Synergistic Effects of BaTiO3 and MFe2O4 (M = Mn, Ni, Cu, Zn, and Co) Nanoparticles as Artificial Pinning Centers on the Performance of YBa2Cu3Oy Superconductor
Abstract
1. Introduction
2. Experimental Details
2.1. Synthesis
2.2. Characterization
3. Results and Discussion
3.1. XRD and SEM Analyses
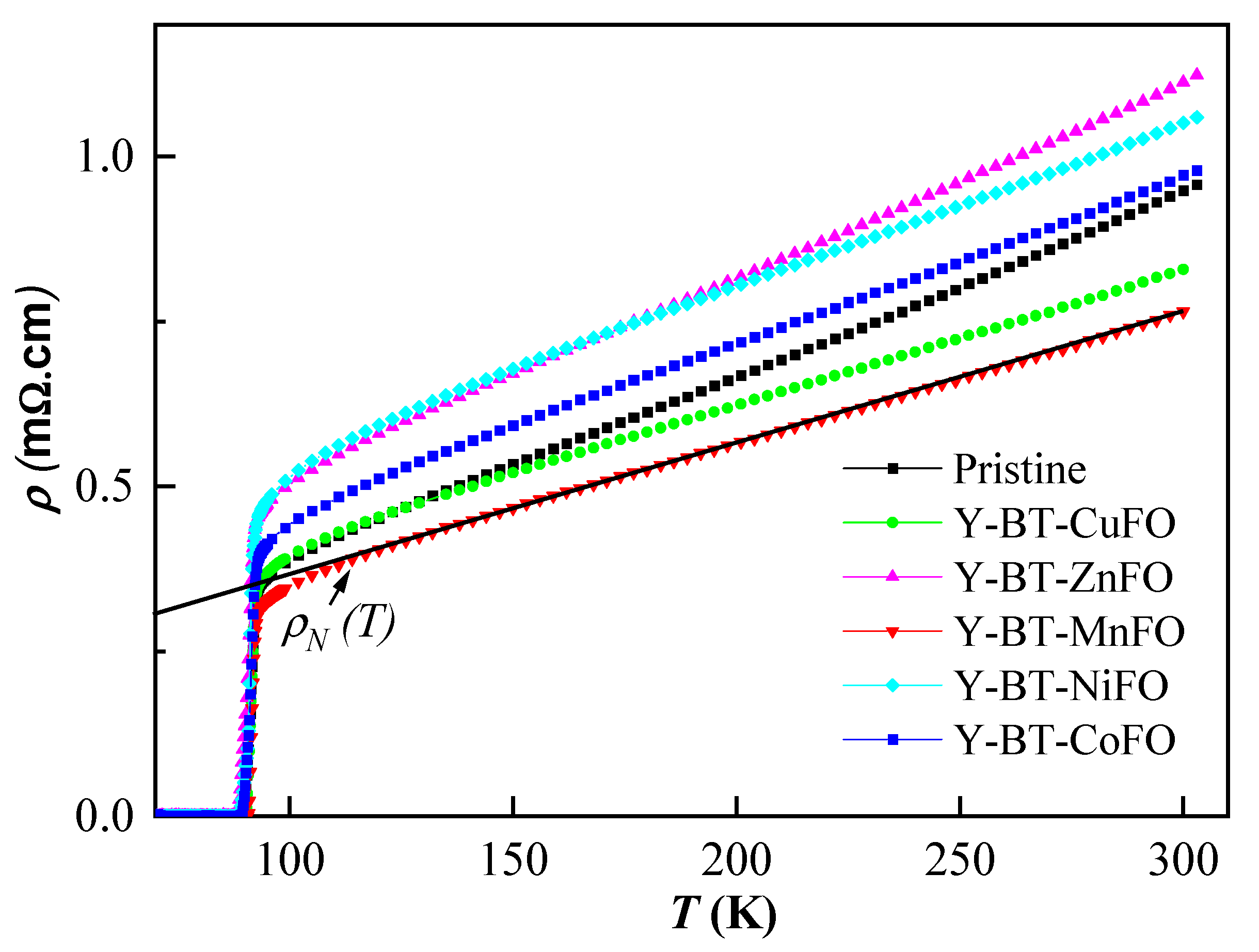
3.2. Electrical Property Analysis
3.3. Magnetic Hysteresis Loop Analysis
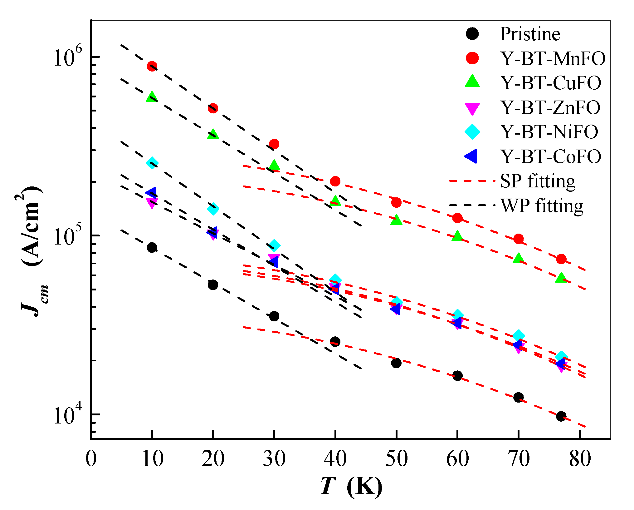
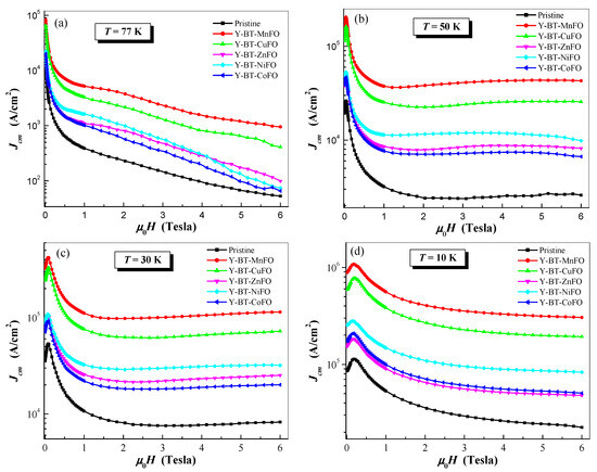
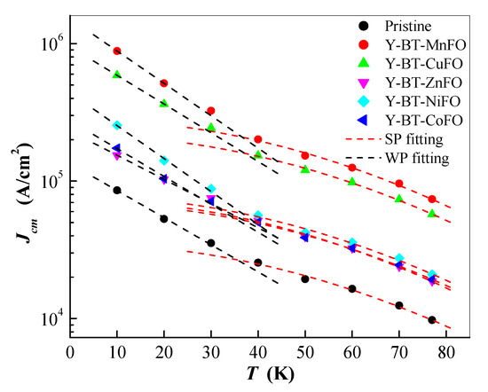
3.4. Self- and In-Field Critical Current Density
4. Conclusions
Supplementary Materials
Author Contributions
Funding
Data Availability Statement
Conflicts of Interest
References
- Bussmann-Holder, A.; Keller, H. High-Temperature Superconductors: Underlying Physics and Applications. Z. Naturforsch.-Sect. B J. Chem. Sci. 2019, 75, 3–14. [Google Scholar] [CrossRef]
- Zhang, J.; Wu, H.; Zhao, G.; Han, L.; Zhang, J. Progress in the Study of Vortex Pinning Centers in High-Temperature Superconducting Films. Nanomaterials 2022, 12, 4000. [Google Scholar] [CrossRef] [PubMed]
- Díez-Sierra, J.; López-Domínguez, P.; Rijckaert, H.; Rikel, M.; Hänisch, J.; Khan, M.Z.; Falter, M.; Bennewitz, J.; Huhtinen, H.; Schäfer, S.; et al. High Critical Current Density and Enhanced Pinning in Superconducting Films of YBa2Cu3O7−δ Nanocomposites with Embedded BaZrO3, BaHfO3, BaTiO3, and SrZrO3 Nanocrystals. ACS Appl. Nano Mater. 2020, 3, 5542–5553. [Google Scholar] [CrossRef]
- Antončík, F.; Jankovský, O.; Hlásek, T.; Bartůněk, V. Nanosized Pinning Centers in the Rare Earth-Barium-Copper-Oxide Thin-Film Superconductors. Nanomaterials 2020, 10, 1429. [Google Scholar] [CrossRef] [PubMed]
- Antončík, F.; Lojka, M.; Hlásek, T.; Sedmidubský, D.; Jankovský, O.; Bartůněk, V. The Effective Synthesis of Large Volumes of the Ultrafine BaZrO3 Nanoparticles. Mater. Chem. Phys. 2021, 259, 124047. [Google Scholar] [CrossRef]
- Huang, J.; Wang, H. Effective Magnetic Pinning Schemes for Enhanced Superconducting Property in High Temperature Superconductor YBa2Cu3O7−x: A Review. Supercond. Sci. Technol. 2017, 30, 114004. [Google Scholar] [CrossRef]
