Emerging Nanomaterials for Drinking Water Purification: A New Era of Water Treatment Technology
Abstract
1. Introduction
2. Drinking Water Sources
3. Typical Pollutants Found in Drinking Water
4. Overview of the Water Purification Process
5. Nanotechnology Application in the Drinking Water Purification Process
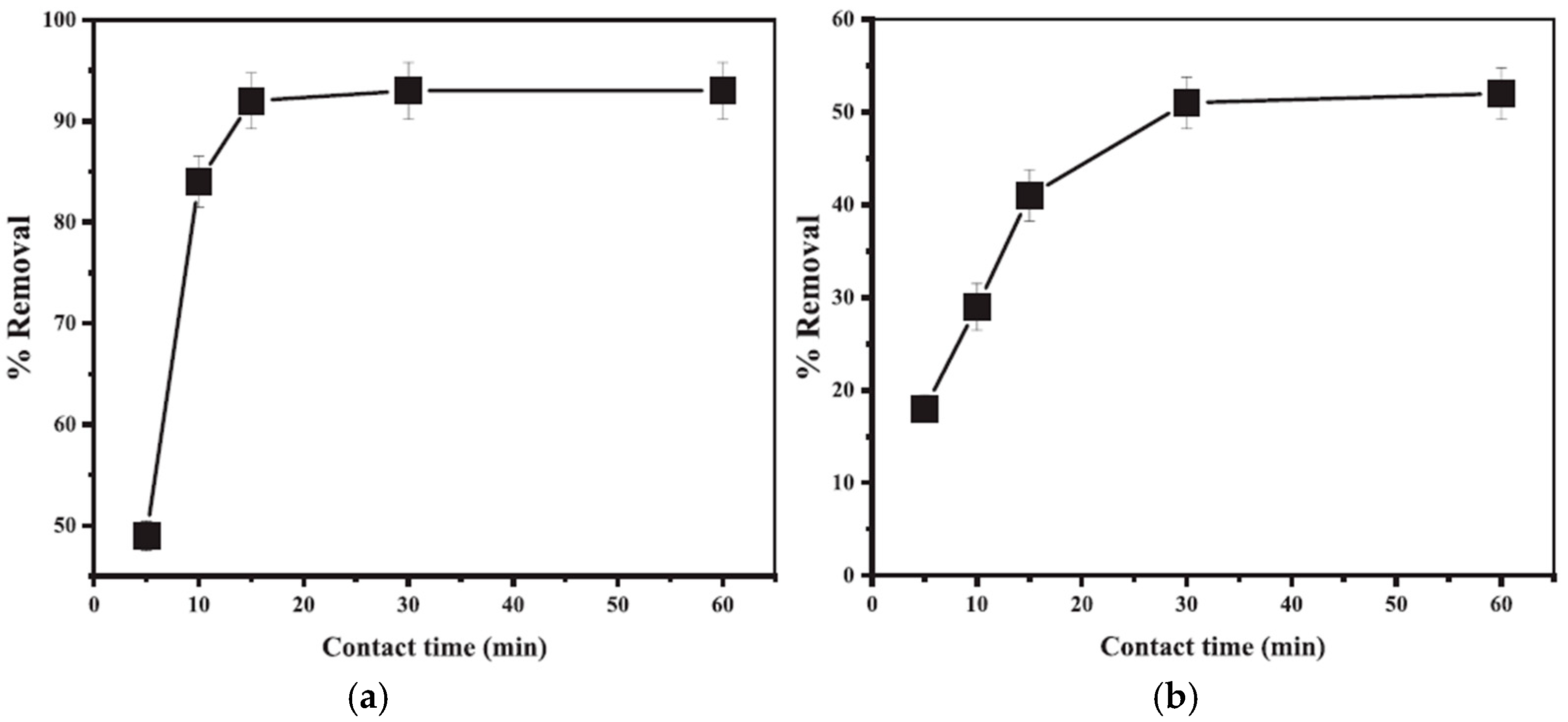
5.1. Adsorption Process for Drinking Water Purification
5.1.1. Carbon-Based Nanomaterial Adsorbents for Drinking Water Purification
Graphene and Its Derivatives for Drinking Water Purification
Carbon Nanotube (CNT)-Based Adsorbents for Drinking Water Purification
5.2. Application of Engineered Nanomaterials in Drinking Water Purification
5.2.1. Applications of TIO2 Nanoparticles in Drinking Water Purification
5.2.2. Zinc Oxide Nanoparticles for Drinking Water Purification Processes
5.2.3. Silver Nanoparticles (Ag NPs) for Drinking Water Purification
5.2.4. Iron Nanoparticle (Fe NPs) Applications in Drinking Water Purification Processes
5.3. Nanomaterial-Based Membranes for Drinking Water Purification Processes
6. Conclusions
Funding
Data Availability Statement
Conflicts of Interest
References
- Sadigov, R. Rapid Growth of the World Population and Its Socioeconomic Results. Sci. World J. 2022, 2022, 8110229. [Google Scholar] [CrossRef] [PubMed]
- Stephens, G.L.; Slingo, J.M.; Rignot, E.; Reager, J.T.; Hakuba, M.Z.; Durack, P.J.; Worden, J.; Rocca, R. Earth’s water reservoirs in a changing climate. Proc. Math. Phys. Eng. Sci. 2020, 476, 20190458. [Google Scholar] [CrossRef] [PubMed]
- Alemayehu, M.A.; Agimas, M.C.; Shewaye, D.A.; Derseh, N.M.; Aragaw, F.M. Spatial distribution and determinants of limited access to improved drinking water service among households in Ethiopia based on the 2019 Ethiopian Mini Demographic and Health Survey: Spatial and multilevel analyses. Front. Water 2023, 5, 1166733. [Google Scholar] [CrossRef]
- Ungureanu, N.; Vlăduț, V.; Voicu, G. Water Scarcity and Wastewater Reuse in Crop Irrigation. Sustainability 2020, 12, 9055. [Google Scholar] [CrossRef]
- Anjum, A.; Garg, R.; Kashif, M.; Eddy, N.O. Nano-scale innovations in packaging: Properties, types, and applications of nanomaterials for the future. Food Chem. Adv. 2023, 3, 100560. [Google Scholar] [CrossRef]
- He, J.; Hong, M.; Xie, W.; Chen, Z.; Chen, D.; Xie, S. Progress and prospects of nanomaterials against resistant bacteria. J. Control Release 2022, 351, 301–323. [Google Scholar] [CrossRef]
- Bhardwaj, A.K.; Sundaram, S.; Yadav, K.K.; Srivastav, A.L. An overview of silver nano-particles as promising materials for water disinfection. Environ. Technol. Innov. 2021, 23, 101721. [Google Scholar] [CrossRef]
- Yamada, I.; Nomura, K.; Iwahashi, H.; Horie, M. The effect of titanium dioxide (TiO2) nano-objects, and their aggregates and agglomerates greater than 100nm (NOAA) on microbes under UV irradiation. Chemosphere 2016, 143, 123–127. [Google Scholar] [CrossRef]
- Jackson, R.B.; Carpenter, S.R.; Dahm, C.N.; McKnight, D.M.; Naiman, R.J.; Postel, S.L.; Running, S.W. Water in a changing world. Ecol. Appl. 2001, 11, 1027–1045. [Google Scholar] [CrossRef]
- McMillan, T.C.; Rau, G.C.; Timms, W.A.; Andersen, M.S. Utilizing the impact of Earth and atmospheric tides on groundwater systems: A review reveals the future potential. Rev. Geophys. 2019, 57, 281–315. [Google Scholar] [CrossRef]
- Gleeson, T.; Wada, Y.; Bierkens, M.F.P.; van Beek, L.P.H. Water balance of global aquifers revealed by groundwater footprint. Nature 2012, 488, 197–200. [Google Scholar] [CrossRef] [PubMed]
- Meffe, R.; de Bustamante, I. Emerging organic contaminants in surface water and groundwater: A first overview of the situation in Italy. Sci. Total Environ. 2014, 481, 280–295. [Google Scholar] [CrossRef] [PubMed]
- Syafrudin, M.; Kristanti, R.A.; Yuniarto, A.; Hadibarata, T.; Rhee, J.; Al-Onazi, W.A.; Algarni, T.S.; Almarri, A.H.; Al-Mohaimeed, A.M. Pesticides in drinking water—A review. Int. J. Environ. Res. Public Health 2021, 18, 468. [Google Scholar] [CrossRef] [PubMed]
- Mukherjee, I.; Singh, U.K.; Singh, R.P. An overview on heavy metal contamination of water system and sustainable approach for remediation. Water Pollut. Manag. Pract. 2021, 255–277. [Google Scholar] [CrossRef]
- Kapoor, D.; Singh, M.P. Heavy metal contamination in water and its possible sources. In Heavy Metals in the Environment; Elsevier: Amsterdam, The Netherlands, 2021; pp. 179–189. [Google Scholar] [CrossRef]
- Sankhla, M.S.; Kumari, M.; Nandan, M.; Kumar, R.; Agrawal, P. Heavy metals contamination in water and their hazardous effect on human health—A review. Int. J. Curr. Microbiol. Appl. Sci. 2016, 5, 759–766. [Google Scholar] [CrossRef]
- Pandey, P.K.; Kass, P.H.; Soupir, M.L.; Biswas, S.; Singh, V.P. Contamination of water resources by pathogenic bacteria. AMB Express 2014, 4, 51. [Google Scholar] [CrossRef]
- Richardson, S.D. Disinfection by-products and other emerging contaminants in drinking water. TrAC Trends Anal. Chem. 2003, 22, 666–684. [Google Scholar] [CrossRef]
- Lytle, D.A.; Sorg, T.; Wang, L.; Chen, A. The accumulation of radioactive contaminants in drinking water distribution systems. Water Res. 2014, 50, 396–407. [Google Scholar] [CrossRef]
- Somma, S.; Reverchon, E.; Baldino, L. Water purification of classical and emerging organic pollutants: An extensive review. Chemengineering 2021, 5, 47. [Google Scholar] [CrossRef]
- Xu, M.-Y.; Lin, Y.-L.; Zhang, T.-Y.; Hu, C.-Y.; Tang, Y.-L.; Deng, J.; Xu, B. Chlorine dioxide-based oxidation processes for water purification: A review. J. Hazard. Mater. 2022, 436, 129195. [Google Scholar] [CrossRef]
- Czemierska, M.; Szczes, A.; Jarosz-Wilkolazka, A. Purification of wastewater by natural flocculants. BioTechnologia 2015, 96, 272–278. [Google Scholar] [CrossRef]
- Xie, L.; Lu, Q.; Mao, X.; Wang, J.; Han, L.; Hu, J.; Lu, Q.; Wang, Y.; Zeng, H. Probing the intermolecular interaction mechanisms between humic acid and different substrates with implications for its adsorption and removal in water treatment. Water Res. 2020, 176, 115766. [Google Scholar] [CrossRef] [PubMed]
- Azami-Aghdash, S.; Ghojazadeh, M.; Pournaghi Azar, F.; Naghavi-Behzad, M.; Mahmoudi, M.; Jamali, Z. Fluoride concentration of drinking waters and prevalence of fluorosis in iran: A systematic review. J. Dent. Res. Dent. Clin. Dent. Prospect. 2013, 7, 1–7. [Google Scholar] [CrossRef]
- Savage, N.; Diallo, M.S. Nanomaterials and water purification: Opportunities and challenges. J. Nanoparticle Res. 2005, 7, 331–342. [Google Scholar] [CrossRef]
- Sweetman, M.J.; May, S.; Mebberson, N.; Pendleton, P.; Vasilev, K.; Plush, S.E.; Hayball, J.D. Activated carbon, carbon nanotubes and graphene: Materials and composites for advanced water purification. C 2017, 3, 18. [Google Scholar] [CrossRef]
- Tan, X.; Wang, X. Chapter 6—Water treatment and environmental remediation applications of carbon-based nanomaterials. In Emerging Nanomaterials for Recovery of Toxic and Radioactive Metal Ions from Environmental Media; Wang, X., Ed.; Elsevier: Amsterdam, The Netherlands, 2022; pp. 229–311. [Google Scholar] [CrossRef]
- Liu, C.; Yang, J.; Tang, Y.; Yin, L.; Tang, H.; Li, C. Versatile fabrication of the magnetic polymer-based graphene foam and applications for oil–water separation. Colloids Surf. A Physicochem. Eng. Asp. 2015, 468, 10–16. [Google Scholar] [CrossRef]
- Geim, A.K.; Novoselov, K.S. The rise of graphene. Nat. Mater. 2007, 6, 183–191. [Google Scholar] [CrossRef]
- Whitby, R.L.D. Chemical Control of Graphene Architecture: Tailoring Shape and Properties. ACS Nano 2014, 8, 9733–9754. [Google Scholar] [CrossRef]
- Aristov, V.Y.; Urbanik, G.; Kummer, K.; Vyalikh, D.V.; Molodtsova, O.V.; Preobrajenski, A.B.; Zakharov, A.A.; Hess, C.; Hänke, T.; Büchner, B.; et al. Graphene Synthesis on Cubic SiC/Si Wafers. Perspectives for Mass Production of Graphene-Based Electronic Devices. Nano Lett. 2010, 10, 992–995. [Google Scholar] [CrossRef]
- Tau, O.; Lovergine, N.; Prete, P. Adsorption and decomposition steps on Cu(111) of liquid aromatic hydrocarbon precursors for low-temperature CVD of graphene: A DFT study. Carbon 2023, 206, 142–149. [Google Scholar] [CrossRef]
- Paul, R.; Wang, M.; Roy, A. Transparent Graphene/BN-Graphene Stacked Nanofilms for Electrocatalytic Oxygen Evolution. ACS Appl. Nano Mater. 2020, 3, 10418–10426. [Google Scholar] [CrossRef]
- Elgengehi, S.M.; El-Taher, S.; Ibrahim, M.A.A.; Desmarais, J.K.; El-Kelany, K.E. Graphene and graphene oxide as adsorbents for cadmium and lead heavy metals: A theoretical investigation. Appl. Surf. Sci. 2020, 507, 145038. [Google Scholar] [CrossRef]
- Hosseinkhani, O.; Hamzehlouy, A.; Dan, S.; Sanchouli, N.; Tavakkoli, M.; Hashemipour, H. Graphene oxide/ZnO nanocomposites for efficient removal of heavy metal and organic contaminants from water. Arab. J. Chem. 2023, 16, 105176. [Google Scholar] [CrossRef]
- Kovtun, A.; Campodoni, E.; Favaretto, L.; Zambianchi, M.; Salatino, A.; Amalfitano, S.; Navacchia, M.L.; Casentini, B.; Palermo, V.; Sandri, M.; et al. Multifunctional graphene oxide/biopolymer composite aerogels for microcontaminants removal from drinking water. Chemosphere 2020, 259, 127501. [Google Scholar] [CrossRef]
- Masri, A.K.; Yen, T.W.; Ahmad, M.A.; Karim, S. Graphene-based nanomaterial for the removal of sulfamethoxazole in water. Mater. Today Proc. 2020, 31, 198–201. [Google Scholar] [CrossRef]
- Wei, Y.; Liu, X.; Wang, Z.; Chi, Y.; Yue, T.; Dai, Y.; Zhao, J.; Xing, B. Adsorption and catalytic degradation of preservative parabens by graphene-family nanomaterials. Sci. Total Environ. 2022, 806, 150520. [Google Scholar] [CrossRef]
- Prathibha, C.; Biswas, A.; Chunduri, L.A.A.; Reddy, S.K.; Loganathan, P.; Kalaruban, M.; Venkatarmaniah, K. Zr(IV) functionalized graphene oxide anchored sand as potential and economic adsorbent for fluoride removal from water. Diam. Relat. Mater. 2020, 109, 108081. [Google Scholar] [CrossRef]
- Khaliha, S.; Bianchi, A.; Kovtun, A.; Tunioli, F.; Boschi, A.; Zambianchi, M.; Paci, D.; Bocchi, L.; Valsecchi, S.; Polesello, S.; et al. Graphene oxide nanosheets for drinking water purification by tandem adsorption and microfiltration. Sep. Purif. Technol. 2022, 300, 121826. [Google Scholar] [CrossRef]
- Philip, R.S.; Aparna, N.; Mathew, M. Hexavalent chromium removal using reduced graphene oxide-zinc oxide composite fabricated via simple pyrolysis method. Appl. Surf. Sci. Adv. 2024, 19, 100535. [Google Scholar] [CrossRef]
- Jiao, T.; Guo, H.; Zhang, Q.; Peng, Q.; Tang, Y.; Yan, X.; Li, B. Reduced Graphene Oxide-Based Silver Nanoparticle-Containing Composite Hydrogel as Highly Efficient Dye Catalysts for Wastewater Treatment. Sci. Rep. 2015, 5, 11873. [Google Scholar] [CrossRef]
- Khaliha, S.; Marforio, T.D.; Kovtun, A.; Mantovani, S.; Bianchi, A.; Luisa Navacchia, M.; Zambianchi, M.; Bocchi, L.; Boulanger, N.; Iakunkov, A.; et al. Defective graphene nanosheets for drinking water purification: Adsorption mechanism, performance, and recovery. FlatChem 2021, 29, 100283. [Google Scholar] [CrossRef]
- Roberts, J.L.; Zetterholm, S.G.; Gurtowski, L.; Fernando, P.U.A.I.; Evans, A.; Puhnaty, J.; Wyss, K.M.; Tour, J.M.; Fernando, B.; Jenness, G.; et al. Graphene as a rational interface for enhanced adsorption of microcystin-LR from water. J. Hazard. Mater. 2023, 458, 131737. [Google Scholar] [CrossRef] [PubMed]
- Tunioli, F.; Khaliha, S.; Mantovani, S.; Bianchi, A.; Kovtun, A.; Xia, Z.; Bafqi, M.S.S.; Okan, B.S.; Marforio, T.D.; Calvaresi, M.; et al. Adsorption of emerging contaminants by graphene related materials and their alginate composite hydrogels. J. Environ. Chem. Eng. 2023, 11, 109566. [Google Scholar] [CrossRef]
- Shi, Y.; Ren, X.; Zheng, H.; Zhang, Y.; Zuo, Q. Hierarchical 13X zeolite/reduced graphene oxide porous material for trace Pb (II) capturing from drinking water. Microporous Mesoporous Mater. 2022, 329, 111540. [Google Scholar] [CrossRef]
- Elgengehi, S.M.; El-Taher, S.; El-Kelany, K.E. Adsorption of chlorine oxyanions, as water disinfectant by-products, on graphene flakes: A quantum chemical investigation. Surf. Interfaces 2022, 28, 101601. [Google Scholar] [CrossRef]
- Majdoub, M.; Amedlous, A.; Anfar, Z.; Jada, A.; El Alem, N. Engineering of amine-based binding chemistry on functionalized graphene oxide/alginate hybrids for simultaneous and efficient removal of trace heavy metals: Towards drinking water. J. Colloid Interface Sci. 2021, 589, 511–524. [Google Scholar] [CrossRef]
- Karabörk, M.; Muhammed, B.A.; Tümer, M.; Uruş, S. Organosilane-functionalized graphene oxide hybrid material: Efficient adsorbent for heavy metal ions in drinking water. Phosphorus Sulfur Silicon Relat. Elem. 2021, 197, 133–143. [Google Scholar] [CrossRef]
- Sun, Q.; Zhang, L.; Wang, C.; Liu, X.; Lou, C.; Yang, Y. High nitrogen content bimolecular co-functionalized graphene nanoflakes for hypertoxic Cr(VI) removal: Insights into adsorption behavior and mechanisms. Chemosphere 2023, 340, 139804. [Google Scholar] [CrossRef]
- Zhang, K.; Guo, F.; Graham, N.; Yu, W. Engineering of 3D graphene hydrogel-supported MnO2–FeOOH nanoparticles with synergistic effect of oxidation and adsorption toward highly efficient removal of arsenic. Environ. Pollut. 2023, 317, 120735. [Google Scholar] [CrossRef]
- Lebron, Y.A.R.; Moreira, V.R.; Drumond, G.P.; da Silva, M.M.; Bernardes, R.d.O.; Santos, L.V.d.S.; Jacob, R.S.; Viana, M.M.; de Vasconcelos, C.K.B. Graphene oxide for efficient treatment of real contaminated water by mining tailings: Metal adsorption studies to Paraopeba river and risk assessment. Chem. Eng. J. Adv. 2020, 2, 100017. [Google Scholar] [CrossRef]
- Yang, W.; Cao, M. Study on the difference in adsorption performance of graphene oxide and carboxylated graphene oxide for Cu(II), Pb(II) respectively and mechanism analysis. Diam. Relat. Mater. 2022, 129, 109332. [Google Scholar] [CrossRef]
