Abstract
The family of BiS2-based superconductors has attracted considerable attention since their discovery in 2012 due to the unique structural and electronic properties of these materials. Several experimental and theoretical studies have been performed to explore the basic properties and the underlying mechanism for superconductivity. In this review, we discuss the current understanding of pairing symmetry in BiS2-based superconductors and particularly the role of point-contact spectroscopy in unravelling the mechanism underlying the superconducting state. We also review experimental results obtained with different techniques including angle-resolved photoemission spectroscopy, scanning tunnelling spectroscopy, specific heat measurements, and nuclear magnetic resonance spectroscopy. The integration of experimental results and theoretical predictions sheds light on the complex interplay between electronic correlations, spin fluctuations, and Fermi surface topology in determining the coupling mechanism. Finally, we highlight recent advances and future directions in the field of BiS2-based superconductors, underlining the potential technological applications.
1. Introduction
Superconductivity is a macroscopic quantum phenomenon, initially discovered in mercury [1], showing two main properties such as zero electrical resistivity and perfect diamagnetism [2]. Soon after, all elements and simple alloys were investigated to identify among them the superconductors and the corresponding critical temperature (TC). Nowadays, 31 elements are known to be superconducting at ambient pressure (with TC in the range from 0.0003 K for Rh to 9.25 K for Nb) [3]. This number increases if considering the characterization under high pressures [4] (see Figure 1a). Similarly, a large number of binary alloys and compounds were found to become superconducting, including compounds in which both elements were non-superconducting, such as Au2Bi [5]. The microscopic mechanism of “conventional” superconductivity was explained in 1957 by Bardeen, Cooper, and Schrieffer [6] in their BCS theory with the introduction of “effective” attraction between the electrons at low temperature. The pairing of electrons is phonon-mediated, causing the formation of Cooper pairs that form a Bose-Einstein condensate in the superconducting state. Due to their properties, superconductors can be exploited for several applications, from high efficiency power devices to magnetic energy storage, from power transmission lines to thermonuclear fusion [7]. The main characteristics relevant for such applications are the high-power density and low losses, in order to develop compact, low-consumption, and high-current devices [8]. Clearly, a larger applicability of superconductors aims at as high as possible a critical temperature to reduce the cooling costs. For this reason, the scientific community has continuously searched for new superconducting materials characterized by higher critical temperatures. The first milestone can be identified with the announcement of superconductivity at 30 K in the layered cuprate LaBa2CuO4−x by Bednorz and Muller [9], followed soon after (at the beginning of 1987) by the report of a TC as high as 92 K for the YBa2Cu3Ox compound [10], thus opening the field to superconducting applications at temperatures above the boiling point of liquid nitrogen (77 K). Several compounds in the family of cuprates (either hole-doped or electron-doped) have been identified with TC up to 130 K in Hg2Ba2Ca2Cu3Ox. They represent the first class of “unconventional” superconductors, i.e., the superconducting properties being not explained within the BCS theory. The main difficultly in establishing the unconventional character of the cuprates was related to the complex interactions involving electrons, phonons, magnetic fluctuations, and impurities [11]. Indeed, cuprate parent compounds are antiferromagnetic Mott-insulators, and superconductivity appears after carrier doping [12]. The main consequence is that the spin-singlet pairing state with s-wave spatial component assumed in conventional superconductors by the BCS theory does not apply to cuprates, which instead are characterized by a spin-singlet d-wave pairing symmetry [13]. Further advances are represented by the discovery of new unconventional superconductors such as the chiral spin-triplet Sr2RuO4 [14], the two-band superconductor MgB2 [15,16,17,18,19,20,21], the iron-pnictide superconductors with the so-called s±,++ pairing symmetry [22], where the hole and electron pockets develop distinct s-wave gaps having an intrinsic phase difference of 0(s++) or π(s±), filled skutterudite [23], and layered BiS2-based compounds [24].

Figure 1.
(a) Periodic table evidencing superconducting elements either at ambient pressure or under high pressure. (b) Time evolution of the superconducting critical temperature (TC).
The discovery of superconducting materials that have very high critical temperatures when subjected to extremely high pressures is very recent [25]. It has been reported that hydrogen sulfide (H2S) at pressures above 150 GPa has a superconducting transition with TC = 203 K [26]. Similarly, hydrogen-rich materials under extreme compression have shown superconducting behavior, such as lanthanum hydride (LaH10), with TC > 250 K [27]. Figure 1b shows the evolution with time of the TC values for the various superconducting materials at ambient pressure.
Finally, the experimental observation of superconductivity with TC in the range 9–15 K has been reported in 2019 for hole-doped infinite-layer nickelate Nd1−xSrxNiO2 thin films [28]. Several infinite-layer nickelates, chemical formula A1−xBxNiO2, obtained by different combinations of rare earths and alkaline-earths (A = La, Nd, Pr, and B = Sr, Ca), have been already investigated showing some similarities with cuprates [29,30,31,32]. The highest critical temperature TC = 78 K has been reported in 2023 for the La3Ni2O7 under high pressure [33].
The discovery of new superconductors has been always followed by intense research activity to solve the question about the pairing mechanism responsible for the formation of the superconducting state and the symmetry of the superconducting order parameter (OP) [34,35,36,37,38,39,40].
Among the newly discovered superconducting materials, we will focus on the members of the BiS2 family, which have attracted considerable attention in recent years due to their intriguing properties and potential technological applications.
The first compound of the BiS2 family to be reported as a superconductor with TC = 8.6 K was the Bi4O4S3 [41,42], immediately attracting the interest of the whole scientific community. This material has a layered crystal structure, like high-TC cuprates and iron-based superconductors, with superconducting BiS2 layers and Bi4O4(SO4)1−x layers as spacers. Soon after, superconductivity was also reported for the compound LaO0.5F0.5BiS2 [43], obtained by modifying the blocking layer in Bi4O4S3. As for Bi4O4S3, LaO0.5F0.5BiS2 is also composed of a stacking of BiS2 layers and blocking layers. By modifying the structure and the chemical composition at the blocking layers (by partially substituting O by F), electron carriers are generated, promoting the formation of the superconducting state. Since then, superconductivity has been extensively investigated in several related materials with the formula LnO1−xFxBiS2 (Ln is lanthanide, Ln = La, Nd, Ce, Pr, and Yb) [24,44,45,46]. The schematic of the crystal structure for Bi4O4S3 and for LnOBiS2 is reported in Figure 2. Moreover, without introducing F, it has also been shown that electron doping can be increased in the LaOBiS2 compound by substituting the trivalent La3+ with tetravalent Zr4+, Ti4+, Th4+, and Hf4+ [47]. Successively, superconducting compounds based on BiSe2 layers have been also reported (as for LaO0.5F0.5BiSe2 with TC = 2.6 K), in which sulfur is replaced by isovalent selenium [48,49]. In Table 1, we summarize the main superconducting compounds of the BiS2 family, listed with their critical temperature.
Figure 2.
Crystal structure of two BiS2-based superconducting materials with indication of superconducting layer and blocking layer: (a) Bi4O4S3 and (b) LnOBiS2.
Table 1.
List of some BiS2-based superconducting compounds with their critical temperature.
In this review, we summarize the main results obtained on layered BiS2-based superconductors related to the pairing symmetry of the superconducting order parameter, with focus on the point-contact spectroscopy (PCS) results. Understanding the symmetry of the superconducting OP provides crucial information about the nature of the superconducting state, offering important insights for future research efforts towards technological advances.
The PCS technique holds significant importance in investigating the symmetry of the order parameter in superconducting materials [90]. The main advantage of PCS is its sensitivity to the superconducting energy gap, enabling precise determination of the pairing symmetry. By measuring the conductance spectra as a function of bias voltage and temperature, PCS can distinguish between different symmetry classes of superconductors, including s-wave, d-wave, or unconventional pairing states. Additionally, PCS offers versatility in probing various regions of the superconductor, providing insights into the spatial variation of the OP, which is crucial for understanding complex superconducting systems like layered BiS2 compounds.
2. The Role of Point-Contact Spectroscopy
PCS has been immediately identified as a powerful tool to investigate the scattering of electrons by elementary excitation in metals, such as phonons [91], since its introduction by Yanson [92]. It has been largely applied in the field of superconductivity because the Andreev reflection (AR) phenomenon allows PCS to provide direct information on the amplitude and symmetry of the superconducting order parameter. When looking at the AR, the technique is often named PCAR (Point-Contact Andreev Reflection spectroscopy). Consequently, in the literature, a great number of reports about conventional and unconventional superconductors are available, investigating the amplitude and the symmetry of the superconducting gap.
2.1. PCS Setup Configurations
Experimentally, the technique can be easily implemented by pushing a metal tip (N) into contact with a superconducting sample (S), originating a point-contact junction (PCJ) with a small contact area (with respect to the mean free path of the electrons). This setup is commonly referred to as “needle–anvil” configuration and it is equipped with an electrochemically or mechanically sharpened metallic tip (typical curvature radius is of the order of several micrometers) that can be gently pressed on sample surface (a schematic is shown in Figure 3a). The main advantage of this technique is related to the possibility of finely tuning the tip pressure on the surface, modifying the resistance of the PCJ. Moreover, the setup allows the experiment to be repeated in many different areas of the same sample, investigating the sample homogeneity as well.
Figure 3.
Schematic of two different Point-Contact Spectroscopy setup configurations. (a) Needle-anvil setup is realized with a metallic (N) tip pressed onto the superconducting (S) sample surface. (b) Soft point-contact setup is realized with a small spot of silver paste fixing a gold wire on the sample surface.
On the other hand, tip pressure can cause deformations at the interface with the creation of several parallel contacts. This is not a limitation to performing the spectroscopic analysis if the sample is homogeneous on a length scale larger than tip diameter [93,94,95]. The main drawback of the needle–anvil setup is related to the junction stability, affected by thermal and mechanical variations, becoming very relevant if studying very small samples.
A different approach to realize the PCJ is the so-called ‘soft’ point-contact technique [96,97] in which the metallic tip pressed on the sample surface is substituted by a small drop of Ag paste (or Indium flake) fixing a metallic (typically gold) wire to be used as electrical leads (see Figure 3b). The main advantage of this setup is the high mechanical and thermal stability of the junction. It has been demonstrated that, despite the relative large area of the Ag island used to create the contact, the real contact is formed by few to several parallel nanometric constrictions, thus allowing spectroscopic insights to be obtained [96].
2.2. Conduction Regimes in PCJ
Three possible conduction regimes can take place in a PCJ: (I) ballistic regime, (II) thermal regime, and (III) intermediate regime. The different regimes depend on the contact size. For this reason, the reference parameter is the Knudsen ratio , expressed in terms of the electron mean free path and the contact dimension , according to the definition (considering a circular contact of radius ). The ballistic regime corresponds to the situation in which the contact size is very small with respect to the mean free path (, i.e., ) and an electron can be accelerated through the PCJ by a voltage V without scattering and gaining an energy eV. According to the Sharvin formula, the contact resistance (known as Sharvin resistance) in the ballistic regime can be written , where we indicate with the resistivity of the sample [98]. The opposite condition of large contact (, i.e., ) corresponds to the thermal regime (also known as the Maxwell regime). In this case, electrons cannot avoid inelastic scattering in the contact region, and the conduction through the junction is dissipative, causing contact heating. In this regime, the contact resistance is expressed by the Maxwell formula [99]. The intermediate regime corresponds to the case , in which the contact size is smaller than the inelastic scattering length. In this situation, contact heating is negligible, and energy resolved spectroscopy can be performed. The contact resistance can be obtained through the Wexler formula that includes both the Maxwell and the Sharvin resistance as , where is a function of the Knudsen ratio and it has values around one [100].
2.3. Andreev Reflection
When characterizing a PCJ formed between a metallic tip and a superconductor sample, an electron coming from the N electrode can reach the N/S interface with an energy lower than the superconducting energy gap (), and, consequently, cannot pass through, having no available states on the other side. However, the transport current can be allowed by the Andreev reflections, i.e., the phenomenon for which such electron with energy can form a Cooper pair with another electron to enter in the superconducting electrode, while a hole, with opposite momentum with respect to the incident electron, is reflected in N [101] (see Figure 4a). A single Andreev reflection process causes a charge transfer through the N/S interface of a total charge . When the interface is highly transparent (low barrier), almost all incident electrons with undergo to Andreev reflection, so that the overall junction conductance results to be twice the normal conductance. Consequently, PCS becomes an obvious method to directly measure the amplitude of the superconducting energy gap for a material under investigation. Andreev reflections are theoretically described by the solution of the Bogoliubov–de Gennes equations near the N/S interface [102,103]. It is worth noting that ARs are not limited at the interface but can extend for a length ξ (which corresponds to the length scale over which the presence of the N electrode reduces the superconductivity in S due to the proximity effect). Only when the contact size is lower than ξ, can the proximity effect be neglected.
Figure 4.
(a) Schematic of the Andreev reflection at the N/S interface. (b) Suppression of the AR process at the F/S interface.
The great applicability of the PCAR technique is demonstrated by the huge numbers of experiments that have been reported on several superconducting materials such as conventional BCS superconductors [91,104,105,106], electron-doped and hole-doped cuprates (hig TC superconductors) [37,107,108,109,110,111,112], rutheno-cuprates [39,113,114], MgB2 [17,96,97,115,116,117,118,119,120,121,122], filled skutterudite [123,124], iron pnictides [125,126,127,128,129,130,131], heavy fermions [132,133,134,135,136,137,138], non-centrosymmetric [139,140,141], and topological superconductors [142,143].
Interestingly, the AR process can also be exploited to measure the spin polarization (P) in PCS experiments. If the metal electrode is ferromagnetic (F), the probability that AR takes places at the interface F/S is reduced because the spin-up and spin-down bands in F are different (see Figure 4b). Indeed, the AR near the Fermi level preserves energy and momentum but not spin: the incoming electron and the reflected hole have opposite spin. For the N/S interface, this is not irrelevant, because of the spin rotation symmetry. Differently, for F/S interfaces, the spin flipping is crucial: in fully spin-polarized metals all carriers have the same spin, and the AR is completely suppressed.
Indeed, this technique has been exploited in several experiments to characterize ferromagnetic metals, such as Fe, Ni, Co [144,145,146,147], half metals [148,149], ferromagnetic alloys [144,150], manganites [144,151,152], and ruthenates [153,154]. Also, it has been reported that a gold tip on the PdNi/Nb bilayer enables the resonant proximity effect, providing conductance features very sensitive to the local ferromagnetic properties and allowing an accurate measurement of polarization and thickness of the ferromagnetic layer by PCS [155,156,157].
