Characteristic Times for Gap Relaxation and Heat Escape in Nanothin NbTi Superconducting Filaments: Thickness Dependence and Effect of Substrate
Abstract
1. Introduction
2. Experimental Setup and Detection of the Expected Dissipative States
3. Creation of a Hot Spot Using an Electrical Current Pulse
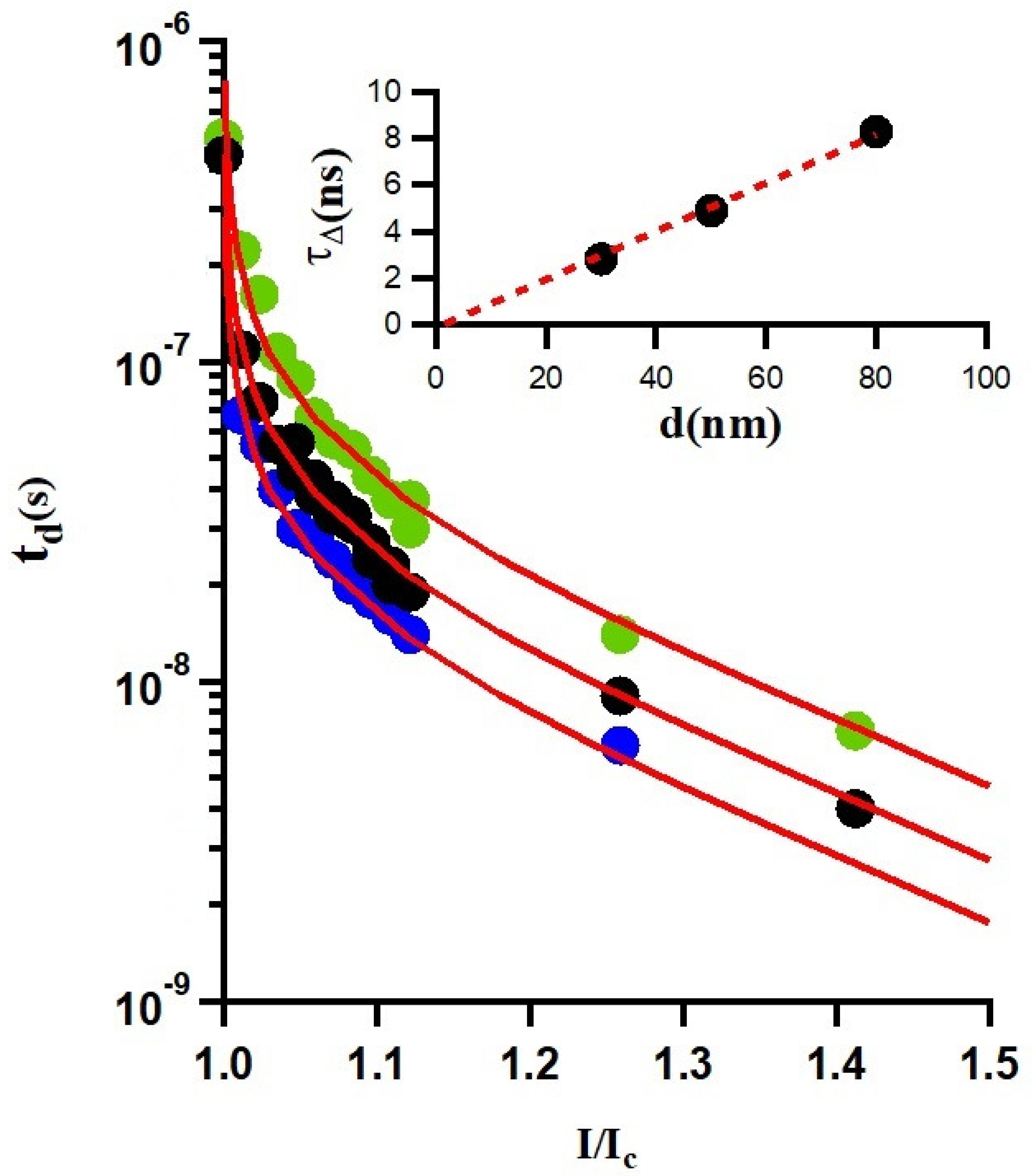
4. Analysis of Delay Time and Gap Relaxation Time
4.1. Thickness Dependence of Gap Relaxation Time
4.2. Effect of Substrate on Characteristic Time Scales
5. Conclusions
Author Contributions
Funding
Data Availability Statement
Acknowledgments
Conflicts of Interest
References
- Zhong, H.S.; Wang, H.; Deng, Y.H.; Chen, M.C.; Peng, L.C.; Luo, Y.H.; Qin, J.; Wu, D.; Ding, X.; Hu, Y.; et al. Quantum computational advantage using photons. Science 2020, 370, 1460. [Google Scholar] [CrossRef] [PubMed]
- Protte, M.; Verma, V.B.; Höpker, J.P.; Mirin, R.P.; Nam, S.W.; Bartley, T.J. Laser-lithographically written micron-wide superconducting nanowire single-photon detectors. Supercond. Sci. Technol. 2022, 13, 055005. [Google Scholar] [CrossRef]
- Tinkham, M. Introduction to Superconductivity, 2nd ed.; McGraw-Hill: Singapore, 1996; Chapter 11. [Google Scholar]
- Webb, W.W.; Warburton, R.J. Intrinsic quantum fluctuations in uniform filamentary superconductors. Phys. Rev. Lett. 1968, 20, 461. [Google Scholar] [CrossRef]
- Meyer, J.D. Voltage steps in the U (T)-transition curves and in the U (I)-characteristic curves of current-carrying whiskers of tin. Appl. Phys. 1973, 2, 303. [Google Scholar] [CrossRef]
- Delacour, C.; Pannetier, B.; Villegier, J.C.; Bouchiat, V. Quantum and thermal phase slips in superconducting niobium nitride (NbN) ultrathin crystalline nanowire: Application to single photon detection. Nano Lett. 2012, 12, 3501. [Google Scholar] [CrossRef] [PubMed]
- Constantino, N.G.N.; Anwar, M.S.; Kennedy, O.W.; Dang, M.; Warburton, P.A.; Fenton, J.C. Emergence of quantum phase-slip behaviour in superconducting NbN nanowires: DC electrical transport and fabrication technologies. Nanomaterials 2018, 8, 442. [Google Scholar] [CrossRef] [PubMed]
- Vodolazov, D.Y.; Elmuradov, A.; Peeters, F.M. Critical currents of the phase slip process in the presence of electromagnetic radiation: Rectification for time asymmetric ac signal. Phys. Rev. B 2005, 72, 134509. [Google Scholar] [CrossRef]
