Optical, Photophysical, and Electroemission Characterization of Blue Emissive Polymers as Active Layer for OLEDs
Abstract
1. Introduction
2. Materials and Methods
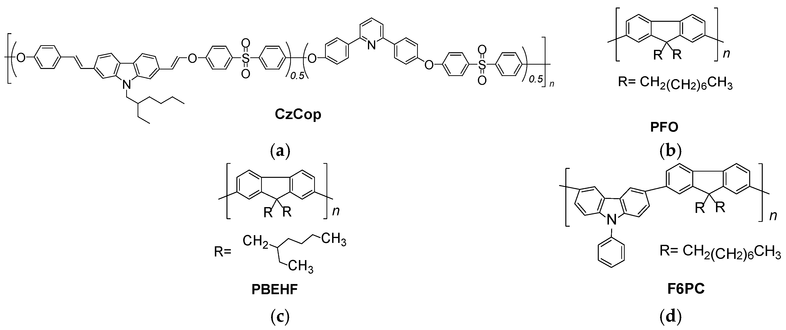
2.1. Materials
2.2. Ink Formulation
2.3. OLED Fabrication
2.4. Thin Film and Device Characterization
3. Results
3.1. Spectroscopic Ellipsometry
3.2. Absorption Coefficient and Photoluminescence
3.3. Atomic Force Microscopy
3.4. Electroluminescence
3.5. Electrical Characteristics
4. Conclusions
Author Contributions
Funding
Data Availability Statement
Acknowledgments
Conflicts of Interest
References
- Namsheer, K.; Rout, C.S. Conducting polymers: A comprehensive review on recent advances in synthesis, properties and applications. RSC Adv. 2021, 11, 5659–5697. [Google Scholar] [CrossRef]
- Lim, J.W. Polymer Materials for Optoelectronics and Energy Applications. Materials 2024, 17, 3698. [Google Scholar] [CrossRef] [PubMed]
- Andreopoulou, A.K.; Gioti, M.; Kallitsis, J.K. Organic Light-emitting Diodes Based on Solution-Processable Organic Materials. In Solution-Processable Components for Organic Electronic Devices, 1st ed.; Łuszczynska, B., Matyjaszewski, K., Ulanski, J., Eds.; Wiley-VCH Verlag GmbH & Co. KGaA: Weinheim, Germany, 2019; Volume 8, pp. 413–482. [Google Scholar]
- Zhu, M.; Yang, C. Blue fluorescent emitters: Design tactics and applications in organic light-emitting diodes. Chem. Soc. Rev. 2013, 42, 4963–4976. [Google Scholar] [CrossRef] [PubMed]
- Tankelevičiūtė, E.; Samuel, I.D.; Zysman-Colman, E. The Blue Problem: OLED Stability and Degradation Mechanisms. J. Phys. Chem. Lett. 2024, 15, 1034–1047. [Google Scholar] [CrossRef]
- Zhang, Q.; Wang, P.-I.; Ong, G.L.; Tan, S.H.; Tan, Z.W.; Hii, Y.H.; Wong, Y.L.; Cheah, K.S.; Yap, S.L.; Ong, T.S. Photophysical and Electroluminescence Characteristics of Polyfluorene Derivatives with Triphenylamine. Polymers 2019, 11, 840. [Google Scholar] [CrossRef]
- Colella, C.A.; Griffin, M.; Kingsley, J.; Scarratt, J.; Luszczynska, N.; Ulanski, J.B. Slot-Die Coating of Double Polymer Layers for the Fabrication of Organic Light Emitting Diodes. Micromachines 2019, 10, 53. [Google Scholar] [CrossRef]
- Sergent, A.; Zucchi, G.; Pansu, R.B.; Chaigneau, M.; Geffroy, B.; Tondelier, D.; Ephritikhine, M. Synthesis, characterization, morphological behaviour, and photo- and electroluminescence of highly blue-emitting fluorene-carbazole copolymers with alkyl side-chains of different lengths. J. Mater. Chem. C 2013, 1, 3207–3216. [Google Scholar] [CrossRef]
- Cook, J.H.; Santos, J.; Al-Attar, H.A.; Bryce, M.R.; Monkman, A.P. High brightness deep blue/violet, fluorescent polymer light-emitting diodes (PLEDs). J. Mater. Chem. C 2015, 3, 9664–9669. [Google Scholar] [CrossRef][Green Version]
- Bail, R.; Hong, J.Y.; Chin, B.D. Inkjet printing of blue phosphorescent light emitting layer based on bis(3,5-di(9H-carbazol-9- yl))diphenylsilane. RSC Adv. 2018, 8, 11191–11197. [Google Scholar] [CrossRef]
- Bekkar, F.; Bettahar, F.; Moreno, I.; Meghabar, R.; Hamadouche, M.; Hernáez, E.; Vilas-Vilela, J.L.; Ruiz-Rubio, L. Polycarbazole and Its Derivatives: Synthesis and Applications. A Review of the Last 10 Years. Polymers 2020, 12, 2227. [Google Scholar] [CrossRef]