3. Theoretical Background
In a PC geometry, the junction can be easily modified by pushing/retracting a metallic tip. Typically, larger pressure on the surface of the superconducting sample corresponds to higher barrier transparency at the N/S interface. Consequently, by controlling the tip it is possible to modify the conduction regime from pure tunnelling (i.e., high potential barrier corresponding to low transparency of the interface) to the case of direct transparent contact (characterized by low barrier at the interface). Such tunability of the conduction regime has been well described for conventional superconductors (s-wave symmetry of the order parameter) within the Blonder–Tinkham–Klapwijk (BTK) theory [158], where a dimensionless parameter is used to model the height of a delta function representing the potential barrier within the Bogoliubov–De Gennes equation. In this representation, = 0 corresponds to a perfectly transparent interface, while, for increasing , the transparency is reduced towards a complete tunnelling regime. Of course, intermediate regimes can realize intermediate barrier strengths, so that both quasiparticle tunnelling and Andreev reflection processes contribute to the overall conduction through the interface. To calculate the differential conductance, , the BTK theory considers both the normal reflection probability, , and the Andreev reflection probability, , for an electron approaching the N/S interface (from the N side):
where is the conductance in the normal state that can be expressed in terms of the barrier strength as , V is the applied potential, and is the Fermi function.
From Equation (1), it is clear that an electron reflected at the interface causes a reduction of the current through the interface. At the same time, if the electron undergoes the Andreev reflection, it causes an increase in the current because it matches another electron to form a Cooper pair that enters in the superconducting side of the junction (as depicted in Figure 4a). In the presence of a completely transparent barrier ( = 0), the transport current is dominated by the Andreev processes, and, consequently, the differential conductance is twice the normal conductance, i.e., (Figure 5(a1–a3)).
Figure 5.
Comparison of OP symmetries: s-wave (first row), anisotropic s-wave (second row), and d-wave (third row). First column (a1,b1,c1) shows the polar plots (a2,b2,c2) of the OP in the momentum plane, modulus, and phase of the OP; (a3,b3,c3) conductance spectra calculated for Z = 0; (a4,b4,c4) conductance spectra calculated for Z = 0.6; (a5,b5,c5) conductance spectra calculated for Z = 5.0. For d-wave spectra, numerical simulation has been performed for α = π/8.
By increasing , the Andreev reflections are partially suppressed and the conductance spectra for > 1 tend to the case of N/I/S tunnel junctions (with I representing an insulating barrier) showing peaks at (Figure 5(a4,a5)).
Kashiwaya and Tanaka extended the BTK model considering different symmetries of the superconducting order parameter. Indeed, for a d-wave superconductor, the electron-like and hole-like quasiparticles, incident at the N/S interface, experience different signs of the OP, with formation of Andreev Bound States at the Fermi level along the nodal directions. The Andreev Bound States modify the transport current, and, consequently, the expression of the differential conductance, which can be written:
with
in which
and
At a given energy , the transport current depends both on the incident angle of the electrons at the N/S interface as well as on the orientation angle , that is, the angle between the a-axis of the superconducting OP and the x-axis of the crystal structure. When applying Equation (2) to PC experiments, there is no preferential direction of the quasiparticle injection angle from N into S, so the transport current results by an integration over all directions inside a semisphere weighted by the scattering probability term in the expression for the current.
For anisotropic s-wave superconductors, the amplitude of the OP varies in the k-space, while its phase remains constant, and the extended model can be simplified considering that (Figure 5(b1,b2)).
In this case, in the limit of the transparent barrier (), an increase in the conductance for with a triangular profile is found with maximum amplitude at zero bias (Figure 5(b3)). On the other hand, for higher , we obtain tunnelling conductance spectra that show the characteristic “V”-shaped profile (Figure 5(b4,b5)) in comparison to the classical “U”-shaped structure found for an isotropic s-wave OP. We notice that for anisotropic s-wave superconductors, the conductance curves are quite insensitive to and a zero bias conductance peak (ZBCP) is obtained only for low barriers (small ).
In the case of a d-wave symmetry (Figure 5(c1,c2)), for , the conductance curves at low temperatures show again a triangular structure centered at eV = 0 (Figure 5(c3)), quite insensitive to variations of with maximum amplitude . However, for higher barriers (Figure 5(c4,c5)), the conductance characteristics show dramatic changes as a function of . In particular, as soon as , the presence of Andreev Bound States at the Fermi level produces strong effects more evident along the nodal direction for which is found.
4. Results on BiS2-Based Superconductors
Layered materials show interesting electronic and magnetic properties, thanks to their two-dimensional crystal structure and electronic states. In particular, exotic superconductivity seems to prefer a layered crystal structure. For example, high TC superconductivity is observed in layered materials, such as cuprates [9,10,159,160], Fe-based [22,161,162,163,164,165,166,167], and MgB2 [15,168] materials. Among the layered superconductors, the chalcogenides constitute one of the most interesting groups, due to the observation of exotic superconductivity. Sulfur (S), selenium (Se), and tellurium (Te) are categorized as chalcogens [169].
The results are controversial as to the possible mechanism at the basis of superconductivity in BiCh2-based (Ch:S,Se) materials. The gap symmetry of layered superconductors is still an open issue. Both theoretical and experimental investigations have been performed, but, to our knowledge, not many works focus on the direct measurement of size and symmetry of the order parameter.
Early theoretical models [170,171] suggested a conventional strong-coupling mechanism, while subsequent works [40] proposed weak-coupling electron–phonon mechanisms.
The carriers’ doping effect has been investigated by means of computational methods. Theoretical simulations based on density functional theory have been performed by Al-Amer et al. [172] simulating the electronic structure characteristics of Sr1−xHfxFBiS2, with x from 0 to 1. The evaluated band gap of the parent compound (SrFBiS2) is roughly about 0.88 eV, which vanishes under the substitutional impurity impact of tetravalent (Hf + 4). However, a metallic character occurs when Hf substitutes Sr in the SrFBiS2 parent compound. The optical characteristics have also been investigated; the optical anisotropy in the absorption spectra has been found to be well marked in the parent material, while it diminishes through the substitutional Hf impurity effect. From the results, the author suggests that the SrFBiS2 parent compound could be a good candidate for optical communications and laser devices.
The phonon dispersion of LaBiS2O0.5F0.5 has been investigated by first-principles calculations and inelastic X-ray scattering experiments by Tamatskuri et al. [173]. The results show that the phonon mode corresponding to the transverse-type lattice modulation is unstable, suggesting that phonon softening may originate from the Fermi surface nesting. The authors suggest two possibilities for the transverse lattice modulation in LaBiS2O0.5F0.5: the order–disorder-type structural transition and the displacive structural transition with an overdamped mode, for both of which the local structure distortion or the short-range correlation within the BiS2 plane would be essential.
On the experimental side, several techniques usually used for the investigation of superconductivity have been applied to study the electronic structure of BiS2-based superconductors.
Unconventional pairing in LaO0.5F0.5BiS2 has been inferred by means of point-contact spectroscopy [35] by pushing a gold tip onto the surface of polycrystalline samples. Different contacts have been realized, with different normal resistances. The differential conductance vs. voltage measured at low temperature appears in several types (see Figure 6).
Figure 6.
Differential conductance vs. voltage for different resistance contacts made by point-contact spectroscopy on LaO0.5F0.5BiS2, reproduced with permission from Ref. [35].
Although the data seem to be very different from each other, a best fit (red curves) can be obtained by using the BTK model with a d-wave order parameter symmetry. Different Z values have been used; a smearing parameter has been introduced to consider the finite lifetime of the quasiparticles and pair-breaking effects. Although the fits appear to be good, the resulting energy gap values are similar and reasonable only for the curves a and d, i.e., around 4.2 meV. For the other two junctions, b and c, the values used in the fits are much higher, around 13–14 meV. However, the possible formation of intergrain Josephson junctions (JJ) in series with the point contact has been considered. The introduction of JJ also introduces two more parameters into the fitting procedure, the critical current IJJ and the resistance RJJ. When added to the point-contact resistance, RJJ gives the normal resistance RN. For low RN, like, for instance, those of figure a and b, there is no evidence of a contribution from JJ. Considering the JJ contribution, the energy gap fitting parameter for the curves b and c becomes 4.8 meV, consistent with curves a and d. On the other hand, a ZBCP is observed for the low resistance contacts, related to Andreev reflections in the low transparency NS contact. The ZBCP disappears above TC, as shown in Figure 7, where the amplitude of the ZBCP for the 25 Ω contact has been extracted from the conductance measured at different temperatures up to 11 K. The energy gap value obtained by the fittings is also reported and shows the expected decreasing superconducting behavior.
Figure 7.
(a) Normalized differential conductance measured at different temperatures for a low resistance contact on LaO0.5F0.5BiS2. (b) ZBCP amplitude as a function of temperature. (c) Energy gap value obtained by the fits as a function of temperature. All the data are reproduced with permission from Ref. [35].
Aslam et al. [174] performed PCS using a metallic tip of Ag on single crystals of LaOFBiSSe. A conventional four-contacts configuration was used for forming ballistic point contacts, and the differential conductance was directly recorded by means of a lock-in modulation technique. Low temperature data show a two-peak feature conductance (see Figure 8).

Figure 8.
(a) Normalized differential conductance measured on single crystals of LaOFBiSSe by means of PCS at different temperatures. (b) Gap amplitude as a function of temperature. All the data are reproduced with permission from Ref. [174].
The BTK theory with a broadening parameter was used to fit the data, and a value of the gap of 0.61 meV was found at the lowest temperature of 1.51 K. While the lower part of the spectra was well fitted, the higher biases data show a significative deviation from the BTK behavior. Such a difference could be due to a multigap as observed in MgB2, although as the temperature is raised, but still below the TC, the additional spectra features disappear and the BTK behavior is restored. Instead, in MgB2, the features associated with the two gaps survive up to TC and, for this reason, are connected to the superconducting state. Furthermore, the temperature dependence of the energy gap decreases in a way different from the one expected from the BCS theory, suggesting an unconventional nature of the superconductivity in this material. A magnetic field was also applied along the c-axis of the crystal, as well as in the ab-plane. The additional “higher gap” feature observed at zero field disappears at finite field, and the spectra are well fitted with the BTK at any value of the applied field, either in the c direction and in the ab plane. The results, however, show an evident anisotropy in the superconducting properties. The energy gap amplitude indeed decreases faster with the magnetic field applied along the c-direction than in the ab-plane. The anisotropic properties were also investigated by means of measurements made at different field angles (orientation θ ϕ of the applied magnetic field) for fixed magnetic field values, in order to obtain both polar (ϕ = 0 and changing θ) and azimuthal (θ = 0 and changing ϕ) dependence. From the observed behavior, the authors conclude that the superconducting gap has a complex symmetry with different anisotropy factors in different planes.
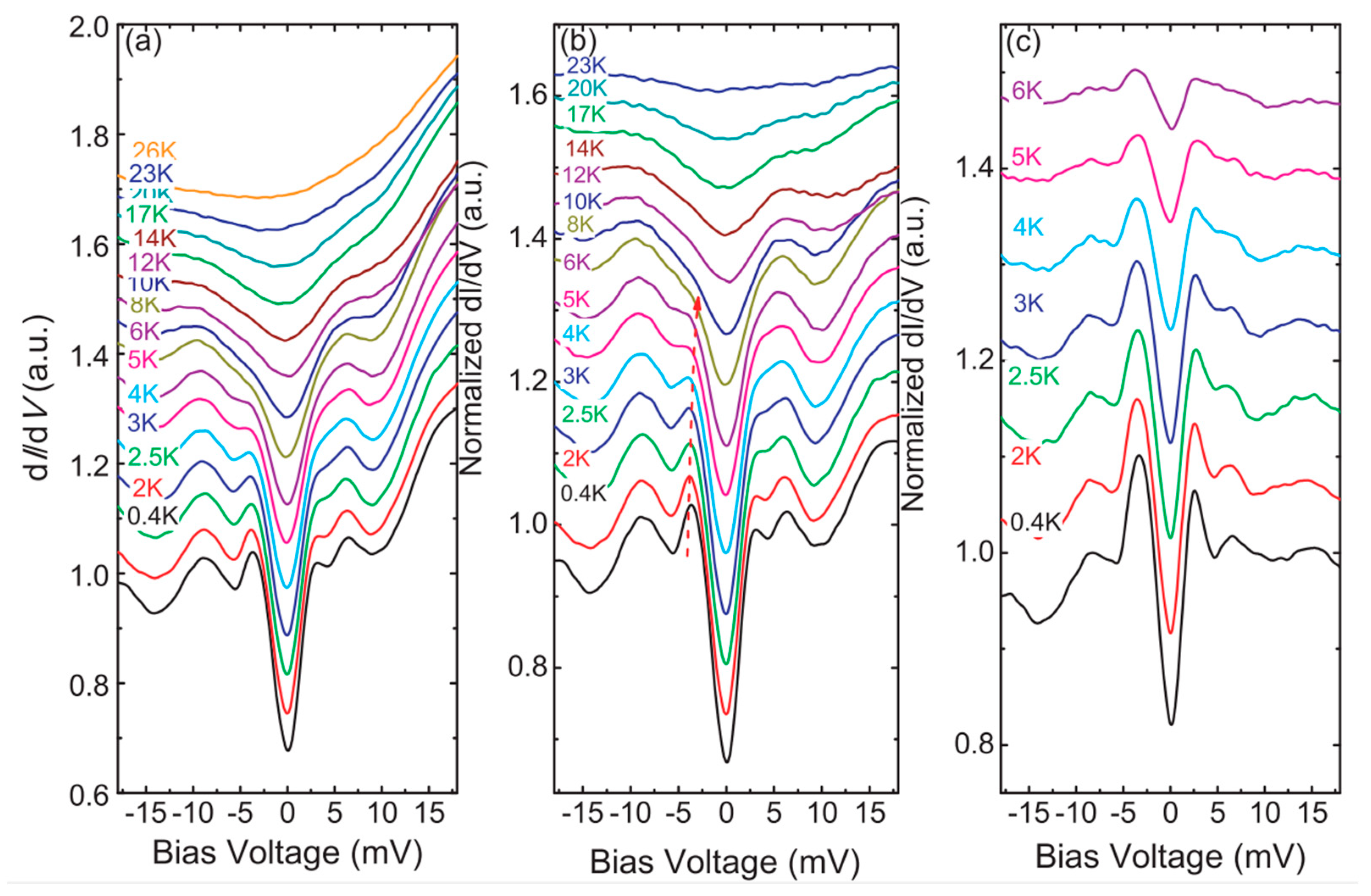
Tunnelling spectra were also recorded by Liu et al. [175]. Single crystals of NdO0.5F0.5BiS2 grown by the flux method were characterized by means of resistivity measurements that showed a giant superconducting fluctuation effect above TC. This effect was also confirmed by Nernst measurements. On one of these samples, Scanning Tunnelling Spectroscopy (STM) measurements were performed. The low temperature spectra exhibit what the authors describe as a two-gap behavior, a smaller gap and a larger gap (see Figure 9).
