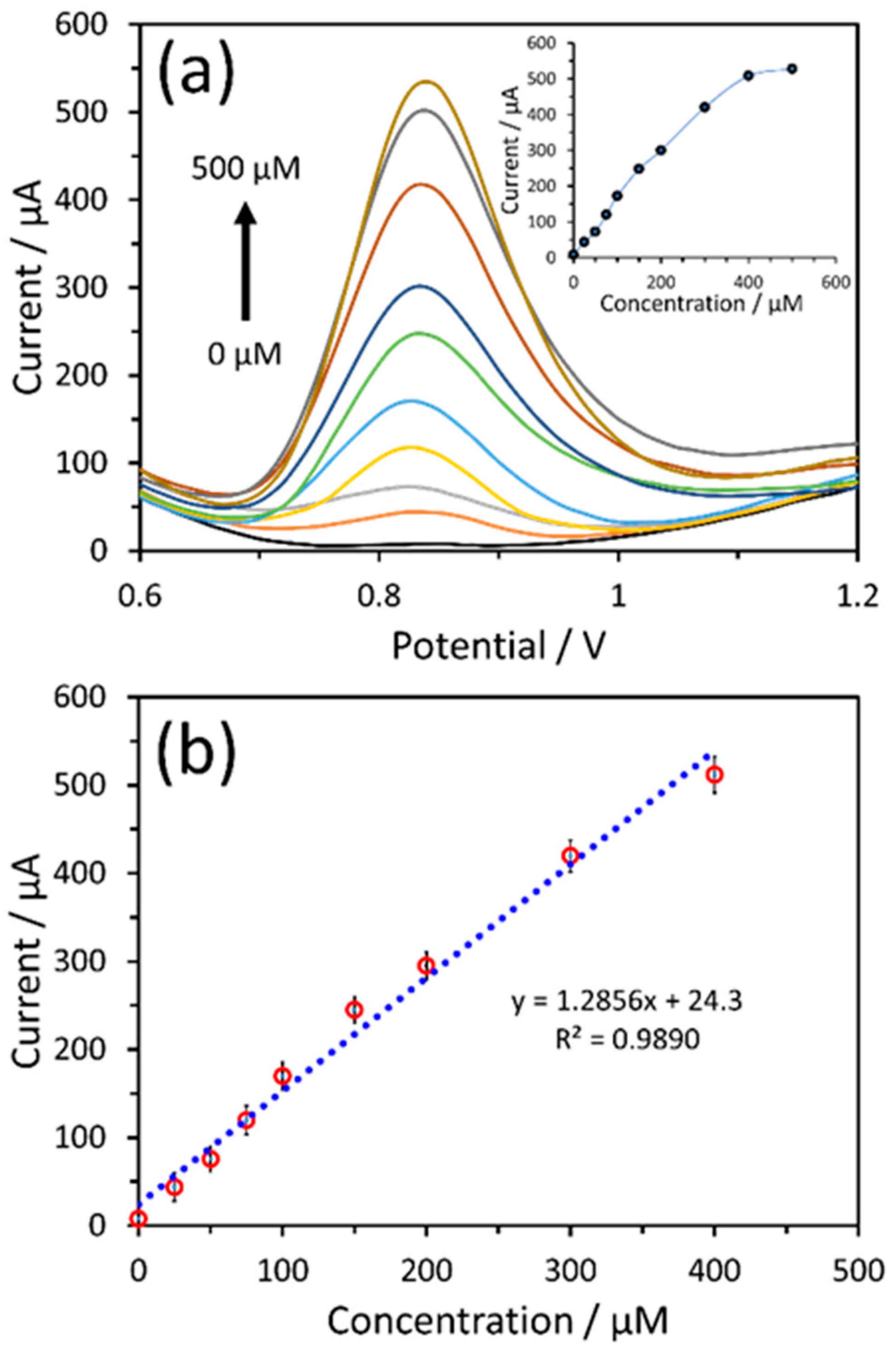
3.3. Electrochemical Determination of Nitrite Ions
3.4. Interference, Stability, and Reproducibility Studies
3.5. Nitrite Ion Quantification in Serum
4. Conclusions
Author Contributions
Funding
Data Availability Statement
Acknowledgments
Conflicts of Interest
References
- Yang, R.; Lin, Y.; Yang, J.; He, L.; Tian, Y.; Hou, X.; Zheng, C. Headspace Solid-Phase Microextraction Following Chemical Vapor Generation for Ultrasensitive, Matrix Effect-Free Detection of Nitrite by Microplasma Optical Emission Spectrometry. Anal. Chem. 2021, 93, 6972. [Google Scholar] [CrossRef] [PubMed]
- Chen, Z.; Zhang, Z.; Qu, C.; Pan, D.; Chen, L. Highly Sensitive Label-Free Colorimetric Sensing of Nitrite Based on Etching of Gold Nanorods. Analyst 2012, 137, 5197. [Google Scholar] [CrossRef] [PubMed]
- Larsson, S.C.; Bergkvist, L.; Wolk, A. Processed Meat Consumption, Dietary Nitrosamines and Stomach Cancer Risk in a Cohort of Swedish Women. Int. J. Cancer 2006, 119, 915–919. [Google Scholar] [CrossRef] [PubMed]
- Beard, J.C.; Swager, T.M. An Organic Chemist’s Guide to N-Nitrosamines: Their Structure, Reactivity, and Role as Contaminants. J. Organic Chem. 2021, 86, 2037–2057. [Google Scholar] [CrossRef] [PubMed]
- Singh, P.; Singh, M.K.; Beg, Y.R.; Nishad, G.R. A Review on Spectroscopic Methods for Determination of Nitrite and Nitrate in Environmental Samples. Talanta 2019, 191, 364–381. [Google Scholar] [CrossRef] [PubMed]
- Lim, H.S.; Lee, S.J.; Choi, E.; Lee, S.B.; Nam, H.S.; Lee, J.K. Development and Validation of An Ionic Chromatography Method for Nitrite Determination in Processed Foods and Estimation of Daily Nitrite Intake in Korea. Food Chem. 2022, 382, 132280. [Google Scholar] [CrossRef] [PubMed]
- Cai, Y.; Zhou, H.; Li, W.; Yao, C.; Wang, J.; Zhao, Y. A Chemiluminescence Method Induced by Microplasma Jet for Nitrites Detection and the Miniature Detection System Using Smartphone. Anal. Chim. Acta 2023, 1267, 341339. [Google Scholar] [CrossRef] [PubMed]
- Kamilova, N.; Kalaycıoğlu, Z.; Gölcü, A. Sample Stacking–Capillary Electrophoretic Analysis of Nitrate and Nitrite in Organic- and Conventional-Originated Baby Food Formulas from Turkey. ACS Omega 2023, 8, 5097–5102. [Google Scholar] [CrossRef]
- Croitoru, M.D. Nitrite and Nitrate can be Accurately Measured in Samples of Vegetal and Animal Origin Using an HPLC-UV/VIS Technique. J. Chromatogr. B 2012, 911, 154–161. [Google Scholar] [CrossRef] [PubMed]
- Zhang, Q.; Wang, Y.; Song, A.; Yang, X.; Yin, D.; Shen, L. Advancements in Fluorescent Probes for Nitrite Sensing: A Review. J. Mol. Struct. 2024, 1296, 136926. [Google Scholar] [CrossRef]
