Printability Metrics and Engineering Response of HDPE/Si3N4 Nanocomposites in MEX Additive Manufacturing
Abstract
1. Introduction
- Evaluate the reinforcement effectiveness of Si3N4 on the HDPE polymer on nanocomposites prepared with MEX methods for the 3D printing technology.
- Characterize the nanocomposites produced within the context of the research.
- Assess the impact of Si3N4 on quality metrics, such as the geometric deviation and the voids (porosity) of the 3D-printed items.
- Produce HDPE/Si3N4 nanocomposites with improved characteristics, to enhance the robustness of HDPE in respective applications, employing the MEX technique in 3D printing.
2. Materials and Methods
2.1. Materials
2.2. Preparation of HDPE/Si3N4 Filament and 3D Printing
- Mixing of unprocessed materials.
- Thermomechanical mixing through the first extrusion process (Noztek extruder).
- Thermomechanical mixing through the second extrusion process (3Ddevo extruder, which, additionally, is specially designed for materials mixing by itself, through the specially designed screw it uses).
2.3. Morphological and Chemical Analysis
2.4. Mechanical Characterization
- Tensile tests were conducted on V-type examples with a thickness of 3.2 mm, ASTM D638-02a [60], by placing them between the two uniform grips of the Imada MX2 apparatus, from the company Imada Inc., located in Northbrook, IL, USA.
- A flexural test (3-point bending), ASTM D790-10 [64], by the same apparatus as above, set in flexure operation, and with a 52.0 mm clearance between the supports.
- An impact test, ASTM D6110-04 [65], employing an impact (Charpy) apparatus model called MT 220, from Terco, Kungens Kurva, Sweden.
- A M-H test, ASTM E384-17 [66], by the name of Test 300, from Innova Europe BV, Maastricht, NL, USA (Vickers device), on specimens being fully polished, with 100 gF force, and 10 s of indentation duration.
2.5. Raman Spectra
2.6. Thermal, Rheometric, and μ-CT Scan Investigation
- TGA: Diamond Perkin Elmer (Waltham, MA, USA).
- DSC: DSC 25 calorimeter (TA Instruments, New Castle, DE, USA).
- Rheology: DHR-20 (TA Instruments, DE, USA).
- μ-CT scanning: Tomoscope HV Compact 225 kV Micro Focus CT-scanner (Werth Messtechnik GmbH, Giessen, Germany).
2.7. Quality Control
3. Results
3.1. Raman Outcome
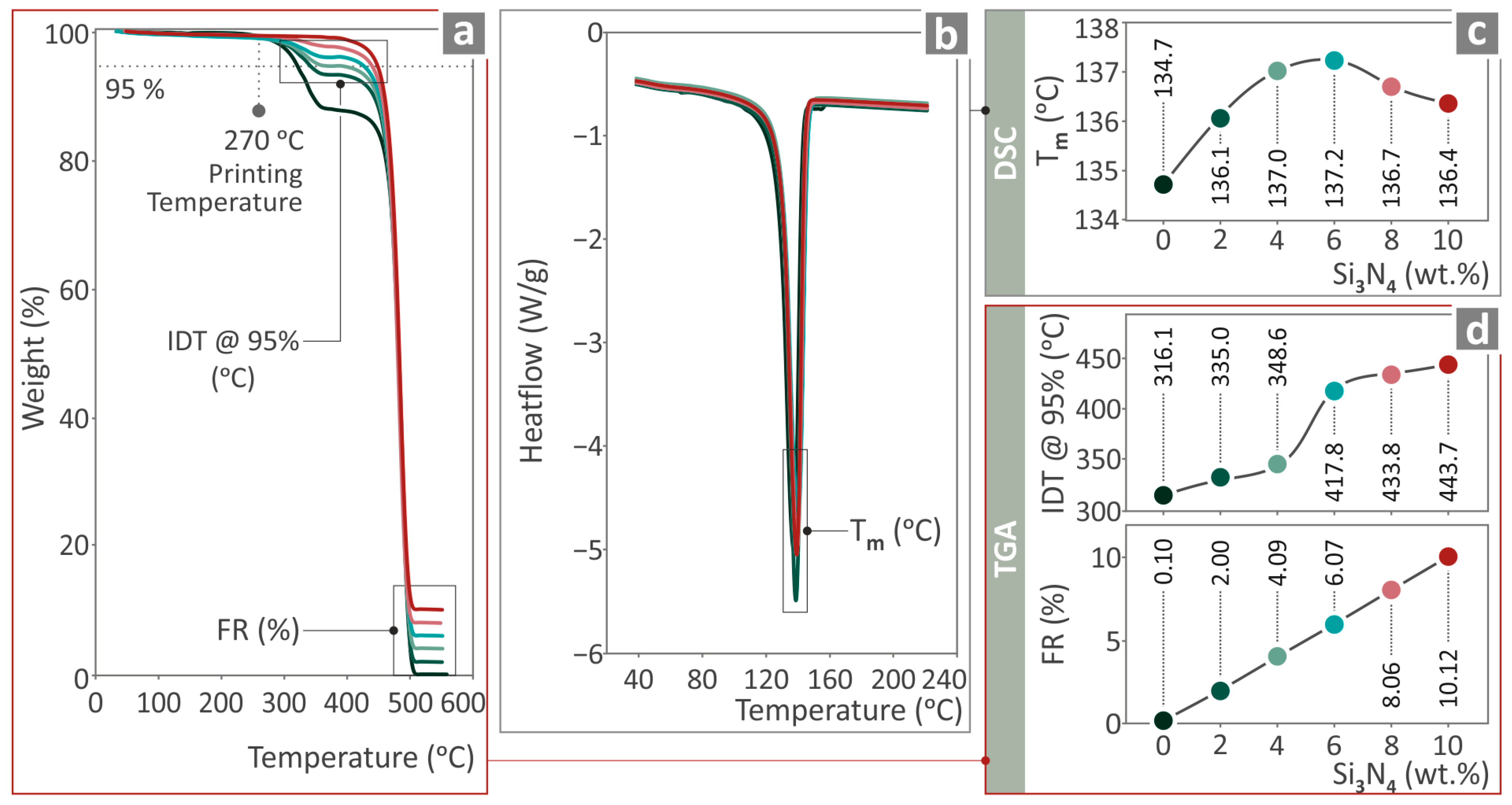
3.2. TGA and DSC Findings
3.3. Rheology Results
3.4. Filament Inspection and Testing Results
3.5. Mechanical Tests
3.6. Specimens’ μ-CT Scan Characterization
3.7. Morphological Results of the Specimens
4. Discussion
5. Conclusions
- The 6.0 wt. % composite reinforced the matrix in most of the mechanical characteristics (more than 20% higher tensile and flexural strength compared to the unfilled HDPE).
- The structural characteristics were improved.
- Quality characteristics related to the porosity of the internal structure and the dimensional accuracy were improved with the introduction of the Si3N4 filler in the HDPE polymer.
