Oxygenated VOC Detection Using SnO2 Nanoparticles with Uniformly Dispersed Bi2O3
Abstract
1. Introduction
2. Materials and Methods
2.1. Materials Synthesis
2.2. Material Characterization
2.3. Sensor Fabrication and Measurement
3. Results and Discussion
3.1. Materials Characteristics
3.2. Gas Sensing Properties
3.3. Catalytic Combustion Measurement
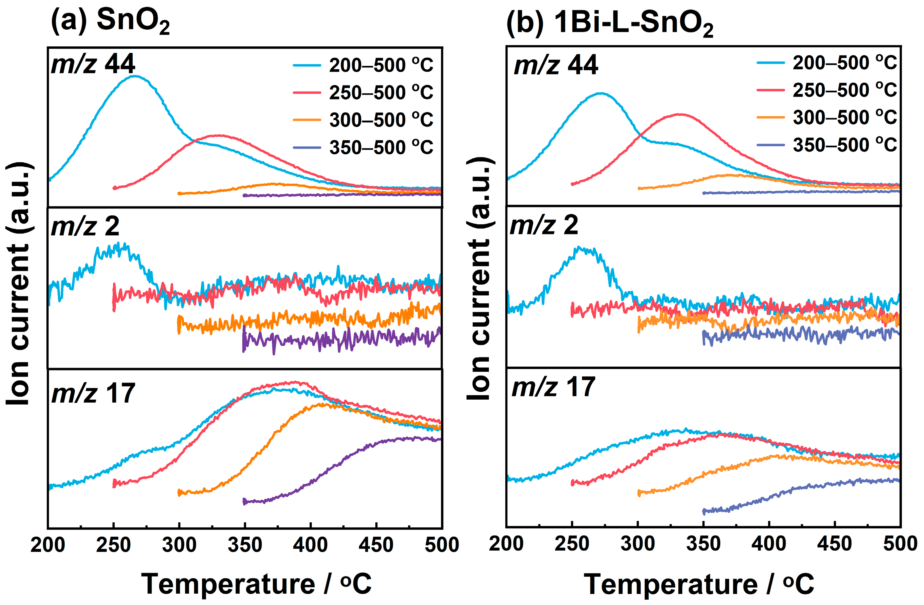
3.4. TPD and TPR Measurements
3.5. Sensing Mechanism
4. Conclusions
Supplementary Materials
Author Contributions
Funding
Data Availability Statement
Acknowledgments
Conflicts of Interest
References
- Wang, W.; Yan, Y.; Fang, H.; Li, J.; Zha, S.; Wu, T. Volatile organic compound emissions from typical industries: Implications for the importance of oxygenated volatile organic compounds. Atmos. Pollut. Res. 2023, 14, 101640. [Google Scholar] [CrossRef]
- Gilman, J.B.; Lerner, B.M.; Kuster, W.C.; Goldan, P.D.; Warneke, C.; Veres, P.R.; Roberts, J.M.; Gouw, J.A.; Burling, I.R.; Yokelson, R.J. Biomass burning emissions and potential air quality impacts of volatile organic compounds and other trace gases from fuels common in the US. Atmos. Chem. Phys. 2015, 15, 13915–13938. [Google Scholar] [CrossRef]
- Mellouki, A.; Wallington, T.J.; Chen, J. Atmospheric chemistry of oxygenated volatile organic compounds: Impacts on air quality and climate. Chem. Rev. 2015, 115, 3984–4014. [Google Scholar] [CrossRef]
- Ran, L.; Zhao, C.S.; Xu, W.Y.; Lu, X.Q.; Han, M.; Lin, W.L.; Yan, P.; Xu, X.B.; Deng, Z.Z.; Ma, N.; et al. VOC reactivity and its effect on ozone production during the HaChi summer campaign. Atmos. Chem. Phys. 2011, 11, 4657–4667. [Google Scholar] [CrossRef]
- Wang, F.; Ho, S.S.H.; Man, C.L.; Qu, L.; Wang, Z.; Ning, Z.; Ho, K.F. Characteristics and sources of oxygenated VOCs in Hong Kong: Implications for ozone formation. Sci. Total Environ. 2024, 912, 169156. [Google Scholar] [CrossRef] [PubMed]
- Matheus, C.R.V.; Aguiar, E.F.S. The role of MPV reaction in the synthesis of propene from ethanol through the acetone route. Catal. Commun. 2020, 145, 106096. [Google Scholar] [CrossRef]
- Sun, Y.; Zhang, X.; Li, N.; Xing, X.; Yang, H.; Zhang, F.; Cheng, J.; Zhang, Z.; Hao, Z. Surface properties enhanced MnxAlO oxide catalysts derived from MnxAl layered double hydroxides for acetone catalytic oxidation at low temperature. Appl. Catal. B-Environ. Energy 2019, 251, 295–304. [Google Scholar] [CrossRef]
- Lee, J.; Jung, Y.; Sung, S.H.; Lee, G.; Kim, J.; Seong, J.; Shim, Y.S.; Jun, S.C.; Jeon, S. High-performance gas sensor array for indoor air quality monitoring: The role of Au nanoparticles on WO3, SnO2, and NiO-based gas sensors. J. Mater. Chem. A 2021, 9, 1159–1167. [Google Scholar] [CrossRef]