- Jiang, C.; He, Y.; Liu, Y. Recent Advances in Sensors for Electrochemical Analysis of Nitrate in Food and Environmental Matrices. Analyst 2020, 145, 5400–5413. [Google Scholar] [CrossRef] [PubMed]
- Barhoum, A.; Hamimed, S.; Slimi, H.; Othmani, A.; Abdel-Haleem, F.M.; Bechelany, M. Modern Designs of Electrochemical Sensor Platforms for Environmental Analyses: Principles, Nanofabrication Opportunities, and Challenges. Trends Environ. Anal. Chem. 2023, 38, e00199. [Google Scholar] [CrossRef]
- Kilic, N.M.; Singh, S.; Keles, G.; Cinti, S.; Kurbanoglu, S.; Odaci, D. Novel Approaches to Enzyme-Based Electrochemical Nanobiosensors. Biosensors 2023, 13, 622. [Google Scholar] [CrossRef] [PubMed]
- Nemati, S.S.; Dehghan, G.; Rashtbari, S.; Tan, T.N.; Khataee, A. Enzyme-Based and Enzyme-Free Metal-Based Glucose Biosensors: Classification and Recent Advances. Microchem. J. 2023, 193, 109038. [Google Scholar] [CrossRef]
- Wang, M.; Liu, H.; Fan, K. Signal Amplification Strategy Design in Nanozyme-Based Biosensors for Highly Sensitive Detection of Trace Biomarkers. Small Methods 2023, 7, 2301049. [Google Scholar] [CrossRef] [PubMed]
- Fahemi, N.; Angizi, S.; Hatamie, A. Integration of Ultrathin Bubble Walls and Electrochemistry: Innovation in Microsensing for Forensic Nitrite Detection and Microscale Metallic Film Deposition. Anal. Chem. 2024, 96, 2920–2928. [Google Scholar] [CrossRef] [PubMed]
- Kader, M.A.; Azmi, N.S.; Kafi, A.K.M. Recent Advances in Gold Nanoparticles Modified Electrodes in Electrochemical Nonenzymatic Sensing of Chemical and Biological Compounds. Inorg. Chem. Commun. 2023, 153, 110767. [Google Scholar] [CrossRef]
- Zhao, Y.; Liu, W.; Pang, X.; Dai, X.; Gao, F.; Liu, Y.; Wang, Q. Electroactivated Fullerol-Gold Nanocluster@Histidine Nanocomposite for Nitrite Sensing with Wide Linear Range and Ultralow Detection Limit. Diam. Relat. Mater. 2023, 136, 109874. [Google Scholar] [CrossRef]
- Revathy, R.; Sajini, T.; Augustine, C.; Joseph, N. Iron-Based Magnetic Nanomaterials: Sustainable Approaches of Synthesis and Applications. Results Eng. 2023, 18, 101114. [Google Scholar] [CrossRef]
- Chauhan, A.; Rana, G.; Dutta, V.; Kumari, A.; Rao, S.K.; Subbarayan, R.; Ravi, K.; Selvaraj, S.; Ghotekar, S. Recent Trends in Phyto-Mediated Iron-Based Nanomaterials for Environmental Remediation and Biomedical Applications. Inorg. Chem. Commun. 2024, 160, 111976. [Google Scholar] [CrossRef]