- A thermomechanical method was followed, which can be easily scaled up for industrial use.
Supplementary Materials
Author Contributions
Funding
Data Availability Statement
Acknowledgments
Conflicts of Interest
References
- Raspall, F.; Velu, R.; Vaheed, N.M. Fabrication of Complex 3D Composites by Fusing Automated Fiber Placement (AFP) and Additive Manufacturing (AM) Technologies. Adv. Manuf. Polym. Compos. Sci. 2019, 5, 6–16. [Google Scholar] [CrossRef]
- Jiang, Z.; Diggle, B.; Tan, M.L.; Viktorova, J.; Bennett, C.W.; Connal, L.A. Extrusion 3D Printing of Polymeric Materials with Advanced Properties. Adv. Sci. 2020, 7, 2001379. [Google Scholar] [CrossRef] [PubMed]
- Park, S.; Shou, W.; Makatura, L.; Matusik, W.; Fu, K. 3D Printing of Polymer Composites: Materials, Processes, and Applications. Matter 2022, 5, 43–76. [Google Scholar] [CrossRef]
- Schmid, M.; Vetterli, M.; Wegener, K. Polymer Powders for Laser-Sintering: Powder Production and Performance Qualification. AIP Conf. Proc. 2019, 2065, 020008. [Google Scholar]
- Wang, Y.; Zhou, Y.; Lin, L.; Corker, J.; Fan, M. Overview of 3D Additive Manufacturing (AM) and Corresponding AM Composites. Compos. Part. A Appl. Sci. Manuf. 2020, 139, 106114. [Google Scholar] [CrossRef]
- Trenfield, S.J.; Awad, A.; Goyanes, A.; Gaisford, S.; Basit, A.W. 3D Printing Pharmaceuticals: Drug Development to Frontline Care. Trends Pharmacol. Sci. 2018, 39, 440–451. [Google Scholar] [CrossRef]
- Zeng, X.; Sipaut, C.S.; Ismail, N.M.; Liu, Y.; Farm, Y.Y.; Peng, B.; He, J. Preparation of 3D Printed Silicon Nitride Bioceramics by Microwave Sintering. Sci. Rep. 2024, 14, 15825. [Google Scholar] [CrossRef]
- Kumar, S.; Yan, J.; Poon, J.; Singh, V.P.; Lu, X.; Karlsson Ott, M.; Engman, L.; Kumar, S. Multifunctional Antioxidants: Regenerable Radical-Trapping and Hydroperoxide-Decomposing Ebselenols. Angew. Chem. 2016, 128, 3793–3797. [Google Scholar] [CrossRef]
- Peltola, S.M.; Melchels, F.P.W.; Grijpma, D.W.; Kellomäki, M. A Review of Rapid Prototyping Techniques for Tissue Engineering Purposes. Ann. Med. 2008, 40, 268–280. [Google Scholar] [CrossRef]
- Travitzky, N.; Bonet, A.; Dermeik, B.; Fey, T.; Filbert-Demut, I.; Schlier, L.; Schlordt, T.; Greil, P. Additive Manufacturing of Ceramic-Based Materials. Adv. Eng. Mater. 2014, 16, 729–754. [Google Scholar] [CrossRef]
- Felzmann, R.; Gruber, S.; Mitteramskogler, G.; Tesavibul, P.; Boccaccini, A.R.; Liska, R.; Stampfl, J. Lithography-Based Additive Manufacturing of Cellular Ceramic Structures. Adv. Eng. Mater. 2012, 14, 1052–1058. [Google Scholar] [CrossRef]
- Martin, J.H.; Yahata, B.D.; Hundley, J.M.; Mayer, J.A.; Schaedler, T.A.; Pollock, T.M. 3D Printing of High-Strength Aluminium Alloys. Nature 2017, 549, 365–369. [Google Scholar] [CrossRef] [PubMed]
- Frazier, W.E. Metal Additive Manufacturing: A Review. J. Mater. Eng. Perform. 2014, 23, 1917–1928. [Google Scholar] [CrossRef]