- Terzioglu, R.; Aydin, G.; Soylu Koc, N.; Terzioglu, C. Investigation of the Structural, Magnetic and Electrical Properties of the Au Doped YBCO Superconductors. J. Mater. Sci. Mater. Electron. 2019, 30, 2265–2277. [Google Scholar] [CrossRef]
- Mohd Yusuf, N.N.; Awang Kechik, M.M.; Baqiah, H.; Soo Kien, C.; Kean Pah, L.; Shaari, A.H.; Wan Jusoh, W.N.W.; Abd Sukor, S.I.; Mousa Dihom, M.; Talib, Z.A.; et al. Structural and Superconducting Properties of Thermal Treatment-Synthesised Bulk YBa2Cu3O7−δ Superconductor: Effect of Addition of SnO2 Nanoparticles. Materials 2018, 12, 92. [Google Scholar] [CrossRef]
- Mandal, P.; Rakshit, D.; Sk, T.; Ghosh, A.K. Insulating Nanoparticle Induced Pinning in YBCO Superconductor: Crossover from Collective to Strong Pinning Regimes. Appl. Phys. A 2023, 129, 650. [Google Scholar] [CrossRef]
- Hkiri, K.; Mohamed, H.E.A.; Shahzad, N.; Bouchoucha, I.; Maaza, M.; Zouaoui, M. Electrical Transport Properties of YBa2Cu3Oy Implanted by CdS Nanoparticles: Nanoparticle Size Effect. J. Mater. Sci. Mater. Electron. 2023, 34, 1805. [Google Scholar] [CrossRef]
- Sahoo, B.; Behera, D. Study of Transport and Elastic Properties of YBCO Superconductor by Inclusion of GnPs. Phys. C Supercond. Appl. 2020, 578, 1353748. [Google Scholar] [CrossRef]
- Slimani, Y.; Hannachi, E.; Ekicibil, A.; Almessiere, M.A.; Ben Azzouz, F. Investigation of the Impact of Nano-Sized Wires and Particles TiO2 on Y-123 Superconductor Performance. J. Alloys Compd. 2019, 781, 664–673. [Google Scholar] [CrossRef]
- Jha, A.K.; Khare, N. Strongly Enhanced Pinning Force Density in YBCO–BaTiO3 Nanocomposite Superconductor. Phys. C Supercond. 2009, 469, 810–813. [Google Scholar] [CrossRef]
- Huang, D.; Gu, H.; Shang, H.; Li, T.; Xie, B.; Zou, Q.; Chen, D.; Chu, W.K.; Ding, F. Enhancement in the Critical Current Density of BaTiO3-Doped YBCO Films by Low-Energy (60 KeV) Proton Irradiation. Supercond. Sci. Technol. 2021, 34, 045001. [Google Scholar] [CrossRef]