- Fu, R.; Ma, Z.; Zhao, H.; Jin, H.; Tang, Y.; He, T.; Ding, Y.; Zhang, J.; Ye, D. Research Progress in Iron-Based Nanozymes: Catalytic Mechanisms, Classification, and Biomedical Applications. Anal. Chem. 2023, 95, 10844–10858. [Google Scholar] [CrossRef]
- Uzunoğlu, D.; Özer, A. Colorimetric Detection of H2O2 by Peroxidase-Like Catalyst Iron-Based Nanoparticles Synthesized by Using Hyperaccumulator Plant-Derived Metal Solution. J. Environ. Chem. Eng. 2023, 11, 109159. [Google Scholar] [CrossRef]
- Teng, Z.; Zhao, X.; Yuan, J.; Li, M.; Li, T. Phosphate Functionalized Iron Based Nanomaterials Coupled with Phosphate Solubilizing Bacteria as An Efficient Remediation System to Enhance Lead Passivation in Soil. J. Hazard. Mater. 2021, 419, 126433. [Google Scholar] [CrossRef]
- Alphandéry, E. Light-Interacting Iron-Based Nanomaterials for Localized Cancer Detection and Treatment. Acta Biomater. 2021, 124, 50–71. [Google Scholar] [CrossRef]
- Das, T.K.; Bezbaruah, A.N. Comparative Study of Arsenic Removal by Iron-Based Nanomaterials: Potential Candidates for Field Applications. Sci. Total Environ. 2021, 764, 142914. [Google Scholar] [CrossRef]
- Shoorangiz, M.; Shariatifard, L.; Roshan, H.; Mirzaei, A. Selective Ethanol Sensor Based on α-Fe2O3 Nanoparticles. Inorg. Chem. Commun. 2021, 133, 108961. [Google Scholar] [CrossRef]
- Wang, H.; Luo, Y.; Li, K.; Liu, B.; Gao, L.; Duan, G. Porous α-Fe2O3 Gas Sensor with Instantaneous Attenuated Response Toward Triethylamine and Its Reaction Kinetics. Chem. Eng. J. 2022, 427, 131631. [Google Scholar] [CrossRef]
- Zhu, L.-Y.; Yuan, K.; Li, Z.-C.; Miao, X.-Y.; Wang, J.-C.; Sun, S.; Devi, A.; Lu, H.-L. Highly Sensitive and Stable MEMS Acetone Sensors Based on Well-Designed α-Fe2O3/C Mesoporous Nanorods. J. Colloid Interface Sci. 2022, 622, 156–168. [Google Scholar] [CrossRef]
- Reddy, K.K.; Bandal, H.; Satyanarayana, M.; Goud, K.Y.; Gobi, K.V.; Jayaramudu, T.; Amalraj, J.; Kim, H. Recent Trends in Electrochemical Sensors for Vital Biomedical Markers Using Hybrid Nanostructured Materials. Adv. Sci. 2020, 7, 1902980. [Google Scholar] [CrossRef]
- Noruozi, A.; Nezamzadeh-Ejhieh, A. Preparation, Characterization, and Investigation of the Catalytic Property of α-Fe2O3-ZnO Nanoparticles in the Photodegradation and Mineralization of Methylene Blue. Chem. Phys. Lett. 2020, 752, 137587. [Google Scholar] [CrossRef]
- Mohamed, R.M.; Ismail, A.A. Mesoporous α-Fe2O3/ZnO Heterojunction with a Synergistic Effect for Rapid and Efficient Reduction of Mercury Ions. Sep. Purif. Technol. 2021, 266, 118360. [Google Scholar] [CrossRef]