- Kumar, R.; Bhattacharya, S.; Sharma, P. Novel insights into adsorption of heavy metal ions using magnetic graphene composites. J. Environ. Chem. Eng. 2021, 9, 106212. [Google Scholar] [CrossRef]
- Bloor, J.M.; Handy, R.D.; Awan, S.A.; Jenkins, D.F.L. Graphene oxide biopolymer aerogels for the removal of lead from drinking water using a novel nano-enhanced ion exchange cascade. Ecotoxicol. Environ. Saf. 2021, 208, 111422. [Google Scholar] [CrossRef] [PubMed]
- Al-Ghouti, M.A.; Sayma, J.; Munira, N.; Mohamed, D.; Da’na, D.A.; Qiblawey, H.; Alkhouzaam, A. Effective removal of phenol from wastewater using a hybrid process of graphene oxide adsorption and UV-irradiation. Environ. Technol. Innov. 2022, 27, 102525. [Google Scholar] [CrossRef]
- Deb, H.; Islam, M.Z.; Ahmed, A.; Hasan, M.K.; Hossain, M.K.; Hu, H.; Chen, C.; Yang, S.; Zhang, Y.; Yao, J. Kinetics & dynamic studies of dye adsorption by porous graphene nano-adsorbent for facile toxic wastewater remediation. J. Water Process Eng. 2022, 47, 102818. [Google Scholar] [CrossRef]
- Shahzadi, I.; Khan, Z.H.; Akram, W.; Khan, W.U.; Ahmad, A.; Yasin, N.A.; Yujie, L. Heavy metal and organic pollutants removal from water using bilayered polydopamine composite of sandwiched graphene Nanosheets: One solution for two obstacles. Sep. Purif. Technol. 2022, 280, 119711. [Google Scholar] [CrossRef]
- Yan, H.; Tao, X.; Yang, Z.; Li, K.; Yang, H.; Li, A.; Cheng, R. Effects of the oxidation degree of graphene oxide on the adsorption of methylene blue. J. Hazard. Mater. 2014, 268, 191–198. [Google Scholar] [CrossRef]
- Hao, L.; Song, H.; Zhang, L.; Wan, X.; Tang, Y.; Lv, Y. SiO2/graphene composite for highly selective adsorption of Pb(II) ion. J. Colloid Interface Sci. 2012, 369, 381–387. [Google Scholar] [CrossRef]
- Wang, Y.; Xia, G.; Wu, C.; Sun, J.; Song, R.; Huang, W. Porous chitosan doped with graphene oxide as highly effective adsorbent for methyl orange and amido black 10B. Carbohydr. Polym. 2015, 115, 686–693. [Google Scholar] [CrossRef]
- Shi, H.; Li, W.; Zhong, L.; Xu, C. Methylene Blue Adsorption from Aqueous Solution by Magnetic Cellulose/Graphene Oxide Composite: Equilibrium, Kinetics, and Thermodynamics. Ind. Eng. Chem. Res. 2014, 53, 1108–1118. [Google Scholar] [CrossRef]
- Bu, J.; Yuan, L.; Zhang, N.; Meng, Y.; Peng, X. Novel Adsorbent of N-Phenylthiourea-Functionalized Graphene Oxide and Its Removal of Methyl Orange in Aqueous Solutions. J. Chem. Eng. Data 2021, 66, 199–209. [Google Scholar] [CrossRef]
- Gan, L.; Shang, S.; Hu, E.; Yuen, C.W.M.; Jiang, S.-X. Konjac glucomannan/graphene oxide hydrogel with enhanced dyes adsorption capability for methyl blue and methyl orange. Appl. Surf. Sci. 2015, 357, 866–872. [Google Scholar] [CrossRef]
- Robati, D.; Mirza, B.; Rajabi, M.; Moradi, O.; Tyagi, I.; Agarwal, S.; Gupta, V.K. Removal of hazardous dyes-BR 12 and methyl orange using graphene oxide as an adsorbent from aqueous phase. Chem. Eng. J. 2016, 284, 687–697. [Google Scholar] [CrossRef]
- Zheng, Y.; Cheng, B.; You, W.; Yu, J.; Ho, W. 3D hierarchical graphene oxide-NiFe LDH composite with enhanced adsorption affinity to Congo red, methyl orange and Cr(VI) ions. J. Hazard. Mater. 2019, 369, 214–225. [Google Scholar] [CrossRef]
- Othman, N.H.; Alias, N.H.; Shahruddin, M.Z.; Abu Bakar, N.F.; Nik Him, N.R.; Lau, W.J. Adsorption kinetics of methylene blue dyes onto magnetic graphene oxide. J. Environ. Chem. Eng. 2018, 6, 2803–2811. [Google Scholar] [CrossRef]
- Wu, Y.; Luo, H.; Wang, H.; Wang, C.; Zhang, J.; Zhang, Z. Adsorption of hexavalent chromium from aqueous solutions by graphene modified with cetyltrimethylammonium bromide. J. Colloid Interface Sci. 2013, 394, 183–191. [Google Scholar] [CrossRef]
- Leng, Y.; Guo, W.; Su, S.; Yi, C.; Xing, L. Removal of antimony(III) from aqueous solution by graphene as an adsorbent. Chem. Eng. J. 2012, 211–212, 406–411. [Google Scholar] [CrossRef]
- Li, Y.; Du, Q.; Liu, T.; Peng, X.; Wang, J.; Sun, J.; Wang, Y.; Wu, S.; Wang, Z.; Xia, Y.; et al. Comparative study of methylene blue dye adsorption onto activated carbon, graphene oxide, and carbon nanotubes. Chem. Eng. Res. Des. 2013, 91, 361–368. [Google Scholar] [CrossRef]
- Wang, H.; Gao, H.; Chen, M.; Xu, X.; Wang, X.; Pan, C.; Gao, J. Microwave-assisted synthesis of reduced graphene oxide/titania nanocomposites as an adsorbent for methylene blue adsorption. Appl. Surf. Sci. 2016, 360, 840–848. [Google Scholar] [CrossRef]
- Huang, Z.-H.; Zheng, X.; Lv, W.; Wang, M.; Yang, Q.-H.; Kang, F. Adsorption of Lead(II) Ions from Aqueous Solution on Low-Temperature Exfoliated Graphene Nanosheets. Langmuir 2011, 27, 7558–7562. [Google Scholar] [CrossRef]
- Li, J.; Zhang, S.; Chen, C.; Zhao, G.; Yang, X.; Li, J.; Wang, X. Removal of Cu(II) and Fulvic Acid by Graphene Oxide Nanosheets Decorated with Fe3O4 Nanoparticles. ACS Appl. Mater. Interfaces 2012, 4, 4991–5000. [Google Scholar] [CrossRef] [PubMed]
- Wang, Y.; Liang, S.; Chen, B.; Guo, F.; Yu, S.; Tang, Y. Synergistic removal of Pb(II), Cd(II) and humic acid by Fe3O4@mesoporous silica-graphene oxide composites. PLoS ONE 2013, 8, e65634. [Google Scholar] [CrossRef] [PubMed]
- Hu, X.-J.; Liu, Y.-G.; Zeng, G.-M.; You, S.-H.; Wang, H.; Hu, X.; Guo, Y.-M.; Tan, X.-F.; Guo, F.-Y. Effects of background electrolytes and ionic strength on enrichment of Cd(II) ions with magnetic graphene oxide–supported sulfanilic acid. J. Colloid Interface Sci. 2014, 435, 138–144. [Google Scholar] [CrossRef] [PubMed]
- Kumar, S.; Nair, R.R.; Pillai, P.B.; Gupta, S.N.; Iyengar, M.A.R.; Sood, A.K. Graphene Oxide–MnFe2O4 Magnetic Nanohybrids for Efficient Removal of Lead and Arsenic from Water. ACS Appl. Mater. Interfaces 2014, 6, 17426–17436. [Google Scholar] [CrossRef] [PubMed]
- Zhang, Y.; Yan, L.; Xu, W.; Guo, X.; Cui, L.; Gao, L.; Wei, Q.; Du, B. Adsorption of Pb(II) and Hg(II) from aqueous solution using magnetic CoFe2O4-reduced graphene oxide. J. Mol. Liq. 2014, 191, 177–182. [Google Scholar] [CrossRef]
- Nandi, D.; Basu, T.; Debnath, S.; Ghosh, A.K.; De, A.; Ghosh, U.C. Mechanistic Insight for the Sorption of Cd(II) and Cu(II) from Aqueous Solution on Magnetic Mn-Doped Fe(III) Oxide Nanoparticle Implanted Graphene. J. Chem. Eng. Data 2013, 58, 2809–2818. [Google Scholar] [CrossRef]
- Hu, X.-J.; Liu, Y.-G.; Wang, H.; Chen, A.-W.; Zeng, G.-M.; Liu, S.-M.; Guo, Y.-M.; Hu, X.; Li, T.-T.; Wang, Y.-Q.; et al. Removal of Cu(II) ions from aqueous solution using sulfonated magnetic graphene oxide composite. Sep. Purif. Technol. 2013, 108, 189–195. [Google Scholar] [CrossRef]
- Hur, S.-M.; Khaira, G.S.; Ramírez-Hernández, A.; Müller, M.; Nealey, P.F.; de Pablo, J.J. Simulation of Defect Reduction in Block Copolymer Thin Films by Solvent Annealing. ACS Macro Lett. 2015, 4, 11–15. [Google Scholar] [CrossRef]
- Lee, Y.-C.; Yang, J.-W. Self-assembled flower-like TiO2 on exfoliated graphite oxide for heavy metal removal. J. Ind. Eng. Chem. 2012, 18, 1178–1185. [Google Scholar] [CrossRef]
- Madadrang, C.J.; Kim, H.Y.; Gao, G.; Wang, N.; Zhu, J.; Feng, H.; Gorring, M.; Kasner, M.L.; Hou, S. Adsorption Behavior of EDTA-Graphene Oxide for Pb (II) Removal. ACS Appl. Mater. Interfaces 2012, 4, 1186–1193. [Google Scholar] [CrossRef]
- Sreeprasad, T.S.; Maliyekkal, S.M.; Lisha, K.P.; Pradeep, T. Reduced graphene oxide–metal/metal oxide composites: Facile synthesis and application in water purification. J. Hazard. Mater. 2011, 186, 921–931. [Google Scholar] [CrossRef] [PubMed]
- Zhang, X.; Cheng, C.; Zhao, J.; Ma, L.; Sun, S.; Zhao, C. Polyethersulfone enwrapped graphene oxide porous particles for water treatment. Chem. Eng. J. 2013, 215–216, 72–81. [Google Scholar] [CrossRef]
- Xie, G.; Xi, P.; Liu, H.; Chen, F.; Huang, L.; Shi, Y.; Hou, F.; Zeng, Z.; Shao, C.; Wang, J. A facile chemical method to produce superparamagnetic graphene oxide–Fe3O4 hybrid composite and its application in the removal of dyes from aqueous solution. J. Mater. Chem. 2012, 22, 1033–1039. [Google Scholar] [CrossRef]
- Liu, F.; Chung, S.; Oh, G.; Seo, T.S. Three-Dimensional Graphene Oxide Nanostructure for Fast and Efficient Water-Soluble Dye Removal. ACS Appl. Mater. Interfaces 2012, 4, 922–927. [Google Scholar] [CrossRef] [PubMed]
- Yao, Y.; Miao, S.; Liu, S.; Ma, L.P.; Sun, H.; Wang, S. Synthesis, characterization, and adsorption properties of magnetic Fe3O4@graphene nanocomposite. Chem. Eng. J. 2012, 184, 326–332. [Google Scholar] [CrossRef]
- Bradder, P.; Ling, S.K.; Wang, S.; Liu, S. Dye adsorption on layered graphite oxide. J. Chem. Eng. Data 2011, 56, 138–141. [Google Scholar] [CrossRef]
- Liu, T.; Li, Y.; Du, Q.; Sun, J.; Jiao, Y.; Yang, G.; Wang, Z.; Xia, Y.; Zhang, W.; Wang, K.; et al. Adsorption of methylene blue from aqueous solution by graphene. Colloids Surf. B Biointerfaces 2012, 90, 197–203. [Google Scholar] [CrossRef]
- Gao, Y.; Li, Y.; Zhang, L.; Huang, H.; Hu, J.; Shah, S.M.; Su, X. Adsorption and removal of tetracycline antibiotics from aqueous solution by graphene oxide. J. Colloid Interface Sci. 2012, 368, 540–546. [Google Scholar] [CrossRef]
- Lin, Y.; Xu, S.; Li, J. Fast and highly efficient tetracyclines removal from environmental waters by graphene oxide functionalized magnetic particles. Chem. Eng. J. 2013, 225, 679–685. [Google Scholar] [CrossRef]
- Zhao, L.; Huang, D.; Qin, Y. Fault Diagnosis for Gearbox Based on Improved Empirical Mode Decomposition. Shock Vib. 2015, 2015, 215806. [Google Scholar] [CrossRef]
- Ghadim, E.E.; Manouchehri, F.; Soleimani, G.; Hosseini, H.; Kimiagar, S.; Nafisi, S. Adsorption properties of tetracycline onto graphene oxide: Equilibrium, kinetic and thermodynamic studies. PLoS ONE 2013, 8, e79254. [Google Scholar] [CrossRef] [PubMed]
- Chen, H.; Gao, B.; Li, H. Removal of sulfamethoxazole and ciprofloxacin from aqueous solutions by graphene oxide. J. Hazard. Mater. 2015, 282, 201–207. [Google Scholar] [CrossRef] [PubMed]
- Yu, F.; Ma, J.; Bi, D. Enhanced adsorptive removal of selected pharmaceutical antibiotics from aqueous solution by activated graphene. Environ. Sci. Pollut. Res. 2015, 22, 4715–4724. [Google Scholar] [CrossRef] [PubMed]
- Ma, J.; Yang, M.; Yu, F.; Zheng, J. Water-enhanced removal of ciprofloxacin from water by porous graphene hydrogel. Sci. Rep. 2015, 5, 13578. [Google Scholar] [CrossRef]
- Basiuk, E.V.; Ramírez-Calera, I.J.; Meza-Laguna, V.; Abarca-Morales, E.; Pérez-Rey, L.A.; Re, M.; Prete, P.; Lovergine, N.; Álvarez-Zauco, E.; Basiuk, V.A. Solvent-free functionalization of carbon nanotube buckypaper with amines. Appl. Surf. Sci. 2015, 357, 1355–1368. [Google Scholar] [CrossRef]
- Deepanraj, B.; Tirth, V.; Algahtani, A.; Elsehly, E.M. The performance of multi-walled carbon nanotubes-based filters with acid functionalization for enhanced methylene blue removal from water resources. Alex. Eng. J. 2024, 88, 310–316. [Google Scholar] [CrossRef]
- Alanazi, A.A. Fabrication of CNT/cobalt hexacyanoferrate core/shell nanostructured for boosting the removal of crystal violet from water. J. Saudi Chem. Soc. 2024, 28, 101847. [Google Scholar] [CrossRef]
- Khorasani Alamdari, M.; Nadiri, A.A.; Ghaforian, H.; Sadeghfam, S. Removal of arsenic with functionalized multi-walled carbon nanotubes (MWCNTs-COOH) using the magnetic method (Fe3O4) from aqueous solutions. RSC Adv. 2023, 13, 25284–25295. [Google Scholar] [CrossRef]
- Fu, X.; Wais, A.M.H.; Yasin, Y.; Ibrahim, I.T.; Ali, A.S.; Al-Majdi, K.; Khazaal, W.M.; Hadrawi, S.K.; Abed, A.S.; Riyahi, Y.; et al. Molecular modeling investigation on mechanism of diazinon pesticide removal from water by single- and multi-walled carbon nanotubes. Ecotoxicol. Environ. Saf. 2023, 256, 114857. [Google Scholar] [CrossRef]
- Altowayti, W.A.H.; Othman, N.; Goh, P.S.; Alshalif, A.F.; Al-Gheethi, A.A.; Algaifi, H.A. Application of a novel nanocomposites carbon nanotubes functionalized with mesoporous silica-nitrenium ions (CNT-MS-N) in nitrate removal: Optimizations and nonlinear and linear regression analysis. Environ. Technol. Innov. 2021, 22, 101428. [Google Scholar] [CrossRef]
- Mahpishanian, S.; Ahmadian-Alam, L.; Foudazi, R. Porous polymer nanocomposites containing single-walled carbon nanotubes for chromium (VI) removal from water. React. Funct. Polym. 2023, 192, 105719. [Google Scholar] [CrossRef]
- Wang, L.; Wang, J.; Wang, Y.; Qin, Y.; Zhou, Y. Removal of bentazon in water thorough a novel adsorbentprepared by IL@β-cyclodextrin/reduced graphene oxide/multiwall carbon nanotubes. J. Mol. Liq. 2023, 387, 122705. [Google Scholar] [CrossRef]
- Gao, H.; Han, X.; Wang, R.; Zhu, K.; Han, R. Adsorption and catalytic degradation of bisphenol A and p-chlorophenol by magnetic carbon nanotubes. Environ. Res. 2023, 231, 116314. [Google Scholar] [CrossRef]
- Addo Ntim, S.; Mitra, S. Adsorption of arsenic on multiwall carbon nanotube–zirconia nanohybrid for potential drinking water purification. J. Colloid Interface Sci. 2012, 375, 154–159. [Google Scholar] [CrossRef] [PubMed]
- Marszałek, A.; Kamińska, G.; Abdel Salam, N.F. Simultaneous adsorption of organic and inorganic micropollutants from rainwater by bentonite and bentonite-carbon nanotubes composites. J. Water Process Eng. 2022, 46, 102550. [Google Scholar] [CrossRef]
- Abutaleb, A.; Imran, M.; Zouli, N.; Khan, A.H.; Hussain, S.; Ali, M.A.; Bakather, O.; Gondal, M.A.; Khan, N.A.; Panchal, H.; et al. Fe3O4-multiwalled carbon nanotubes-bentonite as adsorbent for removal of methylene blue from aqueous solutions. Chemosphere 2023, 316, 137824. [Google Scholar] [CrossRef]
- Bakather, O.Y. Adsorption of benzene on impregnated carbon nanotubes. Ain Shams Eng. J. 2020, 11, 905–912. [Google Scholar] [CrossRef]