- Levenhagen, N.P.; Dadmun, M.D. Improving Interlayer Adhesion in 3D Printing with Surface Segregating Additives: Improving the Isotropy of Acrylonitrile–Butadiene–Styrene Parts. ACS Appl. Polym. Mater. 2019, 1, 876–884. [Google Scholar] [CrossRef]
- Spreeman, M.E.; Stretz, H.A.; Dadmun, M.D. Role of Compatibilizer in 3D Printing of Polymer Blends. Addit. Manuf. 2019, 27, 267–277. [Google Scholar] [CrossRef]
- Namazi, H. Polymers in Our Daily Life. BioImpacts 2017, 7, 73–74. [Google Scholar] [CrossRef]
- Nötzel, D.; Eickhoff, R.; Hanemann, T. Fused Filament Fabrication of Small Ceramic Components. Materials 2018, 11, 1463. [Google Scholar] [CrossRef]
- Tran, P.; Ngo, T.D.; Ghazlan, A.; Hui, D. Bimaterial 3D Printing and Numerical Analysis of Bio-Inspired Composite Structures under in-Plane and Transverse Loadings. Compos. B Eng. 2017, 108, 210–223. [Google Scholar] [CrossRef]
- Garcia, C.R.; Correa, J.; Espalin, D.; Barton, J.H.; Rumpf, R.C.; Wicker, R.; Gonzalez, V. 3D Printing of Anisotropic Metamaterials. Prog. Electromagn. Res. Lett. 2012, 34, 75–82. [Google Scholar] [CrossRef]
- Kumar, S.; Ramesh, M.R.; Doddamani, M.; Rangappa, S.M.; Siengchin, S. Mechanical Characterization of 3D Printed MWCNTs/HDPE Nanocomposites. Polym. Test. 2022, 114, 107703. [Google Scholar] [CrossRef]
- Tajvidi, M. Static and Dynamic Mechanical Properties of a Kenaf Fiber–Wood Flour/Polypropylene Hybrid Composite. J. Appl. Polym. Sci. 2005, 98, 665–672. [Google Scholar] [CrossRef]
- Labet, M.; Thielemans, W. Synthesis of Polycaprolactone: A Review. Chem. Soc. Rev. 2009, 38, 3484. [Google Scholar] [CrossRef] [PubMed]
- Gudadhe, A.; Bachhar, N.; Kumar, A.; Andrade, P.; Kumaraswamy, G. Three-Dimensional Printing with Waste High-Density Polyethylene. ACS Appl. Polym. Mater. 2019, 1, 3157–3164. [Google Scholar] [CrossRef]
- Mejia, E.; Cherupurakal, N.; Mourad, A.-H.I.; Al Hassanieh, S.; Rabia, M. Effect of Processing Techniques on the Microstructure and Mechanical Performance of High-Density Polyethylene. Polymers 2021, 13, 3346. [Google Scholar] [CrossRef]
- Bharath, H.S.; Bonthu, D.; Gururaja, S.; Prabhakar, P.; Doddamani, M. Flexural Response of 3D Printed Sandwich Composite. Compos. Struct. 2021, 263, 113732. [Google Scholar] [CrossRef]
- Bharath, H.S.; Bonthu, D.; Prabhakar, P.; Doddamani, M. Three-Dimensional Printed Lightweight Composite Foams. ACS Omega 2020, 5, 22536–22550. [Google Scholar] [CrossRef]
- Sewda, K.; Maiti, S.N. Mechanical Properties of HDPE/Bark Flour Composites. J. Appl. Polym. Sci. 2007, 105, 2598–2604. [Google Scholar] [CrossRef]
- Zhong, X.; Zhao, X.; Qian, Y.; Zou, Y. Polyethylene Plastic Production Process. Insight Mater. Sci. 2018, 1, 104. [Google Scholar] [CrossRef]
- Mwania, F.M.; van der Walt, J.; Wu, L.; Koen, W.; Maringa, M. Characterisation of High-Density Polyethylene (DiaPow HDPE HX R) Powder for Use in Additive Manufacturing. J. Eng. 2024, 2024, 6284961. [Google Scholar] [CrossRef]