- Sebastian, M.A.; Pierce, N.A.; Maartense, I.; Kozlowski, G.; Haugan, T.J. Flux Pinning Enhancements of YBa2Cu3O7-x with Nanosize Magnetic Additions. IOP Conf. Ser. Mater. Sci. Eng. 2020, 756, 012026. [Google Scholar] [CrossRef]
- Bulaevskii, L.N.; Chudnovsky, E.M.; Maley, M.P. Magnetic Pinning in Superconductor-Ferromagnet Multilayers. Appl. Phys. Lett. 2000, 76, 2594–2596. [Google Scholar] [CrossRef]
- Mojarrad, M.; Hamid, J.; Campana, A.L.; Dang, V.-S.; Crisan, A.; Mikheenko, P. Using Magnetic Nanoparticles to Improve Flux Pinning in YBa2Cu3Ox Films. In Proceedings of the 2021 IEEE 11th International Conference Nanomaterials: Applications & Properties (NAP), Odessa, Ukraine, 5–11 September 2021; pp. 1–5. [Google Scholar]
- Rammah, Y.S.; Salama, A.H.; Elkhatib, M. Magnetic Moment and Its Correlation with the Critical Temperature in YBCO. Interceram-Int. Ceram. Rev. 2019, 68, 34–41. [Google Scholar] [CrossRef]
- Salama, A.H.; El-Hofy, M.; Rammah, Y.S.; Elkhatib, M. Effect of Magnetic and Nonmagnetic Nano Metal Oxides Doping on the Critical Temperature of a YBCO Superconductor. Adv. Nat. Sci. Nanosci. Nanotechnol. 2015, 6, 045013. [Google Scholar] [CrossRef]
- Wimbush, S.C.; Yu, R.; Bali, R.; Durrell, J.H.; MacManus-Driscoll, J.L. Addition of Ferromagnetic CoFe2O4 to YBCO Thin Films for Enhanced Flux Pinning. Phys. C Supercond. Appl. 2010, 470, S223–S224. [Google Scholar] [CrossRef]
- Sahoo, B.; Routray, K.L.; Panda, B.; Samal, D.; Behera, D. Excess Conductivity and Magnetization of CoFe2O4 Combined with Y1Ba2Cu3O7-δ as a Superconductor. J. Phys. Chem. Solids 2019, 132, 187–196. [Google Scholar] [CrossRef]
- Arais, A.A.; Dawoud, M.A.T.; Shams, M.S.; Elbehiry, E. Electrical, Structural, and Thermal Properties of Ferrite/Superconductor (Ni0.5Zn0.5Fe2O4)x/YBa2Cu3O7-δ) Nanocomposite Materials. J. Supercond. Nov. Magn. 2019, 32, 2337–2349. [Google Scholar] [CrossRef]
- Bean, C.P. Magnetization of Hard Superconductors. Phys. Rev. Lett. 1962, 8, 250–253. [Google Scholar] [CrossRef]
- Malik, B.A.; Asokan, K.; Ganesan, V.; Singh, D.; Malik, M.A. The Magnetoresistance of YBCO/BZO Composite Superconductors. Phys. C Supercond. Appl. 2016, 531, 85–92. [Google Scholar] [CrossRef]