- Saleh, T.A.; Elsharif, A.M.; Bin-Dahman, O.A. Synthesis of amine functionalization carbon nanotube-low symmetry porphyrin derivatives conjugates toward dye and metal ions removal. J. Mol. Liq. 2021, 340, 117024. [Google Scholar] [CrossRef]
- Zhao, P.; Geng, T.; Zhao, Y.; Tian, Y.; Li, J.; Zhang, H.; Zhao, W. Removal of Cu(II) ions from aqueous solution by a magnetic multi-wall carbon nanotube adsorbent. Chem. Eng. J. Adv. 2021, 8, 100184. [Google Scholar] [CrossRef]
- Al-Musawi, T.J.; Mengelizadeh, N.; Ganji, F.; Wang, C.; Balarak, D. Preparation of multi-walled carbon nanotubes coated with CoFe2O4 nanoparticles and their adsorption performance for Bisphenol A compound. Adv. Powder Technol. 2022, 33, 103438. [Google Scholar] [CrossRef]
- Sarkar, A.; Paul, B. Analysis of the performance of zirconia-multiwalled carbon nanotube nanoheterostructures in adsorbing As(V) from potable water from the aspects of physical chemistry with an emphasis on adsorption site energy distribution and density functional theory calculations. Microporous Mesoporous Mater. 2020, 302, 110191. [Google Scholar] [CrossRef]
- Pereira, H.A.; da Boit Martinello, K.; Vieira, Y.; Diel, J.C.; Netto, M.S.; Reske, G.D.; Lorenzett, E.; Silva, L.F.O.; Burgo, T.A.L.; Dotto, G.L. Adsorptive behavior of multi-walled carbon nanotubes immobilized magnetic nanoparticles for removing selected pesticides from aqueous matrices. Chemosphere 2023, 325, 138384. [Google Scholar] [CrossRef] [PubMed]
- Cheng, Z.; Lyu, H.; Shen, B.; Tian, J.; Sun, Y.; Wu, C. Removal of antimonite (Sb(III)) from aqueous solution using a magnetic iron-modified carbon nanotubes (CNTs) composite: Experimental observations and governing mechanisms. Chemosphere 2022, 288, 132581. [Google Scholar] [CrossRef] [PubMed]
- Gupta, V.K.; Agarwal, S.; Bharti, A.K.; Sadegh, H. Adsorption mechanism of functionalized multi-walled carbon nanotubes for advanced Cu (II) removal. J. Mol. Liq. 2017, 230, 667–673. [Google Scholar] [CrossRef]
- Ma, M.-D.; Wu, H.; Deng, Z.-Y.; Zhao, X. Arsenic removal from water by nanometer iron oxide coated single-wall carbon nanotubes. J. Mol. Liq. 2018, 259, 369–375. [Google Scholar] [CrossRef]
- Egbosiuba, T.C.; Abdulkareem, A.S.; Kovo, A.S.; Afolabi, E.A.; Tijani, J.O.; Roos, W.D. Enhanced adsorption of As(V) and Mn(VII) from industrial wastewater using multi-walled carbon nanotubes and carboxylated multi-walled carbon nanotubes. Chemosphere 2020, 254, 126780. [Google Scholar] [CrossRef]
- Atieh, M.A. Removal of Chromium (VI) from polluted water using carbon nanotubes supported with activated carbon. Procedia Environ. Sci. 2011, 4, 281–293. [Google Scholar] [CrossRef]
- Ansari, M.; Kazemipour, M.; Dehghani, M.; Kazemipour, M. The defluoridation of drinking water using multi-walled carbon nanotubes. J. Fluor. Chem. 2011, 132, 516–520. [Google Scholar] [CrossRef]
- Dehghani, M.H.; Niasar, Z.S.; Mehrnia, M.R.; Shayeghi, M.; Al-Ghouti, M.A.; Heibati, B.; McKay, G.; Yetilmezsoy, K. Optimizing the removal of organophosphorus pesticide malathion from water using multi-walled carbon nanotubes. Chem. Eng. J. 2017, 310, 22–32. [Google Scholar] [CrossRef]
- Stafiej, A.; Pyrzynska, K. Solid phase extraction of metal ions using carbon nanotubes. Microchem. J. 2008, 89, 29–33. [Google Scholar] [CrossRef]
- Li, Y.-H.; Wang, S.; Wei, J.; Zhang, X.; Xu, C.; Luan, Z.; Wu, D.; Wei, B. Lead adsorption on carbon nanotubes. Chem. Phys. Lett. 2002, 357, 263–266. [Google Scholar] [CrossRef]
- Lu, C.; Liu, C. Removal of nickel(II) from aqueous solution by carbon nanotubes. J. Chem. Technol. Biotechnol. 2006, 81, 1932–1940. [Google Scholar] [CrossRef]
- Li, Y.-H.; Ding, J.; Luan, Z.; Di, Z.; Zhu, Y.; Xu, C.; Wu, D.; Wei, B. Competitive adsorption of Pb2+, Cu2+ and Cd2+ ions from aqueous solutions by multiwalled carbon nanotubes. Carbon 2003, 41, 2787–2792. [Google Scholar] [CrossRef]
- Ma, J.; Yu, F.; Zhou, L.; Jin, L.; Yang, M.; Luan, J.; Tang, Y.; Fan, H.; Yuan, Z.; Chen, J. Enhanced Adsorptive Removal of Methyl Orange and Methylene Blue from Aqueous Solution by Alkali-Activated Multiwalled Carbon Nanotubes. ACS Appl. Mater. Interfaces 2012, 4, 5749–5760. [Google Scholar] [CrossRef] [PubMed]
- Wang, S.; Ng, C.W.; Wang, W.; Li, Q.; Hao, Z. Synergistic and competitive adsorption of organic dyes on multiwalled carbon nanotubes. Chem. Eng. J. 2012, 197, 34–40. [Google Scholar] [CrossRef]
- Bazrafshan, E.; Mostafapour, F.K.; Hosseini, A.R.; Raksh Khorshid, A.; Mahvi, A.H. Decolorisation of reactive red 120 dye by using single-walled carbon nanotubes in aqueous solutions. J. Chem. 2013, 2013, 938374. [Google Scholar] [CrossRef]
- Moradi, O. Adsorption Behavior of Basic Red 46 by Single-Walled Carbon Nanotubes Surfaces. Fuller. Nanotub. Carbon Nanostructures 2013, 21, 286–301. [Google Scholar] [CrossRef]
- Zhang, L.; Song, X.; Liu, X.; Yang, L.; Pan, F.; Lv, J. Studies on the removal of tetracycline by multi-walled carbon nanotubes. Chem. Eng. J. 2011, 178, 26–33. [Google Scholar] [CrossRef]
- Zhang, L.; Xu, T.; Liu, X.; Zhang, Y.; Jin, H. Adsorption behavior of multi-walled carbon nanotubes for the removal of olaquindox from aqueous solutions. J. Hazard. Mater. 2011, 197, 389–396. [Google Scholar] [CrossRef]
- Mehrizad, A.; Aghaie, M.; Gharbani, P.; Dastmalchi, S.; Monajjemi, M.; Zare, K. Comparison of 4-chloro-2-nitrophenol adsorption on single-walled and multi-walled carbon nanotubes. Iran. J. Environ. Health Sci. Eng. 2012, 9, 5. [Google Scholar] [CrossRef]
- Lou, J.C.; Jung, M.J.; Yang, H.W.; Han, J.Y.; Huang, W.H. Removal of dissolved organic matter (DOM) from raw water by single-walled carbon nanotubes (SWCNTs). J. Environ. Sci. Health Part A 2011, 46, 1357–1365. [Google Scholar] [CrossRef]
- Yu, F.; Wu, Y.; Li, X.; Ma, J. Kinetic and Thermodynamic Studies of Toluene, Ethylbenzene, and m-Xylene Adsorption from Aqueous Solutions onto KOH-Activated Multiwalled Carbon Nanotubes. J. Agric. Food Chem. 2012, 60, 12245–12253. [Google Scholar] [CrossRef] [PubMed]
- Zhao, D.; Zhang, W.; Chen, C.; Wang, X. Adsorption of Methyl Orange Dye Onto Multiwalled Carbon Nanotubes. Procedia Environ. Sci. 2013, 18, 890–895. [Google Scholar] [CrossRef]
- Zhu, H.Y.; Jiang, R.; Xiao, L.; Zeng, G.M. Preparation, characterization, adsorption kinetics and thermodynamics of novel magnetic chitosan enwrapping nanosized γ-Fe2O3 and multi-walled carbon nanotubes with enhanced adsorption properties for methyl orange. Bioresour. Technol. 2010, 101, 5063–5069. [Google Scholar] [CrossRef] [PubMed]
- Álvarez-Torrellas, S.; Rodríguez, A.; Ovejero, G.; García, J. Comparative adsorption performance of ibuprofen and tetracycline from aqueous solution by carbonaceous materials. Chem. Eng. J. 2016, 283, 936–947. [Google Scholar] [CrossRef]
- Ma, J.; Zhuang, Y.; Yu, F. Facile method for the synthesis of a magnetic CNTs–C@Fe–chitosan composite and its application in tetracycline removal from aqueous solutions. Phys. Chem. Chem. Phys. 2015, 17, 15936–15944. [Google Scholar] [CrossRef]
- Ncibi, M.C.; Sillanpää, M. Optimized removal of antibiotic drugs from aqueous solutions using single, double and multi-walled carbon nanotubes. J. Hazard. Mater. 2015, 298, 102–110. [Google Scholar] [CrossRef]
- Wang, F.; Sun, W.; Pan, W.; Xu, N. Adsorption of sulfamethoxazole and 17β-estradiol by carbon nanotubes/CoFe2O4 composites. Chem. Eng. J. 2015, 274, 17–29. [Google Scholar] [CrossRef]
- Yang, Q.; Chen, G.; Zhang, J.; Li, H. Adsorption of sulfamethazine by multi-walled carbon nanotubes: Effects of aqueous solution chemistry. RSC Adv. 2015, 5, 25541–25549. [Google Scholar] [CrossRef]
- Yang, W.; Lu, Y.; Zheng, F.; Xue, X.; Li, N.; Liu, D. Adsorption behavior and mechanisms of norfloxacin onto porous resins and carbon nanotube. Chem. Eng. J. 2012, 179, 112–118. [Google Scholar] [CrossRef]
- Xu, Y.; Wu, H.; Lv, Z.; Cao, Y. Synthesis of Sr@TiO2 nanomaterials rapidly by microwave induced combustion method and measure its photocatalytic degradation properties of methyl orange wastewater. Desalination Water Treat. 2022, 245, 297–305. [Google Scholar] [CrossRef]
- Almutairi, S.T. Fabrication and catalytic activity of TiO2/Fe3O4 and Fe3O4/β-cyclodextrin nanocatalysts for safe treatment of industrial wastewater. Heliyon 2024, 10, e35400. [Google Scholar] [CrossRef] [PubMed]
- Surendra, B.; Guduru, N.; Sohan Joshua, M.; Ram Kiran, B.; Vangalapati, M. Influence of chemically synthesized TiO2 nanoparticles for photocatalytic degradation of herbicide atrazine. Mater. Today Proc. 2023. [Google Scholar] [CrossRef]
- Phattepur, H.; Nagaraju, G.; Shruthi, R.; Sandhya, R.; Banupriya, C.M. Synthesis of Zn doped black TiO2 nanoparticles for degradation of 2, 4, 6 tri-chloro-phenol under visible light. J. Indian Chem. Soc. 2023, 100, 100881. [Google Scholar] [CrossRef]
- Singh, S.; Nath Tripathi, M.; Reddy Prasad, P.; Sunil, B.D.Y. Structural, electronic and optical properties of ZnO and TiO2 nanoparticles for wastewater treatment: A first-principles study. Mater. Today Proc. 2023, 92, 928–932. [Google Scholar] [CrossRef]
- Kaur, H.; Kumar, S.; Kaur, G.; Kaur, N.; Badru, R.; Saini, R. An emerging expanse: Novel and eco-friendly-biogenic synthesis of E. cardamomum-wrapped TiO2 nanoparticles for environmental and biological applications. Environ. Res. 2023, 234, 116599. [Google Scholar] [CrossRef]
- Zheng, F.; Queirós, J.M.; Martins, P.M.; de Luis, R.F.; Fidalgo-Marijuan, A.; Vilas-Vilela, J.L.; Lanceros-Méndez, S.; Reguera, J. Au-sensitised TiO2 and ZnO nanoparticles for broadband pharmaceuticals photocatalytic degradation in water remediation. Colloids Surf. A Physicochem. Eng. Asp. 2023, 671, 131594. [Google Scholar] [CrossRef]
- Gora, S.L.; Andrews, S.A. Adsorption of natural organic matter and disinfection byproduct precursors from surface water onto TiO2 nanoparticles: pH effects, isotherm modelling and implications for using TiO2 for drinking water treatment. Chemosphere 2017, 174, 363–370. [Google Scholar] [CrossRef]
- Rind, I.K.; Tuzen, M.; Sarı, A.; Lanjwani, M.F.; Memon, N.; Saleh, T.A. Synthesis of TiO2 nanoparticles loaded on magnetite nanoparticles modified kaolinite clay (KC) and their efficiency for As(III) adsorption. Chem. Eng. Res. Des. 2023, 191, 523–536. [Google Scholar] [CrossRef]
- Khalid, F.; Tabish, M.; Bora, K.A.I. Novel poly(vinyl alcohol) nanofiltration membrane modified with dopamine coated anatase TiO2 core shell nanoparticles. J. Water Process Eng. 2020, 37, 101486. [Google Scholar] [CrossRef]
- Parvizian, F.; Ansari, F.; Bandehali, S. Oleic acid-functionalized TiO2 nanoparticles for fabrication of PES-based nanofiltration membranes. Chem. Eng. Res. Des. 2020, 156, 433–441. [Google Scholar] [CrossRef]
- Lal, M.; Sharma, P.; Ram, C. Synthesis and photocatalytic potential of Nd-doped TiO2 under UV and solar light irradiation using a sol-gel ultrasonication method. Results Mater. 2022, 15, 100308. [Google Scholar] [CrossRef]
- Valadez-Renteria, E.; Barrera-Rendon, E.; Oliva, J.; Rodriguez-Gonzalez, V. Flexible CuS/TiO2 based composites made with recycled bags and polystyrene for the efficient removal of the 4-CP pesticide from drinking water. Sep. Purif. Technol. 2021, 270, 118821. [Google Scholar] [CrossRef]
- Syahin Firdaus Aziz Zamri, M.; Sapawe, N. Effect of pH on Phenol Degradation Using Green Synthesized Titanium Dioxide Nanoparticles. Mater. Today Proc. 2019, 19, 1321–1326. [Google Scholar] [CrossRef]
- Kazemi, M.; Peyravi, M.; Jahanshahi, M. Multilayer UF membrane assisted by photocatalytic NZVI@TiO2 nanoparticle for removal and reduction of hexavalent chromium. J. Water Process Eng. 2020, 37, 101183. [Google Scholar] [CrossRef]
- Bindhu, M.R.; Willington, T.D.; Hatshan, M.R.; Chen, S.-M.; Chen, T.-W. Environmental photochemistry with Sn/F simultaneously doped TiO2 nanoparticles: UV and visible light induced degradation of thiazine dye. Environ. Res. 2022, 207, 112108. [Google Scholar] [CrossRef]
- Gomez-Polo, C.; Larumbe, S.; Gil, A.; Muñoz, D.; Fernández, L.R.; Barquín, L.F.; García-Prieto, A.; Fdez-Gubieda, M.L.; Muela, A. Improved photocatalytic and antibacterial performance of Cr doped TiO2 nanoparticles. Surf. Interfaces 2021, 22, 100867. [Google Scholar] [CrossRef]
- Sadeghpour, H.; Shafaei, S.Z.; Ardejani, F.D.; Boroumand, Z.; Darestani, P.A.; Madadgar, S.; Hasani, S. Arsenic removal by highly efficient MnFe2O4/TiO2/g-C3N4 and MnFe2O4/TiO2/GO adsorbents from a groundwater sample, Bardsir, Iran. Environ. Nanotechnol. Monit. Manag. 2023, 20, 100821. [Google Scholar] [CrossRef]
- Zimbone, M.; Buccheri, M.A.; Cacciato, G.; Sanz, R.; Rappazzo, G.; Boninelli, S.; Reitano, R.; Romano, L.; Privitera, V.; Grimaldi, M.G. Photocatalytical and antibacterial activity of TiO2 nanoparticles obtained by laser ablation in water. Appl. Catal. B Environ. 2015, 165, 487–494. [Google Scholar] [CrossRef]
- Liang, Y.; Huang, G.; Li, Y.; Yao, Y.; Xin, X.; Li, X.; Yin, J.; Gao, S.; Wu, Y.; Chen, X.; et al. Photocatalytic disinfection for point-of-use water treatment using Ti3+ self-doping TiO2 nanoparticle decorated ceramic disk filter. Environ. Res. 2022, 212, 113602. [Google Scholar] [CrossRef]
- Gora, S.; Liang, R.; Zhou, Y.N.; Andrews, S. Settleable engineered titanium dioxide nanomaterials for the removal of natural organic matter from drinking water. Chem. Eng. J. 2018, 334, 638–649. [Google Scholar] [CrossRef]
- Liu, M.; Yin, W.; Qian, F.-J.; Zhao, T.-L.; Yao, Q.-Z.; Fu, S.-Q.; Zhou, G.-T. A novel synthesis of porous TiO2 nanotubes and sequential application to dye contaminant removal and Cr(VI) visible light catalytic reduction. J. Environ. Chem. Eng. 2020, 8, 104061. [Google Scholar] [CrossRef]
- Laishram, D.; Shejale, K.P.; Gupta, R.; Sharma, R.K. Heterostructured HfO2/TiO2 spherical nanoparticles for visible photocatalytic water remediation. Mater. Lett. 2018, 231, 225–228. [Google Scholar] [CrossRef]