- Vidakis, N.; Petousis, M.; Kalderis, D.; Michailidis, N.; Maravelakis, E.; Saltas, V.; Bolanakis, N.; Papadakis, V.; Spiridaki, M.; Argyros, A. Reinforced HDPE with Optimized Biochar Content for Material Extrusion Additive Manufacturing: Morphological, Rheological, Electrical, and Thermomechanical Insights. Biochar 2024, 6, 37. [Google Scholar] [CrossRef]
- Vidakis, N.; Michailidis, N.; Petousis, M.; Nasikas, N.K.; Saltas, V.; Papadakis, V.; Mountakis, N.; Argyros, A.; Spiridaki, M.; Valsamos, I. Multifunctional HDPE/Cu Biocidal Nanocomposites for MEX Additive Manufactured Parts: Perspectives for the Defense Industry. Def. Technol. 2024, 38, 16–32. [Google Scholar] [CrossRef]
- Vidakis, N.; Petousis, M.; Maniadi, A.; Papadakis, V. MEX 3D Printed HDPE/TiO2 Nanocomposites Physical and Mechanical Properties Investigation. J. Compos. Sci. 2022, 6, 209. [Google Scholar] [CrossRef]
- Petousis, M.; Sagris, D.; Papadakis, V.; Moutsopoulou, A.; Argyros, A.; David, C.; Valsamos, J.; Spiridaki, M.; Michailidis, N.; Vidakis, N. Optimization Course of Titanium Nitride Nanofiller Loading in High-Density Polyethylene: Interpretation of Reinforcement Effects and Performance in Material Extrusion 3D Printing. Polymers 2024, 16, 1702. [Google Scholar] [CrossRef] [PubMed]
- Boschetto, F.; Adachi, T.; Horiguchi, S.; Marin, E.; Paccotti, N.; Asai, T.; Zhu, W.; McEntire, B.J.; Yamamoto, T.; Kanamura, N.; et al. In Situ Molecular Vibration Insights into the Antibacterial Behavior of Silicon Nitride Bioceramic versus Gram-Negative Escherichia Coli. Spectrochim. Acta A Mol. Biomol. Spectrosc. 2019, 223, 117299. [Google Scholar] [CrossRef] [PubMed]
- Zeng, X.; Sipaut, C.S.; Ismail, N.M.; Liu, Y.; Farm, Y.Y.; He, J. Mechanical Properties and Biological Activity of 3D Printed Silicon Nitride Materials. Ceram. Int. 2024, 50, 16704–16713. [Google Scholar] [CrossRef]
- Punj, S.; Singh, J.; Singh, K. Ceramic Biomaterials: Properties, State of the Art and Future Prospectives. Ceram. Int. 2021, 47, 28059–28074. [Google Scholar] [CrossRef]
- Raza, S.M.; Khurshid, Z.; Zafar, M.S.; Najeeb, S.; Ul Yaqin, S.A. Silicon Nitride (SiN): An Emerging Material for Dental Implant Applications. In Dental Implants; Elsevier: Amsterdam, The Netherlands, 2020; pp. 287–299. [Google Scholar]
- Zeng, X.; Sipaut, C.S.; Ismail, N.M.; Liu, Y.; Farm, Y.Y.; Peng, B.; He, J. Fabrication of 3D Printed Si3N4 Bioceramics with Superior Comprehensive Performance through ZnO Nanowires Doping. Ceram. Int. 2024, 50, 34457–34466. [Google Scholar] [CrossRef]
- Neumann, A.; Unkel, C.; Werry, C.; Herborn, C.U.; Maier, H.R.; Ragoß, C.; Jahnke, K. Prototype of a Silicon Nitride Ceramic-Based Miniplate Osteofixation System for the Midface. Otolaryngol. Head. Neck Surg. 2006, 134, 923–930. [Google Scholar] [CrossRef]