- Fallahi, A.; Taromi, F.A.; Mohebbi, A.; Yuenc, J.D.; Shahinpoor, M. A novel ambipolar polymer: From organic thin-film transistors to enhanced air-stable blue light emitting diodes. J. Mater. Chem. C 2014, 2, 6491–6501. [Google Scholar] [CrossRef]
- Sun, J.; Zhang, T.; Liao, X.; Wang, K.; Hou, M.; Wu, D.; Miao, Y.; Wang, H.; Bingshe, X. A novel luminophor and host polymer from fluorene-carbazole derivatives for preparing solution-processed non-doped blue and closed-white light devices. Tetrahedron 2018, 74, 1053–1058. [Google Scholar] [CrossRef]
- Lv, X.; Sun, M.; Xu, L.; Wang, R.; Zhou, H.; Pan, Y.; Zhang, S.; Sun, O.; Xue, S.; Yang, W. Highly efficient non-doped blue fluorescent OLEDs with low efficiency roll-off based on hybridized local and charge transfer excited state emitters. Chem. Sci. 2020, 11, 5058–5506. [Google Scholar] [CrossRef]
- Das, D.; Gopikrishna, P.; Singh, A.; Dey, A.; Iyer, P.K. Efficient blue and white polymer light emitting diodes based on a well charge balanced, core modified polyfluorene derivative. Phys. Chem. Chem. Phys. 2016, 18, 7389–7394. [Google Scholar] [CrossRef]
- Liu, R.; Xiong, Y.; Zeng, W.; Wu, Z.; Du, B.; Yang, W.; Sun, M.; Cao, Y. Extremely Color-Stable Blue Light-Emitting Polymers Based on Alternating 2,7-Fluorene-co-3,9-carbazole Copolymer. Macromol. Chem. Phys. 2007, 208, 1503–1509. [Google Scholar] [CrossRef]
- Siddiqui, I.; Kumar, S.; Tsai, Y.-F.; Gautam, P.; Shahnawaz; Kesavan, K.; Lin, J.-T.; Khai, L.; Chou, K.-H.; Choudhury, A.; et al. Status and Challenges of Blue OLEDs: A Review. Nanomaterials 2023, 13, 2521. [Google Scholar] [CrossRef]
- Huang, T.; Wang, Q.; Zhang, H.; Xin, Y.; Zhang, Y.; Chen, X.; Zhang, D.; Duan, L. Delocalizing electron distribution in thermally activated delayed fluorophors for high-efficiency and long-lifetime blue electroluminescence. Nat. Mater. 2024. [Google Scholar] [CrossRef] [PubMed]
- Shi, Y.; Wang, Z.; Meng, T.; Yuan, T.; Ni, R.; Li, Y.; Li, X.; Zhang, Y.; Tan, Z.; Lei, S.; et al. Red Phosphorescent Carbon Quantum Dot Organic Framework-Based Electroluminescent Light-Emitting Diodes Exceeding 5% External Quantum Efficiency. J. Am. Chem. Soc. 2021, 143, 18941–18951. [Google Scholar] [CrossRef] [PubMed]
- Zhang, Y.; Feng, N.; Zhou, S.; Xin, X. Fluorescent nanocomposites based on gold nanoclusters for metal ion detection and white light emitting diodes. Nanoscale 2021, 13, 4140–4150. [Google Scholar] [CrossRef]
- Sun, P.; Wang, Z.; Sun, D.; Bai, H.; Zhu, Z.; Bi, Y.; Zhao, T.; Xin, X. pH-guided self-assembly of silver nanoclusters with aggregation-induced emission for rewritable fluorescent platform and white light emitting diode application. J. Colloid Interface Sci. 2020, 567, 235–242. [Google Scholar] [CrossRef]
- Xie, H.; Wang, Y.; Zhang, N.; Li, S.; Li, J.; Xin, X. Solvent-Induced Self-Assembly of Silver Nanoclusters for White-Light-Emitting Diodes and Temperature Sensing. ACS Appl. Nano Mater. 2024, 7, 1009–1018. [Google Scholar] [CrossRef]
- Kuik, M.; Wetzelaer, G.-J.A.H.; Laddé, J.G.; Nicolai, H.T.; Wildeman, J.; Sweelssen, J.; Blom, P.W.M. The Effect of Ketone Defects on the Charge Transport and Charge Recombination in Polyfluorenes. Adv. Funct. Mater. 2011, 21, 4502–4509. [Google Scholar] [CrossRef]