- Evgenidou, E.; Chatzisalata, Z.; Tsevis, A.; Bourikas, K.; Torounidou, P.; Sergelidis, D.; Koltsakidou, A.; Lambropoulou, D.A. Photocatalytic degradation of a mixture of eight antibiotics using Cu-modified TiO2 photocatalysts: Kinetics, mineralization, antimicrobial activity elimination and disinfection. J. Environ. Chem. Eng. 2021, 9, 105295. [Google Scholar] [CrossRef]
- Ounas, O.; El Foulani, A.A.; Lekhlif, B.; Jamal-Eddine, J. Immobilization of TiO2 into a poly methyl methacrylate (PMMA) as hybrid film for photocatalytic degradation of methylene blue. Mater. Today Proc. 2020, 22, 35–40. [Google Scholar] [CrossRef]
- Du, J.; Ma, S.; Liu, H.; Fu, H.; Li, L.; Li, Z.; Li, Y.; Zhou, J. Uncovering the mechanism of novel AgInS2 nanosheets/TiO2 nanobelts composites for photocatalytic remediation of combined pollution. Appl. Catal. B Environ. 2019, 259, 118062. [Google Scholar] [CrossRef]
- Nabi, G.; Majid, A.; Riaz, A.; Alharbi, T.; Arshad Kamran, M.; Al-Habardi, M. Green synthesis of spherical TiO2 nanoparticles using Citrus Limetta extract: Excellent photocatalytic water decontamination agent for RhB dye. Inorg. Chem. Commun. 2021, 129, 108618. [Google Scholar] [CrossRef]
- Luna-Sanguino, G.; Ruíz-Delgado, A.; Tolosana-Moranchel, A.; Pascual, L.; Malato, S.; Bahamonde, A.; Faraldos, M. Solar photocatalytic degradation of pesticides over TiO2-rGO nanocomposites at pilot plant scale. Sci. Total Environ. 2020, 737, 140286. [Google Scholar] [CrossRef]
- Boruah, P.K.; Das, M.R. Dual responsive magnetic Fe3O4-TiO2/graphene nanocomposite as an artificial nanozyme for the colorimetric detection and photodegradation of pesticide in an aqueous medium. J. Hazard. Mater. 2020, 385, 121516. [Google Scholar] [CrossRef]
- Fiorenza, R.; Di Mauro, A.; Cantarella, M.; Iaria, C.; Scalisi, E.M.; Brundo, M.V.; Gulino, A.; Spitaleri, L.; Nicotra, G.; Dattilo, S.; et al. Preferential removal of pesticides from water by molecular imprinting on TiO2 photocatalysts. Chem. Eng. J. 2020, 379, 122309. [Google Scholar] [CrossRef]
- Rokicka-Konieczna, P.; Wanag, A.; Sienkiewicz, A.; Kusiak-Nejman, E.; Morawski, A.W. Antibacterial effect of TiO2 nanoparticles modified with APTES. Catal. Commun. 2020, 134, 105862. [Google Scholar] [CrossRef]
- Sraw, A.; Kaur, T.; Pandey, Y.; Verma, A.; Sobti, A.; Wanchoo, R.K.; Toor, A.P. Photocatalytic degradation of monocrotophos and quinalphos using solar-activated S-doped TiO2. Int. J. Environ. Sci. Technol. 2020, 17, 4895–4908. [Google Scholar] [CrossRef]
- Yan, H.; Liu, L.; Wang, R.; Zhu, W.; Ren, X.; Luo, L.; Zhang, X.; Luo, S.; Ai, X.; Wang, J. Binary composite MoS2/TiO2 nanotube arrays as a recyclable and efficient photocatalyst for solar water disinfection. Chem. Eng. J. 2020, 401, 126052. [Google Scholar] [CrossRef]
- Li, Y.; Yang, B.; Liu, B. MOF assisted synthesis of TiO2/Au/Fe2O3 hybrids with enhanced photocatalytic hydrogen production and simultaneous removal of toxic phenolic compounds. J. Mol. Liq. 2021, 322, 114815. [Google Scholar] [CrossRef]
- Gadgil, D.J.; Shetty Kodialbail, V. Suspended and polycaprolactone immobilized Ag @TiO2/polyaniline nanocomposites for water disinfection and endotoxin degradation by visible and solar light-mediated photocatalysis. Environ. Sci. Pollut. Res. 2021, 28, 12780–12791. [Google Scholar] [CrossRef]
- Norouzi, M.; Fazeli, A.; Tavakoli, O. Phenol contaminated water treatment by photocatalytic degradation on electrospun Ag/TiO2 nanofibers: Optimization by the response surface method. J. Water Process Eng. 2020, 37, 101489. [Google Scholar] [CrossRef]
- Munguti, L.; Dejene, F. Influence of annealing temperature on structural, optical and photocatalytic properties of ZnO-TiO2 composites for application in dye removal in water. Nano-Struct. Nano-Objects 2020, 24, 100594. [Google Scholar] [CrossRef]
- Sreeja, S.; Shetty, V. Photocatalytic water disinfection under solar irradiation by Ag@TiO2 core-shell structured nanoparticles. Sol. Energy 2017, 157, 236–243. [Google Scholar] [CrossRef]
- Xing, X.; Du, Z.; Zhuang, J.; Wang, D. Removal of ciprofloxacin from water by nitrogen doped TiO2 immobilized on glass spheres: Rapid screening of degradation products. J. Photochem. Photobiol. A Chem. 2018, 359, 23–32. [Google Scholar] [CrossRef]
- Calisir, M.D.; Gungor, M.; Demir, A.; Kilic, A.; Khan, M.M. Nitrogen-doped TiO2 fibers for visible-light-induced photocatalytic activities. Ceram. Int. 2020, 46, 16743–16753. [Google Scholar] [CrossRef]
- Yi, C.; Liao, Q.; Deng, W.; Huang, Y.; Mao, J.; Zhang, B.; Wu, G. The preparation of amorphous TiO2 doped with cationic S and its application to the degradation of DCFs under visible light irradiation. Sci. Total Environ. 2019, 684, 527–536. [Google Scholar] [CrossRef]
- Irshad, M.A.; Abdullah; Latif, M.; Nasim, I.; Nawaz, R.; Zahoor, A.F.; Al-Mutairi, A.A.; Al-Hussain, S.A.; Irfan, A.; Zaki, M.E.A. Efficient chromium removal from leather industrial wastewater in batch experimental study: Green synthesis and characterization of zinc oxide nanoparticles using Ficus benghalensis extracts. Ecotoxicol. Environ. Saf. 2024, 281, 116616. [Google Scholar] [CrossRef]
- Shekofteh Narm, T.; Hamidinezhad, H.; Sabouri, Z.; Darroudi, M. Green synthesis of silver doped zinc oxide/magnesium oxide nanocomposite for waste water treatment and examination of their cytotoxicity properties. Heliyon 2024, 10, e30374. [Google Scholar] [CrossRef]
- Jyoti; Singh, S.; Das, S.; Srivastava, S. Comparative study for removal of toxic hexavalent chromium by zinc oxide nanoparticles, chitosan, chitin and zinc-chitosan nano-biocomposite. Environ. Technol. Innov. 2023, 32, 103310. [Google Scholar] [CrossRef]
- Liu, Q.; Niu, X.; Zhang, D.; Ye, X.; Tan, P.; Shu, T.; Lin, Z. Phototransformation of phosphite induced by zinc oxide nanoparticles (ZnO NPs) in aquatic environments. Water Res. 2023, 245, 120571. [Google Scholar] [CrossRef]
- Sharma, R.; Sharma, R.; Singh, R.R.; Kumari, A. Evaluation of biogenic zinc oxide nanoparticles from Tinospora cordifolia stem extract for photocatalytic, anti-microbial, and antifungal activities. Mater. Chem. Phys. 2023, 297, 127382. [Google Scholar] [CrossRef]
- Saqib, M.; Rahman, S.u.; Ali, S.; Khan, S.A.; Ismail, B.; Khan, A.M. Comparative studies of “3d” transition metals (Co, Mn, Ni) doped ZnO nanoparticles for visible light degradation of methylene blue. Mater. Today Commun. 2023, 37, 107335. [Google Scholar] [CrossRef]
- George, N.S.; Anil Kadam, S.; Sreehari, S.; Maria Jose, L.; Ron Ma, Y.; Aravind, A. Inquest on photocatalytic and antibacterial traits of low composition Cu doped ZnO nanoparticles. Chem. Phys. Lett. 2023, 815, 140351. [Google Scholar] [CrossRef]
- Mondal, S.; Ayon, S.A.; Islam, M.S.; Rana, M.S.; Billah, M.M. Morphological evaluation and boosted photocatalytic activity of N-doped ZnO nanoparticles prepared via Co-precipitation method. Heliyon 2023, 9, e20948. [Google Scholar] [CrossRef]
- Gayathri, P.V.; Rayaroth, M.P.; Aravindakumar, C.T.; Pillai, D.; Joseph, S. Sunlight-Induced decontamination of water from emerging pharmaceutical pollutants using ZnO nanoparticles. Chemosphere 2023, 343, 140265. [Google Scholar] [CrossRef]
- Al Aqad, K.M.; Basheer, C. Photocatalytic degradation of basic blue dye using zinc nanoparticles decorated graphene oxide nanosheet. J. Phys. Org. Chem. 2021, 34, e4117. [Google Scholar] [CrossRef]
- Sasi, S.; Fathima Fasna, P.H.; Bindu Sharmila, T.K.; Julie Chandra, C.S.; Antony, J.V.; Raman, V.; Nair, A.B.; Ramanathan, H.N. Green synthesis of ZnO nanoparticles with enhanced photocatalytic and antibacterial activity. J. Alloys Compd. 2022, 924, 166431. [Google Scholar] [CrossRef]
- Gu, M.; Hao, L.; Wang, Y.; Li, X.; Chen, Y.; Li, W.; Jiang, L. The selective heavy metal ions adsorption of zinc oxide nanoparticles from dental wastewater. Chem. Phys. 2020, 534, 110750. [Google Scholar] [CrossRef]
- Choina, J.; Bagabas, A.; Fischer, C.; Flechsig, G.U.; Kosslick, H.; Alshammari, A.; Schulz, A. The influence of the textural properties of ZnO nanoparticles on adsorption and photocatalytic remediation of water from pharmaceuticals. Catal. Today 2015, 241, 47–54. [Google Scholar] [CrossRef]
- Noor, F.; Latif, M.; Aziz, M.H.; Shaheen, F.; Ahmed, M.; Ali, S.M.; Huang, Q. Architecture of GO/CoFe2O4/ZnO nanocomposite for efficient fluoride removal: An approach using RSM, ANN and GRU modeling. Surf. Interfaces 2023, 43, 103583. [Google Scholar] [CrossRef]
- Singh, K.; Nancy; Singh, G.; Singh, J. Sustainable synthesis of biogenic ZnO NPs for mitigation of emerging pollutants and pathogens. Environ. Res. 2023, 219, 114952. [Google Scholar] [CrossRef]
- Pillai, P.; Dharaskar, S.; Khalid, M. Optimization of fluoride removal by Al doped ZnO nanoparticles using response surface methodology from groundwater. Chemosphere 2021, 284, 131317. [Google Scholar] [CrossRef]
- Motshekga, S.C.; Ray, S.S.; Onyango, M.S.; Momba, M.N.B. Microwave-assisted synthesis, characterization and antibacterial activity of Ag/ZnO nanoparticles supported bentonite clay. J. Hazard. Mater. 2013, 262, 439–446. [Google Scholar] [CrossRef]
- Atta, A.M.; Al-Lohedan, H.A.; Ezzat, A.O.; Tawfik, A.M.; Hashem, A.I. Synthesis of zinc oxide nanocomposites using poly (ionic liquids) based on quaternary ammonium acrylamidomethyl propane sulfonate for water treatment. J. Mol. Liq. 2017, 236, 38–47. [Google Scholar] [CrossRef]
- Dilawar, S.; Albalawi, K.; Khan, A.U.; Tahir, K.; Zaki, M.E.A.; Musad Saleh, E.A.; Almarhoon, Z.M.; Althagafi, T.M.; El-Zahhar, A.A.; El-Bialy, E. Rapid photodegradation of toxic organic compounds and photo inhibition of bacteria in the presence of novel hydrothermally synthesized Ag/Mn–ZnO nanomaterial. Environ. Res. 2023, 231, 116093. [Google Scholar] [CrossRef]
- Whang, T.-J.; Hsieh, M.-T.; Chen, H.-H. Visible-light photocatalytic degradation of methylene blue with laser-induced Ag/ZnO nanoparticles. Appl. Surf. Sci. 2012, 258, 2796–2801. [Google Scholar] [CrossRef]
- Kassem, K.O.; Hussein, M.A.T.; Motawea, M.M.; Gomaa, H.; Alrowaili, Z.A.; Ezzeldien, M. Design of mesoporous ZnO @ silica fume-derived SiO2 nanocomposite as photocatalyst for efficient crystal violet removal: Effective route to recycle industrial waste. J. Clean. Prod. 2021, 326, 129416. [Google Scholar] [CrossRef]
- Chankhanittha, T.; Yenjai, C.; Nanan, S. Utilization of formononetin and pinocembrin from stem extract of Dalbergia parviflora as capping agents for preparation of ZnO photocatalysts for degradation of RR141 azo dye and ofloxacin antibiotic. Catal. Today 2022, 384–386, 279–293. [Google Scholar] [CrossRef]
- Biswal, H.J.; Srivastava, T.; Vundavilli, P.R.; Gupta, A. Facile fabrication of hydrophobic ZnO nanostructured nickel microtubes through pulse electrodeposition as promising photocatalyst for wastewater remediation. J. Manuf. Process. 2022, 75, 538–551. [Google Scholar] [CrossRef]
- Danwittayakul, S.; Songngam, S.; Sukkasi, S. Enhanced solar water disinfection using ZnO supported photocatalysts. Environ. Technol. 2020, 41, 349–356. [Google Scholar] [CrossRef]
- El Golli, A.; Fendrich, M.; Bazzanella, N.; Dridi, C.; Miotello, A.; Orlandi, M. Wastewater remediation with ZnO photocatalysts: Green synthesis and solar concentration as an economically and environmentally viable route to application. J. Environ. Manag. 2021, 286, 112226. [Google Scholar] [CrossRef]
- Chimupala, Y.; Phromma, C.; Yimklan, S.; Semakul, N.; Ruankham, P. Dye wastewater treatment enabled by piezo-enhanced photocatalysis of single-component ZnO nanoparticles. RSC Adv. 2020, 10, 28567–28575. [Google Scholar] [CrossRef]
- Deebansok, S.; Amornsakchai, T.; Sae-ear, P.; Siriphannon, P.; Smith, S.M. Sphere-like and flake-like ZnO immobilized on pineapple leaf fibers as easy-to-recover photocatalyst for the degradation of congo red. J. Environ. Chem. Eng. 2021, 9, 104746. [Google Scholar] [CrossRef]
- Wong, K.-A.; Lam, S.-M.; Sin, J.-C. Wet chemically synthesized ZnO structures for photodegradation of pre-treated palm oil mill effluent and antibacterial activity. Ceram. Int. 2019, 45, 1868–1880. [Google Scholar] [CrossRef]
- Páez, M.R.; Ochoa-Muñoz, Y.; Rodriguez-Páez, J.E. Efficient removal of a glyphosate-based herbicide from water using ZnO nanoparticles (ZnO-NPs). Biocatal. Agric. Biotechnol. 2019, 22, 101434. [Google Scholar] [CrossRef]
- da Silva Biron, D.; Santos, V.d.; Bergmann, C.P. Tubular ceramic membranes coated with ZnO and applied in the disinfection of water contaminated with Staphylococcus aureus. Ceram. Int. 2021, 47, 27082–27090. [Google Scholar] [CrossRef]
- Najma, B.; Kasi, A.K.; Khan Kasi, J.; Akbar, A.; Bokhari, S.M.A.; Stroe, I.R.C. ZnO/AAO photocatalytic membranes for efficient water disinfection: Synthesis, characterization and antibacterial assay. Appl. Surf. Sci. 2018, 448, 104–114. [Google Scholar] [CrossRef]
- Li, J.; Liu, X.; Tan, L.; Liang, Y.; Cui, Z.; Yang, X.; Zhu, S.; Li, Z.; Zheng, Y.; Yeung, K.W.K.; et al. Light-Activated Rapid Disinfection by Accelerated Charge Transfer in Red Phosphorus/ZnO Heterointerface. Small Methods 2019, 3, 1900048. [Google Scholar] [CrossRef]
- Senasu, T.; Chankhanittha, T.; Hemavibool, K.; Nanan, S. Visible-light-responsive photocatalyst based on ZnO/CdS nanocomposite for photodegradation of reactive red azo dye and ofloxacin antibiotic. Mater. Sci. Semicond. Process. 2021, 123, 105558. [Google Scholar] [CrossRef]
- Shubha, J.P.; Sushma, N.V.; Adil, S.F.; Khan, M.; Assal, M.E.; Hatshan, M.R.; Shaik, B. ZnO/La2O3/NiO based ternary heterostructure nano-photocatalyst: Preparation, characterization and its application for the degradation of methylene blue. J. King Saud Univ. Sci. 2022, 34, 101738. [Google Scholar] [CrossRef]