- Wu, H.; Liu, T.; Xu, Z.; Qian, J.; Shen, X.; Li, Y.; Pan, Y.; Wang, D.; Zheng, K.; Boccaccini, A.R.; et al. Enhanced Bacteriostatic Activity, Osteogenesis and Osseointegration of Silicon Nitride/Polyetherketoneketone Composites with Femtosecond Laser Induced Micro/Nano Structural Surface. Appl. Mater. Today 2020, 18, 100523. [Google Scholar] [CrossRef]
- Neumann, A.; Reske, T.; Held, M.; Jahnke, K.; Ragoß, C.; Maier, H.R. Comparative Investigation of the Biocompatibility of Various Silicon Nitride Ceramic Qualities in Vitro. J. Mater. Sci. Mater. Med. 2004, 15, 1135–1140. [Google Scholar] [CrossRef]
- Bal, B.S.; Rahaman, M.N. Orthopedic Applications of Silicon Nitride Ceramics. Acta Biomater. 2012, 8, 2889–2898. [Google Scholar] [CrossRef] [PubMed]
- Pezzotti, G.; Boschetto, F.; Ohgitani, E.; Fujita, Y.; Shin-Ya, M.; Adachi, T.; Yamamoto, T.; Kanamura, N.; Marin, E.; Zhu, W.; et al. Mechanisms of Instantaneous Inactivation of SARS-CoV-2 by Silicon Nitride Bioceramic. Mater. Today Bio 2021, 12, 100144. [Google Scholar] [CrossRef] [PubMed]
- Cecen, B.; Topates, G.; Kara, A.; Akbulut, S.O.; Havitcioglu, H.; Kozaci, L.D. Biocompatibility of Silicon Nitride Produced via Partial Sintering & Tape Casting. Ceram. Int. 2021, 47, 3938–3945. [Google Scholar] [CrossRef]
- Kersten, R.F.M.R.; Wu, G.; Pouran, B.; van der Veen, A.J.; Weinans, H.H.; de Gast, A.; Öner, F.C.; van Gaalen, S.M. Comparison of Polyetheretherketone versus Silicon Nitride Intervertebral Spinal Spacers in a Caprine Model. J. Biomed. Mater. Res. B Appl. Biomater. 2019, 107, 688–699. [Google Scholar] [CrossRef] [PubMed]
- Youssef, J.A. Radiographic Follow-up of Transforaminal Lumbar Fusion with Silicon Nitride Spacers: A Case Report of Two Patients. J. Musculoskelet. Disord. Treat. 2016, 2, 9. [Google Scholar] [CrossRef]
- Du, X.; Ronayne, S.; Lee, S.S.; Hendry, J.; Hoxworth, D.; Bock, R.; Ferguson, S.J. 3D-Printed PEEK/Silicon Nitride Scaffolds with a Triply Periodic Minimal Surface Structure for Spinal Fusion Implants. ACS Appl. Bio Mater. 2023, 6, 3319–3329. [Google Scholar] [CrossRef]
- Mobbs, R.J.; Rao, P.J.; Phan, K.; Hardcastle, P.; Choy, W.J.; McCartney, E.R.; Druitt, R.K.; Mouatt, C.A.L.; Sorrell, C.C. Anterior Lumbar Interbody Fusion Using Reaction Bonded Silicon Nitride Implants: Long-Term Case Series of the First Synthetic Anterior Lumbar Interbody Fusion Spacer Implanted in Humans. World Neurosurg. 2018, 120, 256–264. [Google Scholar] [CrossRef]
- Basu, B.; Kalin, M. Tribology of Ceramics and Composites: A Materials Science Perspective; John Wiley & Sons: Hoboken, NJ, USA, 2011. [Google Scholar]
- McKeen, L.W. Fatigue and Tribological Properties of Plastics and Elastomers; William Andrew: Norwich, NY, USA, 2016. [Google Scholar]
- Leblanc, J.L. Filled Polymers; CRC Press: Boca Raton, FL, USA, 2009; ISBN 9781439800430. [Google Scholar]