- Li, C.; Kim, K.; Fuchigami, T.; Asaka, T.; Kakimoto, K.I.; Masuda, Y. Acetone gas sensor based on Nb2O5@SnO2 hybrid structure with high selectivity and ppt-level sensitivity. Sens. Actuators B Chem. 2023, 393, 134144. [Google Scholar] [CrossRef]
- Sui, N.; Zhang, P.; Zhou, T.T.; Zhang, T. Selective ppb-level ozone gas sensor based on hierarchical branch-like In2O3 nanostructure. Sens. Actuators B Chem. 2021, 336, 129612. [Google Scholar] [CrossRef]
- Xu, H.; Gong, Z.X.; Huo, L.Z.; Guo, C.F.; Yang, X.J.; Wang, Y.X.; Luo, X.P. Zinc Oxide-Loaded Cellulose-Based Carbon Gas Sensor for Selective Detection of Ammonia. Nanomaterials 2023, 13, 3151. [Google Scholar] [CrossRef] [PubMed]
- Suematsu, K.; Harano, W.; Yamasaki, S.; Watanabe, K.; Shimanoe, K. One-trillionth level toluene detection using a dual-designed semiconductor gas sensor: Material and sensor-driven designs. ACS Appl. Electron. Mater. 2020, 2, 4122–4126. [Google Scholar] [CrossRef]
- Maekawa, T.; Tamaki, J.; Miura, N.; Yamazoe, N.; Matsushima, S. Development of SnO2-based ethanol gas sensor. Sens. Actuators B Chem. 1992, 9, 63–69. [Google Scholar] [CrossRef]
- Ren, H.; Zhao, W.; Wang, L.; Ryu, S.O.; Gu, C. Preparation of porous flower-like SnO2 micro/nano structures and their enhanced gas sensing property. J. Alloys Compd. 2015, 653, 611–618. [Google Scholar] [CrossRef]
- Zhang, S.; Pu, Y.; Cao, S.; Zhu, D. SnO2 nanoparticles derived from metal–organic precursors as an acetaldehyde gas sensor with ppb-level detection limit. ACS Appl. Nano Mater. 2023, 6, 13177–13187. [Google Scholar] [CrossRef]
- Suematsu, K.; Hiroyama, Y.; Watanabe, K.; Shimanoe, K. Amplifying the receptor function on Ba0.9La0.1FeO3-SnO2 composite particle surface for high sensitivity toward ethanol gas sensing. Sens. Actuators B Chem. 2022, 354, 131256. [Google Scholar] [CrossRef]
- Zhu, X.; Cao, P.; Li, P.; Yu, Y.; Guo, R.; Li, Y.; Yang, H. Bimetallic PtAu-Decorated SnO2 Nanospheres Exhibiting Enhanced Gas Sensitivity for Ppb-Level Acetone Detection. Nanomaterials 2024, 14, 1097. [Google Scholar] [CrossRef]
- Zong, S.; Zhang, Y.; Cao, J.; Qin, C.; Bala, H.; Wang, Y. Hydrothermal Synthesis of SnO2 with Different Morphologies as Sensing Materials for HCHO Detection. Langmuir 2024, 40, 10814–10824. [Google Scholar] [CrossRef]
- Jinkawa, T.; Sakai, G.; Tamaki, J.; Miura, N.; Yamazoe, N. Relationship between ethanol gas sensitivity and surface catalytic property of tin oxide sensors modified with acidic or basic oxides. J. Mol. Catal. A-Chem. 2000, 155, 193–200. [Google Scholar] [CrossRef]