- Yadav, S.; Kumar, N.; Kumari, V.; Mittal, A.; Sharma, S. Photocatalytic degradation of Triclopyr, a persistent pesticide by ZnO/SnO2 nano-composities. Mater. Today Proc. 2019, 19, 642–645. [Google Scholar] [CrossRef]
- Raha, S.; Ahmaruzzaman, M. Enhanced performance of a novel superparamagnetic g-C3N4/NiO/ZnO/Fe3O4 nanohybrid photocatalyst for removal of esomeprazole: Effects of reaction parameters, co-existing substances and water matrices. Chem. Eng. J. 2020, 395, 124969. [Google Scholar] [CrossRef]
- Serrà, A.; Philippe, L. Simple and scalable fabrication of hairy ZnO@ZnS core@shell Cu cables for continuous sunlight-driven photocatalytic water remediation. Chem. Eng. J. 2020, 401, 126164. [Google Scholar] [CrossRef]
- Raza, N.; Raza, W.; Gul, H.; Kim, K.-H. ZnO–ZnTe hierarchical superstructures as solar-light-activated photocatalysts for azo dye removal. Environ. Res. 2021, 194, 110499. [Google Scholar] [CrossRef]
- Koutavarapu, R.; Babu, B.; Reddy, C.V.; Reddy, I.N.; Reddy, K.R.; Rao, M.C.; Aminabhavi, T.M.; Cho, M.; Kim, D.; Shim, J. ZnO nanosheets-decorated Bi2WO6 nanolayers as efficient photocatalysts for the removal of toxic environmental pollutants and photoelectrochemical solar water oxidation. J. Environ. Manag. 2020, 265, 110504. [Google Scholar] [CrossRef]
- Qamar, M.A.; Shahid, S.; Javed, M.; Sher, M.; Iqbal, S.; Bahadur, A.; Li, D. Fabricated novel g-C3N4/Mn doped ZnO nanocomposite as highly active photocatalyst for the disinfection of pathogens and degradation of the organic pollutants from wastewater under sunlight radiations. Colloids Surf. A Physicochem. Eng. Asp. 2021, 611, 125863. [Google Scholar] [CrossRef]
- Faisal, M.; Rashed, M.A.; Ahmed, J.; Alsaiari, M.; Alkorbi, A.S.; Jalalah, M.; Alsareii, S.A.; Harraz, F.A. Rapid photodegradation of linezolid antibiotic and methylene blue dye over Pt nanoparticles/polypyrrole-carbon black/ZnO novel visible light photocatalyst. J. Environ. Chem. Eng. 2021, 9, 106773. [Google Scholar] [CrossRef]
- Vallejo, W.; Cantillo Guzman, A.; Salazar, B.; Diaz-Uribe, C.; Ramos Cervantes, W.; Romero, E.; Hurtado Morales, M. Comparative Study of ZnO Thin Films Doped with Transition Metals (Cu and Co) for Methylene Blue Photodegradation under Visible Irradiation. Catalysts 2020, 10, 528. [Google Scholar] [CrossRef]
- Alam, U.; Khan, A.; Ali, D.; Bahnemann, D.; Muneer, M. Comparative photocatalytic activity of sol–gel derived rare earth metal (La, Nd, Sm and Dy)-doped ZnO photocatalysts for degradation of dyes. RSC Adv. 2018, 8, 17582–17594. [Google Scholar] [CrossRef] [PubMed]
- Shakir, M.; Faraz, M.; Sherwani, M.A.; Al-Resayes, S.I. Photocatalytic degradation of the Paracetamol drug using Lanthanum doped ZnO nanoparticles and their in-vitro cytotoxicity assay. J. Lumin. 2016, 176, 159–167. [Google Scholar] [CrossRef]
- Al-Rawajfeh, A.E.; Alrawashdeh, A.I.; Etiwi, M.T.; Alnawaiseh, A.; Shahid, M.K.; Masad, M.H.M.; Oran, S.O.; Alshahateet, S.F. Silver nanoparticles (Ag-NPs) embedded in zeolite framework: A comprehensive study on bromide removal from water, including characterization, antibacterial properties, and adsorption mechanisms. Desalination Water Treat. 2024, 317, 100139. [Google Scholar] [CrossRef]
- Soliman, A.M.; Elshorbagy, W.; Maraqa, M.A.; Al-Issai, L.M.; El Sheikh, E.S.; Elhaty, I.A.; Ayesh, A.I.; Pál, T. In-situ, facile and green preparation of nanoscale silver supported on activated carbon: Disinfection properties and removal of inorganic DBPs from drinking water. Environ. Nanotechnol. Monit. Manag. 2022, 17, 100621. [Google Scholar] [CrossRef]
- Neme, I.; Gonfa, G.; Masi, C. Castor seeds hull activated carbon impregnated with silver nanoparticles for removal of Escherichia coli from water. Case Stud. Chem. Environ. Eng. 2023, 7, 100320. [Google Scholar] [CrossRef]
- Nuthalapati, K.; Sheng, Y.-J.; Tsao, H.-K. Ag NPs-coated polyurethane sponge as a water filter for removal of toxic metal ions at high concentrations. Chemosphere 2023, 343, 140266. [Google Scholar] [CrossRef]
- Wankar, S.; Sapre, N.; Gumathannavar, R.; Jadhav, Y.; Kulkarni, A. Silver-chitosan (Ag-CH) nanocomposite hydrogel for remediation of aqueous medium. Mater. Today Proc. 2022. [Google Scholar] [CrossRef]
- Luukkonen, T.; Bhuyan, M.; Hokajärvi, A.-M.; Pitkänen, T.; Miettinen, I.T. Water disinfection with geopolymer–bentonite composite foam containing silver nanoparticles. Mater. Lett. 2022, 311, 131636. [Google Scholar] [CrossRef]
- Ahsan, A.; Kamran, H.; Malik, A.; Saeed, M.M.; Awan, H.M.; Qayyum, H. Bactericidal effect of laser synthesized silver nanoparticle-impregnated cellulose paper against E. Coli. Opt. Laser Technol. 2022, 154, 108305. [Google Scholar] [CrossRef]
- Liga, M.V.; Bryant, E.L.; Colvin, V.L.; Li, Q. Virus inactivation by silver doped titanium dioxide nanoparticles for drinking water treatment. Water Res. 2011, 45, 535–544. [Google Scholar] [CrossRef] [PubMed]
- Yang, Y.; Zhao, F.; Yang, L.; Zhang, J.; Park, H.-D.; Li, Z.; Chen, H.; Zhang, X.; Gao, M. Catalytic degradation of bisphenol a (BPA) in water by immobilizing silver-loaded graphene oxide (GO-Ag) in ultrafiltration membrane with finger-like structure. Chem. Eng. J. 2023, 474, 145577. [Google Scholar] [CrossRef]
- Mohsentabar, A.; Amooey, A.A.; Ghasemi, S.; Azizzadeh, A. Enhanced photocatalytic degradation of acetaminophen from aqueous solution using Ag/ZnO nanoparticles. Results Chem. 2023, 6, 101200. [Google Scholar] [CrossRef]
- Rajanandkumar, R. Synthesis and characterization of polymer encapsulated silver nanoparticle coatings for antibacterial effect. Mater. Today Proc. 2021, 47, 1782–1786. [Google Scholar] [CrossRef]
- Bilal, M.; Khan, S.; Ali, J.; Ismail, M.; Khan, M.I.; Asiri, A.M.; Khan, S.B. Biosynthesized silver supported catalysts for disinfection of Escherichia coli and organic pollutant from drinking water. J. Mol. Liq. 2019, 281, 295–306. [Google Scholar] [CrossRef]
- Wang, R.; Zhao, P.; Yu, R.; Jiang, J.; Liang, R.; Liu, G. Cost-efficient collagen fibrous aerogel cross-linked by Fe (III) /silver nanoparticle complexes for simultaneously degrading antibiotics, eliminating antibiotic-resistant bacteria, and adsorbing heavy metal ions from wastewater. Sep. Purif. Technol. 2022, 303, 122209. [Google Scholar] [CrossRef]
- Gong, Y.; Ding, Y.; Tang, Q.; Lian, F.; Bai, C.; Xie, R.; Xie, H.; Zhao, X. Plasmonic Ag nanoparticles decorated MIL-101(Fe) for enhanced photocatalytic degradation of bisphenol A with peroxymonosulfate under visible-light irradiation. Chin. Chem. Lett. 2024, 35, 108475. [Google Scholar] [CrossRef]
- Sumesh, E.; Bootharaju, M.S.; Anshup; Pradeep, T. A practical silver nanoparticle-based adsorbent for the removal of Hg2+ from water. J. Hazard. Mater. 2011, 189, 450–457. [Google Scholar] [CrossRef]
- Biswas, P.; Bandyopadhyaya, R. Water disinfection using silver nanoparticle impregnated activated carbon: Escherichia coli cell-killing in batch and continuous packed column operation over a long duration. Water Res. 2016, 100, 105–115. [Google Scholar] [CrossRef]
- Huang, J.; Huang, G.; An, C.; Xin, X.; Chen, X.; Zhao, Y.; Feng, R.; Xiong, W. Exploring the use of ceramic disk filter coated with Ag/ZnO nanocomposites as an innovative approach for removing Escherichia coli from household drinking water. Chemosphere 2020, 245, 125545. [Google Scholar] [CrossRef] [PubMed]
- Alkayal, N.S.; Hussein, M.A. Photocatalytic Degradation of Atrazine under Visible Light Using Novel Ag@Mg4Ta2O9 Nanocomposites. Sci. Rep. 2019, 9, 7470. [Google Scholar] [CrossRef] [PubMed]
- Albukhari, S.M.; Ismail, M.; Akhtar, K.; Danish, E.Y. Catalytic reduction of nitrophenols and dyes using silver nanoparticles @ cellulose polymer paper for the resolution of waste water treatment challenges. Colloids Surf. A Physicochem. Eng. Asp. 2019, 577, 548–561. [Google Scholar] [CrossRef]
- Bandi, R.; Alle, M.; Park, C.-W.; Han, S.-Y.; Kwon, G.-J.; Kim, J.-C.; Lee, S.-H. Rapid synchronous synthesis of Ag nanoparticles and Ag nanoparticles/holocellulose nanofibrils: Hg(II) detection and dye discoloration. Carbohydr. Polym. 2020, 240, 116356. [Google Scholar] [CrossRef] [PubMed]
- Das, R.; Sypu, V.S.; Paumo, H.K.; Bhaumik, M.; Maharaj, V.; Maity, A. Silver decorated magnetic nanocomposite (Fe3O4@PPy-MAA/Ag) as highly active catalyst towards reduction of 4-nitrophenol and toxic organic dyes. Appl. Catal. B Environ. 2019, 244, 546–558. [Google Scholar] [CrossRef]
- Nguyen, T.-D.; Dang, C.-H.; Mai, D.-T. Biosynthesized AgNP capped on novel nanocomposite 2-hydroxypropyl-β-cyclodextrin/alginate as a catalyst for degradation of pollutants. Carbohydr. Polym. 2018, 197, 29–37. [Google Scholar] [CrossRef]
- Azzam, E.M.S.; Fathy, N.A.; El-Khouly, S.M.; Sami, R.M. Enhancement the photocatalytic degradation of methylene blue dye using fabricated CNTs/TiO2/AgNPs/Surfactant nanocomposites. J. Water Process Eng. 2019, 28, 311–321. [Google Scholar] [CrossRef]
- Saratale, G.D.; Saratale, R.G.; Cho, S.-K.; Ghodake, G.; Bharagava, R.N.; Park, Y.; Mulla, S.I.; Kim, D.-S.; Kadam, A.; Nair, S.; et al. Investigation of photocatalytic degradation of reactive textile dyes by Portulaca oleracea-functionalized silver nanocomposites and exploration of their antibacterial and antidiabetic potentials. J. Alloys Compd. 2020, 833, 155083. [Google Scholar] [CrossRef]
- Chandra, R.; Nath, M. Controlled synthesis of AgNPs@ZIF-8 composite: Efficient heterogeneous photocatalyst for degradation of methylene blue and congo red. J. Water Process Eng. 2020, 36, 101266. [Google Scholar] [CrossRef]
- Kaur, P.; Thakur, R.; Malwal, H.; Manuja, A.; Chaudhury, A. Biosynthesis of biocompatible and recyclable silver/iron and gold/iron core-shell nanoparticles for water purification technology. Biocatal. Agric. Biotechnol. 2018, 14, 189–197. [Google Scholar] [CrossRef]
- Sánchez, O.A.; Rodríguez, J.L.; Barrera-Andrade, J.M.; Borja-Urby, R.; Valenzuela, M.A. High performance of Ag/BiVO4 photocatalyst for 2,4-Dichlorophenoxyacetic acid degradation under visible light. Appl. Catal. A Gen. 2020, 600, 117625. [Google Scholar] [CrossRef]
- Bao, Q.; Zhang, D.; Qi, P. Synthesis and characterization of silver nanoparticle and graphene oxide nanosheet composites as a bactericidal agent for water disinfection. J. Colloid Interface Sci. 2011, 360, 463–470. [Google Scholar] [CrossRef] [PubMed]
- Veisi, H.; Azizi, S.; Mohammadi, P. Green synthesis of the silver nanoparticles mediated by Thymbra spicata extract and its application as a heterogeneous and recyclable nanocatalyst for catalytic reduction of a variety of dyes in water. J. Clean. Prod. 2018, 170, 1536–1543. [Google Scholar] [CrossRef]
- Sun, X.-F.; Qin, J.; Xia, P.-F.; Guo, B.-B.; Yang, C.-M.; Song, C.; Wang, S.-G. Graphene oxide–silver nanoparticle membrane for biofouling control and water purification. Chem. Eng. J. 2015, 281, 53–59. [Google Scholar] [CrossRef]
- Wang, S.; Wang, W.; Yue, L.; Cui, S.; Wang, H.; Wang, C.; Chen, S. Hierarchical Cu2O nanowires covered by silver nanoparticles-doped carbon layer supported on Cu foam for rapid and efficient water disinfection with lower voltage. Chem. Eng. J. 2020, 382, 122855. [Google Scholar] [CrossRef]
- Naeem, H.; Ajmal, M.; Qureshi, R.B.; Muntha, S.T.; Farooq, M.; Siddiq, M. Facile synthesis of graphene oxide–silver nanocomposite for decontamination of water from multiple pollutants by adsorption, catalysis and antibacterial activity. J. Environ. Manag. 2019, 230, 199–211. [Google Scholar] [CrossRef]
- Chen, L.; Peng, X. Silver nanoparticle decorated cellulose nanofibrous membrane with good antibacterial ability and high water permeability. Appl. Mater. Today 2017, 9, 130–135. [Google Scholar] [CrossRef]
- Hanif, Z.; Khan, Z.A.; Siddiqui, M.F.; Tariq, M.Z.; Park, S.; Park, S.J. Tannic acid-mediated rapid layer-by-layer deposited non-leaching silver nanoparticles hybridized cellulose membranes for point-of-use water disinfection. Carbohydr. Polym. 2020, 231, 115746. [Google Scholar] [CrossRef]
- Mahlaule-Glory, L.M.; Mapetla, S.; Makofane, A.; Mathipa, M.M.; Hintsho-Mbita, N.C. Biosynthesis of iron oxide nanoparticles for the degradation of methylene blue dye, sulfisoxazole antibiotic and removal of bacteria from real water. Heliyon 2022, 8, e10536. [Google Scholar] [CrossRef]
- Kaleem, M.; Anjum Minhas, L.; Zaffar Hashmi, M.; Umer Farooqi, H.M.; Waqar, R.; Kamal, K.; Saad Aljaluod, R.; Alarjani, K.M.; Samad Mumtaz, A. Biogenic synthesis of iron oxide nanoparticles and experimental modeling studies on the removal of heavy metals from wastewater. J. Saudi Chem. Soc. 2024, 28, 101777. [Google Scholar] [CrossRef]
- Pabón Reyes, D.C.; Halac, E.B.; Litter, M.I. As(III) removal of aqueous solutions using zerovalent iron nanoparticles: The role of the UVA-Vis irradiation wavelength. J. Photochem. Photobiol. A Chem. 2023, 443, 114846. [Google Scholar] [CrossRef]
- Zhang, Z.; Li, J.; Zhang, X. Rapid removal of low concentration Hg(II) from water by iron nanoparticles: Excellent performance and unique mechanism. Chem. Eng. J. 2023, 471, 144643. [Google Scholar] [CrossRef]
- Maamoun, I.; Falyouna, O.; Eljamal, R.; Idham, M.F.; Tanaka, K.; Eljamal, O. Bench-scale injection of magnesium hydroxide encapsulated iron nanoparticles (nFe0@Mg(OH)2) into porous media for Cr(VI) removal from groundwater. Chem. Eng. J. 2023, 451, 138718. [Google Scholar] [CrossRef]
- Asadi Haris, S.; Dabagh, S.; Mollasalehi, H.; Ertas, Y.N. Alginate coated superparamagnetic iron oxide nanoparticles as nanocomposite adsorbents for arsenic removal from aqueous solutions. Sep. Purif. Technol. 2023, 310, 123193. [Google Scholar] [CrossRef]
- Bounab, N.; Duclaux, L.; Reinert, L.; Oumedjbeur, A.; Boukhalfa, C.; Penhoud, P.; Muller, F. Improvement of zero valent iron nanoparticles by ultrasound-assisted synthesis, study of Cr(VI) removal and application for the treatment of metal surface processing wastewater. J. Environ. Chem. Eng. 2021, 9, 104773. [Google Scholar] [CrossRef]