- List, E.J.W.; Gaal, M.; Guentner, R.; Freitas, P.S.; Scherf, U. The role of keto defect sites for the emission properties of polyfluorene-type materials. Synth. Met. 2003, 139, 759–763. [Google Scholar] [CrossRef]
- Chew, K.W.; Abdul Rahim, N.A.; Teh, P.L.; Osman, A.F. Enhanced luminescence stability and oxidation–reduction potential of polyfluorene for organic electronics: A review. Polym. Bull. 2024, 81, 7659–7685. [Google Scholar] [CrossRef]
- Hwang, D.-H.; Park, M.-J.; Lee, J.-H.; Cho, N.-S.; Shim, H.-K.; Lee, C. Synthesis and light-emitting properties of polyfluorene copolymers containing a hydrazone derivative as a comonomer. Synth. Met. 2004, 146, 145–150. [Google Scholar] [CrossRef]
- Chochos, C.L.; Kallitsis, J.K.; Georgiou, V.G. Rod-Coil Block Copolymers Incorporating Terfluorene Segments for Stable Blue Light Emission. J. Phys. Chem. B 2005, 109, 8755–8760. [Google Scholar] [CrossRef]
- Tsolakis, K.P.; Kallitsis, J.K. Synthesis and Characterization of Luminescent Rod–Coil Block Copolymers by Atom Transfer Radical Polymerization: Utilization of Novel End-Functionalized Terfluorenes as Macroinitiators. Chem. Eur. J. 2003, 9, 936–943. [Google Scholar] [CrossRef]
- Gong, X.; Iyer, P.K.; Moses, D.; Bazan, G.C.; Heeger, A.J.; Xiao, S.S. Stabilized Blue Emission from Polyfluorene-Based Light-Emitting Diodes: Elimination of Fluorenone Defects. Adv. Funct. Mater. 2003, 13, 325–330. [Google Scholar] [CrossRef]
- Andrikopoulos, K.; Anastasopoulos, C.; Kallitsis, J.K.; Andreopoulou, A.K. Bis-Tridendate Ir(III) Polymer-Metallocomplexes: Hybrid, Main-Chain Polymer Phosphors for Orange–Red Light Emission. Polymers 2020, 12, 2976. [Google Scholar] [CrossRef]
- Andrikopoulos, K.C.; Tselekidou, D.; Anastasopoulos, C.; Papadopoulos, K.; Kyriazopoulos, V.; Logothetidis, S.; Kallitsis, J.K.; Gioti, M.; Andreopoulou, A.K. Fluorescent Aromatic Polyether Sulfones: Processable, Scalable, Efficient, and Stable Polymer Emitters and Their Single-Layer Polymer Light-Emitting Diodes. Nanomaterials 2024, 14, 1246. [Google Scholar] [CrossRef]
- Tselekidou, D.; Papadopoulos, K.; Kyriazopoulos, V.; Andrikopoulos, K.C.; Andreopoulou, A.K.; Kallitsis, J.K.; Laskarakis, A.; Logothetidis, S.; Gioti, M. Photophysical and Electro-Optical Properties of Copolymers Bearing Blue and Red Chromophores for Single-Layer White OLEDs. Nanomaterials 2021, 11, 2629. [Google Scholar] [CrossRef] [PubMed]
- Jellison, G.; Modine, F. Parameterization of the optical functions of amorphous materials in the interband region. Appl. Phys. Lett. 1996, 69, 371–373. [Google Scholar] [CrossRef]
- Azzam, R.; Bashara, N. Ellipsometry and Polarized Light; North-Holland Pub.: Amsterdam, The Netherlands, 1977; ISBN 0720406943. [Google Scholar]
- Tauc, J.; Grigorovici, R.; Vancu, A. Optical Properties and Electronic Structure of Amorphous Germanium. Phys. Status Solidi B 1966, 15, 627–637. [Google Scholar] [CrossRef]
- Gioti, M.; Tselekidou, D.; Panagiotidis, L.; Kyriazopoulos, V.; Simitzi, K.; Andreopoulou, A.K.; Kalitsis, J.K.; Gravalidis, C.; Logothetidis, S. Optical characterization of organic light-emitting diodes with selective red emission. Mater. Today Proc. 2021, 37, A39–A45. [Google Scholar] [CrossRef]