- Torai, S.; Ueda, T.; Kamada, K.; Hyodo, T.; Shimizu, Y. Effects of addition of CuxO to porous SnO2 microspheres prepared by ultrasonic spray pyrolysis on sensing properties to volatile organic compounds. Chemosensors 2023, 11, 59. [Google Scholar] [CrossRef]
- Kumar, A.; Mukasyan, A.S.; Wolf, E.E. Combustion synthesis of Ni, Fe and Cu multi-component catalysts for hydrogen production from ethanol reforming. Appl. Catal. A-Gen. 2011, 401, 20–28. [Google Scholar] [CrossRef]
- Suematsu, K.; Ma, N.; Yuasa, M.; Kida, T.; Shimanoe, K. Surface-modification of SnO2 nanoparticles by incorporation of Al for the detection of combustible gases in a humid atmosphere. RSC Adv. 2015, 5, 86347–86354. [Google Scholar] [CrossRef]
- Suematsu, K.; Shin, Y.; Ma, N.; Oyama, T.; Sasaki, M.; Yuasa, M.; Kida, T.; Shimanoe, K. Pulse-driven micro gas sensor fitted with clustered Pd/SnO2 nanoparticles. Anal. Chem. 2015, 87, 8407–8415. [Google Scholar] [CrossRef] [PubMed]
- Zhang, H.; Guo, S.; Zheng, W.; Wang, H.; Li, H.Y.; Yu, M.H.; Chang, Z.; Bu, X.H.; Liu, H. Facile engineering of metal–organic framework derived SnO2-ZnO composite based gas sensor toward superior acetone sensing performance. Chem. Eng. J. 2023, 469, 143927. [Google Scholar] [CrossRef]
- Dong, Z.M.; Xia, Q.; Ren, H.; Shang, X.; Lu, X.; Joo, S.W.; Huang, J. Preparation of hollow SnO2/ZnO cubes for the high-performance detection of VOCs. Ceram. Int. 2023, 49, 4650–4658. [Google Scholar] [CrossRef]
- Acharyya, S.; Bhowmick, P.K.; Guha, P.K. Selective identification and quantification of VOCs using metal nanoparticles decorated SnO2 hollow-spheres based sensor array and machine learning. J. Alloys Compd. 2023, 968, 171891. [Google Scholar] [CrossRef]
- Niwa, M.; Igarashi, J.Y. Role of the solid acidity on the MoO3 loaded on SnO2 in the methanol oxidation into formaldehyde. Catal. Today 1999, 52, 71–81. [Google Scholar] [CrossRef]
- Yan, H.; Liu, T.; Lv, Y.; Xu, X.; Xu, J.; Fang, X.; Wang, X. Doping SnO2 with metal ions of varying valence states: Discerning the importance of active surface oxygen species vs. acid sites for C3H8 and CO oxidation. Phys. Chem. Chem. Phys. 2024, 26, 3950–3962. [Google Scholar] [CrossRef] [PubMed]
- Lu, B.; Ma, S.; Liang, S.; Wang, Z.; Liu, Y.; Mao, S.; Ban, H.; Wang, L.; Wang, Y. Efficient Conversion of Ethanol to 1-Butanol over Adjacent Acid–Base Dual Sites via Enhanced C–H Activation. ACS Catal. 2023, 13, 4866–4872. [Google Scholar] [CrossRef]
- Chauhan, A.; Verma, R.; Dhatwalia, J.; Kumari, A.; Dutta, V.; Chandrasekaran, G.; Ghotekar, S.; Kaur, M.; Vignesh, J.; Thakur, S. Phyto-mediated synthesis of pure phase α-Bi2O3 nanostructures using Rubus ellipticus plant extract: Photocatalytic activity and antimicrobial efficacy. Biomass Convers. Biorefinery 2024, 14, 25103–25122. [Google Scholar] [CrossRef]