- Mahanty, S.; Sarkar, A.; Chaudhuri, P.; Krishna Darbha, G. Mycosynthesized magnetic iron-oxide nanoparticles for the remediation of heavy metals—An insight into the mechanism of adsorption, process optimization using algorithmic approach and its application for the treatment of groundwater. Environ. Nanotechnol. Monit. Manag. 2023, 20, 100854. [Google Scholar] [CrossRef]
- Munoz, M.; Nieto-Sandoval, J.; Álvarez-Torrellas, S.; Sanz-Santos, E.; Calderón, B.; de Pedro, Z.M.; Larriba, M.; Fullana, A.; García, J.; Casas, J.A. Carbon-encapsulated iron nanoparticles as reusable adsorbents for micropollutants removal from water. Sep. Purif. Technol. 2021, 257, 117974. [Google Scholar] [CrossRef]
- Conde-Cid, M.; Paíga, P.; Moreira, M.M.; Albergaria, J.T.; Álvarez-Rodríguez, E.; Arias-Estévez, M.; Delerue-Matos, C. Sulfadiazine removal using green zero-valent iron nanoparticles: A low-cost and eco-friendly alternative technology for water remediation. Environ. Res. 2021, 198, 110451. [Google Scholar] [CrossRef]
- Yi, Y.; Tu, G.; Zhao, D.; Tsang, P.E.; Fang, Z. Biomass waste components significantly influence the removal of Cr(VI) using magnetic biochar derived from four types of feedstocks and steel pickling waste liquor. Chem. Eng. J. 2019, 360, 212–220. [Google Scholar] [CrossRef]
- Zeng, H.; Zhai, L.; Zhang, J.; Li, D. As(V) adsorption by a novel core-shell magnetic nanoparticles prepared with Iron-containing water treatment residuals. Sci. Total Environ. 2021, 753, 142002. [Google Scholar] [CrossRef]
- Predescu, A.M.; Matei, E.; Berbecaru, A.C.; Râpă, M.; Sohaciu, M.G.; Predescu, C.; Vidu, R. An Innovative Method of Converting Ferrous Mill Scale Wastes into Superparamagnetic Nanoadsorbents for Water Decontamination. Materials 2021, 14, 2539. [Google Scholar] [CrossRef] [PubMed]
- Yi, Y.; Tu, G.; Ying, G.; Fang, Z.; Tsang, E.P. Magnetic biochar derived from rice straw and stainless steel pickling waste liquor for highly efficient adsorption of crystal violet. Bioresour. Technol. 2021, 341, 125743. [Google Scholar] [CrossRef] [PubMed]
- Emara, N.; Amin, R.; Youssef, A.; Elfeky, S. Recycling of Steel Industry Waste Acid in the Preparation of Fe3O4 Nanocomposite for Heavy Metals Remediation from Wastewater. Rev. Chim. 2021, 71, 34–46. [Google Scholar] [CrossRef]
- Shahrashoub, M.; Bakhtiari, S. The efficiency of activated carbon/magnetite nanoparticles composites in copper removal: Industrial waste recovery, green synthesis, characterization, and adsorption-desorption studies. Microporous Mesoporous Mater. 2021, 311, 110692. [Google Scholar] [CrossRef]
- Fang, X.B.; Fang, Z.Q.; Tsang, P.K.E.; Cheng, W.; Yan, X.M.; Zheng, L.C. Selective adsorption of Cr(VI) from aqueous solution by EDA-Fe3O4 nanoparticles prepared from steel pickling waste liquor. Appl. Surf. Sci. 2014, 314, 655–662. [Google Scholar] [CrossRef]
- Doliente Jonica, E.; Kim, Y.; Nam, H.; Choi, Y. Mill Scale–Derived Magnetite Particles: Effective Adsorbent for the Removal of Phosphate in Aqueous Solutions. J. Environ. Eng. 2017, 143, 04017076. [Google Scholar] [CrossRef]
- Yi, Y.; Tu, G.; Zhao, D.; Tsang, P.E.; Fang, Z. Key role of FeO in the reduction of Cr(VI) by magnetic biochar synthesised using steel pickling waste liquor and sugarcane bagasse. J. Clean. Prod. 2020, 245, 118886. [Google Scholar] [CrossRef]
- Nazri, N.; Azis, R.a.; Mustaffa, M.; Shaari, A.; Ismail, I.; Che Man, H.; Saiden, N.; Abdullah, N. Magnetite Nanoparticles (MNPs) Used as Cadmium Metal Removal from the Aqueous Solution from Mill Scales Waste Sources. Sains Malays. 2020, 49, 847–858. [Google Scholar] [CrossRef]
- El-Wakeel, S.T.; Radwan, E.K.; El-Kalliny, A.S.; Gad-Allah, T.A.; El-Sherif, I.Y. Structural, magnetic and adsorption characteristics of magnetite nanoparticles prepared from spent pickle liquor. Int. J. ChemTech Res. 2016, 9, 373–382. [Google Scholar]
- Abba, M.U.; Che Man, H.; Syahidah Azis, R.a.; Idris, A.I.; Hazwan Hamzah, M.; Abdulsalam, M. Synthesis of Nano-Magnetite from Industrial Mill Chips for the Application of Boron Removal: Characterization and Adsorption Efficacy. Int. J. Environ. Res. Public Health 2021, 18, 1400. [Google Scholar] [CrossRef]
- Phearom, S.; Shahid Muhammad, K.; Choi, Y.-G. Optimization of Arsenic Adsorption by Mill Scale–Derived Magnetite Particles Using Response Surface Methodology. J. Hazard. Toxic Radioact. Waste 2021, 25, 04021022. [Google Scholar] [CrossRef]
- Mahmoud, M.E.; Saleh, M.M.; Zaki, M.M.; Nabil, G.M. A sustainable nanocomposite for removal of heavy metals from water based on crosslinked sodium alginate with iron oxide waste material from steel industry. J. Environ. Chem. Eng. 2020, 8, 104015. [Google Scholar] [CrossRef]
- Cai, Y.; Zheng, L.; Fang, Z. Selective adsorption of Cu(ii) from an aqueous solution by ion imprinted magnetic chitosan microspheres prepared from steel pickling waste liquor. RSC Adv. 2015, 5, 97435–97445. [Google Scholar] [CrossRef]
- Nguyen, V.T.; Le Thi, M.H.; Vu, X.M.; Le Trong, L.; Nguyen, T.D. Synthesis of Magnetic nanoparticles from FeCl2 solution and spent pickling liquor in aqueous saturated lime solution. Int. At. Energy Agency 2019, 51, 226. [Google Scholar]
- Anis, S.F.; Hashaikeh, R.; Hilal, N. Microfiltration membrane processes: A review of research trends over the past decade. J. Water Process. Eng. 2019, 32, 100941. [Google Scholar] [CrossRef]
- Ma, J.; Guo, X.; Ying, Y.; Liu, D.; Zhong, C. Composite ultrafiltration membrane tailored by MOF@GO with highly improved water purification performance. Chem. Eng. J. 2017, 313, 890–898. [Google Scholar] [CrossRef]
- Aktij, S.A.; Hosseininejad, M.; Dadashi Firouzjaei, M.; Farhadi, S.; Elliott, M.; Rahimpour, A.; Soares, J.B.P.; Sadrzadeh, M.; Mansourpanah, Y. High perm-selectivity and performance of tuned nanofiltration membranes by merging carbon nitride derivatives as interphase layer for efficient water treatment. J. Water Process Eng. 2023, 56, 104432. [Google Scholar] [CrossRef]
- Minier-Matar, J.; AlShamari, E.; Raja, M.; Khan, F.; Al-Maas, M.; Hussain, A.; Adham, S. Detailed organic characterization of process water to evaluate reverse osmosis membrane fouling in industrial wastewater treatment. Desalination 2024, 572, 117128. [Google Scholar] [CrossRef]
- Shi, Y.; Wang, J.; Wan, H.; Wan, D.; Wang, Y.; Li, Y. Effective removal of nitrate in water by continuous-flow electro-dialysis ion exchange membrane bioreactor (CF-EDIMB): Performance optimization and microbial analysis. Chemosphere 2023, 341, 139880. [Google Scholar] [CrossRef]
- Islam, S.S.; Jose, T.; Seikh, A.H.; Karim, M.R.; Alnaser, I.A.; Bose, S. Shear-aligned graphene oxide nanosheets incorporated PVDF composite membranes for selective dye rejection with high water flux. RSC Adv. 2024, 14, 27852–27861. [Google Scholar] [CrossRef]
- Luan, H.; Teychene, B.; Huang, H. Efficient removal of As(III) by Cu nanoparticles intercalated in carbon nanotube membranes for drinking water treatment. Chem. Eng. J. 2019, 355, 341–350. [Google Scholar] [CrossRef]
- Alsalme, A. Organic-Inorganic hybrid membrane for simultaneous heavy metal removal at drinking water pollution concentration levels. Microchem. J. 2023, 195, 109447. [Google Scholar] [CrossRef]
- Zambianchi, M.; Khaliha, S.; Bianchi, A.; Tunioli, F.; Kovtun, A.; Navacchia, M.L.; Salatino, A.; Xia, Z.; Briñas, E.; Vázquez, E.; et al. Graphene oxide-polysulfone hollow fibers membranes with synergic ultrafiltration and adsorption for enhanced drinking water treatment. J. Membr. Sci. 2022, 658, 120707. [Google Scholar] [CrossRef]
- Kamarudin, D.; Awanis Hashim, N.; Ong, B.H.; Kakihana, Y.; Higa, M.; Matsuyama, H. Multiple effect of thermal treatment approach on PVDF membranes: Permeability enhancement and silver nanoparticles immobilization. J. Environ. Chem. Eng. 2021, 9, 105769. [Google Scholar] [CrossRef]
- Marrero, J.A.; Ribeiro, R.S.; Ribeirinho-Soares, S.; Pedrosa, M.; Silva, A.M.T.; Nunes, O.C. Water disinfection by persulfate activation using a nitrogen-doped reduced graphene oxide—PVDF membrane. J. Environ. Chem. Eng. 2023, 11, 109839. [Google Scholar] [CrossRef]
- Yu, J.; Jing, W.; Liu, E.; Du, S.; Cai, H.; Du, H.; Wang, J. Sulfonated graphene oxide modified polysulfone-polyamide forward osmosis membrane and its application in fluorine-containing wastewater treatment. Mater. Chem. Phys. 2024, 313, 128757. [Google Scholar] [CrossRef]
- Foller, T.; Wen, X.; Khine, Y.Y.; Ji, D.; Gupta, T.; Muller, M.; Scret, C.; Joshi, R. Removal of chlorine and monochloramine from tap water using graphene oxide membranes. J. Membr. Sci. 2023, 686, 122022. [Google Scholar] [CrossRef]
- Hasanzadeh, A.; Alizadeh, M.; Ajalli, N.; Azamat, J.; Jahanshahi, M. Molecular dynamic simulation and artificial neural network (ANN) modeling of the functionalized graphene oxide membranes on Cr (VI) ion removal through electrodialysis method. J. Mol. Liq. 2023, 383, 122083. [Google Scholar] [CrossRef]
- Tian, L.; Graham, N.D.; Tian, X.; Liu, T.; Yu, W. Fenton induced microdefects enable fast water transfer of graphene oxide membrane for efficient water purification. J. Membr. Sci. 2023, 675, 121542. [Google Scholar] [CrossRef]
- Koli, M.; Ranjan, R.; Singh, S.P. Functionalized graphene-based ultrafiltration and thin-film composite nanofiltration membranes for arsenic, chromium, and fluoride removal from simulated groundwater: Mechanism and effect of pH. Process Saf. Environ. Prot. 2023, 179, 603–617. [Google Scholar] [CrossRef]
- Rashed, A.O.; Huynh, C.; Merenda, A.; Rodriguez-Andres, J.; Kong, L.; Kondo, T.; Razal, J.M.; Dumée, L.F. Dry-spun carbon nanotube ultrafiltration membranes tailored by anti-viral metal oxide coatings for human coronavirus 229E capture in water. J. Environ. Chem. Eng. 2023, 11, 110176. [Google Scholar] [CrossRef]
- Cheng, X.; Zhou, W.; Li, P.; Ren, Z.; Wu, D.; Luo, C.; Tang, X.; Wang, J.; Liang, H. Improving ultrafiltration membrane performance with pre-deposited carbon nanotubes/nanofibers layers for drinking water treatment. Chemosphere 2019, 234, 545–557. [Google Scholar] [CrossRef]
- Lee, W.J.; Goh, P.S.; Lau, W.J.; Wong, K.C.; Suzaimi, N.D.; Ismail, A.F. Tailoring the permeability and flux stability of forward osmosis membrane with tert-butylamine functionalized carbon nanotubes for paracetamol removal. J. Environ. Chem. Eng. 2022, 10, 107977. [Google Scholar] [CrossRef]
- Feng, J.; Xiong, S.; Ren, L.; Wang, Y. Atomic layer deposition of TiO2 on carbon-nanotubes membrane for capacitive deionization removal of chromium from water. Chin. J. Chem. Eng. 2022, 45, 15–21. [Google Scholar] [CrossRef]
- Yang, Y.; Xiong, Z.; Wang, Z.; Liu, Y.; He, Z.; Cao, A.; Zhou, L.; Zhu, L.; Zhao, S. Super-adsorptive and photo-regenerable carbon nanotube based membrane for highly efficient water purification. J. Membr. Sci. 2021, 621, 119000. [Google Scholar] [CrossRef]
- He, Y.; Qin, L.; Huang, H. Calcium-enhanced retention of humic substances by carbon nanotube membranes: Mechanisms and implication. J. Membr. Sci. 2021, 629, 119273. [Google Scholar] [CrossRef]
- Ali, S.; Rehman, S.A.U.; Shah, I.A.; Farid, M.U.; An, A.K.; Huang, H. Efficient removal of zinc from water and wastewater effluents by hydroxylated and carboxylated carbon nanotube membranes: Behaviors and mechanisms of dynamic filtration. J. Hazard. Mater. 2019, 365, 64–73. [Google Scholar] [CrossRef]
- Goei, R.; Lim, T.-T. Asymmetric TiO2 hybrid photocatalytic ceramic membrane with porosity gradient: Effect of structure directing agent on the resulting membranes architecture and performances. Ceram. Int. 2014, 40, 6747–6757. [Google Scholar] [CrossRef]
- Bouazizi, A.; Breida, M.; Achiou, B.; Ouammou, M.; Calvo, J.I.; Aaddane, A.; Younssi, S.A. Removal of dyes by a new nano–TiO2 ultrafiltration membrane deposited on low-cost support prepared from natural Moroccan bentonite. Appl. Clay Sci. 2017, 149, 127–135. [Google Scholar] [CrossRef]
- Ahmad, R.; Kim, J.K.; Kim, J.H.; Kim, J. Well-organized, mesoporous nanocrystalline TiO2 on alumina membranes with hierarchical architecture: Antifouling and photocatalytic activities. Catal. Today 2017, 282, 2–12. [Google Scholar] [CrossRef]
- Bouazizi, A.; Breida, M.; Karim, A.; Achiou, B.; Ouammou, M.; Calvo, J.I.; Aaddane, A.; Khiat, K.; Younssi, S.A. Development of a new TiO2 ultrafiltration membrane on flat ceramic support made from natural bentonite and micronized phosphate and applied for dye removal. Ceram. Int. 2017, 43, 1479–1487. [Google Scholar] [CrossRef]
- Sanches, S.; Nunes, C.; Passarinho, P.C.; Ferreira, F.C.; Pereira, V.J.; Crespo, J.G. Development of photocatalytic titanium dioxide membranes for degradation of recalcitrant compounds. J. Chem. Technol. Biotechnol. 2017, 92, 1727–1737. [Google Scholar] [CrossRef]
- Oun, A.; Tahri, N.; Mahouche-Chergui, S.; Carbonnier, B.; Majumdar, S.; Sarkar, S.; Sahoo, G.C.; Ben Amar, R. Tubular ultrafiltration ceramic membrane based on titania nanoparticles immobilized on macroporous clay-alumina support: Elaboration, characterization and application to dye removal. Sep. Purif. Technol. 2017, 188, 126–133. [Google Scholar] [CrossRef]
- Da, X.; Wen, J.; Lu, Y.; Qiu, M.; Fan, Y. An aqueous sol–gel process for the fabrication of high-flux YSZ nanofiltration membranes as applied to the nanofiltration of dye wastewater. Sep. Purif. Technol. 2015, 152, 37–45. [Google Scholar] [CrossRef]
- Bhattacharya, P.; Mukherjee, D.; Dey, S.; Ghosh, S.; Banerjee, S. Development and performance evaluation of a novel CuO/TiO2 ceramic ultrafiltration membrane for ciprofloxacin removal. Mater. Chem. Phys. 2019, 229, 106–116. [Google Scholar] [CrossRef]