Figure 9.
STM spectra obtained on single crystals of NdO0.5F0.5BiS2. Data reproduced with permission from Ref. [176]. (a) Temperature evolution of STS spectra for temperature range from 0.4 K to 26 K. (b) The STS spectra are normalized by the one measured at 26 K. A dashed red line highlights the superconducting coherence peaks at around 3.5 meV. (c) The STS spectra are normalized by the one measured at 8 K.
The smaller gap disappears above 6 K, and, for this reason, it has been related to the bulk superconducting transition of 5 K, with a corresponding ratio . On the other hand, the larger gap, which looks like a hump feature, persists up to 26 K. Since Liu et al. do not fit their data to any model, the position of the mentioned structure is just what observed in the raw data, and it could come from other effects not related to the energy gap. Dip–hump features have for instance been observed in the past in the tunnelling spectra of high-TC superconductors. In Bi2Sr2CaCu2O8+δ samples, e.g., it has been argued that the observed dip–hump structure may arise from state-conserving deviations in the superconducting density of states, e.g., from the strong-coupling effect [177].
Multigap superconductivity has also been inferred in La0.7Ce0.3OBiSSe, through transverse field (TF) muon spin rotation measurement, magnetization, resistivity, and zero field (ZF) muon spin relaxation measurements by Bhattacharyya et al. [178]. The total Gaussian muon de-polarization rate σ, i.e., the total sample relaxation rate, contains from both the vortex lattice (σsc) and nuclear dipole moments (σnm), which are assumed to be constant over the entire temperature range. The superconducting contribution to the muon relaxation rate is calculated using [σsc = (σ2 − σ2nm)1/2]. σsc is directly, in the high Hc2 limit, related to the superfluid density, and the temperature dependence of σsc(T)/σsc(0), which is related to energy gap for quasi-particle excitations, was fitted with a single s-wave, anisotropic s-wave, and s+s-wave models. From the fit to the superconducting data, it is clear that the superconducting gap structure is best modeled by an isotropic s + s-wave model compared to a single s-wave model or an anisotropic s-wave model, which is in agreement with the theoretical predictions of BiCh2-based superconductors (see Figure 10).
Figure 10.
Superconducting muon relaxation rate of La0.7Ce0.3OBiSSe reproduced with permission from Ref. [178].
Angle-resolved photoemission spectroscopy (ARPES) performed on high-quality NdO0.54F0.46Bi0.84S1.87 single crystals with a TC of 4.87 K [85] suggest that the BiS2-based superconductors could be conventional BCS superconductors mediated by electron–phonon coupling. The results in Ref. [85] show indeed that the superconductivity can survive for a system with a much smaller Fermi surface volume than that predicted by theories, and that the electron correlation is very weak as well. Therefore, the unconventional quantum-fluctuation-mediated pairing mechanism seems to be not occurring in the BiS2-based superconductors. Instead, this compound seems to behave like a multi-band superconductor due to electron–phonon coupling, such as MgB2. The electronic structure of LaO1−xFxBiS2 single crystals with nearly optimal doping (x = 0.46) was also measured by ARPES [179]. The observed valence bands and band dispersions near EF show a good agreement with the results of first principles band calculations with spin–orbit coupling. For this reason, the authors suggest a low electron correlation, with a clear influence of the spin–orbit coupling on the electronic structure. A strongly anisotropic superconducting gap was observed in ARPES measurements performed on NdO0.711F0.29BiS2 single crystals, suggesting that the pairing mechanism is an unconventional one and that the anisotropy can be ascribed to competitive or cooperative multiple paring interactions [180]. The superconducting gap size was obtained by fitting the energy distribution curves to the BCS spectral function [5], and the Δ(T) behavior is shown in Figure 11.
Figure 11.
(a–e): Energy distribution curves obtained by ARPES on NdO0.711F0.29BiS2 single crystals. (b): Energy gap value obtained from the fits of curves (a) as a function of temperature. Figure is reproduced with permission from Ref. [180].
Unconventional superconductivity was also proposed from the study of the evolution of fine electronic states in superconducting LnO1−xFxBiS2 (Ln stays for lanthanoid) [181]. Small elliptic electronic pockets in the superconducting samples have been identified in the low-doping samples, in contrast with previous theoretical scenarios of nesting vectors between the larger starlike electronic pockets around X(π,0).
Scanning tunnelling microscopy (STM) has been applied to single crystals of NdO0.7F0.3BiS2, revealing the existence of a novel electronic structure in the BiS2 plane [182]. Tunnelling spectra below and above TC showed a large spectroscopic gap (∼40 meV), inconsistent with the metallic nature demonstrated in bulk measurements. The observed feature is not considered a superconducting gap since it persists well above TC and is not combined with coherence peaks (see Figure 12).
Figure 12.
(a,b): STM images. The inset in (a) is a schematic of the crystal structure, with red, gray, yellow, and blue spheres representing Nd, O, S, and Bi atoms, respectively. (c): Fourier transform of (a). Red lines show the spots corresponding to the atomic array. Yellow lines indicate the tails corresponding to the dark streaks running along the diagonal (110) direction of the unit cell. (d): Tunnelling spectra on single crystals of NdO0.7F0.3BiS2. The figure is reproduced with permission from Ref. [182]. © (2014) The Physical Society of Japan.
On the other hand, STM on LaO0.9F0.1BiSe2 single crystals showed a finite local density of states at the Fermi energy [183] (see Figure 13) consistent with metallic conductivity revealed in electric resistivity measurements on single crystals [184] and in bulk samples [185].
Figure 13.
(a,b): STM images. (c): Tunnelling spectra on LaO0.9F0.1BiSe2 single crystals. The figure is reproduced with permission from Ref. [183].
Phonon-mediated superconductivity for BiS2-based materials has also been suggested by Raman scattering experiments [186] and magnetic penetration depth measurements [84].
Thermal conductivity measurements on a high-quality single crystal of NdO0.71F0.29BiS2 down to 100 mK [187] seem to show fully gapped superconductivity with a conventional s-wave superconducting state. To investigate whether electron–phonon interaction is the basis of the pairing mechanism, the isotope effect is one of the most indicated methods routinely used in superconductivity, in agreement with the BCS theory [6]. No isotope effect on TC for LaO0.6F0.4BiSSe with 76Se and 80Se was observed [65], suggesting that phonons may not be essential for the pairing in chalcogenides.
Based on systematic structural analyses, it has been revealed that the in-plane chemical pressure is one of the essential parameters that facilitate the emergence of bulk superconductivity in BiS2-based compounds. The relationship between external pressure effects, chemical pressure effects, and the evolution of superconductivity in Sr0.5RE0.5FBiS2 was analyzed by Yamashita et al. [188]. Structure analysis, resistivity, and magnetic susceptibility measurements were studied under ambient and high pressures for Sr0.5RE0.5FBiS2 (RE: La, Ce, Pr, Nd, and Sm). The effects of external pressure on magnetization resulted in abrupt increments in TC up to 10–10.8 K for the samples with RE = La, Ce, Pr, and Nd. The pressure dependence of TC is summarized in Figure 14; the light blue, blue, and pink regions indicate the filamentary superconductivity, bulk superconductivity in the low-P phase, and bulk superconductivity in the high-P phase, respectively.
Figure 14.
(a–e): The effects of external pressure on magnetization for Sr0.5RE0.5FBiS2 samples with RE = La, Ce, Pr, and Nd. (f–j): Pressure dependence of Tc. This figure is reproduced from Ref. [188] in compliance with CC BY license.
Tomita et al. [73] showed that TC can be increased by applying pressure in the case of polycrystalline samples. S. Yamamoto et al. [189] studied high-pressure effects on the electrical transport properties of La(O,F)BiS2 single crystals, and a discrete enhancement in the TC was observed at 0.9 GPa. The TC values at pressures above 0.9 GPa of a single-crystal sample result slightly lower than those of a polycrystalline sample. A linear decrease in TC with the application of pressure is typically observed in conventional BCS-type superconductors such as MgB2 [190]. The applied pressure is expected to reduce the density of states at the Fermi energy N(0) and enhance the phonon frequency ω because of bandwidth broadening and phonon hardening, respectively. A drastic decrease in the electron–phonon coupling constant λ, however, gives a net TC reduction. The transport measurements and Raman studies under high pressures revealed that the discrete enhancement in TC originated from the structural phase transition. A linear reduction in TC and phonon hardening were observed with an increase in the applied pressure on the high-pressure phase of the La(O,F)BiS2 single crystal, supporting the phonon-mediated pairing mechanism of superconductivity in La(O,F)BiS2.
An unexpected high upper critical field has been observed in dichalcogenides materials. Superconducting states are usually destroyed when a magnetic field is applied to the superconductor, and the maximum field is the upper critical field Bc2 in type-II superconductors. Superconductors that yield high Bc2 have attracted significant attention. Bc2 is determined by two distinct pair-breaking effects: the paramagnetic pair-breaking effect and orbital pair-breaking effect. In 2D superconductors of transition-metal dichalcogenides, the orbital pair-breaking effect is almost quenched, and the paramagnetic pair-breaking effect is predominant, so that the broken in-plane inversion symmetry plays a significant role in superconductivity. The Zeeman-type spin–orbit coupling providing an Ising state causes the enhancement of the Bc2. Hoshi et al. [191] have shown that the inversion symmetry is locally broken in the BiCh2 layer and this causes extremely high in-plane Bc2 in LaO0.5F0.5BiS2−xSex (x = 0.22 and 0.69). The superconducting states were not completely suppressed by applied fields with strengths up to 55 T (see Figure 15).
Figure 15.
In-plane Bc2 in LaO0.5F0.5BiS2−xSex for (a) x = 0.22 and (b) x = 0.69. Figure is reproduced from Ref. [191] in compliance with CC BY license.
Finally, it is worth noting that the coexistence of superconductivity and ferromagnetism in BiS2-based superconductors has been observed, and the relation between charge-density wave (CWD) and superconductivity as well as weak antilocalization (WAL) effects have been discussed, as reported in the following.
CeO1−xFxBiS2 shows superconductivity after F substitution. Further, it simultaneously exhibits ferromagnetic-like ordering in the region where superconductivity exists [192,193]. After high-pressure annealing, superconductivity around 6 K appears when x = 0.7 and 0.9. In this region, ferromagnetism at 7.5 K is dominant. CeO0.3F0.7BiS2 shows the strongest diamagnetic signal among all the samples, while exhibiting ferromagnetic ordering below 7.5 K (see Figure 16).
Figure 16.
Temperature dependence of the magnetic susceptibility measured on CeO1−xFxBiS2 (for x = 0–1.0) after the high-pressure annealing. (a) Curves for x in the range from 0.7 to 1.0. (b) Curves for x in the range from 0 to 0.6. Figure is reproduced with permission from Ref. [192]. © (2014) The Physical Society of Japan.
YbO1−xFxBiS2 material also shows both superconductivity and antiferromagnetic-like ordering below 5.4 K (TC) [45]. In fact, the ZFC and FC magnetic susceptibility vs. T data for YbO0.5F0.5BiS2 both reveal changes and hysteresis at TC and peaks at a temperature of about 2.7 K that appear to be due to magnetic ordering. This interpretation is further supported by a sharp feature in the specific heat near 2.7 K. The relation between CDW and superconductivity has been widely debated, as CDW turns out to be present as a ground state in the phase diagram of many unconventional superconductors, for example, cuprate or transition-metal dichalcogenides (TMDC) superconductors [194,195]. A long-range CDW ground state that coexists with superconductivity has been observed in NdO0.63F0.37BiS2 single crystals using high-energy and high-flux X-ray diffraction [196]. From the data, the authors deduce that the CDW is a bulk intrinsic property, rather than a surface reconstruction. They also suggest that CDW and superconductivity may coexist over a certain doping range in the phase diagram. Like lattice vibrations in a conventional superconductor, charge/orbital fluctuation near the quantum critical point could be capable of mediating superconductivity.