- Dai, W.; Wang, P.; Long, J.; Xu, Y.; Zhang, M.; Yang, L.; Zou, J.; Luo, X.; Luo, S. Constructing robust Bi active sites in situ on α-Bi2O3 for efficient and selective photoreduction of CO2 to CH4 via directional transfer of electrons. ACS Catal. 2023, 13, 2513–2522. [Google Scholar] [CrossRef]
- Moumen, A.; Zappa, D.; Poli, N.; Comini, E. Catalyst–Assisted vapor liquid solid growth of α-Bi2O3 nanowires for acetone and ethanol detection. Sens. Actuators B Chem. 2021, 346, 130432. [Google Scholar] [CrossRef]
- Jiang, S.; Wang, L.; Hao, W.; Li, W.; Xin, H.; Wang, W.; Wang, T. Visible-light photocatalytic activity of S-doped α-Bi2O3. J. Phys. Chem. C 2015, 119, 14094–14101. [Google Scholar] [CrossRef]
- Park, S.; Kim, S.; Sun, G.J.; Lee, C. Synthesis, structure, and ethanol gas sensing properties of In2O3 nanorods decorated with Bi2O3 nanoparticles. ACS Appl. Mater. Interfaces 2015, 7, 8138–8146. [Google Scholar] [CrossRef]
- Cheng, L.; Li, Y.; Sun, G.; Cao, J.; Wang, Y. Modification of Bi2O3 on ZnO porous nanosheets-assembled architecture for ultrafast detection of TEA with high sensitivity. Sens. Actuators B Chem. 2023, 376, 132986. [Google Scholar] [CrossRef]
- Zhang, M.; Liu, K.; Zhang, X.; Wang, B.; Xu, X.; Du, X.; Yang, C.; Zhang, K. Interfacial energy barrier tuning of hierarchical Bi2O3/WO3 heterojunctions for advanced triethylamine sensor. J. Adv. Ceram. 2022, 11, 1860–1872. [Google Scholar] [CrossRef]
- Tanaka, K.I.; Ozaki, A. Acid-base properties and catalytic activity of solid surfaces. J. Catal. 1967, 8, 1–7. [Google Scholar] [CrossRef]
- Guo, Y.; Liu, B.; Duan, Z.; Yuan, Z.; Jiang, Y.; Tai, H. Batch fabrication of H2S sensors based on evaporated Pd/WO3 film with ppb-level detection limit. Mater. Chem. Phys. 2023, 302, 127768. [Google Scholar] [CrossRef]
- Suematsu, K.; Watanabe, K.; Tou, A.; Sun, Y.; Shimanoe, K. Ultraselective toluene-gas sensor: Nanosized gold loaded on zinc oxide nanoparticles. Anal. Chem. 2018, 90, 1959–1966. [Google Scholar] [CrossRef] [PubMed]
- Gonçalves, F.; Medeiros, P.R.; Eon, J.G.; Appel, L.G. Active sites for ethanol oxidation over SnO2-supported molybdenum oxides. Appl. Catal. A-Gen. 2000, 193, 195–202. [Google Scholar] [CrossRef]
- Sun, J.; Wang, Y. Recent advances in catalytic conversion of ethanol to chemicals. ACS Catal. 2014, 4, 1078–1090. [Google Scholar] [CrossRef]
- Yamazoe, N.; Fuchigami, J.; Kishikawa, M.; Seiyama, T. Interactions of tin oxide surface with O2, H2O and H2. Surf. Sci. 1979, 86, 335–344. [Google Scholar] [CrossRef]
- Guo, Y.; Liang, J.; Liu, Y.; Liu, Y.; Xu, X.; Fang, X.; Zhong, W.; Wang, X. Identifying surface active sites of SnO2: Roles of surface O2−, O22− anions and acidic species played for toluene deep oxidation. Ind. Eng. Chem. Res. 2019, 58, 18569–18581. [Google Scholar] [CrossRef]