- Anderson, P.W.; Zou, Z. “Normal” Tunneling and “Normal” Transport: Diagnostics for the Resonating-Valence-Bond State. Phys. Rev. Lett. 1988, 60, 132. [Google Scholar] [CrossRef] [PubMed]
- Aftabi, A.; Mozaffari, M. Fluctuation Induced Conductivity and Pseudogap State Studies of Bi1.6Pb0.4Sr2Ca2Cu3O10+δ Superconductor Added with ZnO Nanoparticles. Sci. Rep. 2021, 11, 4341. [Google Scholar] [CrossRef]
- Asikuzun, E. Production Procedure and Characterization of Zn-Doped Y-123 Superconducting Samples Prepared by Sol-Gel Method. J. Supercond. Nov. Magn. 2018, 31, 3509–3514. [Google Scholar] [CrossRef]
- Alharbi, G.M.; Slimani, Y.; Almessiere, M.A.; Ben Azzouz, F. Positive Effect of Co-Addition of Dy2O3/Ag and Dy2O3/WO3 Nanoparticles on the Physical Critical Parameters and Electrical Transport Properties of YBCO Ceramic. Ceram. Int. 2024, 50, 10806–10816. [Google Scholar] [CrossRef]
- Anderson, P.W. Theory of Flux Creep in Hard Superconductors. Phys. Rev. Lett. 1962, 9, 309–311. [Google Scholar] [CrossRef]
- Malik, B.A.; Malik, M.A.; Asokan, K. Enhancement of the Critical Current Density in YBCO/Ag Composites. Chin. J. Phys. 2017, 55, 170–175. [Google Scholar] [CrossRef]
- Algarni, R.; Hannachi, E.; Slimani, Y.; Almessiere, M.A.; Ben Azzouz, F. Flux Pinning Mechanisms of (YBa2Cu3Oy-d)1−x/(Dy2O3)x Superconductors (X = 0.1 and 0.5 Wt%). Ceram. Int. 2021, 47, 6675–6682. [Google Scholar] [CrossRef]
- Palau, A.; Valles, F.; Rouco, V.; Coll, M.; Li, Z.; Pop, C.; Mundet, B.; Gazquez, J.; Guzman, R.; Gutierrez, J.; et al. Disentangling Vortex Pinning Landscape in Chemical Solution Deposited Superconducting YBa2Cu3O7−x Films and Nanocomposites. Supercond. Sci. Technol. 2018, 31, 034004. [Google Scholar] [CrossRef]
- Blatter, G.; Feigel’Man, M.V.; Geshkenbein, V.B.; Larkin, A.I.; Vinokur, V.M. Vortices in High-Temperature Superconductors. Rev. Mod. Phys. 1994, 66, 1125. [Google Scholar] [CrossRef]
- Nelson, D.R.; Vinokur, V.M. Boson Localization and Correlated Pinning of Superconducting Vortex Arrays. Phys. Rev. B 1993, 48, 13060. [Google Scholar] [CrossRef] [PubMed]