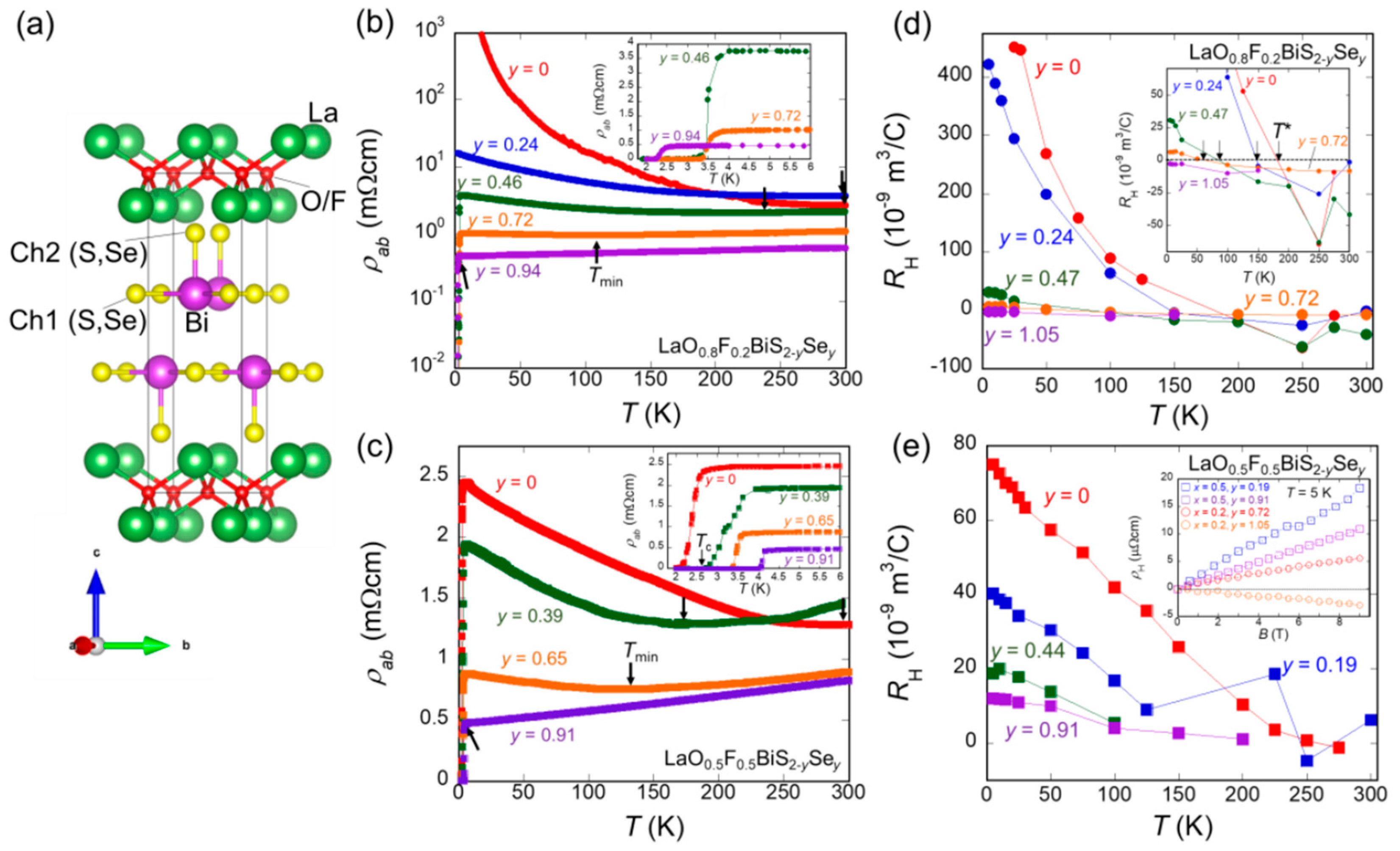
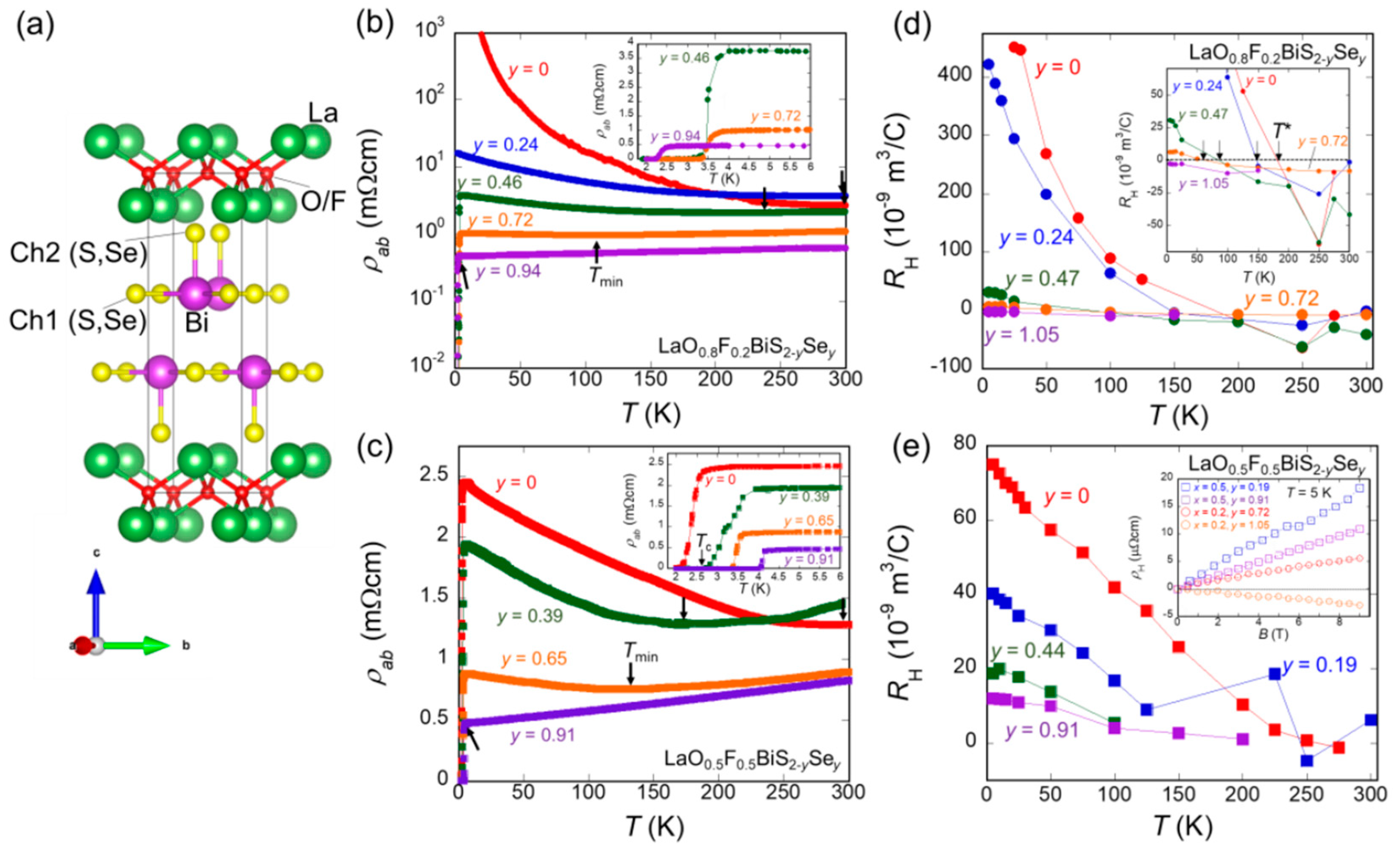
The transport properties of layered LaO1−xFxBiS2−ySey (x = 0.2, 0.5, y = 0–1.05) have shown possible WAL [197]. Electrical resistivity and Hall coefficients (see Figure 17) present an increasing behavior with decreasing temperature, stronger for Se-poor samples. The moderately Se-substituted samples exhibit metallic behavior at high temperatures and a weak increase in the resistivity at low temperatures, suggesting the existence of carrier localization. The heavily Se-substituted compounds show metallic behavior in the whole temperature range; magnetoresistance measurements indicate that WAL is realized in these samples. A crossover state between WAL and weak localization (WL) emerges around the moderately F-doped and Se-free LaO0.8F0.2BiS2. The authors propose that the BiCh2-based system is a good candidate for studying the relationship between localization and superconductivity.
Figure 17.
Electrical resistivity and Hall coefficients of LaO1−xFxBiS2−ySey (x = 0.2, 0.5, y = 0–1.05). (a) Schematic of the crystal structure (solid line indicates the unit cell). (b,c) Temperature dependence of resistivity in the ab-plane, for (b) x = 0.2 and (c) x = 0.5. Different colors indicate Se concentration. The arrows in (b,c) indicate the T value at which the resistivity above 5 K has a minimum. (d,e) Temperature dependence of the Hall coefficient for (d) x = 0.2 and (e) x = 0.5. The arrows in the inset of (d) indicate the sign-change temperature of the Hall coefficient. Reproduced from Ref. [197]. © (2014) The Physical Society of Japan.
5. Conclusions
In this review, the numerous theoretical and experimental results concerning superconducting materials of the BiS2 family are summarized. These materials are generally insulators with a band gap. It is the electron doping of the BiS2 planes that makes the material metallic and induces superconductivity. One of the most interesting characteristics of these materials is the dependence of their superconducting properties on variations in the local crystal structure and stress. Indeed, it has been demonstrated that the application of high external pressure (or even sample preparation under high-pressure conditions) causes a significant increase in the critical temperature. The highest TC (about 11 K) in this family of materials has been achieved in the high-pressure phase of LaO0.5F0.5BiS2. Although the mechanisms underlying superconductivity in BiS2-based materials have not yet been clarified, several important properties have been discovered. First, the anisotropy of superconductivity is extremely high, similar to cuprates. Additionally, large superconducting fluctuations have been observed in single crystals of NdO0.5F0.5BiS2 and polycrystalline samples of Bi4O4S3, suggesting that Cooper pairs could form at temperatures above the bulk TC. The role of charge density waves, the low charge carrier density, and the strong coupling are certainly topics of great interest and are under the attention of the community for future investigations to clarify the mechanism responsible for superconductivity in these materials.
Funding
This research received no external funding.
Conflicts of Interest
The authors declare no conflicts of interest.
References
- Onnes, H.K. The Superconductivity of Mercury. Comm. Phys. Lab. Univ. Leiden 1911, 122, 122–124. [Google Scholar]
- Meissner, W.; Ochsenfeld, R. Ein Neuer Effekt Bei Eintritt Der Supraleitfähigkeit. Naturwissenschaften 1933, 21, 787–788. [Google Scholar] [CrossRef]
- Buzea, C.; Robbie, K. Assembling the Puzzle of Superconducting Elements: A Review. Supercond. Sci. Technol. 2005, 18, R1–R8. [Google Scholar] [CrossRef]
- Shimizu, K. Superconducting Elements under High Pressure. Phys. C Supercond. Its Appl. 2018, 552, 30–33. [Google Scholar] [CrossRef]
- Webb, G.W.; Marsiglio, F.; Hirsch, J.E. Superconductivity in the Elements, Alloys and Simple Compounds. Phys. C Supercond. Its Appl. 2015, 514, 17–27. [Google Scholar] [CrossRef]
- Bardeen, J.; Cooper, L.N.; Schrieffer, J.R. Theory of Superconductivity. Phys. Rev. 1957, 108, 1175–1204. [Google Scholar] [CrossRef]
- Martucciello, N.; Giubileo, F.; Grimaldi, G.; Corato, V. Introduction to the Focus on Superconductivity for Energy. Supercond. Sci. Technol. 2015, 28, 070201. [Google Scholar] [CrossRef]
- Santos, B.M.; Dias, F.J.; Trillaud, F.; Sotelo, G.G.; de Andrade Junior, R. A Review of Technology Readiness Levels for Superconducting Electric Machinery. Energies 2023, 16, 5955. [Google Scholar] [CrossRef]
- Bednorz, J.G.; Müller, K.A. Possible highTc Superconductivity in the Ba-La-Cu-O System. Z. Für Phys. B Condens. Matter 1986, 64, 189–193. [Google Scholar] [CrossRef]
- Wu, M.K.; Ashburn, J.R.; Torng, C.J.; Hor, P.H.; Meng, R.L.; Gao, L.; Huang, Z.J.; Wang, Y.Q.; Chu, C.W. Superconductivity at 93 K in a New Mixed-Phase Y-Ba-Cu-O Compound System at Ambient Pressure. Phys. Rev. Lett. 1987, 58, 908–910. [Google Scholar] [CrossRef]
- Zhou, X.; Lee, W.-S.; Imada, M.; Trivedi, N.; Phillips, P.; Kee, H.-Y.; Törmä, P.; Eremets, M. High-Temperature Superconductivity. Nat. Rev. Phys. 2021, 3, 462–465. [Google Scholar] [CrossRef]
- Lee, P.A.; Nagaosa, N.; Wen, X.-G. Doping a Mott Insulator: Physics of High-Temperature Superconductivity. Rev. Mod. Phys. 2006, 78, 17–85. [Google Scholar] [CrossRef]
- Tsuei, C.C.; Kirtley, J.R. Pairing Symmetry in Cuprate Superconductors. Rev. Mod. Phys. 2000, 72, 969–1016. [Google Scholar] [CrossRef]
- Maeno, Y.; Hashimoto, H.; Yoshida, K.; Nishizaki, S.; Fujita, T.; Bednorz, J.G.; Lichtenberg, F. Superconductivity in a Layered Perovskite without Copper. Nature 1994, 372, 532–534. [Google Scholar] [CrossRef]
- Nagamatsu, J.; Nakagawa, N.; Muranaka, T.; Zenitani, Y.; Akimitsu, J. Superconductivity at 39 K in Magnesium Diboride. Nature 2001, 410, 63–64. [Google Scholar] [CrossRef]
- Giubileo, F.; Roditchev, D.; Sacks, W.; Lamy, R.; Thanh, D.X.; Klein, J.; Miraglia, S.; Fruchart, D.; Marcus, J.; Monod, P. Two-Gap State Density in MgB 2 : A True Bulk Property Or A Proximity Effect? Phys. Rev. Lett. 2001, 87, 177008. [Google Scholar] [CrossRef]
- Bugoslavsky, Y.; Miyoshi, Y.; Perkins, G.K.; Berenov, A.V.; Lockman, Z.; MacManus-Driscoll, J.L.; Cohen, L.F.; Caplin, A.D.; Zhai, H.Y.; Paranthaman, M.P.; et al. Structure of the Superconducting Gap in MgB2 from Point-Contact Spectroscopy. Supercond. Sci. Technol. 2002, 15, 526. [Google Scholar] [CrossRef]
- Giubileo, F.; Roditchev, D.; Sacks, W.; Lamy, R.; Klein, J. Strong Coupling and Double-Gap Density of States in Superconducting MgB2. Europhys. Lett. (EPL) 2002, 58, 764–770. [Google Scholar] [CrossRef][Green Version]
- Kortus, J.; Mazin, I.I.; Belashchenko, K.D.; Antropov, V.P.; Boyer, L.L. Superconductivity of Metallic Boron in MgB2. Phys. Rev. Lett. 2001, 86, 4656–4659. [Google Scholar] [CrossRef]
- Giubileo, F.; Bobba, F.; Scarfato, A.; Cucolo, A.M.; Kohen, A.; Roditchev, D.; Zhigadlo, N.D.; Karpinski, J. Local Tunneling Study of Three-Dimensional Order Parameter in the π Band of Al-Doped MgB2 Single Crystals. Phys. Rev. B 2007, 76, 024507. [Google Scholar] [CrossRef]
- Kohen, A.; Deutscher, G. Symmetry and Temperature Dependence of the Order Parameter in MgB2 from Point Contact Measurements. Phys. Rev. B 2001, 64, 060506. [Google Scholar] [CrossRef]
- Kamihara, Y.; Watanabe, T.; Hirano, M.; Hosono, H. Iron-Based Layered Superconductor La[O1-xFx]FeAs (x = 0.05–0.12) with Tc = 26 K. J. Am. Chem. Soc. 2008, 130, 3296–3297. [Google Scholar] [CrossRef] [PubMed]
- Bauer, E.D.; Frederick, N.A.; Ho, P.-C.; Zapf, V.S.; Maple, M.B. Superconductivity and Heavy Fermion Behavior in PrOs4Sb12. Phys. Rev. B 2002, 65, 100506. [Google Scholar] [CrossRef]
- Xing, J.; Li, S.; Ding, X.; Yang, H.; Wen, H.-H. Superconductivity Appears in the Vicinity of Semiconducting-like Behavior in CeO1-xFxBiS2. Phys. Rev. B 2012, 86, 214518. [Google Scholar] [CrossRef]
- Flores-Livas, J.A.; Boeri, L.; Sanna, A.; Profeta, G.; Arita, R.; Eremets, M. A Perspective on Conventional High-Temperature Superconductors at High Pressure: Methods and Materials. Phys. Rep. 2020, 856, 1–78. [Google Scholar] [CrossRef]
- Drozdov, A.P.; Eremets, M.I.; Troyan, I.A.; Ksenofontov, V.; Shylin, S.I. Conventional Superconductivity at 203 Kelvin at High Pressures in the Sulfur Hydride System. Nature 2015, 525, 73–76. [Google Scholar] [CrossRef]
- Sun, D.; Minkov, V.S.; Mozaffari, S.; Sun, Y.; Ma, Y.; Chariton, S.; Prakapenka, V.B.; Eremets, M.I.; Balicas, L.; Balakirev, F.F. High-Temperature Superconductivity on the Verge of a Structural Instability in Lanthanum Superhydride. Nat. Commun. 2021, 12, 6863. [Google Scholar] [CrossRef]
- Li, D.; Lee, K.; Wang, B.Y.; Osada, M.; Crossley, S.; Lee, H.R.; Cui, Y.; Hikita, Y.; Hwang, H.Y. Superconductivity in an Infinite-Layer Nickelate. Nature 2019, 572, 624–627. [Google Scholar] [CrossRef]
- Di Cataldo, S.; Worm, P.; Tomczak, J.M.; Si, L.; Held, K. Unconventional Superconductivity without Doping in Infinite-Layer Nickelates under Pressure. Nat. Commun. 2024, 15, 3952. [Google Scholar] [CrossRef]
- Fan, Z.; Zhang, J.-F.; Zhan, B.; Lv, D.; Jiang, X.-Y.; Normand, B.; Xiang, T. Superconductivity in Nickelate and Cuprate Superconductors with Strong Bilayer Coupling. Phys. Rev. B 2024, 110, 024514. [Google Scholar] [CrossRef]
- Xu, M.; Zhao, Y.; Chen, Y.; Ding, X.; Leng, H.; Hu, Z.; Wu, X.; Yi, J.; Yu, X.; Breese, M.B.H.; et al. Robust Superconductivity in Infinite-Layer Nickelates. Adv. Sci. 2024, 11, 2305252. [Google Scholar] [CrossRef] [PubMed]
- Goodge, B.H.; Geisler, B.; Lee, K.; Osada, M.; Wang, B.Y.; Li, D.; Hwang, H.Y.; Pentcheva, R.; Kourkoutis, L.F. Resolving the Polar Interface of Infinite-Layer Nickelate Thin Films. Nat. Mater. 2023, 22, 466–473. [Google Scholar] [CrossRef] [PubMed]