- Oh, E.J.; Lee, J.S.; Suh, J.S.; Cho, I.H. Preparation and Photoluminescence Characteristics of Carbazole-Poly(p-phenylenevinylene)s. Polym. J. 2002, 34, 81–84. [Google Scholar] [CrossRef]
- Li, Y.; Ding, J.; Day, M.; Tao, Y.; Lu, J.; D’iorio, M. Synthesis and Properties of Random and Alternating Fluorene/Carbazole Copolymers for Use in Blue Light-Emitting Devices. Chem. Mater. 2004, 16, 2165–2173. [Google Scholar] [CrossRef]
- Wong, W.-Y.; Liu, L.; Cui, D.; Leung, L.M.; Kwong, C.F.; Lee, T.H.; Ng, H.-F. Synthesis and Characterization of Blue-Light-Emitting Alternating Copolymers of 9,9-Dihexylfluorene and 9-Arylcarbazole. Macromolecules 2005, 38, 4970–4976. [Google Scholar] [CrossRef]
- Zhang, Q. Film Morphology and Electroluminescence of Poly[9,9-di-(2′-ethylhexyl) fluorenyl-2,7-diyl] Blended with a Hole Transporting Polymer. Polym. Polym. Compos. 2010, 18, 469–542. [Google Scholar] [CrossRef]
- Bernardo, G.; Charas, A.; Morgad, J. Luminescence properties of poly(9,9-dioctylfluorene)/polyvinylcarbazole blends: Role of composition on the emission colour stability and electroluminescence efficiency. J. Phys. Chem. Solids 2010, 71, 340–345. [Google Scholar] [CrossRef]
- Turak, A. On the Role of LiF in Organic Optoelectronics. Electron. Mater. 2021, 2, 198–221. [Google Scholar] [CrossRef]
- Hwang, D.H.; Kim, S.K.; Park, M.-J.; Lee, J.-H.; Koo, B.-W.; Kang, I.-N.; Kim, S.-H.; Zyung, T. Conjugated Polymers Based on Phenothiazine and Fluorene in Light-Emitting Diodes and Field Effect Transistors. Chem. Mater. 2004, 16, 1298–1303. [Google Scholar] [CrossRef]
- Park, S.H.; Kim, J.Y.; Kim, S.H.; Jin, Y.; Kim, J.; Suh, H.; Lee, K. High-efficiency new polymer light-emitting diodes with a stabilized blue emission. In Organic Light-Emitting Materials and Devices IX; SPIE: Bellingham, WA, USA, 2014; Volume 5937, pp. 153–158. [Google Scholar] [CrossRef]
- Deksnys, T.; Simokaitiene, J.; Keruckas, J.; Volyniuk, D.; Bezvikonnyi, O.; Cherpak, V.; Stakhira, P.; Ivaniuka, K.; Helzhynskyy, I.; Baryshnikov, G.; et al. Synthesis and characterization of carbazole-based bipolar exciplex forming compound for efficient and colortunable OLEDs. New J. Chem. 2017, 41, 559–568. [Google Scholar] [CrossRef]
- Xing, X.; Wu, Z.; Sun, Y.; Liu, Y.; Dong, X.; Li, S.; Wang, W. The Optimization of Hole Injection Layer in Organic Light-Emitting Diodes. Nanomaterials 2024, 14, 161. [Google Scholar] [CrossRef] [PubMed]
- Murawski, C.; Gather, M.C. Emerging Biomedical Applications of Organic Light-Emitting Diodes. Adv. Optical Mater. 2021, 9, 2100269. [Google Scholar] [CrossRef]















| Thickness (nm) | Optical Band Gap (eV) | Electronic Transition Energy (eV) | ||||||
|---|---|---|---|---|---|---|---|---|
| E01 | E02 | E03 | E04 | E05 | ||||
| PFO | 47.0 ± 1 | 2.87 | 3.06 | 3.12 | 5.54 | 5.78 | ||
| PBEHF | 42.0 ± 1 | 2.95 | 3.11 | 3.16 | 4.73 | 5.66 | ||
| F6PC | 46.0 ± 1 | 2.99 | 3.28 | 3.36 | 3.50 | 4.47 | 5.69 | |
| CzCop | 27.0 ± 1 | 2.67 | 2.97 | 3.08 | 4.02 | 4.53 | 5.29 | 6.18 |
| Root Mean Square, Sq (nm) | Average Roughness, Sa (nm) | Peak to Peak, Sy (nm) | |
|---|---|---|---|