- Ahmad, R.; Ahn, M.-S.; Hahn, Y.-B. Fabrication of a Non-Enzymatic Glucose Sensor Field-Effect Transistor Based on Vertically-Oriented ZnO Nanorods Modified with Fe2O3. Electrochem. Commun. 2017, 77, 107–111. [Google Scholar] [CrossRef]
- Khan, M.; Nagal, V.; Masrat, S.; Tuba, T.; Tripathy, N.; Parvez, M.K.; Al-Dosari, M.S.; Khosla, A.; Furukawa, H.; Hafiz, A.K.; et al. Wide-Linear Range Cholesterol Detection Using Fe2O3 Nanoparticles Decorated ZnO Nanorods Based Electrolyte-Gated Transistor. J. Electrochem. Soc. 2022, 169, 027512. [Google Scholar] [CrossRef]
- Ahn, M.-S.; Ahmad, R.; Bhat, K.S.; Yoo, J.-Y.; Mahmoudi, T.; Hahn, Y.-B. Fabrication of a Solution-Gated Transistor Based on Valinomycin Modified Iron Oxide Nanoparticles Decorated Zinc Oxide Nanorods for Potassium Detection. J. Colloid Interface Sci. 2018, 518, 277–283. [Google Scholar] [CrossRef] [PubMed]
- Ahmad, R.; Majhi, S.M.; Zhang, X.; Swager, T.M.; Salama, K.N. Recent Progress and Perspectives of Gas Sensors Based on Vertically Oriented ZnO Nanomaterials. Adv. Colloid Interface Sci. 2019, 270, 1–27. [Google Scholar] [CrossRef] [PubMed]
- Krishna, M.S.; Singh, S.; Batool, M.; Fahmy, H.M.; Seku, K.; Shalan, A.E.; Lanceros-Mendez, S.; Zafar, M.N. A Review on 2D-ZnO Nanostructure Based Biosensors: From Materials to Devices. Mater. Adv. 2023, 4, 320–354. [Google Scholar] [CrossRef]
- Bhat, K.S.; Ahmad, R.; Mahmoudi, T.; Hahn, Y.-B. High Performance Chemical Sensor with Field-Effect Transistors Array for Selective Detection of Multiple Ions. Chem. Eng. J. 2021, 417, 128064. [Google Scholar] [CrossRef]
- Brasiunas, B.; Popov, A.; Lisyte, V.; Kausaite-Minkstimiene, A.; Ramanaviciene, A. ZnO Nanostructures: A Promising Frontier in Immunosensor Development. Biosens. Bioelectron. 2024, 246, 115848. [Google Scholar] [CrossRef]
- Beitollahi, H.; Tajik, S.; Nejad, F.G.; Safaei, M. Recent Advances in ZnO Nanostructure-Based Electrochemical Sensors and Biosensors. J. Mater. Chem. B 2020, 8, 5826–5844. [Google Scholar] [CrossRef] [PubMed]
- Ahmad, R.; Ahn, M.-S.; Hahn, Y.-B. A Highly Sensitive Nonenzymatic Sensor Based on Fe2O3 Nanoparticle Coated ZnO Nanorods for Electrochemical Detection of Nitrite. Adv. Mater. Interfaces 2017, 4, 1700691. [Google Scholar] [CrossRef]
- Ma, Y.; Song, X.; Ge, X.; Zhang, H.; Wang, G.; Zhang, Y.; Zhao, H. In Situ Growth of α-Fe2O3 Nanorod Arrays on 3D Carbon Foam as An Efficient Binder-Free Electrode for Highly Sensitive and Specific Determination of Nitrite. J. Mater. Chem. A 2017, 5, 4726–4736. [Google Scholar] [CrossRef]
- Riahifar, V.; Haghnazari, N.; Keshavarzi, F.; Nasri, F. Design A High Sensitive Electrochemical Sensor Based on Immobilized Cysteine on Fe3O4@Au Core-Shell Nanoparticles and Reduced Graphene Oxide Nanocomposite for Nitrite Monitoring. Microchem. J. 2021, 166, 106217. [Google Scholar] [CrossRef]