- Sun, H.; Huo, M.; Hu, X.; Li, J.; Liu, Z.; Han, Y.; Tang, L.; Mao, Z.; Yang, P.; Wang, B.; et al. Signatures of Superconductivity near 80 K in a Nickelate under High Pressure. Nature 2023, 621, 493–498. [Google Scholar] [CrossRef] [PubMed]
- Huang, W.-M.; Lin, H.-H. Pairing Mechanism in Multiband Superconductors. Sci. Rep. 2020, 10, 7439. [Google Scholar] [CrossRef] [PubMed]
- Giubileo, F.; Romeo, F.; Di Bartolomeo, A.; Mizuguchi, Y.; Romano, P. Probing Unconventional Pairing in LaO0.5F0.5BiS2 Layered Superconductor by Point Contact Spectroscopy. J. Phys. Chem. Solids 2018, 118, 192–199. [Google Scholar] [CrossRef]
- Eremets, M.I. Superconductivity at High Pressure. In Static and Dynamic High Pressure Mineral Physics; Fei, Y., Walter, M.J., Eds.; Cambridge University Press: Cambridge, UK, 2022; pp. 368–386. ISBN 978-1-108-47975-2. [Google Scholar]
- Giubileo, F.; Piano, S.; Scarfato, A.; Bobba, F.; Di Bartolomeo, A.; Cucolo, A.M. A Tunneling Spectroscopy Study of the Pairing Symmetry in the Electron-Doped Pr1-xLaCexCuO4-y. J. Phys. Condens. Matter 2010, 22, 045702. [Google Scholar] [CrossRef]
- Mackenzie, A.P.; Maeno, Y. The Superconductivity of Sr2RuO4 and the Physics of Spin-Triplet Pairing. Rev. Mod. Phys. 2003, 75, 657–712. [Google Scholar] [CrossRef]
- Piano, S.; Bobba, F.; Giubileo, F.; Cucolo, A.M.; Gombos, M.; Vecchione, A. Pairing State in the Ruthenocuprate Superconductor RuSr2GdCu2O8: A Point-Contact Andreev Reflection Spectroscopy Study. Phys. Rev. B 2006, 73, 064514. [Google Scholar] [CrossRef]
- Morice, C.; Akashi, R.; Koretsune, T.; Saxena, S.S.; Arita, R. Weak Phonon-Mediated Pairing in BiS2 Superconductor from First Principles. Phys. Rev. B 2017, 95, 180505. [Google Scholar] [CrossRef]
- Mizuguchi, Y.; Fujihisa, H.; Gotoh, Y.; Suzuki, K.; Usui, H.; Kuroki, K.; Demura, S.; Takano, Y.; Izawa, H.; Miura, O. BiS2-Based Layered Superconductor Bi4O4S3. Phys. Rev. B 2012, 86, 220510. [Google Scholar] [CrossRef]
- Singh, S.K.; Kumar, A.; Gahtori, B.; Shruti; Sharma, G.; Patnaik, S.; Awana, V.P.S. Bulk Superconductivity in Bismuth Oxysulfide Bi4O4S3. J. Am. Chem. Soc. 2012, 134, 16504–16507. [Google Scholar] [CrossRef] [PubMed]
- Mizuguchi, Y.; Demura, S.; Deguchi, K.; Takano, Y.; Fujihisa, H.; Gotoh, Y.; Izawa, H.; Miura, O. Superconductivity in Novel BiS 2 -Based Layered Superconductor LaO1-xFxBiS2. J. Phys. Soc. Jpn. 2012, 81, 114725. [Google Scholar] [CrossRef]
- Demura, S.; Mizuguchi, Y.; Deguchi, K.; Okazaki, H.; Hara, H.; Watanabe, T.; James Denholme, S.; Fujioka, M.; Ozaki, T.; Fujihisa, H.; et al. New Member of BiS2-Based Superconductor NdO1-xFxBiS2. J. Phys. Soc. Jpn. 2013, 82, 033708. [Google Scholar] [CrossRef]
- Yazici, D.; Huang, K.; White, B.D.; Chang, A.H.; Friedman, A.J.; Maple, M.B. Superconductivity of F-Substituted LnOBiS2 (Ln=La, Ce, Pr, Nd, Yb) Compounds. Philos. Mag. 2013, 93, 673–680. [Google Scholar] [CrossRef]
- Jha, R.; Kumar, A.; Kumar Singh, S.; Awana, V.P.S. Synthesis and Superconductivity of New BiS2 Based Superconductor PrO0.5F0.5BiS2. J. Supercond. Nov. Magn. 2013, 26, 499–502. [Google Scholar] [CrossRef]
- Yazici, D.; Huang, K.; White, B.D.; Jeon, I.; Burnett, V.W.; Friedman, A.J.; Lum, I.K.; Nallaiyan, M.; Spagna, S.; Maple, M.B. Superconductivity Induced by Electron Doping in La1-xMxOBiS2 (M = Ti, Zr, Hf, Th). Phys. Rev. B 2013, 87, 174512. [Google Scholar] [CrossRef]
- Mizuguchi, Y.; Miura, A.; Kajitani, J.; Hiroi, T.; Miura, O.; Tadanaga, K.; Kumada, N.; Magome, E.; Moriyoshi, C.; Kuroiwa, Y. In-Plane Chemical Pressure Essential for Superconductivity in BiCh2-Based (Ch: S, Se) Layered Structure. Sci. Rep. 2015, 5, 14968. [Google Scholar] [CrossRef]
- Hiroi, T.; Kajitani, J.; Omachi, A.; Miura, O.; Mizuguchi, Y. Evolution of Superconductivity in BiS2-Based Superconductor LaO0.5F0.5Bi(S1−xSex)2. J. Phys. Soc. Jpn. 2015, 84, 024723. [Google Scholar] [CrossRef]
- Tan, S.G.; Li, L.J.; Liu, Y.; Tong, P.; Zhao, B.C.; Lu, W.J.; Sun, Y.P. Superconducting and Thermoelectric Properties of New Layered Superconductor Bi4O4S3. Phys. C Supercond. 2012, 483, 94–96. [Google Scholar] [CrossRef]
- Kotegawa, H.; Tomita, Y.; Tou, H.; Izawa, H.; Mizuguchi, Y.; Miura, O.; Demura, S.; Deguchi, K.; Takano, Y. Pressure Study of BiS2-Based Superconductors Bi4O4S3 and La(O,F)BiS2. J. Phys. Soc. Jpn. 2012, 81, 103702. [Google Scholar] [CrossRef]
- Nagao, M.; Miura, A.; Demura, S.; Deguchi, K.; Watauchi, S.; Takei, T.; Takano, Y.; Kumada, N.; Tanaka, I. Growth and Superconducting Properties of F-Substituted ROBiS2 (R=La, Ce, Nd) Single Crystals. Solid State Commun. 2014, 178, 33–36. [Google Scholar] [CrossRef]
- Higashinaka, R.; Miyazaki, R.; Mizuguchi, Y.; Miura, O.; Aoki, Y. Low-Temperature Enhancement in the Upper Critical Field of Underdoped LaO1−xFxBiS2 (x = 0.1–0.3). J. Phys. Soc. Jpn. 2014, 83, 075004. [Google Scholar] [CrossRef]
- Kase, N.; Terui, Y.; Nakano, T.; Takeda, N. Superconducting Gap Symmetry of the BiS2-Based Superconductor LaO0.5F0.5BiSSe Elucidated through Specific Heat Measurements. Phys. Rev. B 2017, 96, 214506. [Google Scholar] [CrossRef]
- Deguchi, K.; Mizuguchi, Y.; Demura, S.; Hara, H.; Watanabe, T.; Denholme, S.J.; Fujioka, M.; Okazaki, H.; Ozaki, T.; Takeya, H.; et al. Evolution of Superconductivity in LaO1−xFxBiS2 Prepared by High-Pressure Technique. Europhys. Lett. 2013, 101, 17004. [Google Scholar] [CrossRef]
- Awana, V.P.S.; Kumar, A.; Jha, R.; Kumar Singh, S.; Pal, A.; Shruti; Saha, J.; Patnaik, S. Appearance of Superconductivity in Layered LaO0.5F0.5BiS2. Solid State Commun. 2013, 157, 21–23. [Google Scholar] [CrossRef]
- Mizuguchi, Y.; Miyake, A.; Akiba, K.; Tokunaga, M.; Kajitani, J.; Miura, O. Anisotropic Upper Critical Field of the BiS2-Based Superconductor LaO0.5F0.5BiS2. Phys. Rev. B 2014, 89, 174515. [Google Scholar] [CrossRef]
- Chan, Y.C.; Yip, K.Y.; Cheung, Y.W.; Chan, Y.T.; Niu, Q.; Kajitani, J.; Higashinaka, R.; Matsuda, T.D.; Yanase, Y.; Aoki, Y.; et al. Anisotropic Two-Gap Superconductivity and the Absence of a Pauli Paramagnetic Limit in Single-Crystalline LaO0.5F0.5BiS2. Phys. Rev. B 2018, 97, 104509. [Google Scholar] [CrossRef]
- Jha, R.; Awana, V.P.S. Effect of Se Doping in Recently Discovered Layered Bi4O4S3 Superconductor. Phys. C Supercond. 2014, 498, 45–49. [Google Scholar] [CrossRef]
- Selvan, G.K.; Thakur, G.S.; Manikandan, K.; Uwatoko, Y.; Haque, Z.; Gupta, L.C.; Ganguli, A.K.; Arumugam, S. Upper Critical Field, Critical Current Density and Activation Energy of the New La1−xSmxO0.5F0.5BiS2 (x = 0.2, 0.8) Superconductors. J. Phys. Soc. Jpn. 2015, 84, 124701. [Google Scholar] [CrossRef]
- Kalai Selvan, G.; Thakur, G.S.; Manikandan, K.; Banerjee, A.; Haque, Z.; Gupta, L.C.; Ganguli, A.K.; Arumugam, S. Superconductivity in La1−xSmxO0.5F0.5BiS2 (x = 0.2, 0.8) under Hydrostatic Pressure. J. Phys. D Appl. Phys. 2016, 49, 275002. [Google Scholar] [CrossRef][Green Version]
- Shao, J.; Liu, Z.; Yao, X.; Pi, L.; Tan, S.; Zhang, C.; Zhang, Y. Bulk Superconductivity in Single-Phase Bi3O2S3. Phys. Status Solidi (RRL)-Rapid Res. Lett. 2014, 8, 845–848. [Google Scholar] [CrossRef]
- Li, L.; Parker, D.; Babkevich, P.; Yang, L.; Ronnow, H.M.; Sefat, A.S. Superconductivity in Semimetallic Bi3O2S3. Phys. Rev. B 2015, 91, 104511. [Google Scholar] [CrossRef]
- Nagasaka, K.; Nishida, A.; Jha, R.; Kajitani, J.; Miura, O.; Higashinaka, R.; Matsuda, T.D.; Aoki, Y.; Miura, A.; Moriyoshi, C.; et al. Intrinsic Phase Diagram of Superconductivity in the BiCh2-Based System Without In-Plane Disorder. J. Phys. Soc. Jpn. 2017, 86, 074701. [Google Scholar] [CrossRef]
- Hoshi, K.; Goto, Y.; Mizuguchi, Y. Selenium Isotope Effect in the Layered Bismuth Chalcogenide Superconductor LaO0.6F0.4Bi(S,Se)2. Phys. Rev. B 2018, 97, 094509. [Google Scholar] [CrossRef]
- Tanaka, M.; Yamaki, T.; Matsushita, Y.; Fujioka, M.; Denholme, S.J.; Yamaguchi, T.; Takeya, H.; Takano, Y. Site Selectivity on Chalcogen Atoms in Superconducting La(O,F)BiSSe. Appl. Phys. Lett. 2015, 106, 112601. [Google Scholar] [CrossRef]
- Tanaka, M.; Nagao, M.; Matsumoto, R.; Kataoka, N.; Ueta, I.; Tanaka, H.; Watauchi, S.; Tanaka, I.; Takano, Y. Superconductivity and Its Enhancement under High Pressure in “F-Free” Single Crystals of CeOBiS2. J. Alloys Compd. 2017, 722, 467–473. [Google Scholar] [CrossRef]
- Sugimoto, T.; Paris, E.; Wakita, T.; Terashima, K.; Yokoya, T.; Barinov, A.; Kajitani, J.; Higashinaka, R.; Matsuda, T.D.; Aoki, Y.; et al. Metallic Phase in Stoichiometric CeOBiS2 Revealed by Space-Resolved ARPES. Sci. Rep. 2018, 8, 2011. [Google Scholar] [CrossRef]
- Shao, J.; Liu, Z.; Yao, X.; Zhang, L.; Pi, L.; Tan, S.; Zhang, C.; Zhang, Y. Superconducting Properties of BiSe2-Based LaO1−xFxBiSe2 Single Crystals. Europhys. Lett. 2014, 107, 37006. [Google Scholar] [CrossRef][Green Version]
- Fujioka, M.; Tanaka, M.; Denholme, S.J.; Yamaki, T.; Takeya, H.; Yamaguchi, T.; Takano, Y. Pressure-Induced Phase Transition for Single-Crystalline LaO0.5F0.5BiSe2. Europhys. Lett. 2014, 108, 47007. [Google Scholar] [CrossRef]
- Jha, R.; Awana, V.P.S. Anomalous Impact of Hydrostatic Pressure on Superconductivity of Polycrystalline LaO0.5F0.5BiSe2. J. Supercond. Nov. Magn. 2015, 28, 2229–2233. [Google Scholar] [CrossRef][Green Version]
- Pallecchi, I.; Lamura, G.; Putti, M.; Kajitani, J.; Mizuguchi, Y.; Miura, O.; Demura, S.; Deguchi, K.; Takano, Y. Effect of High-Pressure Annealing on the Normal-State Transport of LaO0.5F0.5BiS2. Phys. Rev. B 2014, 89, 214513. [Google Scholar] [CrossRef]
- Tomita, T.; Ebata, M.; Soeda, H.; Takahashi, H.; Fujihisa, H.; Gotoh, Y.; Mizuguchi, Y.; Izawa, H.; Miura, O.; Demura, S.; et al. Pressure-Induced Enhancement of Superconductivity and Structural Transition in BiS2-Layered LaO1−xFxBiS2. J. Phys. Soc. Jpn. 2014, 83, 063704. [Google Scholar] [CrossRef]
- Omachi, A.; Kajitani, J.; Hiroi, T.; Miura, O.; Mizuguchi, Y. High-Temperature Thermoelectric Properties of Novel Layered Bismuth-Sulfide LaO1−xFxBiS2. J. Appl. Phys. 2014, 115, 083909. [Google Scholar] [CrossRef]