- Chu, K.H.; Fathizadeh, M.; Yu, M.; Flora, J.R.V.; Jang, A.; Jang, M.; Park, C.M.; Yoo, S.S.; Her, N.; Yoon, Y. Evaluation of Removal Mechanisms in a Graphene Oxide-Coated Ceramic Ultrafiltration Membrane for Retention of Natural Organic Matter, Pharmaceuticals, and Inorganic Salts. ACS Appl. Mater. Interfaces 2017, 9, 40369–40377. [Google Scholar] [CrossRef]
- Lu, Y.; Chen, T.; Chen, X.; Qiu, M.; Fan, Y. Fabrication of TiO2-doped ZrO2 nanofiltration membranes by using a modified colloidal sol-gel process and its application in simulative radioactive effluent. J. Membr. Sci. 2016, 514, 476–486. [Google Scholar] [CrossRef]
- Tolba, G.M.K.; Bastaweesy, A.M.; Ashour, E.A.; Abdelmoez, W.; Khalil, K.A.; Barakat, N.A.M. Effective and highly recyclable ceramic membrane based on amorphous nanosilica for dye removal from the aqueous solutions. Arab. J. Chem. 2016, 9, 287–296. [Google Scholar] [CrossRef]
- Tomina, V.; Nazarchuk, G.; Melnyk, I. Modification of Ceramic Membranes by Silica Nanoparticles with Thiourea Functions. J. Nanomater. 2019, 2019, 2534934. [Google Scholar] [CrossRef]
- Cai, Y.; Wang, Y.; Chen, X.; Qiu, M.; Fan, Y. Modified colloidal sol–gel process for fabrication of titania nanofiltration membranes with organic additives. J. Membr. Sci. 2015, 476, 432–441. [Google Scholar] [CrossRef]
- Athanasekou, C.P.; Moustakas, N.G.; Morales-Torres, S.; Pastrana-Martínez, L.M.; Figueiredo, J.L.; Faria, J.L.; Silva, A.M.T.; Dona-Rodriguez, J.M.; Romanos, G.E.; Falaras, P. Ceramic photocatalytic membranes for water filtration under UV and visible light. Appl. Catal. B Environ. 2015, 178, 12–19. [Google Scholar] [CrossRef]
- Meng, X.; Liu, Z.; Deng, C.; Zhu, M.; Wang, D.; Li, K.; Deng, Y.; Jiang, M. Microporous nano-MgO/diatomite ceramic membrane with high positive surface charge for tetracycline removal. J. Hazard. Mater. 2016, 320, 495–503. [Google Scholar] [CrossRef] [PubMed]
- Kumar, M.; Pugazhenthi, G.; Vasanth, D. Synthesis of zirconia-ceramic composite membrane employing a low-cost precursor and evaluation its performance for separation of microbially produced silver nanoparticles. J. Environ. Chem. Eng. 2022, 10, 107569. [Google Scholar] [CrossRef]
- Ma, N.; Zhang, Y.; Quan, X.; Fan, X.; Zhao, H. Performing a microfiltration integrated with photocatalysis using an Ag-TiO2/HAP/Al2O3 composite membrane for water treatment: Evaluating effectiveness for humic acid removal and anti-fouling properties. Water Res. 2010, 44, 6104–6114. [Google Scholar] [CrossRef]
- Chung, Y.; Kim, Y.-J.; Hwang, Y.; Kang, S. Preparation of alumina-zirconia (Al-Zr) ceramic nanofiltration (NF) membrane for the removal of uranium in aquatic system. Water Sci. Technol. Water Supply 2018, 19, 789–795. [Google Scholar] [CrossRef]
- Choudhury, P.; Mondal, P.; Majumdar, S.; Saha, S.; Sahoo, G.C. Preparation of ceramic ultrafiltration membrane using green synthesized CuO nanoparticles for chromium (VI) removal and optimization by response surface methodology. J. Clean. Prod. 2018, 203, 511–520. [Google Scholar] [CrossRef]
- Huertas, R.M.; Fraga, M.C.; Crespo, J.G.; Pereira, V.J. Sol-gel membrane modification for enhanced photocatalytic activity. Sep. Purif. Technol. 2017, 180, 69–81. [Google Scholar] [CrossRef]
- Zhu, L.; Wang, W.; Zhao, P.; Wang, S.; Yang, K.; Shi, H.; Xu, M.; Dong, Y. Silicon carbide catalytic ceramic membranes with nano-wire structure for enhanced anti-fouling performance. Water Res. 2022, 226, 119209. [Google Scholar] [CrossRef]





























| Organic Contaminant | US EPA Maximum Contaminants Level Goals Allowed (MCLG) (mg/L) | Potential Health Adverse Effects |
|---|---|---|
| Benzene | 0 | Increased risk of cancer |
| Carbon tetrachloride | 0 | Liver problems and increased risk of cancer |
| Chlorobenzene | 0.1 | Liver and kidney problems |
| Acrylamide | 0 | Nervous system problems and increased risk of cancer |
| Carbofuran | 0.04 | Issues with blood, nervous system, and reproductive system |
| Alachlor | 0 | Eye, liver, kidney, and spleen problems. In addition, it increases the risk of developing cancer |
| 1,2-Dichloroethane | 0 | High risk of developing cancer |
| Dichloromethane | 0 | Increased risk of liver cancer |
| 1,2-Dichloropropane | 0 | High risk of cancer |
| Inorganic Contaminant | US EPA Maximum Contaminants Level Goals Allowed (MCLG) (mg/L) | Potential Health Adverse Effects |
|---|---|---|
| Arsenic | 0 | High risk of developing skin, bladder, and lung cancers |
| Antimony | 0.006 | Nausea, vomiting, and diarrhea |
| Barium | 2 | Cardiovascular and kidney diseases, metabolic issues, and neurological problems |
| Cadmium | 0.005 | Kidney damage |
| Beryllium | 0.004 | Intestinal lesions |
| Chromium | 0.1 | Allergic dermatitis, liver damage, and kidney problems |
| Copper | 1.3 | Liver damage, diarrhea, stomach cramps, nausea, vomiting, and kidney disease. |
| Cyanide | 0.2 | Nervous system damage and thyroid problems |
| Fluoride | 4 | Bone disease and teeth problems |
| Mercury | 0.002 | Kidney damage |
| Lead | 0 | Delay in the physical and mental development of newborns and children. Adults will also experience problems with their kidneys and high blood pressure. |
| Selenium | 0.05 | Skin and tooth discoloration, pathological deformation and nail loss, hair loss, severe tooth decay, and lack of mental alertness |
| Nitrate | 10 | For newborn, babies high nitrate concentrations in drinking water may lead to shortness of breath and blue-baby syndrome |
| Microorganisms | US EPA Maximum Contaminants Level Goals Allowed (MCLG)(mg/L) | Potential Health Adverse Effects |
|---|---|---|
| Cryptosporidium | 0 | Gastrointestinal illness |
| Total coliforms (fecal coliform and E.coli) | 0 | Gastrointestinal illness |
| Giardia lamblia | 0 | Gastrointestinal illness |
| Viruses (enteric) | 0 | Gastrointestinal illness |
| Legionella | 0 | Legionnaire’s disease |
| Disinfection Byproducts (DBPs) | US EPA Maximum Contaminants Level Goals Allowed (MCLG) (mg/L) | Potential Health Adverse Effects |
|---|---|---|
| Chlorite | 0.8 | Irritation in the mouth, esophagus, or stomach |
| Haloacetic acids (HAA5) | n/a | Carcinogenic effects |
| Bromate | 0 | Carcinogenic effects |
| Total trihalomethanes (TTHMs) | n/a | Increased risk of developing bladder cancer, rectal cancer colon cancer, and adverse developmental and reproductive effects during pregnancy |
| Disinfection Byproducts (DBPs) | US EPA Maximum Residual Disinfectant Level (MRDLG) (mg/L) | Potential Health Adverse Effects |
|---|---|---|
| Chlorine (Cl2) | 4 | Irritation in the mouth, esophagus, or stomach |
| Chloramines (Cl2) | 4 | Carcinogenic effects |
| Chlorine dioxide (ClO2) | 0.8 | Carcinogenic effects |
| Total trihalomethanes (TTHMs) | n/a | Increased risk of developing bladder cancer, rectal cancer colon cancer, and adverse developmental and reproductive effects during pregnancy |
| Radionuclides | US EPA Maximum Contaminants Level Goals Allowed (MCLG) (mg/L) | Potential Health Adverse Effects |
|---|---|---|
| Alpha particles | 0 | High risk of developing cancer |
| Beta particles and photon emitters | 0 | High risk of developing cancer |
| Uranium | 0 | High risk of developing cancer and kidney failure |
| Radium 226 and Radium 228 | 0 | High risk of developing cancer |
| Properties of Nanomaterials | Application in Drinking Water Purification Process |
|---|---|
| Large Surface Area | Nanomaterials are characterized by having a remarkable large surface area-to-volume ratio owing to their nanoscale dimensions. This unique property allows the nanomaterials to have an increased contact with the pollutants found in drinking water, making them an efficient adsorbents and catalysts. |
| High Reactivity | The high chemical and physical reactivity of nanomaterials is particularly beneficial in the catalytic processes, where the contaminants in drinking water are broken down. |
| Selective Adsorption | The surface of nanomaterials can be specially engineered to selectively adsorb certain types of pollutants in drinking water. Their surface chemistry can be modified easily to target particular contaminants, making them a versatile substance that is capable of removing a wide range of pollutants from drinking water. |
| High Mechanical Strength | Certain types of nanomaterials, like nanocomposites, have a high mechanical strength and durability. This unique property is very useful in the production of reinforced water infrastructure components that prevents corrosion and leakage. |
| Improved Optical Properties | Specific types of nanomaterials, like quantum dots, have distinguishable optical properties that can be used in sensing and monitoring water quality. They can change their fluorescence or absorbance properties in the presence of certain types of contaminants. |
| Size-Dependent Properties | The nanomaterial properties depend mainly on their size, and changing the size of nanomaterials completely alters their properties. Therefore, by controlling nanomaterial size, their properties can be modified to suit different water treatment applications. |
| Stability and Regeneration | Certain nanomaterials are highly stable and can be regenerated. This reduces the overall cost of the drinking water purification process. |
| Photocatalytic Activity | Some nanomaterials, including titanium dioxide and zinc oxide nanoparticles, have a high photocatalytic activity, which means that they are capable of breaking down organic pollutants and inactivate microorganisms in the presence of ultraviolet (UV) light. |
| Antimicrobial Properties | Some nanomaterials, like silver nanoparticles, have antimicrobial properties that helps in disinfecting drinking water by preventing the growth of harmful microorganisms. |
| Graphene-Based Adsorbent | Water Contaminant | Adsorption Capacity (mg/g) | Reference |
|---|---|---|---|
| GO | Methylene blue (MB) | 598.8 | [59] |
| SiO2/graphene | Lead (II) | 113.6 | [60] |
| Chitosan-doped GO (CSGO aerogel) | Methyl orange (MO) and amido black 10B (AB 10B) | 686.89 and 573.47 | [61] |
| Magnetic cellulose GO (MCGO) | Methylene blue (MB) | 70.03 | [62] |
| N-phenylthiourea graphene oxide (GO-NPT) | Methyl orange (MO) | 141.467 | [63] |
| Konjac glucomannan (KGM/GO Hydrogel) | Methylene blue (MB) and methyl orange (MO) | 133.67 and 93.5 | [64] |
| Single-layered GO sheet | Basic red 12 (BR 12) and methyl orange (MO) | 63.69 and 16.83 | [65] |
| 3D GO-NiFe-layered double hydroxide (GO-NiFe LDH) | Congo red (CR) and methyl orange (MO) | 450 and 403 | [66] |
| Magnetic GO (GO-MNP) | Methylene blue (MB) | 1666.67 | [67] |
| Graphene modified by cetyltrimethylammonium bromide | Cr (VI) | 21.57 | [68] |
| Graphene | Antimony (III) | 8.056 | [69] |
| Activated carbon (AC), GO, carbon nanotubes (CNTs) | Methylene blue (MB) | 270.27, 243.9 and 188.68 | [70] |
| Reduced GO/TiO2 (MrGO/TiO2 and rGO/TiO2) | Methylene blue (MB) | 845.6 and 467.6 | [71] |
| Graphene nanosheets (GNSs) | Lead (II) | 35.46 | [72] |
| Graphite, graphite oxide, and graphene sheet | Fe2+ and Co2+ | 299.3 and 370 | |
| GO/Fe3O4 | Cu(II) | 18.3 | [73] |
| GO/silica/Fe3O4 | Pb and Cd (II) | 333.3 and 166.7 | [74] |
| GO/Fe3O4/sulfanilic acid | Cd (II) | 55.4 | [75] |
| GO-MnFe2O4 | Pb(II) | 673 | [76] |
| rGo/COFe2O4 | Pb(II) | 299.4 | [77] |
| GO/Mn-doped Fe(III)oxide | Cd and Cu(II) | 87.2 and 129.7 | [78] |
| GO/Fe3O4/sulfanilic acid | Cu(II) | 50.7 and 56.8 | [79] |
| GO/Fe3O4 | Cu, Pb, and Cd | 23.1, 38.5 and 4.4 | [80] |
| Graphene oxide (GO) | Pb(II) | 35.6 | [81] |
| TiO2/GO | Pb(II) | 65.6 | [82] |
| GO-EDTA | Pb(II) | 479 | [82] |
| Graphene nanosheets (GNs) | Pb(II) | 22.4 | [72] |
| GNs-500 | Pb(II) | 35.2 | [72] |
| MnO2/GNs | Hg (II) | 10.8 | [83] |
| Polyethersulfone/GO | MB | 62.50 | [84] |
| Fe3O4/GO hybrids | MB, NR | 167.2, 171.3 | [85] |
| GO sponge | MB, MV | 397, 467 | [86] |
| Fe3O4–GNs | MB, CR | 45.3, 33.7 | [87] |
| GO | MB | 351 | [88] |
| GNs | MB | 154–204 | [89] |
| GO | Tetracycline | 313.48 | [90] |
| GO | Oxytetracycline | 212.31 | [90] |
| GO | Doxycycline | 398.40 | [90] |
| F–GO with MNPs | Oxytetracycline | 45.0 | [91] |
| F–GO with MNPs | Tetracycline | 39.1 | [91] |
| F–GO with MNPs | Chlortetracycline | 42.6 | [91] |
| F–GO with MNPs | Doxycycline | 35.5 | [91] |
| TiO2-graphene sponge | Tetracycline | 1805 | [92] |
| GO | Tetracycline | 381.77 | [93] |
| Single-layer GO | Ciprofloxacin | 379 | [94] |
| KOH-activated graphene | Ciprofloxacin | 194.6 | [95] |
| Porous graphene hydrogel | Ciprofloxacin | 235.6 | [96] |
| CNT Based-Adsorbent | Water Contaminant | Adsorption Capacity (mg/g) | Reference |
|---|---|---|---|
| CNTs | Pb2+ | 17.44 | [122] |
| CNTs (HNO3) | Pb2+ | 49.95 | [123] |
| MWCNTs | Ni2+ | 7.53 | [124] |
| SWCNTs | Ni2+ | 9.22 | [124] |
| MWCNTs (HNO3) | Pb2+ | 97.08 | [125] |
| Alkali-activated MWCNTs | Methylene blue | 399 | [126] |
| Untreated MWCNTs | Methylene blue | 59.7 | [127] |
| Untreated SWCNTs | Reactive red 120 (RR −120) | 426.49 | [128] |
| Oxidized SWCNTS | Basic red 46 (BR 46) | 49.45 | [129] |
| Untreated MWCNTs | Tetracycline (TC) | 269.54 | [130] |
| MWCNTs | Olaquindox | 99.7% | [131] |
| SWCNTs | 4-Chloro-2-nitrophenol | 1.44 | [132] |
| MWCNTs | 4-Chloro-2-nitrophenol | 4.42 | [132] |
| Untreated SWCNTs | Dissolved organic matter (DOM) | 26.1–20.8 | [133] |
| KOH-activated MWCNTs | Toluene, ethylbenzene, m-xylene | 87.12, 322.05, 247.83 | [134] |
| MWCNTs | Methyl orange | 52.86 | [135] |
| Chitosan/Fe2O3/MWCNTs | Methyl orange | 66.90 | [136] |
| Calcium alginate/MWCNTs | Methyl orange | 12.5 | [136] |
| MWCNTs | Tetracycline | 192.7 | [137] |
| CNTs-C@Fe-chitosan composite | Tetracycline | 104 | [138] |
| Single, double, and multi-walled carbon nanotubes | Oxytetracycline | 554, 507, 391 | [139] |
| Single, double, and multi-walled carbon nanotubes | Ciprofloxacin | 933.8, 901.2, 651.4 | [139] |