- Elmurodov, A.K.; Peeters, F.M.; Vodolazov, D.Y.; Michotte, S.; Adam, S.; de Menten de Horne, F.; Piraux, L.; Lucot, D.; Mailly, D. Phase-slip phenomena in NbN superconducting nanowires with leads. Phys. Rev. B 2008, 78, 214519. [Google Scholar] [CrossRef]
- Berdiyorov, G.R.; Elmurodov, A.K.; Peeters, F.M.; Vodolazov, D.Y. Finite-size effect on the resistive state in a mesoscopic type-II superconducting stripe. Phys. Rev. B 2009, 79, 174506. [Google Scholar] [CrossRef]
- Berdiyorov, G.R.; Milošević, M.V.; Peeters, F.M. Kinematic vortex-antivortex lines in strongly driven superconducting stripes. Phys. Rev. B 2009, 79, 184506. [Google Scholar] [CrossRef]
- Silhanek, A.V.; Milošević, M.V.; Kramer, R.B.G.; Berdiyorov, G.R.; Van de Vondel, J.; Luccas, R.F.; Puig, T.; Peeters, F.M.; Moshchalkov, V.V. Formation of Stripelike Flux Patterns Obtained by Freezing Kinematic Vortices in a Superconducting Pb Film. Phys. Rev. Lett. 2010, 104, 017001. [Google Scholar] [PubMed]
- Berdiyorov, G.R.; Chao, X.H.; Peeters, F.M.; Wang, H.B.; Moshchalkov, V.V.; Zhu, B.Y. Magnetoresistance oscillations in superconducting strips: A Ginzburg-Landau study. Phys. Rev. B 2012, 86, 224504. [Google Scholar] [CrossRef]
- Berdiyorov, G.R.; Harrabi, K.; Oktasendra, F.; Gasmi, K.; Mansour, A.I.; Maneval, J.P.; Peeters, F.M. Dynamics of current-driven phase-slip centers in superconducting strips. Phys. Rev. B 2014, 90, 054506. [Google Scholar] [CrossRef]
- Berdiyorov, G.R.; Misko, V.R.; Milošević, M.V.; Escoffier, W.; Grigorieva, I.V.; Peeters, F.M. Pillars as antipinning centers in superconducting films. Phys. Rev. B 2008, 77, 024526. [Google Scholar] [CrossRef]
- Liu, C.-Y.; Berdiyorov, G.R.; Milošević, M.V. Vortex states in layered mesoscopic superconductors. Phys. Rev. B 2011, 83, 104524. [Google Scholar] [CrossRef]
- Berdiyorov, G.R.; Milošević, M.V.; Peeters, F.M. Composite vortex ordering in superconducting films with arrays of blind holes. New J. Phys. 2009, 11, 013025. [Google Scholar] [CrossRef]
- Berdiyorov, G.R.; Doria, M.M.; de C, A.R.; Milošević, M.V.; Brandt, E.H.; Peeters, F.M. Current-induced cutting and recombination of magnetic superconducting vortex loops in mesoscopic superconductor-ferromagnet heterostructures. Phys. Rev. B 2013, 87, 184508. [Google Scholar] [CrossRef]
- Wang, Y.-L.; Glatz, A.; Kimmel, G.J.; Aranson, I.S.; Thoutam, L.R.; Xiao, Z.-L.; Berdiyorov, G.R.; Peeters, F.M.; Crabtree, G.W.; Kwok, W.-K. Parallel magnetic field suppresses dissipation in superconducting nanostrips. Proc. Nat. Acad. Sci. USA 2017, 114, E10274. [Google Scholar] [CrossRef] [PubMed]