- Fujioka, M.; Nagao, M.; Denholme, S.J.; Tanaka, M.; Takeya, H.; Yamaguchi, T.; Takano, Y. High-Tc Phase of PrO0.5F0.5BiS2 Single Crystal Induced by Uniaxial Pressure. Appl. Phys. Lett. 2014, 105, 052601. [Google Scholar] [CrossRef]
- Kajitani, J.; Deguchi, K.; Hiroi, T.; Omachi, A.; Demura, S.; Takano, Y.; Miura, O.; Mizuguchi, Y. Enhancement of Tc by Uniaxial Lattice Contraction in BiS2-Based Superconductor PrO0.5F0.5BiS2. J. Phys. Soc. Jpn. 2014, 83, 065002. [Google Scholar] [CrossRef]
- Nagao, M.; Miura, A.; Watauchi, S.; Takano, Y.; Tanaka, I. C-Axis Electrical Resistivity of PrO1−aFaBiS2 Single Crystals. Jpn. J. Appl. Phys. 2015, 54, 083101. [Google Scholar] [CrossRef]
- Takahashi, N.; Nagao, M.; Miura, A.; Watauchi, S.; Tadanaga, K.; Takano, Y.; Tanaka, I. Synthesis of Bi2(O,F)S2 Superconductors by NaF Treatment. J. Ceram. Soc. Jpn. 2018, 126, 591–593. [Google Scholar] [CrossRef]
- Okada, T.; Ogino, H.; Shimoyama, J.; Kishio, K. Topotactic Synthesis of a New BiS2-Based Superconductor Bi2(O,F)S2. Appl. Phys. Express 2015, 8, 023102. [Google Scholar] [CrossRef]
- Shao, J.; Yao, X.; Liu, Z.; Pi, L.; Tan, S.; Zhang, C.; Zhang, Y. Superconductivity in BiO1−xFxBiS2 and Possible Parent Phase of Bi4O4S3 Superconductor. Supercond. Sci. Technol. 2014, 28, 015008. [Google Scholar] [CrossRef]
- Fang, Y.; Wolowiec, C.T.; Breindel, A.J.; Yazici, D.; Ho, P.-C.; Maple, M.B. Upper Critical Magnetic Field of LnO0.5F0.5BiS2 (Ln = La, Nd) Superconductors at Ambient and High Pressure. Supercond. Sci. Technol. 2017, 30, 115004. [Google Scholar] [CrossRef]
- Jha, R.; Awana, V.P.S. Superconducting Properties of BiS2-Based Superconductor NdO1−xFxBiS2 (x = 0 to 0.9). Mater. Res. Express 2014, 1, 016002. [Google Scholar] [CrossRef]
- Wang, X.B.; Nie, S.M.; Wang, H.P.; Zheng, P.; Wang, P.; Dong, T.; Weng, H.M.; Wang, N.L. Optical Spectroscopy Study of Nd(O,F)BiS2 Single Crystals. Phys. Rev. B 2014, 90, 054507. [Google Scholar] [CrossRef]
- Jiao, L.; Weng, Z.; Liu, J.; Zhang, J.; Pang, G.; Guo, C.; Gao, F.; Zhu, X.; Wen, H.-H.; Yuan, H.Q. Evidence for Nodeless Superconductivity in NdO1−xFxBiS2 (x = 0.3 and 0.5) Single Crystals. J. Phys. Condens. Matter 2015, 27, 225701. [Google Scholar] [CrossRef] [PubMed][Green Version]
- Ye, Z.R.; Yang, H.F.; Shen, D.W.; Jiang, J.; Niu, X.H.; Feng, D.L.; Du, Y.P.; Wan, X.G.; Liu, J.Z.; Zhu, X.Y.; et al. Electronic Structure of Single-Crystalline NdO0.5F0.5BiS2 Studied by Angle-Resolved Photoemission Spectroscopy. Phys. Rev. B 2014, 90, 045116. [Google Scholar] [CrossRef]
- Kajitani, J.; Hiroi, T.; Omachi, A.; Miura, O.; Mizuguchi, Y. Increase in Tcand Change of Crystal Structure by High-Pressure Annealing in BiS2-Based Superconductor CeO0.3F0.7BiS2. J. Supercond. Nov. Magn. 2015, 28, 1129–1133. [Google Scholar] [CrossRef]
- Jha, R.; Awana, V.P.S. Superconductivity in Layered CeO0.5F0.5BiS2. J. Supercond. Nov. Magn. 2014, 27, 1–4. [Google Scholar] [CrossRef]
- Wolowiec, C.T.; White, B.D.; Jeon, I.; Yazici, D.; Huang, K.; Maple, M.B. Enhancement of Superconductivity near the Pressure-Induced Semiconductor–Metal Transition in the BiS2-Based Superconductors LnO0.5F0.5BiS2 (Ln = La, Ce, Pr, Nd). J. Phys. Condens. Matter 2013, 25, 422201. [Google Scholar] [CrossRef]
- Wolowiec, C.T.; Yazici, D.; White, B.D.; Huang, K.; Maple, M.B. Pressure-Induced Enhancement of Superconductivity and Suppression of Semiconducting Behavior in LnO0.5F0.5BiS2 (Ln = La,Ce) Compounds. Phys. Rev. B 2013, 88, 064503. [Google Scholar] [CrossRef]
- Daghero, D.; Gonnelli, R.S. Probing Multiband Superconductivity by Point-Contact Spectroscopy. Supercond. Sci. Technol. 2010, 23, 043001. [Google Scholar] [CrossRef]
- Naidyuk, Y.G.; Yanson, I.K. Point-Contact Spectroscopy; Springer Series in Solid-State Sciences; Springer: New York, NY, USA, 2005; Volume 145, ISBN 978-1-4419-1938-0. [Google Scholar]
- Yanson, I.K. Nonlinear Effects in the Electric Conductivity of Point Junctions and Electron-Phonon Interaction in Normal Metals. Zhurnal Ehksperimental’noj I Teor. Fiz. 1974, 66, 1035–1050. [Google Scholar]
- Baltz, V.; Naylor, A.D.; Seemann, K.M.; Elder, W.; Sheen, S.; Westerholt, K.; Zabel, H.; Burnell, G.; Marrows, C.H.; Hickey, B.J. Conductance Features in Point Contact Andreev Reflection Spectra. J. Phys. Condens. Matter 2009, 21, 095701. [Google Scholar] [CrossRef] [PubMed]
- Srikanth, H.; Raychaudhuri, A.K. Modeling Tunneling Data of Normal Metal-Oxide Superconductor Point Contact Junctions. Phys. C Supercond. 1992, 190, 229–233. [Google Scholar] [CrossRef]
- Blonder, G.E.; Tinkham, M. Metallic to Tunneling Transition in Cu-Nb Point Contacts. Phys. Rev. B 1983, 27, 112–118. [Google Scholar] [CrossRef]
- Gonnelli, R.S.; Daghero, D.; Ummarino, G.A.; Stepanov, V.A.; Jun, J.; Kazakov, S.M.; Karpinski, J. Direct Evidence for Two-Band Superconductivity in MgB2 Single Crystals from Directional Point-Contact Spectroscopy in Magnetic Fields. Phys. Rev. Lett. 2002, 89, 247004. [Google Scholar] [CrossRef] [PubMed]
- Daghero, D.; Gonnelli, R.S.; Ummarino, G.A.; Stepanov, V.A.; Jun, J.; Kazakov, S.M.; Karpinski, J. Point-Contact Spectroscopy in MgB2 Single Crystals in Magnetic Field. Phys. C Supercond. 2003, 385, 255–263. [Google Scholar] [CrossRef]
- Sharvin, Y.V. A Possible Method for Studying Fermi Surfaces. J. Exp. Theor. Phys. 1963, 21, 655. [Google Scholar]
- Maxwell, J.C. A Treatise on Electricity and Magnetism; Dover Publishing: New York, NY, USA, 1961; Volume 1, ISBN 978-0-486-60636-1. [Google Scholar]
- Wexler, G. The Size Effect and the Non-Local Boltzmann Transport Equation in Orifice and Disk Geometry. Proc. Phys. Soc. 1966, 89, 927. [Google Scholar] [CrossRef]
- Andreev, A.F. Thermal Conductivity of the Intermediate State of Superconductors. Sov. Phys. JEPT 1965, 20, 1490–1493. [Google Scholar]
- Saint-James, D. Excitations Élémentaires Au Voisinage de La Surface de Séparation d’un Métal Normal et d’un Métal Supraconducteur. J. Phys. Fr. 1964, 25, 899–905. [Google Scholar] [CrossRef]
- de Gennes, P.G. Superconductivity of Metals and Alloys; W. A. Benjamin, Inc.: New York, NY, USA, 1966. [Google Scholar]
- Huang, Q.; Zasadzinski, J.F.; Gray, K.E. Phonon Spectroscopy of Superconducting Nb Using Point-Contact Tunneling. Phys. Rev. B 1990, 42, 7953–7959. [Google Scholar] [CrossRef]
- Duif, A.M.; Jansen, A.G.M.; Wyder, P. Point-Contact Spectroscopy. J. Phys. Condens. Matter 1989, 1, 3157–3189. [Google Scholar] [CrossRef]
- Sheet, G.; Mukhopadhyay, S.; Raychaudhuri, P. Role of Critical Current on the Point-Contact Andreev Reflection Spectra between a Normal Metal and a Superconductor. Phys. Rev. B 2004, 69, 134507. [Google Scholar] [CrossRef]
- Qazilbash, M.M.; Biswas, A.; Dagan, Y.; Ott, R.A.; Greene, R.L. Point-Contact Spectroscopy of the Electron-Doped Cuprate Superconductor Pr2-xCexCuO4: The Dependence of Conductance-Voltage Spectra on Cerium Doping, Barrier Strength, and Magnetic Field. Phys. Rev. B 2003, 68, 024502. [Google Scholar] [CrossRef]
- Yates, K.A.; Cohen, L.F.; Ren, Z.-A.; Yang, J.; Lu, W.; Dong, X.-L.; Zhao, Z.-X. Point Contact Andreev Reflection Spectroscopy of NdFeAsO0.85. Supercond. Sci. Technol. 2008, 21, 092003. [Google Scholar] [CrossRef][Green Version]
- Biswas, A.; Fournier, P.; Qazilbash, M.M.; Smolyaninova, V.N.; Balci, H.; Greene, R.L. Evidence of a d- to s-Wave Pairing Symmetry Transition in the Electron-Doped Cuprate Superconductor Pr2-xCexCuO4. Phys. Rev. Lett. 2002, 88, 207004. [Google Scholar] [CrossRef]
- Akimenko, A.I.; Goll, G.; Löhneysen, H.v.; Gudimenko, V.A. Distribution of Superconducting Energy Gaps in GdBa2Cu3O7 Obtained from Point-Contact Spectroscopy. Phys. Rev. B 1992, 46, 6409–6412. [Google Scholar] [CrossRef]
- Piano, S.; Bobba, F.; Giubileo, F.; Santis, A.D.; Cucolo, A.M. Point Contact Spectroscopy on Ferromagnetic/Superconducting Heterostructures. Phys. C Supercond. 2007, 460–462, 886–887. [Google Scholar] [CrossRef]
- Wei, J.Y.T.; Yeh, N.-C.; Garrigus, D.F.; Strasik, M. Directional Tunneling and Andreev Reflection on YBa2Cu3O7-δ Single Crystals: Predominance of d-Wave Pairing Symmetry Verified with the Generalized Blonder, Tinkham, and Klapwijk Theory. Phys. Rev. Lett. 1998, 81, 2542–2545. [Google Scholar] [CrossRef]
- Piano, S.; Bobba, F.; Giubileo, F.; Vecchione, A.; Cucolo, A.M. Point-Contact Spectroscopy on RuSr2GdCu2O8. J. Phys. Chem. Solids 2006, 67, 384–386. [Google Scholar] [CrossRef]
- Piano, S.; Bobba, F.; Giubileo, F.; Cucolo, A.M.; Vecchione, A. Point contact study of the superconducting order parameter in RuSr2GdCu2O8. Int. J. Mod. Phys. B 2005, 19, 323–325. [Google Scholar] [CrossRef]
- Giubileo, F.; Bobba, F.; Scarfato, A.; Piano, S.; Aprili, M.; Cucolo, A.M. Temperature Evolution of Subharmonic Gap Structures in MgB2/Nb Point-Contacts. Phys. C Supercond. Its Appl. 2007, 460–462, 587–588. [Google Scholar] [CrossRef]
- Takasaki, T.; Ekino, T.; Ribeiro, R.A.; Muranaka, T.; Fujii, H.; Akimitsu, J. Point-Contact Spectroscopy Measurements of Binary Superconductor MgB2. Phys. C Supercond. 2005, 426–431, 300–303. [Google Scholar] [CrossRef]
- Lee, S.; Khim, Z.G.; Chong, Y.; Moon, S.H.; Lee, H.N.; Kim, H.G.; Oh, B.; Jip Choi, E. Measurement of the Superconducting Gap of MgB2 by Point Contact Spectroscopy. Phys. C Supercond. 2002, 377, 202–207. [Google Scholar] [CrossRef]
- Samuely, P.; Szabó, P.; Pribulová, Z.; Kačmarčík, J. Point-Contact Spectroscopy of Multigap Superconductors. In Nanoscience and Engineering in Superconductivity; Moshchalkov, V., Woerdenweber, R., Lang, W., Eds.; Springer: Berlin/Heidelberg, Germany, 2010; pp. 187–210. ISBN 978-3-642-15137-8. [Google Scholar]
- Szabó, P.; Samuely, P.; Pribulová, Z.; Angst, M.; Bud’ko, S.; Canfield, P.C.; Marcus, J. Point-Contact Spectroscopy of Al- and C-Doped MgB2: Superconducting Energy Gaps and Scattering Studies. Phys. Rev. B 2007, 75, 144507. [Google Scholar] [CrossRef]