| PFO | 1.01 | 0.74 | 13.72 |
| F6PC | 0.86 | 0.67 | 8.67 |
| PBEHF | 0.32 | 0.25 | 4.94 |
| CzCop | 0.25 | 0.20 | 1.54 |
| Spectrum | PEAK 1 | PEAK 2 | PEAK 3 | PEAK 4 | PEAK 5 | ||||||
|---|---|---|---|---|---|---|---|---|---|---|---|
| λmax (nm) | FWHM (nm) | λmax (nm) | FWHM (nm) | λmax (nm) | FWHM (nm) | λmax (nm) | FWHM (nm) | λmax (nm) | FWHM (nm) | ||
| PFO | PL | 424 | 12 | 441 | 28 | 470 | 47 | 522 | 96 | - | - |
| EL | 429 | 13 | 454 | 18 | 484 | 20 | 503 | 88 | - | - | |
| PBEHF | PL | 421 | 13 | 440 | 19 | 461 | 46 | 507 | 95 | - | - |
| EL | 418 | 14 | 440 | 23 | 472 | 21 | 492 | 67 | 542 | 107 | |
| F6PC | PL | 417 | 24 | 443 | 47 | 488 | 95 | - | - | - | - |
| EL | 412 | 32 | 447 | 53 | 488 | 76 | 619 | 20 | - | - | |
| CzCop | PL | 453 | 35 | 488 | 58 | 551 | 113 | - | - | - | - |
| EL | 434 | 17 | 458 | 39 | 505 | 88 | - | - | - | - | |
| Current Density Turn-On Voltage (V) | Luminance Turn-On Voltage (V) | Luminance at 8 V (cd/m2) | Luminance (cd/m2) | CIEx | CIEy | |
|---|---|---|---|---|---|---|
| PFO | 2.7 | 4.0 | 413 | 759 | 0.18 | 0.20 |
| PBEHF | 2.8 | 5.6 | 62 | 729 | 0.19 | 0.32 |
| F6PC | 4.2 | 6.6 | 3 | 57 | 0.21 | 0.23 |
| CzCop | 2.0 | 3.4 | 28 | 28 | 0.16 | 0.16 |
Disclaimer/Publisher’s Note: The statements, opinions and data contained in all publications are solely those of the individual author(s) and contributor(s) and not of MDPI and/or the editor(s). MDPI and/or the editor(s) disclaim responsibility for any injury to people or property resulting from any ideas, methods, instructions or products referred to in the content. |
© 2024 by the authors. Licensee MDPI, Basel, Switzerland. This article is an open access article distributed under the terms and conditions of the Creative Commons Attribution (CC BY) license (https://creativecommons.org/licenses/by/4.0/).
Share and Cite
Tselekidou, D.; Papadopoulos, K.; Andrikopoulos, K.C.; Andreopoulou, A.K.; Kallitsis, J.K.; Logothetidis, S.; Laskarakis, A.; Gioti, M. Optical, Photophysical, and Electroemission Characterization of Blue Emissive Polymers as Active Layer for OLEDs. Nanomaterials 2024, 14, 1623. https://doi.org/10.3390/nano14201623
Tselekidou D, Papadopoulos K, Andrikopoulos KC, Andreopoulou AK, Kallitsis JK, Logothetidis S, Laskarakis A, Gioti M. Optical, Photophysical, and Electroemission Characterization of Blue Emissive Polymers as Active Layer for OLEDs. Nanomaterials. 2024; 14(20):1623. https://doi.org/10.3390/nano14201623
Chicago/Turabian StyleTselekidou, Despoina, Kyparisis Papadopoulos, Konstantinos C. Andrikopoulos, Aikaterini K. Andreopoulou, Joannis K. Kallitsis, Stergios Logothetidis, Argiris Laskarakis, and Maria Gioti. 2024. "Optical, Photophysical, and Electroemission Characterization of Blue Emissive Polymers as Active Layer for OLEDs" Nanomaterials 14, no. 20: 1623. https://doi.org/10.3390/nano14201623
APA StyleTselekidou, D., Papadopoulos, K., Andrikopoulos, K. C., Andreopoulou, A. K., Kallitsis, J. K., Logothetidis, S., Laskarakis, A., & Gioti, M. (2024). Optical, Photophysical, and Electroemission Characterization of Blue Emissive Polymers as Active Layer for OLEDs. Nanomaterials, 14(20), 1623. https://doi.org/10.3390/nano14201623