- Ahmad, R.; Tripathy, N.; Park, J.-H.; Hahn, Y.-B. A Comprehensive Biosensor Integrated with a ZnO Nanorod FET Array for Selective Detection of Glucose, Cholesterol and Urea. Chem. Commun. 2015, 51, 11968–11971. [Google Scholar] [CrossRef] [PubMed]
- Kumar, S.; Kumar, A.; Malhotra, T.; Verma, S. Characterization of Structural, Optical and Photocatalytic Properties of Silver Modified Hematite (α-Fe2O3) Nanocatalyst. J. Alloys Compd. 2022, 904, 164006. [Google Scholar] [CrossRef]
- Yamashita, T.; Hayes, P. Analysis of XPS Spectra of Fe2+ and Fe3+ Ions in Oxide Materials. Appl. Surf. Sci. 2008, 254, 2441–2449. [Google Scholar] [CrossRef]
- Ahmad, R.; Tripathy, N.; Ahn, M.S.; Bhat, K.S.; Mahmoudi, T.; Wang, Y.; Yoo, J.-Y.; Kwon, D.-W.; Yang, H.-Y.; Hahn, Y.-B. Highly Efficient Non-Enzymatic Glucose Sensor Based on CuO Modified Vertically-Grown ZnO Nanorods on Electrode. Sci. Rep. 2017, 7, 5715. [Google Scholar] [CrossRef]
- Claros, M.; Setka, M.; Jimenez, Y.P.; Vallejos, S. AACVD Synthesis and Characterization of Iron and Copper Oxides Modified ZnO Structured Films. Nanomaterials 2020, 10, 471. [Google Scholar] [CrossRef] [PubMed]
- Chen, Y.; Liu, Y.; Zhai, W.; Liu, H.; Sakthivel, T.; Guo, S.; Dai, Z. Metastabilizing the Ruthenium Clusters by Interfacial Oxygen Vacancies for Boosted Water Splitting Electrocatalysis. Adv. Energy Mater. 2024, 2400059. [Google Scholar] [CrossRef]
- Xi, R.; Zhang, S.-H.; Zhang, L.; Wang, C.; Wang, L.-J.; Yan, J.-H.; Pan, G.-B. Electrodeposition of Pd-Pt Nanocomposites on Porous GaN for Electrochemical Nitrite Sensing. Sensors 2019, 19, 606. [Google Scholar] [CrossRef] [PubMed]
- Wang, X.; Li, M.; Yang, S.; Shan, J. A Novel Electrochemical Sensor Based on TiO2-Ti3C2TX/CTAB/Chitosan Composite for the Detection of Nitrite. Electrochim. Acta 2020, 359, 136938. [Google Scholar] [CrossRef]
- Yang, J.-H.; Yang, H.; Liu, S.; Mao, L. Microwave-Assisted Synthesis Graphite-Supported Pd Nanoparticles for Detection of Nitrite. Sens. Actuators B Chem. 2015, 220, 652–658. [Google Scholar] [CrossRef]
- Yang, W.; Bai, Y.; Li, Y.; Sun, C. Amperometric Nitrite Sensor Based on Hemoglobin/Colloidal Gold Nanoparticles Immobilized on a Glassy Carbon Electrode by a Titania Sol-Gel Film. Anal. Bioanal. Chem. 2005, 382, 44–50. [Google Scholar] [CrossRef] [PubMed]
- Ghanei-Motlagh, M.; Taher, M.A. A Novel Electrochemical Sensor Based on Silver/Halloysite Nanotube/Molybdenum Disulfide Nanocomposite for Efficient Nitrite Sensing. Biosens. Bioelectron. 2018, 109, 279–285. [Google Scholar] [CrossRef] [PubMed]