- Szabó, P.; Samuely, P.; Kačmarčík, J.; Klein, T.; Marcus, J.; Fruchart, D.; Miraglia, S.; Marcenat, C.; Jansen, A.G.M. Evidence for Two Superconducting Energy Gaps in MgB2 by Point-Contact Spectroscopy. Phys. Rev. Lett. 2001, 87, 137005. [Google Scholar] [CrossRef] [PubMed]
- Samuely, P.; Szabó, P.; Kačmarčík, J.; Klein, T.; Jansen, A.G.M. Point-Contact Spectroscopy of MgB2. Phys. C Supercond. 2003, 385, 244–254. [Google Scholar] [CrossRef]
- Gonnelli, R.S.; Daghero, D.; Calzolari, A.; Ummarino, G.A.; Dellarocca, V.; Stepanov, V.A.; Kazakov, S.M.; Karpinski, J.; Portesi, C.; Monticone, E.; et al. Point-Contact Spectroscopy in MgB2: From Fundamental Physics to Thin-Film Characterization. Supercond. Sci. Technol. 2004, 17, S93. [Google Scholar] [CrossRef]
- Romano, P.; Avitabile, F.; Nigro, A.; Grimaldi, G.; Leo, A.; Shu, L.; Zhang, J.; Di Bartolomeo, A.; Giubileo, F. Transport and Point Contact Measurements on Pr1−xCexPt4Ge12 Superconducting Polycrystals. Nanomaterials 2020, 10, 1810. [Google Scholar] [CrossRef]
- Romano, P.; Avitabile, F.; Di Bartolomeo, A.; Giubileo, F. Point Contact Spectroscopy: A Powerful Technique for the Low Temperature Characterization of Superconducting Materials. In Proceedings of the 2022 IEEE 9th International Workshop on Metrology for AeroSpace (MetroAeroSpace), Pisa, Italy, 27–29 June 2022; pp. 532–537. [Google Scholar]
- Arham, H.Z.; Greene, L.H. Point Contact Spectroscopy of Fe Pnictides and Chalcogenides in the Normal State. Curr. Opin. Solid State Mater. Sci. 2013, 17, 81–88. [Google Scholar] [CrossRef]
- Gonnelli, R.S.; Daghero, D.; Tortello, M.; Ummarino, G.A.; Stepanov, V.A.; Kremer, R.K.; Kim, J.S.; Zhigadlo, N.D.; Karpinski, J. Point-Contact Andreev-Reflection Spectroscopy in ReFeAsO1−xFx (Re = La, Sm): Possible Evidence for Two Nodeless Gaps. Phys. C Supercond. 2009, 469, 512–520. [Google Scholar] [CrossRef]
- Lu, X.; Park, W.K.; Yuan, H.Q.; Chen, G.F.; Luo, G.L.; Wang, N.L.; Sefat, A.S.; McGuire, M.A.; Jin, R.; Sales, B.C.; et al. Point-Contact Spectroscopic Studies on Normal and Superconducting AFe2As2-Type Iron Pnictide Single Crystals. Supercond. Sci. Technol. 2010, 23, 054009. [Google Scholar] [CrossRef]
- Naidyuk, Y.G.; Kvitnitskaya, O.E.; Gamayunova, N.V.; Bashlakov, D.L.; Tyutrina, L.V.; Fuchs, G.; Hühne, R.; Chareev, D.A.; Vasiliev, A.N. Superconducting Gaps in FeSe Studied by Soft Point-Contact Andreev Reflection Spectroscopy. Phys. Rev. B 2017, 96, 094517. [Google Scholar] [CrossRef]
- Daghero, D.; Tortello, M.; Ummarino, G.A.; Gonnelli, R.S. Directional Point-Contact Andreev-Reflection Spectroscopy of Fe-Based Superconductors: Fermi Surface Topology, Gap Symmetry, and Electron–Boson Interaction. Rep. Prog. Phys. 2011, 74, 124509. [Google Scholar] [CrossRef]
- Zhan, H.-X.; Lin, Y.-C.; Zhao, Y.-Q.; Zuo, H.-Y.; Wang, X.-Y.; Ma, X.-Y.; Li, C.-H.; Luo, H.-Q.; Chen, G.-F.; Li, S.-L.; et al. Anisotropic S-Wave Gap in the Vicinity of a Quantum Critical Point in Superconducting BaFe2(As1–xPx)2 Single Crystals: A Study of Point-Contact Spectroscopy. Chin. Phys. Lett. 2024, 41, 047402. [Google Scholar] [CrossRef]
- Daghero, D.; Piatti, E.; Zhigadlo, N.D.; Ummarino, G.A.; Barbero, N.; Shiroka, T. Superconductivity of Underdoped PrFeAs(O,F) Investigated via Point-Contact Spectroscopy and Nuclear Magnetic Resonance. Phys. Rev. B 2020, 102, 104513. [Google Scholar] [CrossRef]
- Fogelström, M.; Park, W.K.; Greene, L.H.; Goll, G.; Graf, M.J. Point-Contact Spectroscopy in Heavy-Fermion Superconductors. Phys. Rev. B 2010, 82, 014527. [Google Scholar] [CrossRef]
- Goll, G.; Brugger, T.; Marz, M.; Kontermann, S.; Löhneysen, H.v.; Sayles, T.; Maple, M.B. Point-Contact Spectroscopy on Heavy-Fermion Superconductors. Phys. B Condens. Matter 2006, 378–380, 665–668. [Google Scholar] [CrossRef][Green Version]
- Motoyama, G.; Ogawa, S.; Matsubayashi, K.; Fujiwara, K.; Miyoshi, K.; Nishigori, S.; Mutou, T.; Yamaguchi, A.; Sumiyama, A.; Uwatoko, Y. Point-Contact Spectroscopy of Heavy Fermion Compounds CeCu6 and CeAl3 in Magnetic Field. Phys. Procedia 2015, 75, 296–302. [Google Scholar] [CrossRef][Green Version]
- Onuki, R.; Sumiyama, A.; Oda, Y.; Yasuda, T.; Settai, R.; Ōnuki, Y. Point-Contact Spectroscopy of the Heavy-Fermion Superconductor CePt3Si. J. Phys. Condens. Matter 2009, 21, 075703. [Google Scholar] [CrossRef][Green Version]
- Sakai, Y.; Motoyama, G.; Yamaguchi, A.; Sumiyama, A.; Yamamura, A.; Sato, I. Development of Point-Contact Spectroscopy of Heavy-Fermion Superconductors under Pressure. J. Phys. Soc. Jpn. 2012, 81, SB068. [Google Scholar] [CrossRef]
- Sumiyama, A.; Onuki, R.; Oda, Y.; Shishido, H.; Settai, R.; Ōnuki, Y. Point-Contact Study of the Heavy-Fermion Superconductor CeCoIn5. J. Phys. Chem. Solids 2008, 69, 3018–3021. [Google Scholar] [CrossRef]
- Yin, L.; Che, L.; Le, T.; Chen, Y.; Zhang, Y.; Lee, H.; Gnida, D.; Thompson, J.D.; Kaczorowski, D.; Lu, X. Point-Contact Spectroscopy of Heavy Fermion Superconductors Ce2PdIn8 and Ce3PdIn11 in Comparison with CeCoIn5. J. Phys. Condens. Matter 2021, 33, 205603. [Google Scholar] [CrossRef] [PubMed]
- Wang, H.; Li, Y.; Ji, H.; Luo, J.; Yan, D.; Shi, Y.; Wang, J. Point-Contact Andreev Reflection Measurements on ZrRuAs Single Crystals. Low Temp. Phys. 2023, 49, 841–846. [Google Scholar] [CrossRef]
- Huang, Y.; Yan, J.; Wang, Y.; Shan, L.; Luo, Q.; Wang, W.; Wen, H.-H. Isotropic S-Wave Pairing Symmetry in Non-Centrosymmetric Re3W Revealed by Point-Contact Spectroscopy. Supercond. Sci. Technol. 2008, 21, 075011. [Google Scholar] [CrossRef][Green Version]
- Parab, P.; Singh, D.; Haram, S.; Singh, R.P.; Bose, S. Point Contact Andreev Reflection Studies of a Non-Centro Symmetric Superconductor Re6Zr. Sci. Rep. 2019, 9, 2498. [Google Scholar] [CrossRef]
- Dai, W.; Richardella, A.; Du, R.; Zhao, W.; Liu, X.; Liu, C.X.; Huang, S.-H.; Sankar, R.; Chou, F.; Samarth, N.; et al. Proximity-Effect-Induced Superconducting Gap in Topological Surface States—A Point Contact Spectroscopy Study of NbSe2/Bi2Se3 Superconductor-Topological Insulator Heterostructures. Sci. Rep. 2017, 7, 7631. [Google Scholar] [CrossRef]
- Naidyuk, Y.; Kvitnitskaya, O.; Bashlakov, D.; Aswartham, S.; Morozov, I.; Chernyavskii, I.; Fuchs, G.; Drechsler, S.-L.; Hühne, R.; Nielsch, K.; et al. Surface Superconductivity in the Weyl Semimetal MoTe2 Detected by Point Contact Spectroscopy. 2D Mater. 2018, 5, 045014. [Google Scholar] [CrossRef]
- Soulen, R.J.; Byers, J.M.; Osofsky, M.S.; Nadgorny, B.; Ambrose, T.; Cheng, S.F.; Broussard, P.R.; Tanaka, C.T.; Nowak, J.; Moodera, J.S.; et al. Measuring the Spin Polarization of a Metal with a Superconducting Point Contact. Science 1998, 282, 85–88. [Google Scholar] [CrossRef]
- Upadhyay, S.K.; Palanisami, A.; Louie, R.N.; Buhrman, R.A. Probing Ferromagnets with Andreev Reflection. Phys. Rev. Lett. 1998, 81, 3247–3250. [Google Scholar] [CrossRef]
- Strijkers, G.J.; Ji, Y.; Yang, F.Y.; Chien, C.L.; Byers, J.M. Andreev Reflections at Metal/Superconductor Point Contacts: Measurement and Analysis. Phys. Rev. B 2001, 63, 104510. [Google Scholar] [CrossRef]
- Kant, C.H.; Kurnosikov, O.; Filip, A.T.; LeClair, P.; Swagten, H.J.M.; De Jonge, W.J.M. Origin of Spin-Polarization Decay in Point-Contact Andreev Reflection. Phys. Rev. B 2002, 66, 212403. [Google Scholar] [CrossRef]
- DeSisto, W.J.; Broussard, P.R.; Ambrose, T.F.; Nadgorny, B.E.; Osofsky, M.S. Highly Spin-Polarized Chromium Dioxide Thin Films Prepared by Chemical Vapor Deposition from Chromyl Chloride. Appl. Phys. Lett. 2000, 76, 3789–3791. [Google Scholar] [CrossRef]
- Löfwander, T.; Grein, R.; Eschrig, M. Is CrO2 Fully Spin Polarized? Analysis of Andreev Spectra and Excess Current. Phys. Rev. Lett. 2010, 105, 207001. [Google Scholar] [CrossRef] [PubMed]
- Nadgorny, B.; Soulen, R.J.; Osofsky, M.S.; Mazin, I.I.; Laprade, G.; Van De Veerdonk, R.J.M.; Smits, A.A.; Cheng, S.F.; Skelton, E.F.; Qadri, S.B. Transport Spin Polarization of NixFe1−x: Electronic Kinematics and Band Structure. Phys. Rev. B 2000, 61, R3788–R3791. [Google Scholar] [CrossRef]
- Nadgorny, B.; Mazin, I.I.; Osofsky, M.; Soulen, R.J.; Broussard, P.; Stroud, R.M.; Singh, D.J.; Harris, V.G.; Arsenov, A.; Mukovskii, Y. Origin of High Transport Spin Polarization in La0.7Sr0.3MnO3: Direct Evidence for Minority Spin States. Phys. Rev. B 2001, 63, 184433. [Google Scholar] [CrossRef]
- Ji, Y.; Chien, C.L.; Tomioka, Y.; Tokura, Y. Measurement of Spin Polarization of Single Crystals of La0.7Sr0.3MnO3 and La0.6Sr0.4MnO3. Phys. Rev. B 2002, 66, 012410. [Google Scholar] [CrossRef]
- Raychaudhuri, P.; Mackenzie, A.P.; Reiner, J.W.; Beasley, M.R. Transport Spin Polarization in SrRuO3 Measured through Point-Contact Andreev Reflection. Phys. Rev. B 2003, 67, 020411. [Google Scholar] [CrossRef]
- Nadgorny, B.; Osofsky, M.S.; Singh, D.J.; Woods, G.T.; Soulen, R.J., Jr.; Lee, M.K.; Bu, S.D.; Eom, C.B. Measurements of Spin Polarization of Epitaxial SrRuO3 Thin Films. Appl. Phys. Lett. 2003, 82, 427–429. [Google Scholar] [CrossRef]
- Romeo, F.; Giubileo, F.; Citro, R.; Di Bartolomeo, A.; Attanasio, C.; Cirillo, C.; Polcari, A.; Romano, P. Resonant Andreev Spectroscopy in Normal-Metal/Thin-Ferromagnet/Superconductor Device: Theory and Application. Sci. Rep. 2015, 5, 17544. [Google Scholar] [CrossRef]
- Catapano, M.; Romeo, F.; Citro, R.; Giubileo, F. Generalized Blonder-Tinkham-Klapwijk Theory and Conductance Spectra with Particle-Hole Mixing Interface Potential. Eur. Phys. J. B 2015, 88, 329. [Google Scholar] [CrossRef][Green Version]
- Giubileo, F.; Romeo, F.; Citro, R.; Di Bartolomeo, A.; Attanasio, C.; Cirillo, C.; Polcari, A.; Romano, P. Point Contact Andreev Reflection Spectroscopy on Ferromagnet/Superconductor Bilayers. Phys. C Supercond. Its Appl. 2014, 503, 158–161. [Google Scholar] [CrossRef]
- Blonder, G.E.; Tinkham, M.; Klapwijk, T.M. Transition from Metallic to Tunneling Regimes in Superconducting Microconstrictions: Excess Current, Charge Imbalance, and Supercurrent Conversion. Phys. Rev. B 1982, 25, 4515–4532. [Google Scholar] [CrossRef]