- Deepthi, M.V.; Sampathkumaran, P.; Seetharamu, S.; Vynatheya, S.; Sailaja, R.R.N. Development of HDPE/Silicon Nitride Nanocomposites Using HDPE-g-Dibutyl Maleate as Compatibilizer. In Proceedings of the 2012 IEEE 10th International Conference on the Properties and Applications of Dielectric Materials, Bangalore, India, 24–28 July 2012; pp. 1–4. [Google Scholar]
- Deepthi, M.V.; Sailaja, R.R.N.; Sampathkumaran, P.; Seetharamu, S.; Vynatheya, S. High Density Polyethylene and Silane Treated Silicon Nitride Nanocomposites Using High-Density Polyethylene Functionalized with Maleate Ester: Mechanical, Tribological and Thermal Properties. Mater. Des. (1980–2015) 2014, 56, 685–695. [Google Scholar] [CrossRef]
- Zgalat-Lozynskyy, O.B.; Matviichuk, O.O.; Tolochyn, O.I.; Ievdokymova, O.V.; Zgalat-Lozynska, N.O.; Zakiev, V.I. Polymer Materials Reinforced with Silicon Nitride Particles for 3D Printing. Powder Metall. Metal. Ceram. 2021, 59, 515–527. [Google Scholar] [CrossRef]
- Michailidis, N.; Petousis, M.; Saltas, V.; Papadakis, V.; Spiridaki, M.; Mountakis, N.; Argyros, A.; Valsamos, J.; Nasikas, N.K.; Vidakis, N. Investigation of the Effectiveness of Silicon Nitride as a Reinforcement Agent for Polyethylene Terephthalate Glycol in Material Extrusion 3D Printing. Polymers 2024, 16, 1043. [Google Scholar] [CrossRef]
- Vidakis, N.; Petousis, M.; Michailidis, N.; Papadakis, V.; Mountakis, N.; Argyros, A.; Dimitriou, E.; Charou, C.; Moutsopoulou, A. Polylactic Acid/Silicon Nitride Biodegradable and Biomedical Nanocomposites with Optimized Rheological and Thermomechanical Response for Material Extrusion Additive Manufacturing. Biomed. Eng. Adv. 2023, 6, 100103. [Google Scholar] [CrossRef]
- Vidakis, N.; Michailidis, N.; Argyros, A.; Mountakis, N.; Papadakis, V.; Spiridaki, M.; Moutsopoulou, A.; Sfakiotakis, E.; Petousis, M. A Coherent Optimization Course of the Silicon Nitride Nanofiller Load in Medical Grade Isotactic Polypropylene for Material Extrusion Additive Manufacturing: Rheology, Engineering Response, and Cost-Effectiveness. Colloid. Polym. Sci. 2024, 302, 843–860. [Google Scholar] [CrossRef]
- Petousis, M.; Michailidis, N.; Papadakis, V.M.; Korlos, A.; Mountakis, N.; Argyros, A.; Dimitriou, E.; Charou, C.; Moutsopoulou, A.; Vidakis, N. Optimizing the Rheological and Thermomechanical Response of Acrylonitrile Butadiene Styrene/Silicon Nitride Nanocomposites in Material Extrusion Additive Manufacturing. Nanomaterials 2023, 13, 1588. [Google Scholar] [CrossRef] [PubMed]
- Vidakis, N.; Petousis, M.; Michailidis, N.; David, C.; Saltas, V.; Sagris, D.; Spiridaki, M.; Argyros, A.; Mountakis, N.; Papadakis, V. Interpretation of the Optimization Course of Silicon Nitride Nano-Powder Content in Biomedical Resins for Vat Photopolymerization Additive Manufacturing. Ceram. Int. 2024, 50, 14919–14935. [Google Scholar] [CrossRef]
- ASTM D638-02a; Standard Test Method for Tensile Properties of Plastics. ASTM International: West Conshohocken, PA, USA, 2022.