- Berdiyorov, G.R.; Milošević, M.V.; Covaci, L.; Peeters, F.M. Rectification by an imprinted phase in a Josephson junction. Phys. Rev. Lett. 2011, 107, 177008. [Google Scholar] [CrossRef] [PubMed]
- Berdiyorov, G.R.; de C, A.R.; Milosevic, M.V.; Doria, M.M.; Covaci, L.; Peeters, F.M. Dynamic and static phases of vortices under an applied drive in a superconducting stripe with an array of weak links. Eur. Phys. J. B 2012, 85, 130. [Google Scholar] [CrossRef]
- Berdiyorov, G.R.; Milošević, M.V.; Latimer, M.L.; Xiao, Z.L.; Kwok, W.K.; Peeters, F.M. Large Magnetoresistance Oscillations in Mesoscopic Superconductors due to Current-Excited Moving Vortices. Phys. Rev. Lett. 2012, 109, 057004. [Google Scholar] [PubMed]
- Latimer, M.L.; Berdiyorov, G.R.; Xiao, Z.L.; Peeters, F.M.; Kwok, W.K. Realization of Artificial Ice Systems for Magnetic Vortices in a Superconducting MoGe Thin Film with Patterned Nanostructures. Phys. Rev. Lett. 2013, 111, 067001. [Google Scholar]
- Berdiyorov, G.R.; Harrabi, K.; Maneval, J.P.; Peeters, F.M. Effect of pinning on the response of superconducting strips to an external pulsed current. Supercond. Sci. Technol. 2015, 28, 025004. [Google Scholar] [CrossRef]
- Lombardo, J.; Jelić, Ž.L.; Baumans, X.D.A.; Scheerder, J.E.; Nacenta, J.P.; Moshchalkov, V.V.; Van de Vondel, J.; Kramer, R.B.G.; Milošević, M.V.; Silhanek, A.V. In situ tailoring of superconducting junctions via electro-annealing. Nanoscale 2018, 10, 1987. [Google Scholar] [CrossRef] [PubMed]
- Berdiyorov, G.R.; Milošević, M.V.; Peeters, F.M. Tunable kinematics of phase-slip lines in a superconducting stripe with magnetic dots. Phys. Rev. B 2009, 80, 214509. [Google Scholar] [CrossRef]
- Berdiyorov, G.R.; Hernandez, A.D.; Peeters, F.M. Confinement effects on intermediate-state flux patterns in mesoscopic type-I superconductors. Phys. Rev. Lett. 2009, 103, 267002. [Google Scholar] [CrossRef] [PubMed]
- Berdiyorov, G.R.; Hernández-Nieves, A.D.; Milošević, M.V.; Peeters, F.M.; Domínguez, D. Flux-quantum-discretized dynamics of magnetic flux entry, exit, and annihilation in current-driven mesoscopic type-I superconductors. Phys. Rev. B 2012, 85, 092502. [Google Scholar] [CrossRef]