- Maeda, H.; Tanaka, Y.; Fukutomi, M.; Asano, T. A New High-Tc Oxide Superconductor without a Rare Earth Element. Jpn. J. Appl. Phys. 1988, 27, L209. [Google Scholar] [CrossRef]
- Schilling, A.; Cantoni, M.; Guo, J.D.; Ott, H.R. Superconductivity above 130 K in the Hg–Ba–Ca–Cu–O System. Nature 1993, 363, 56–58. [Google Scholar] [CrossRef]
- Chen, X.H.; Wu, T.; Wu, G.; Liu, R.H.; Chen, H.; Fang, D.F. Superconductivity at 43 K in SmFeAsO1-xFx. Nature 2008, 453, 761–762. [Google Scholar] [CrossRef]
- Ren, Z.-A.; Lu, W.; Yang, J.; Yi, W.; Shen, X.-L.; Zheng, C.; Che, G.-C.; Dong, X.-L.; Sun, L.-L.; Fang, Z.; et al. Superconductivity at 55 K in Iron-Based F-Doped Layered Quaternary Compound Sm[O1-xFx]FeAs. Chin. Phys. Lett. 2008, 25, 2215–2216. [Google Scholar] [CrossRef]
- Rotter, M.; Tegel, M.; Johrendt, D. Superconductivity at 38 K in the Iron Arsenide (Ba1−xKx)Fe2As2. Phys. Rev. Lett. 2008, 101, 107006. [Google Scholar] [CrossRef]
- Wang, X.C.; Liu, Q.Q.; Lv, Y.X.; Gao, W.B.; Yang, L.X.; Yu, R.C.; Li, F.Y.; Jin, C.Q. The Superconductivity at 18 K in LiFeAs System. Solid State Commun. 2008, 148, 538–540. [Google Scholar] [CrossRef]
- Yeh, K.-W.; Huang, T.-W.; Huang, Y.; Chen, T.-K.; Hsu, F.-C.; Wu, P.M.; Lee, Y.-C.; Chu, Y.-Y.; Chen, C.-L.; Luo, J.-Y.; et al. Tellurium Substitution Effect on Superconductivity of the α-Phase Iron Selenide. Europhys. Lett. 2008, 84, 37002. [Google Scholar] [CrossRef]
- Mizuguchi, Y.; Tomioka, F.; Tsuda, S.; Yamaguchi, T.; Takano, Y. Superconductivity in S-Substituted FeTe. Appl. Phys. Lett. 2009, 94, 012503. [Google Scholar] [CrossRef]
- Guo, J.; Jin, S.; Wang, G.; Wang, S.; Zhu, K.; Zhou, T.; He, M.; Chen, X. Superconductivity in the Iron Selenide KxFe2Se2 (0 ≤ x ≤ 1.0). Phys. Rev. B 2010, 82, 180520. [Google Scholar] [CrossRef]
- Takano, Y.; Takeya, H.; Fujii, H.; Kumakura, H.; Hatano, T.; Togano, K.; Kito, H.; Ihara, H. Superconducting Properties of MgB2 Bulk Materials Prepared by High-Pressure Sintering. Appl. Phys. Lett. 2001, 78, 2914–2916. [Google Scholar] [CrossRef]
- Deguchi, K.; Takano, Y.; Mizuguchi, Y. Physics and Chemistry of Layered Chalcogenide Superconductors. Sci. Technol. Adv. Mater. 2012, 13, 054303. [Google Scholar] [CrossRef] [PubMed]
- Yildirim, T. Ferroelectric Soft Phonons, Charge Density Wave Instability, and Strong Electron-Phonon Coupling in BiS2 Layered Superconductors: A First-Principles Study. Phys. Rev. B 2013, 87, 020506. [Google Scholar] [CrossRef]
- Wan, X.; Ding, H.-C.; Savrasov, S.Y.; Duan, C.-G. Electron-Phonon Superconductivity near Charge-Density-Wave Instability in LaO0.5F0.5BiS2: Density-Functional Calculations. Phys. Rev. B 2013, 87, 115124. [Google Scholar] [CrossRef]
- Al-Amer, R.; Khan, W.; Laref, A.; AlQahtani, H.R.; Murtaza, G.; Mahmood, Q.; Tchangnwa Nya, F.; Chowdhury, S.; Amine Monir, M.E.; Alghamdi, E.A.; et al. The Carriers Doping Effect on Electronic and Optical Behaviors of Newly Layered Sr1-xHfxFBiS2 Alloying Materials for Light-Modulator Devices. J. Phys. Chem. Solids 2023, 173, 111097. [Google Scholar] [CrossRef]
- Tamatsukuri, H.; Hasegawa, T.; Sagayama, H.; Mizumaki, M.; Murakami, Y.; Kajitani, J.; Higashinaka, R.; Matsuda, T.D.; Aoki, Y.; Tsutsui, S. Investigation of the Phonon Dispersion Associated with Superlattice Reflections in the BiS2-Based Superconductor LaBiS2O0.5F0.5. Phys. Rev. B 2023, 107, 024303. [Google Scholar] [CrossRef]
- Aslam, M.; Gayen, S.; Singh, A.; Tanaka, M.; Yamaki, T.; Takano, Y.; Sheet, G. Anisotropic Superconductivity in La(O,F)BiSeS Crystals Revealed by Field-Angle Dependent Andreev Reflection Spectroscopy. Solid State Commun. 2017, 264, 26–30. [Google Scholar] [CrossRef]
- Liu, C.S.; Wu, W.C. Theory of Point-Contact Spectroscopy in Electron-Doped Cuprate Superconductors. Phys. Rev. B 2007, 76, 220504. [Google Scholar] [CrossRef]
- Liu, J.; Fang, D.; Wang, Z.; Xing, J.; Du, Z.; Li, S.; Zhu, X.; Yang, H.; Wen, H.-H. Giant Superconducting Fluctuation and Anomalous Semiconducting Normal State in NdO1−xFxBi1−yS2 Single Crystals. EPL 2014, 106, 67002. [Google Scholar] [CrossRef]
- Romano, P.; Ozyuzer, L.; Yusof, Z.; Kurter, C.; Zasadzinski, J.F. Modeling Study of the Dip-Hump Feature in Bi2Sr2CaCu2O8+δ Tunneling Spectroscopy. Phys. Rev. B 2006, 73, 092514. [Google Scholar] [CrossRef]
- Bhattacharyya, A.; Adroja, D.T.; Sogabe, R.; Goto, Y.; Mizuguchi, Y.; Hillier, A.D. Superconducting Gap Structure in Carrier Doped BiCh2-Based Layered Superconductors: A μ SR Study. J. Phys. Chem. Solids 2022, 170, 110898. [Google Scholar] [CrossRef]
- Terashima, K.; Wakita, T.; Sunagawa, M.; Fujiwara, H.; Nagayama, T.; Ono, K.; Kumigashira, H.; Nagao, M.; Watauchi, S.; Tanaka, I.; et al. Comparative ARPES Studies of LaOxF1−xBiS2 (x = 0.23 and 0.46). J. Phys. Conf. Ser. 2016, 683, 012002. [Google Scholar] [CrossRef]
- Ota, Y.; Okazaki, K.; Yamamoto, H.Q.; Yamamoto, T.; Watanabe, S.; Chen, C.; Nagao, M.; Watauchi, S.; Tanaka, I.; Takano, Y.; et al. Unconventional Superconductivity in the BiS2-Based Layered Superconductor NdO0.71F0.29BiS2. Phys. Rev. Lett. 2017, 118, 167002. [Google Scholar] [CrossRef]
- Wu, S.-L.; Yaji, K.; Ota, Y.; Harasawa, A.; Shin, S.; Imai, T.; Miyamoto, K.; Nagao, M.; Watauchi, S.; Tanaka, I.; et al. Systematic Study of Electronic States of Ln(O,F) BiS2 by Spin- and Angle-Resolved Photoemission Spectroscopy. Phys. Rev. B 2022, 106, 104511. [Google Scholar] [CrossRef]
- Machida, T.; Fujisawa, Y.; Nagao, M.; Demura, S.; Deguchi, K.; Mizuguchi, Y.; Takano, Y.; Sakata, H. “Checkerboard Stripe” Electronic State on Cleaved Surface of NdO0.7F0.3BiS2 Probed by Scanning Tunneling Microscopy. J. Phys. Soc. Jpn. 2014, 83, 113701. [Google Scholar] [CrossRef]
- Ishida, N.; Demura, S.; Fujisawa, Y.; Ohta, S.; Miyata, K.; Sakata, H. Structural Modulation in LaO0.9F0.1BiSe2 Single Crystals Revealed by Scanning Tunneling Microscopy/Spectroscopy. J. Phys. Conf. Ser. 2018, 1054, 012001. [Google Scholar] [CrossRef]
- Nagao, M.; Tanaka, M.; Watauchi, S.; Tanaka, I.; Takano, Y. Superconducting Anisotropies of F-Substituted LaOBiSe2 Single Crystals. J. Phys. Soc. Jpn. 2014, 83, 114709. [Google Scholar] [CrossRef]
- Krzton-Maziopa, A.; Guguchia, Z.; Pomjakushina, E.; Pomjakushin, V.; Khasanov, R.; Luetkens, H.; Biswas, P.K.; Amato, A.; Keller, H.; Conder, K. Superconductivity in a New Layered Bismuth Oxyselenide: LaO0.5F0.5BiSe2. J. Phys. Condens. Matter 2014, 26, 215702. [Google Scholar] [CrossRef]
- Wu, S.F.; Richard, P.; Wang, X.B.; Lian, C.S.; Nie, S.M.; Wang, J.T.; Wang, N.L.; Ding, H. Raman Scattering Investigation of the Electron-Phonon Coupling in Superconducting Nd(O,F) BiS2. Phys. Rev. B 2014, 90, 054519. [Google Scholar] [CrossRef]
- Yamashita, T.; Tokiwa, Y.; Terazawa, D.; Nagao, M.; Watauchi, S.; Tanaka, I.; Terashima, T.; Matsuda, Y. Conventional S-Wave Superconductivity in BiS2-Based NdO0.71F0.29BiS2 Revealed by Thermal Transport Measurements. J. Phys. Soc. Jpn. 2016, 85, 073707. [Google Scholar] [CrossRef]
- Yamashita, A.; Jha, R.; Goto, Y.; Miura, A.; Moriyoshi, C.; Kuroiwa, Y.; Kawashima, C.; Ishida, K.; Takahashi, H.; Mizuguchi, Y. Evolution of Two Bulk-Superconducting Phases in Sr0.5RE0.5FBiS2 (RE: La, Ce, Pr, Nd, Sm) by External Hydrostatic Pressure Effect. Sci. Rep. 2020, 10, 12880. [Google Scholar] [CrossRef] [PubMed]
- Yamamoto, S.; Matsumoto, R.; Adachi, S.; Takano, Y. High-Pressure Effects on La(O,F)BiS2 Single Crystal Using Diamond Anvil Cell with Dual-Probe Diamond Electrodes. Appl. Phys. Express 2021, 14, 043001. [Google Scholar] [CrossRef]
- Lorenz, B.; Meng, R.L.; Chu, C.W. High-Pressure Study on MgB2. Phys. Rev. B 2001, 64, 012507. [Google Scholar] [CrossRef]
- Hoshi, K.; Kurihara, R.; Goto, Y.; Tokunaga, M.; Mizuguchi, Y. Extremely High Upper Critical Field in BiCh2-Based (Ch: S and Se) Layered Superconductor LaO0.5F0.5BiS2−xSex (x = 0.22 and 0.69). Sci. Rep. 2022, 12, 288. [Google Scholar] [CrossRef]
- Demura, S.; Deguchi, K.; Mizuguchi, Y.; Sato, K.; Honjyo, R.; Yamashita, A.; Yamaki, T.; Hara, H.; Watanabe, T.; Denholme, S.J.; et al. Coexistence of Bulk Superconductivity and Magnetism in CeO1−xFxBiS2. J. Phys. Soc. Jpn. 2015, 84, 024709. [Google Scholar] [CrossRef]
- Demura, S. Evolution of Superconductivity and Magnetism in BiS2-Based Layered Compounds. Nov. Supercond. Mater. 2016, 2, 1–15. [Google Scholar] [CrossRef]
- Miao, H.; Fumagalli, R.; Rossi, M.; Lorenzana, J.; Seibold, G.; Yakhou-Harris, F.; Kummer, K.; Brookes, N.B.; Gu, G.D.; Braicovich, L.; et al. Formation of Incommensurate Charge Density Waves in Cuprates. Phys. Rev. X 2019, 9, 031042. [Google Scholar] [CrossRef]
- Manzeli, S.; Ovchinnikov, D.; Pasquier, D.; Yazyev, O.V.; Kis, A. 2D Transition Metal Dichalcogenides. Nat. Rev. Mater. 2017, 2, 17033. [Google Scholar] [CrossRef]
- Lee, J.; Nagao, M.; Mizuguchi, Y.; Ruff, J. Direct Observation of an Incommensurate Charge Density Wave in the BiS2-Based Superconductor NdO1−xFxBiS2. Phys. Rev. B 2021, 103, 245120. [Google Scholar] [CrossRef]
- Hoshi, K.; Arima, H.; Kataoka, N.; Ochi, M.; Yamashita, A.; De Visser, A.; Yokoya, T.; Kuroki, K.; Mizuguchi, Y. Controlling of Localization by Elemental-Substitution Effect in Layered BiCh2-Based Compounds LaO1−xFxBiS2−ySey. J. Phys. Soc. Jpn. 2023, 92, 054704. [Google Scholar] [CrossRef]
Disclaimer/Publisher’s Note: The statements, opinions and data contained in all publications are solely those of the individual author(s) and contributor(s) and not of MDPI and/or the editor(s). MDPI and/or the editor(s) disclaim responsibility for any injury to people or property resulting from any ideas, methods, instructions or products referred to in the content. |
© 2024 by the authors. Licensee MDPI, Basel, Switzerland. This article is an open access article distributed under the terms and conditions of the Creative Commons Attribution (CC BY) license (https://creativecommons.org/licenses/by/4.0/).


