| MWCNTs/CoFe2O4 | Sulfamethoxazole | 6.98 | [140] |
| Pristine and hydroxylated MWCNTs | Sulfamethazine | 24.78, 13.31 | [141] |
| Carboxylated multi-walled carbon nanotubes | Norfloxacin | 90.3 | [142] |
| TiO2 Nanoparticle-Based Material | Water Contaminant | Main Research Results | References |
|---|---|---|---|
| Porous TiO2 nanotubes (PTNTs) | Congo red dye (CR), Cr(VI) |
| [164] |
| HfO2-doped TiO2 (HfO2/TiO2) | Methyl orange (MO), methyl blue (MB), cresol red (CR), thymol blue (TB), and solochrome black (SB). |
| [165] |
| Cu-modified TiO2 | E. coli, antibiotics |
| [166] |
| Poly methyl methacrylate/ TiO2 (TiO2/PMMA) | Methylene blue (MB) | High percentage removal of MB dye was achieved. | [167] |
| AgInS2/TiO2 nanobelts | E. coli, Cr(VI), bisphenol A (BPA) |
| [168] |
| Anatase-phase TiO2 nanoparticles | Rhodamine B (RhB) | A total of 90% degradation of RhB dye was achieved within 80 min from water. | [169] |
| TiO2-rGO nanocomposites | Pesticides (methomyl, isoproturon, pyrimethanil, alachlor) | A total of 100% pesticide removal was achieved. | [170] |
| Fe3O4–TiO2/rGO | Atrazine | A total of 100% degradation of atrazine was achieved. | [171] |
| TiO2 | The herbicide 2,4D and insecticide imidacloprid |
| [172] |
| TiO2 APTES (3-Aminopropyl)triethoxysilane) | E. coli |
| [173] |
| Sulphur-doped TiO2 | Organophosphorus pesticides (quinalphos and mono-crotophos) |
| [174] |
| MoS2/TiO2 nanotube arrays | Ibuprofen, antibiotics, methicillin-resistant Staphylococcus aureus (MRSA), E. coli |
| [175] |
| TiO2/Au/Fe2O3 | S. typhimurium, 2,4 dichlorophenol |
| [176] |
| Ag@TiO2/NPs | E. coli |
| [177] |
| Ag/TiO2 nanofibers | Phenol | High percentage removal of phenol reaching 82.65% was achieved. | [178] |
| ZnO–TiO2 | Methylene blue (MB) | High photodegradation rate of MB dye. | [179] |
| Ag@ TiO2 NPs | E. coli | High percentage removal of E.coli bacteria was achieved. | [180] |
| Nitrogen-doped TiO2 | Ciprofloxacin | A 90% removal rate of ciprofloxacin was achieved within 90 min. | [181] |
| Nitrogen-doped TiO2 fibers | Methylene blue (MB) |
| [182] |
| Sulphur-doped TiO2 | Diclofenac | High percentage degradation of diclofenac was achieved reaching 93% within 4 h. | [183] |
| ZnO Nanoparticle-Based Material | Water Contaminant | Research Main Results | References |
|---|---|---|---|
| ZnO@silica | Crystal violet dye (CV) | High percentage removal of CV dye was reached with a value of 98%. | [204] |
| Capped ZnO | RR141 (azo dye) and the ofloxacin antibiotic (OFL) | Up to 100% and 98% removal of RR141 and OFL was achieved. | [205] |
| ZnO/Ni microtubes | Textile dyes | High photocatalytic degradation of textile dyes from water with a value reaching 91.21% was achieved. | [206] |
| ZnO/cellulose ZnO/polyester | E. coli | ZnO/polyester resulted in a 15% higher disinfection efficiency against E.coli bacteria compared to ZnO/cellulose. | [207] |
| ZnO nanorods | Methylene blue (MB) dye | High percentage removal of MB dye from water with a value reaching 94% was achieved. | [208] |
| ZnO NPs | Methylene blue (MB) dye | High photocatalytic degradation efficiency of MB dye was reached. | [209] |
| ZnO/PALFs | Congo red dye (CR) | Up to 95% photocatalytic degradation efficiency of CR dye was achieved. | [210] |
| Nano-ZnO | E. coli | High photo-activity and bactericidal activity against E.coli bacteria was achieved. | [211] |
| ZnO NPs | Glyphosate-based herbicides | A total of 90% of the herbicide was removed. | [212] |
| ZnO/mullite membranes ZnO/alumina membranes | S. aureus |
| [213] |
| ZnO/AAO nano membranes | E. coli | High percentage removal of E. coli bacteria was reached. | [214] |
| Red phosphorous/ZnO (RP/ZnO) | S. aureus, E. coli | Remarkable antibacterial efficiency with values of 99.96% and 99.97% against S. aureus and E. coli, respectively. | [215] |
| ZnO/CdS | The ofloxacin antibiotic (OFL) and RR141 (azo dye) | A total of 80% and 73% removal of RR141 and OFL was reached. | [216] |
| ZnO/La2O3/NiO NPs | MB | High photocatalytic degradation efficiency with a value reaching 98% for MB dye. | [217] |
| ZnO/SnO2 | The pesticide triclopyr | High percentage degradation of the pesticide triclopyr was reached. | [218] |
| g-C3N4/NiO/ZnO/Fe3O4 | Esomeprazole | A 95.05% degradation efficiency was reached within 70 min. | [219] |
| ZnO@ZnS core@shell Cu cables | Methylene blue, p-nitrophenol, and rhodamine B | Remarkable photocatalytic degradation with a value greater than 99%. | [220] |
| ZnO–ZnTe | MB, azo dye | Efficient removal of dyes from water was achieved with a value of 91% for MB dye. | [221] |
| Bi2WO6/ZnO | RhB | Up to 99% photodegradation efficiency for RhB dye was reached. | [222] |
| g-C3N4/Mn–ZnO | MB, Gram-positive and negative bacteria | Remarkable degradation efficiency for MB dye was reached. Furthermore, excellent antibacterial activity was achieved against Gram-positive and negative bacteria. | [223] |
| ZnO–TiO2 | MB | High photodegradation of MB dye was achieved. | [179] |
| Pt nanoparticles/polypyrrole-carbon black/ZnO (Pt@PPy-C/ZnO) | MB dye and the linezolid antibiotic | High percentage removal of linezolid with a value of 94.0% was reached within 40 min, and most of the MB dye was successfully degraded. | [224] |
| Co/ZnO thin film Cu/ZnO thin film | MB | Co/ZnO and Cu/ZnO resulted in a 62.6% and 42.5% degradation of MB dye, respectively. | [225] |
| Nd-ZnO NP | MB | Up to 98% degradation efficiency was reached for MB dye. | [226] |
| La-doped ZnO NP and bare ZnO NP | Paracetamol |
| [227] |
| Ag Nanoparticle-Based Material | Water Contaminant | Research Main Results | References |
|---|---|---|---|
| Ag-doped Mg4Ta2O9 NPs | The herbicide atrazine, rhodamine B, methyl orange (MO) | High photocatalytic degradation efficiency of dyes was achieved. | [245] |
| Ag NPs in cellulose polymer paper | Organic pollutants (4-NP, 2-nitrophenol (2-NP), 2- nitroaniline (2-NA), TNP) | Up to 99% reduction in contaminants was achieved. | [246] |
| Ag NPs/holocellulosenanofibrils (Ag NPs/HCNFs) | Methylene blue (MB) | 98% degradation of MB dye was achieved. | [247] |
| Silver-decorated magnetic Fe3O4-deposited thioglycolic acid-modified polypyrrole nanocomposite (Fe3O4@PPy- MAA/Ag) | 4-NP, methylene blue (MB), methyl orange (MO) | High percentage degradation of dyes was achieved with a value of approximately 100% degradation for 4-NP. | [248] |
| Ag NPs capped on novel nanocomposite 2- hydroxypropylβ-cyclodextrin/alginate | 4-NP, methyl orange (MO), rhodamine B | Remarkable dye degradation efficiency was achieved. | [249] |
| TiO2@CNTs/Ag NP/surfactant (C10) nanocomposite | Methylene blue (MB) | A 100% MB dye degradation was achieved within 180 min. | [250] |
| Ag NPs | Textile dyes (reactive green 19A, reactive blue 59, reactive red 120, reactive red 141, and reactive red 2) | Up to 50% of the textile dyes were efficiently removed from water. | [251] |
| AgNPs@ZIF-8 composite | Methylene blue (MB) and Congo red (CR) | 97.25% and 100% removal of MB and CR dyes was achieved, respectively. | [252] |
| Iron-silver core-shell NPs (FeO/Ag NPs) | Aniline blue dye | High aniline blue dye degradation efficiency with a value reaching 90%. | [253] |
| Ag/BiVO4 photocatalyst | 2,4-dichlorophenoxyacetic acid | Up to 90% degradation was achieved. | [254] |
| GO nanosheets impregnated with Ag NPs | E. coli, S. aureus | Up to 100%, and 87.6% reduction of E. Coli and S. aureus was achieved | [255] |
| Ag NPs | 4- NP, methyl orange (MO), and rhodamine B | Excellent dye degradation efficiency. | [256] |
| GO-AgNP composite onto cellulose acetate membrane | E. coli | Up 86% of the E. coli bacteria were inactivated within 2 h. | [257] |
| Hierarchical Cu2O nanowires covered by AgNP-doped carbon layer on Cu foam (C/Cu2OAgNPs) | E. coli, S. aureus | High bactericidal effect with a value greater than 99% was achieved. | [258] |
| GO-Ag nanocomposite | E. coli, S. aureus | High bactericidal effect was achieved. | [259] |
| Ag NP-decorated cellulose nanofibrous membrane | Coliform bacteria | Almost complete removal of bacteria. | [260] |
| Ag NPs loaded on tannic acid-impregnated cellulosic membrane | E. coli | Up to 97% reduction percentage of the E.coli bacteria was achieved. | [261] |
| Iron Nanoparticle (Fe NPs)-Based Material | Water Contaminant | Adsorption Capacity (mg/g) | Removal Efficiency (%) | References |
|---|---|---|---|---|
| A mixture of α-Fe2O3 and Fe3O4 modified with sugarcane bagasse biochar | Cr (VI) ions | 24.48 | 92.07 | [272] |
| γ-Fe2O3 | Arsenic | 12.74 | 95 | [273] |
| Mixture of γ-Fe2O3 and Fe3O4 | Cu | 11.12 | 90 | [274] |
| Mixture of γ-Fe2O3 and Fe3O4 | Ni | 9.44 | 95 | [274] |
| A mixture of Fe2O3, FeO, and Fe3O4 modified with rice straw biochar | Crystal violet | 111.48 | 97.23 | [275] |
| Mixture of γ-Fe2O3 and Fe3O4 | Cd | 19.15 | 90 | [274] |
| Fe3O4 modified with carboxymethyl- β-cyclodextrin polymer | Lead (II) ions | 64.2 | 98 | [276] |
| Fe3O4 modified with PAC from pistachio waste | Cu (II) | 23.61 | 98 | [277] |
| Fe3O4 functionalized with ethylenediamine | Chromium | 81.5 | 96 | [278] |
| Fe3O4 | Phosphate | 8.79 | 88 | [279] |
| Fe3O4 modified with sugarcane bagasse biochar | Cr (VI) ions | 71.02 | – | [280] |
| Fe3O4 | Cadmium | 48.82 | 100 | [281] |
| Fe3O4 | Lead (II) ions | 120.48 | – | [282] |
| Fe3O4 | Boron | 8.44 | 84 | [283] |
| Fe3O4 | Arsenic | 8.31 | 78 | [284] |
| α-Fe2O3 modified with sodium alginate | Lead (II) ions | 564 | – | [285] |
| Fe3O4 functionalized with chitosan | Copper (II) ions | 109.89 | 92 | [286] |
| Fe3O4 | Arsenic | 90 | – | [287] |
| Membrane Type | Pore Size | Application in Water Purification | References |
|---|---|---|---|
| Microfiltration (MF) membrane | 0.1 to 10 μm | Removes suspended solids, bacteria, and protozoa. | [288] |
| Ultrafiltration (UF) membrane | 0.001 to 0.1 μm | Removes viruses, colloids, and macromolecules including proteins and sugars. | [289] |
| Nanofiltration (NF) membrane | 0.001 μm | Removes dissolved organic compounds, divalent ions, and pharmaceuticals. | [290] |
| Reverse osmosis (RO) membrane | 0.0001 μm | Removes dissolved salts, including inorganic ions, organic compounds, and microorganisms. | [291] |
| Electrodialysis (ED) membrane | 10 and 100 Å | ED membranes use an electrical current to move ions across a selective membrane. This ion diffusion through the membrane leads to the removal of dissolved salts from water. | [292] |
| Membrane Support Layer | Nanomaterial Used in Membrane Synthesis | Membrane Type | Water Contaminant | Removal Efficiency (%) | References |
|---|---|---|---|---|---|
| α-Al2O3 | TiO2 | UF | Rhodamine removal | >91 | [311] |
| Bentonite | TiO2 | UF | Anionic dyes (direct red 80 and acid orange 74) and a cationic dye (methylene blue) |
| [312] |
| Al2O3 | TiO2 | - | Organic dye | 95 | [313] |
| Bentonite | TiO2 | UF | Direct red 80 | 99 | [314] |
| Al2O3 | TiO2 | NF | Degradation of diuron/chlorfenvinphos | 95% for diuron and 78% for chlorfenvinphos | [315] |
| Clay | TiO2 | UF | Alizarin red dye | 99 | [316] |
| Al2O3/ZrO2 | Yttria- stabilized | NF | Dye | >98 | [317] |
| CuO | TiO2 | UF | Ciprofloxacin removal | 99.5 | [318] |
| Al2O3 | TiO2 | UF | Natural organic matter (NOM; humic acid and tannic acid), pharmaceuticals (ibuprofen and sulfamethoxazole), and inorganic salts (NaCl, Na2SO4, CaCl2, and CaSO4). |
| [319] |
| ZrO2 | TiO2 | NF | Co2+, Sr2+, and Cs+ |
| [320] |
| Rice husk | SiO2 | UF | Methylene blue dye | 99 | [321] |
| Al2O3 | SiO2 | UF | Copper, cadmium, and silver | 99 | [322] |
| α-Al2O3 | SiO2 | NF | Divalent ions | – | [323] |
| TiO2-GO | γ-Al2O3 | UF | Methyl orange and methylene blue | 92 | [324] |
| SiO2 | MgO | MF | Tetracycline | 99.7 | [325] |
| Clay | ZrO2 | UF | Silver | 45 | [326] |
| Ag/TiO2/hydroxya patite | α-Al2O3 | MF | Humic acid | 88.3 | [327] |
| Al2O3 | ZrO2 | NF | Uranium | 91 | [328] |
| Al2O3 | CuO | UF | Chromium (VI) | 88.8 | [329] |
| SiO2-TiO | SiC | - | Methylene blue removal | 72 | [330] |
| SiC | g-C3N4 | - | Organic contaminants | 100 | [331] |
Disclaimer/Publisher’s Note: The statements, opinions and data contained in all publications are solely those of the individual author(s) and contributor(s) and not of MDPI and/or the editor(s). MDPI and/or the editor(s) disclaim responsibility for any injury to people or property resulting from any ideas, methods, instructions or products referred to in the content. |
© 2024 by the authors. Licensee MDPI, Basel, Switzerland. This article is an open access article distributed under the terms and conditions of the Creative Commons Attribution (CC BY) license (https://creativecommons.org/licenses/by/4.0/).
Share and Cite
Elhenawy, S.; Khraisheh, M.; AlMomani, F.; Al-Ghouti, M.; Selvaraj, R.; Al-Muhtaseb, A. Emerging Nanomaterials for Drinking Water Purification: A New Era of Water Treatment Technology. Nanomaterials 2024, 14, 1707. https://doi.org/10.3390/nano14211707
Elhenawy S, Khraisheh M, AlMomani F, Al-Ghouti M, Selvaraj R, Al-Muhtaseb A. Emerging Nanomaterials for Drinking Water Purification: A New Era of Water Treatment Technology. Nanomaterials. 2024; 14(21):1707. https://doi.org/10.3390/nano14211707
Chicago/Turabian StyleElhenawy, Salma, Majeda Khraisheh, Fares AlMomani, Mohammad Al-Ghouti, Rengaraj Selvaraj, and Ala’a Al-Muhtaseb. 2024. "Emerging Nanomaterials for Drinking Water Purification: A New Era of Water Treatment Technology" Nanomaterials 14, no. 21: 1707. https://doi.org/10.3390/nano14211707
APA StyleElhenawy, S., Khraisheh, M., AlMomani, F., Al-Ghouti, M., Selvaraj, R., & Al-Muhtaseb, A. (2024). Emerging Nanomaterials for Drinking Water Purification: A New Era of Water Treatment Technology. Nanomaterials, 14(21), 1707. https://doi.org/10.3390/nano14211707