- Song, Y.; Zheng, Q. Concepts and Conflicts in Nanoparticles Reinforcement to Polymers beyond Hydrodynamics. Prog. Mater. Sci. 2016, 84, 1–58. [Google Scholar] [CrossRef]
- Zare, Y.; Rhee, K.Y.; Hui, D. Influences of Nanoparticles Aggregation/Agglomeration on the Interfacial/Interphase and Tensile Properties of Nanocomposites. Compos. B Eng. 2017, 122, 41–46. [Google Scholar] [CrossRef]
- Vidakis, N.; Petousis, M.; Michailidis, N.; Mountakis, N.; Argyros, A.; Spiridaki, M.; Moutsopoulou, A.; Papadakis, V.; Charitidis, C. High-Density Polyethylene/Carbon Black Composites in Material Extrusion Additive Manufacturing: Conductivity, Thermal, Rheological, and Mechanical Responses. Polymers 2023, 15, 4717. [Google Scholar] [CrossRef]
- ASTM D790-10; Standard Test Methods for Flexural Properties of Unreinforced and Reinforced Plastics and Electrical Insulating Materials. ASTM International: West Conshohocken, PA, USA, 2016.
- ASTM D6110-04; Standard Test Methods for Determining the Charpy Impact Resistance of Notched Specimens of Plastics. ASTM International: West Conshohocken, PA, USA, 2017.
- ASTM E384-17; Standard Test Method for Microindentation Hardness of Materials. ASTM International: West Conshohocken, PA, USA, 2017.
- Stuart, B.H. Temperature Studies of Polycarbonate Using Fourier Transform Raman Spectroscopy. Polym. Bull. 1996, 36, 341–346. [Google Scholar] [CrossRef]
- Resta, V.; Quarta, G.; Lomascolo, M.; Maruccio, L.; Calcagnile, L. Raman and Photoluminescence Spectroscopy of Polycarbonate Matrices Irradiated with Different Energy 28Si+ Ions. Vacuum 2015, 116, 82–89. [Google Scholar] [CrossRef]
- Zimmerer, C.; Matulaitiene, I.; Niaura, G.; Reuter, U.; Janke, A.; Boldt, R.; Sablinskas, V.; Steiner, G. Nondestructive Characterization of the Polycarbonate–Octadecylamine Interface by Surface Enhanced Raman Spectroscopy. Polym. Test. 2019, 73, 152–158. [Google Scholar] [CrossRef]
- Makarem, M.; Lee, C.M.; Kafle, K.; Huang, S.; Chae, I.; Yang, H.; Kubicki, J.D.; Kim, S.H. Probing Cellulose Structures with Vibrational Spectroscopy. Cellulose 2019, 26, 35–79. [Google Scholar] [CrossRef]
- Liu, X.; Zou, Y.; Li, W.; Cao, G.; Chen, W. Kinetics of Thermo-Oxidative and Thermal Degradation of Poly(d,l-Lactide) (PDLLA) at Processing Temperature. Polym. Degrad. Stab. 2006, 91, 3259–3265. [Google Scholar] [CrossRef]
- Lin, Z.; Guo, X.; He, Z.; Liang, X.; Wang, M.; Jin, G. Thermal Degradation Kinetics Study of Molten Polylactide Based on Raman Spectroscopy. Polym. Eng. Sci. 2020, 61, 201–210. [Google Scholar] [CrossRef]
- Bandinelli, F.; Scapin, M.; Peroni, L. Effects of Anisotropy and Infill Pattern on Compression Properties of 3D Printed CFRP: Mechanical Analysis and Elasto-Plastic Finite Element Modelling. Rapid Prototyp. J. 2024, 30, 142–158. [Google Scholar] [CrossRef]