- Pham, X.-H.; Li, C.A.; Han, K.N.; Huynh-Nguyen, B.-C.; Le, T.-H.; Ko, E.; Kim, J.H.; Seong, G.H. Electrochemical Detection of Nitrite Using Urchin-Like Palladium Nanostructures on Carbon Nanotube Thin Film Electrodes. Sens. Actuators B Chem. 2014, 193, 815–822. [Google Scholar] [CrossRef]
- Zou, H.L.; Li, B.L.; Luo, H.Q.; Li, N.B. 0D-2D Heterostructures of Au Nanoparticles and Layered MoS2 for Simultaneous Detections of Dopamine, Ascorbic Acid, Uric Acid, and Nitrite. Sens. Actuators B Chem. 2017, 253, 352–360. [Google Scholar] [CrossRef]
- Wang, T.; Xu, X.; Wang, C.; Li, Z.; Li, D. A Novel Highly Sensitive Electrochemical Nitrite Sensor Based on a AuNPs/CS/Ti3C2 Nanocomposite. Nanomaterials 2022, 12, 397. [Google Scholar] [CrossRef] [PubMed]
- Chen, G.; Zheng, J. Non-Enzymatic Electrochemical Sensor for Nitrite Based on a Graphene Oxide-Polyaniline-Au Nanoparticles Nanocomposite. Microchem. J. 2021, 164, 106034. [Google Scholar] [CrossRef]
- Asiri, A.M.; Adeosun, W.A.; Rahman, M.M. Development of Highly Efficient Non-Enzymatic Nitrite Sensor Using La2CuO4 Nanoparticles. Microchem. J. 2020, 159, 105527. [Google Scholar] [CrossRef]
- Gurban, A.-M.; Zamfir, L.-G.; Epure, P.; Șuică-Bunghez, I.-R.; Senin, R.M.; Jecu, M.-L.; Jinga, M.L.; Doni, M. Flexible Miniaturized Electrochemical Sensors Based on Multiwalled Carbon Nanotube-Chitosan Nanomaterial for Determination of Nitrite in Soil Solutions. Chemosensors 2023, 11, 224. [Google Scholar] [CrossRef]
- Gaikwad, R.; Thangaraj, P.R.; Sen, A.K. Microfluidics-Based Rapid Measurement of Nitrite in Human Blood Plasma. Analyst 2022, 147, 3370–3382. [Google Scholar] [CrossRef]
- Raucci, A.; Miglione, A.; Cimmino, W.; Cioffi, A.; Singh, S.; Spinelli, M.; Amoresano, A.; Musile, G.; Cinti, S. Technical Evaluation of a Paper-Based Electrochemical Strip to Measure Nitrite Ions in the Forensic Field. ACS Meas. Sci. Au 2024, 4, 136–143. [Google Scholar] [CrossRef] [PubMed]









| Nitrite Sensor | Detection Method | Sensitivity (µA µM−1 cm−2) | Linear Range (µM) | Detection Limit (µM) | Ref. |
|---|---|---|---|---|---|
| Pd-Pt/PGaN | Amperometry | 0.15 | 1–300 | 0.95 | [49] |
| TiO2-Ti3C2TX-CTAB-CS/GCE | DPV | - | 3–250 | 0.85 | [50] |
| Pd-Grp/GCE | Amperometry | 0.29 | 0.3–50.7 | 0.071 | [51] |
| Hb-Au NPs-TiO2/GCE | Amperometry | - | 4–350 | 1.2 | [52] |
| Ag-HNT-MoS2/SPCE | Amperometry | 0.0899 | 2–425 | 0.7 | [53] |
| Pd NPs-SWCNT/PET | DPV | 0.417 | 2–238 | 0.25 | [54] |
| Au NPs-MoS2-NSs/GCE | DPV | - | 5–260 | 0.5 | [55] |