- Dahiya, M.; Kumar, R.; Kumar, D.; Kumar, D.; Khare, N. Enhanced Flux Pinning Properties of NaNbO3 Nanorods Added YBCO Composite Superconductor. J. Alloys Compd. 2021, 883, 160840. [Google Scholar] [CrossRef]
- Ben Salem, M.K.; Hannachi, E.; Slimani, Y.; Hamrita, A.; Zouaoui, M.; Bessais, L.; Ben Salem, M.; Ben Azzouz, F. SiO2 Nanoparticles Addition Effect on Microstructure and Pinning Properties in YBa2Cu3Oy. Ceram. Int. 2014, 40, 4953–4962. [Google Scholar] [CrossRef]
- Li, Z.; Coll, M.; Mundet, B.; Chamorro, N.; Vallès, F.; Palau, A.; Gazquez, J.; Ricart, S.; Puig, T.; Obradors, X. Control of Nanostructure and Pinning Properties in Solution Deposited YBa2Cu3O7-x Nanocomposites with Preformed Perovskite Nanoparticles. Sci. Rep. 2019, 9, 5828. [Google Scholar] [CrossRef]
- Slimani, Y.; Almessiere, M.A.; Hannachi, E.; Manikandan, A.; Algarni, R.; Baykal, A.; Ben Azzouz, F. Flux Pinning Properties of YBCO Added by WO3 Nanoparticles. J. Alloys Compd. 2019, 810, 151884. [Google Scholar] [CrossRef]
- Safran, S.; Bulut, F.; Nefrow, A.R.A.; Ada, H.; Ozturk, O. Characterization of the CoFe2O4/Cu Displacement Effect in the Y123 Superconductor Matrix on Critical Properties. J. Mater. Sci. Mater. Electron. 2020, 31, 20578–20588. [Google Scholar] [CrossRef]
- Zhetpisbaev, K.; Kumekov, S.; Suib, N.R.M.; Abu Bakar, I.P.; Abd-Shukor, R. Effect of Co0.5Zn0.5Fe2O4 Nanoparticle on AC Susceptibility and Electrical Properties of YBa2Cu3O7-δ Superconductor. Int. J. Electrochem. Sci. 2019, 14, 279–286. [Google Scholar] [CrossRef]
- Alotaibi, S.A.; Slimani, Y.; Almessiere, M.A.; Hannachi, E.; Al-qwairi, F.O.; Iqbal, M.; Ben Azzouz, F.; Yasin, G. Superconducting Properties of YBCO Bulk Co-Embedded by Nano-BaTiO3 and WO3 Particles. Eur. Phys. J. Plus 2021, 137, 46. [Google Scholar] [CrossRef]
- Huang, J.; Tsai, C.F.; Chen, L.; Jian, J.; Khatkhatay, F.; Yu, K.; Wang, H. Magnetic Properties of (CoFe2O4)x: (CeO2)1-x Vertically Aligned Nanocomposites and Their Pinning Properties in YBa2Cu3O7-δ Thin Films. J. Appl. Phys. 2014, 115, 123902. [Google Scholar] [CrossRef]