- Yan, L.; Liu, Y.; Zha, K.; Li, H.; Shi, L.; Zhang, D. Deep insight into the structure–activity relationship of Nb modified SnO2–CeO2 catalysts for low-temperature selective catalytic reduction of NO by NH3. Catal. Sci. Technol. 2017, 7, 502–514. [Google Scholar] [CrossRef]
- Liu, Y.; Guo, Y.; Liu, Y.; Xu, X.; Peng, H.; Fang, X.; Wang, X. SnO2 nano-rods promoted by In, Cr and Al cations for toluene total oxidation: The impact of oxygen property and surface acidity on the catalytic activity. Appl. Surf. Sci. 2017, 420, 186–195. [Google Scholar] [CrossRef]
- Meziane, I.; Fenard, Y.; Delort, N.; Herbinet, O.; Bourgalais, J.; Ramalingam, A.; Heufer, K.A.; Battin-Leclerc, F. Experimental and modeling study of acetone combustion. Combust. Flame 2023, 257, 112416. [Google Scholar] [CrossRef]
- Zaki, M.I.; Hasan, M.A.; Pasupulety, L. Surface reactions of acetone on Al2O3, TiO2, ZrO2, and CeO2: IR spectroscopic assessment of impacts of the surface acid-base properties. Langmuir 2001, 17, 768–774. [Google Scholar] [CrossRef]








Disclaimer/Publisher’s Note: The statements, opinions and data contained in all publications are solely those of the individual author(s) and contributor(s) and not of MDPI and/or the editor(s). MDPI and/or the editor(s) disclaim responsibility for any injury to people or property resulting from any ideas, methods, instructions or products referred to in the content. |
© 2024 by the authors. Licensee MDPI, Basel, Switzerland. This article is an open access article distributed under the terms and conditions of the Creative Commons Attribution (CC BY) license (https://creativecommons.org/licenses/by/4.0/).
Share and Cite
Yang, H.; Suematsu, K.; Mashiba, F.H.; Watanabe, K.; Shimanoe, K. Oxygenated VOC Detection Using SnO2 Nanoparticles with Uniformly Dispersed Bi2O3. Nanomaterials 2024, 14, 2032. https://doi.org/10.3390/nano14242032
Yang H, Suematsu K, Mashiba FH, Watanabe K, Shimanoe K. Oxygenated VOC Detection Using SnO2 Nanoparticles with Uniformly Dispersed Bi2O3. Nanomaterials. 2024; 14(24):2032. https://doi.org/10.3390/nano14242032
Chicago/Turabian StyleYang, Haoyue, Koichi Suematsu, Felipe Hiroshi Mashiba, Ken Watanabe, and Kengo Shimanoe. 2024. "Oxygenated VOC Detection Using SnO2 Nanoparticles with Uniformly Dispersed Bi2O3" Nanomaterials 14, no. 24: 2032. https://doi.org/10.3390/nano14242032
APA StyleYang, H., Suematsu, K., Mashiba, F. H., Watanabe, K., & Shimanoe, K. (2024). Oxygenated VOC Detection Using SnO2 Nanoparticles with Uniformly Dispersed Bi2O3. Nanomaterials, 14(24), 2032. https://doi.org/10.3390/nano14242032