| Au NPs-CS-MXene/GCE | Amperometry | 0.5178 | 0.5–335.5 | 0.069 | [56] |
| GO-PANI-Au NPs/GCE | Amperometry | - | 0.5–240 | 0.17 | [57] |
| La2CuO4 NPs/GCE | DPV | 0.317 | 0.05–25 | 0.00262 | [58] |
| MWCNT-CS/SPE | Amperometry | 0.2044 | Up to 1700 | 2.3 | [59] |
| α-Fe2O3-ZnO NR/SPCE | DPV | 18.10 | 0–400 | 0.16 | This work |
| Sample | Nitrite Concentration (μM) | Nitrite Added (μM) | Detection with DPV Method (μM) | Detection with Ion Chromatography (μM) | Accordance (%) * |
|---|---|---|---|---|---|
| Human serum | 1.0 | 0 | 0.96 | 1.0 | 96 |
| 1.0 | 50 | 50.2 | 50.8 | 98.8 | |
| 1.0 | 100 | 101.5 | 100.6 | 100.9 | |
| 1.0 | 200 | 192 | 198 | 96.9 | |
| 1.0 | 300 | 289 | 296 | 97.6 | |
| 1.0 | 400 | 374 | 392 | 95.4 |
Disclaimer/Publisher’s Note: The statements, opinions and data contained in all publications are solely those of the individual author(s) and contributor(s) and not of MDPI and/or the editor(s). MDPI and/or the editor(s) disclaim responsibility for any injury to people or property resulting from any ideas, methods, instructions or products referred to in the content. |
© 2024 by the authors. Licensee MDPI, Basel, Switzerland. This article is an open access article distributed under the terms and conditions of the Creative Commons Attribution (CC BY) license (https://creativecommons.org/licenses/by/4.0/).
Share and Cite
Ahmad, R.; Abdullah; Rehman, M.T.; AlAjmi, M.F.; Alam, S.; Bhat, K.S.; Mishra, P.; Lee, B.-I. An Electroanalytical Enzymeless α-Fe2O3-ZnO Hybrid Nanostructure-Based Sensor for Sensitive Quantification of Nitrite Ions. Nanomaterials 2024, 14, 706. https://doi.org/10.3390/nano14080706
Ahmad R, Abdullah, Rehman MT, AlAjmi MF, Alam S, Bhat KS, Mishra P, Lee B-I. An Electroanalytical Enzymeless α-Fe2O3-ZnO Hybrid Nanostructure-Based Sensor for Sensitive Quantification of Nitrite Ions. Nanomaterials. 2024; 14(8):706. https://doi.org/10.3390/nano14080706
Chicago/Turabian StyleAhmad, Rafiq, Abdullah, Md. Tabish Rehman, Mohamed F. AlAjmi, Shamshad Alam, Kiesar Sideeq Bhat, Prabhash Mishra, and Byeong-Il Lee. 2024. "An Electroanalytical Enzymeless α-Fe2O3-ZnO Hybrid Nanostructure-Based Sensor for Sensitive Quantification of Nitrite Ions" Nanomaterials 14, no. 8: 706. https://doi.org/10.3390/nano14080706
APA StyleAhmad, R., Abdullah, Rehman, M. T., AlAjmi, M. F., Alam, S., Bhat, K. S., Mishra, P., & Lee, B.-I. (2024). An Electroanalytical Enzymeless α-Fe2O3-ZnO Hybrid Nanostructure-Based Sensor for Sensitive Quantification of Nitrite Ions. Nanomaterials, 14(8), 706. https://doi.org/10.3390/nano14080706