- Huang, J.; Li, L.; Wang, X.; Qi, Z.; Sebastian, M.A.P.; Haugan, T.J.; Wang, H. Enhanced Flux Pinning Properties of YBCO Thin Films with Various Pinning Landscapes. IEEE Trans. Appl. Supercond. 2017, 27, 1–5. [Google Scholar] [CrossRef]










| Samples | ||||
|---|---|---|---|---|
| Pristine | 3.8196 | 3.8866 | 11.6796 | 6.85 |
| Y-BT-MnFO | 3.8190 | 3.8857 | 11.6788 | 6.86 |
| Y-BT-CuFO | 3.8151 | 3.8850 | 11.6777 | 6.86 |
| Y-BT-NiFO | 3.8188 | 3.8850 | 11.6789 | 6.86 |
| Y-BT-CoFO | 3.8205 | 3.8867 | 11.6849 | 6.82 |
| Y-BT-ZnFO | 3.8208 | 3.8872 | 11.6849 | 6.82 |
| Samples | |||||
|---|---|---|---|---|---|
| Pristine | 93.2 | 88.8 | 0.95 | 0.12 | 0.139 |
| Y-BT-MnFO | 93.1 | 90.3 | 0.76 | 0.15 | 0.145 |
| Y-BT-CuFO | 93.0 | 89.9 | 0.83 | 0.21 | 0.143 |
| Y-BT-NiFO | 93.1 | 88.2 | 1.05 | 0.29 | 0.137 |
| Y-BT-CoFO | 91.1 | 89.0 | 0.97 | 0.21 | 0.140 |
| Y-BT-ZnFO | 92.7 | 87.8 | 1.11 | 0.23 | 0.136 |
| Samples | Preparation Method | Ref. | ||
|---|---|---|---|---|
| YBCO + 0.4% BTO | ~90 | ~0.3 × 104 (77 K) | SSRR | [13] |
| YBCO + 1wt.% CoFe2O4 | 88.4 | 1.84 × 105 (40 K) | SSRR | [21] |
| YBCO + 0.05 wt.% WO3 NPs | 91.7 | 0.91 × 104 (77 K) | SSRR | [38] |
| YBCO + 5wt.% CoFe2O4 | 83.15 | - | SSRR | [39] |
| YBCO + 5wt.% CoFe2O4 | 73.93 | - | Sol-Gel (SG) | [39] |
| YBCO + 0.1wt.% Co0.5Zn0.5Fe2O4 | 86 | - | SSRR | [40] |
| YBCO + 0.05 wt.% (BTO/WO3) | 89.65 | 0.32 × 104 (77 K) | SSRR | [41] |
| YBCO + (Dy2O3/WO3) | 89.7 | 0.19 × 104 (77 K) | SSRR | [28] |
| YBCO + (Dy2O3/Ag) | 90.3 | 0.49 × 104 (77 K) | SSRR | [28] |
| YBCO + CoFe2O4 thin film | 87 | 0.25 × 106 (77 K) | PLD | [20] |
| YBCO + (CoFe2O4)0.3(CeO2)0.7 multilayer thin film | ~90 | 6.36 × 106 (77 K) | PLD | [42] |
| YBCO + (La0.7Sr0.3MnO3)0.5(CeO2)0.5 interlayer thin film | 90.2 | 6.56 × 106 (77 K) | PLD | [43] |
| Pristine YBCO thin film | 91.3 | 4.2 × 106 (77 K) | CSD | [3] |
| YBCO + BTO thin film | 92.3 | 4.6 × 106 (77 K) | CSD | [3] |
| YBCO + BZO thin film | 90.0 | 2.36 × 106 (77 K) | PLD | [43] |
| Pristine YBCO | 88.8 | 0.97 × 104 (77 K) | SSRR | Present work |
| Y-BT-MnFO | 90.3 | 7.38 × 104 (77 K) | SSRR | Present work |
| Y-BT-CuFO | 89.9 | 5.73 × 104 (77 K) | SSRR | Present work |