- Somireddy, M.; Czekanski, A. Anisotropic Material Behavior of 3D Printed Composite Structures–Material Extrusion Additive Manufacturing. Mater. Des. 2020, 195, 108953. [Google Scholar] [CrossRef]
- Wang, X.; Zhao, L.; Fuh, J.Y.H.; Lee, H.P. Effect of Porosity on Mechanical Properties of 3D Printed Polymers: Experiments and Micromechanical Modeling Based on X-Ray Computed Tomography Analysis. Polymers 2019, 11, 1154. [Google Scholar] [CrossRef]
- Al-Maharma, A.Y.; Patil, S.P.; Markert, B. Effects of Porosity on the Mechanical Properties of Additively Manufactured Components: A Critical Review. Mater. Res. Express 2020, 7, 122001. [Google Scholar] [CrossRef]













| 1061 | Peak drop | Small-medium change in C-O-C stretching [67] |
| 1131 | Peak drop | Small-medium change in C-O-C stretching [68] |
| 1297 | Peak drop | Medium change in C-O-C stretching [67] |
| 1440 | Peak drop | Medium change in CH2 deformation [67,69] |
| 2827–2947 | Inconsistent behavior | Large change in the range of methylation vibration modes [70] |
Disclaimer/Publisher’s Note: The statements, opinions and data contained in all publications are solely those of the individual author(s) and contributor(s) and not of MDPI and/or the editor(s). MDPI and/or the editor(s) disclaim responsibility for any injury to people or property resulting from any ideas, methods, instructions or products referred to in the content. |
© 2024 by the authors. Licensee MDPI, Basel, Switzerland. This article is an open access article distributed under the terms and conditions of the Creative Commons Attribution (CC BY) license (https://creativecommons.org/licenses/by/4.0/).
Share and Cite
Papadakis, V.M.; Petousis, M.; Michailidis, N.; Spyridaki, M.; Valsamos, I.; Argyros, A.; Gkagkanatsiou, K.; Moutsopoulou, A.; Vidakis, N. Printability Metrics and Engineering Response of HDPE/Si3N4 Nanocomposites in MEX Additive Manufacturing. Nanomaterials 2024, 14, 1680. https://doi.org/10.3390/nano14201680
Papadakis VM, Petousis M, Michailidis N, Spyridaki M, Valsamos I, Argyros A, Gkagkanatsiou K, Moutsopoulou A, Vidakis N. Printability Metrics and Engineering Response of HDPE/Si3N4 Nanocomposites in MEX Additive Manufacturing. Nanomaterials. 2024; 14(20):1680. https://doi.org/10.3390/nano14201680
Chicago/Turabian StylePapadakis, Vassilis M., Markos Petousis, Nikolaos Michailidis, Maria Spyridaki, Ioannis Valsamos, Apostolos Argyros, Katerina Gkagkanatsiou, Amalia Moutsopoulou, and Nectarios Vidakis. 2024. "Printability Metrics and Engineering Response of HDPE/Si3N4 Nanocomposites in MEX Additive Manufacturing" Nanomaterials 14, no. 20: 1680. https://doi.org/10.3390/nano14201680
APA StylePapadakis, V. M., Petousis, M., Michailidis, N., Spyridaki, M., Valsamos, I., Argyros, A., Gkagkanatsiou, K., Moutsopoulou, A., & Vidakis, N. (2024). Printability Metrics and Engineering Response of HDPE/Si3N4 Nanocomposites in MEX Additive Manufacturing. Nanomaterials, 14(20), 1680. https://doi.org/10.3390/nano14201680