| Y-BT-CoFO | 89.0 | 1.92 × 104 (77 K) | SSRR | Present work |
| Y-BT-NiFO | 88.2 | 2.09 × 104 (77 K) | SSRR | Present work |
| Y-BT-ZnFO | 87.8 | 1.87 × 104 (77 K) | SSRR | Present work |
Disclaimer/Publisher’s Note: The statements, opinions and data contained in all publications are solely those of the individual author(s) and contributor(s) and not of MDPI and/or the editor(s). MDPI and/or the editor(s) disclaim responsibility for any injury to people or property resulting from any ideas, methods, instructions or products referred to in the content. |
© 2024 by the authors. Licensee MDPI, Basel, Switzerland. This article is an open access article distributed under the terms and conditions of the Creative Commons Attribution (CC BY) license (https://creativecommons.org/licenses/by/4.0/).
Share and Cite
Dair, A.S.; Slimani, Y.; Hannachi, E.; Ben Azzouz, F.; Almessiere, M.A. Synergistic Effects of BaTiO3 and MFe2O4 (M = Mn, Ni, Cu, Zn, and Co) Nanoparticles as Artificial Pinning Centers on the Performance of YBa2Cu3Oy Superconductor. Nanomaterials 2024, 14, 1810. https://doi.org/10.3390/nano14221810
Dair AS, Slimani Y, Hannachi E, Ben Azzouz F, Almessiere MA. Synergistic Effects of BaTiO3 and MFe2O4 (M = Mn, Ni, Cu, Zn, and Co) Nanoparticles as Artificial Pinning Centers on the Performance of YBa2Cu3Oy Superconductor. Nanomaterials. 2024; 14(22):1810. https://doi.org/10.3390/nano14221810
Chicago/Turabian StyleDair, Amjad S., Yassine Slimani, Essia Hannachi, Faten Ben Azzouz, and Munirah A. Almessiere. 2024. "Synergistic Effects of BaTiO3 and MFe2O4 (M = Mn, Ni, Cu, Zn, and Co) Nanoparticles as Artificial Pinning Centers on the Performance of YBa2Cu3Oy Superconductor" Nanomaterials 14, no. 22: 1810. https://doi.org/10.3390/nano14221810
APA StyleDair, A. S., Slimani, Y., Hannachi, E., Ben Azzouz, F., & Almessiere, M. A. (2024). Synergistic Effects of BaTiO3 and MFe2O4 (M = Mn, Ni, Cu, Zn, and Co) Nanoparticles as Artificial Pinning Centers on the Performance of YBa2Cu3Oy Superconductor. Nanomaterials, 14(22), 1810. https://doi.org/10.3390/nano14221810