- Berdiyorov, G.R.; Milošević, M.V.; Hernandez-Nieves, A.D.; Peeters, F.M.; Dominguez, D. Microfluidic manipulation of magnetic flux domains in type-I superconductors: Droplet formation, fusion and fission. Sci. Rep. 2017, 7, 12129. [Google Scholar] [CrossRef] [PubMed]
- Vodolazov, D.Y. Single-photon detection by a dirty current-carrying superconducting strip based on the kinetic-equation approach. Phys. Rev. Appl. 2017, 7, 034014. [Google Scholar] [CrossRef]
- Berdiyorov, G.R.; Milošević, M.V.; Peeters, F.M. Spatially dependent sensitivity of superconducting meanders as single-photon detectors. Appl. Phys. Lett. 2012, 100, 262603. [Google Scholar] [CrossRef]
- Ferrari, S.; Kovalyuk, V.; Hartmann, W.; Vetter, A.; Kahl, O.; Lee, C.; Korneev, A.; Rockstuhl, C.; Goltsman, G.; Pernice, W. Hot-spot relaxation time current dependence in niobium nitride waveguide-integrated superconducting nanowire single-photon detectors. Opt. Express 2017, 25, 8739. [Google Scholar] [CrossRef] [PubMed]
- Allmaras, J.P.; Kozorezov, A.G.; Korzh, B.A.; Berggren, K.K.; Shaw, M.D. Intrinsic timing jitter and latency in superconducting nanowire single-photon detectors. Phys. Rev. Appl. 2019, 11, 034062. [Google Scholar] [CrossRef]
- Dane, A.; Zhu, D.; Onen, M.; Colangelo, M.; Baghdadi, R.; Tambasco, J.L.; Morimoto, Y.; Forno, I.E.; Charaev, I.; Zha, Q. Self-heating hotspots in superconducting nanowires cooled by phonon black-body radiation. Nat. Commun. 2022, 13, 5429. [Google Scholar] [CrossRef]
- Wu, Y.; Ding, Z.; Xiong, K.; Feng, J. High-quality superconducting α-Ta film sputtered on the heated silicon substrate. Sci. Rep. 2023, 13, 12810. [Google Scholar] [CrossRef] [PubMed]
- Harrabi, K.; Gasmi, K.; Mekki, A.; Bahlouli, H.; Kunwar, S.; Milošević, M.V. Detection and measurement of picoseconds-pulsed laser energy using a NbTiN superconducting filament. IEEE Trans. Appl. Supercond. 2023, 33, 2400205. [Google Scholar] [CrossRef]
- Harrabi, K. Hotspot temperatures reached in current-driven superconducting niobium filaments. J. Supercond. Nov. Magn. 2013, 26, 1865. [Google Scholar] [CrossRef]
- Lyatti, M.; Wolff, M.A.; Savenko, A.; Kruth, M.; Ferrari, S.; Poppe, U.; Pernice, W.; Dunin-Borkowski, R.E.; Schuck, C. Experimental evidence for hotspot and phase-slip mechanisms of voltage switching in ultrathin YBa2Cu3O7−x nanowires. Phys. Rev. B 2018, 98, 054505. [Google Scholar] [CrossRef]
- Embon, L.; Anahory, Y.; Jelic, Z.L.; Lachman, E.O.; Myasoedov, Y.; Huber, M.E.; Mikitik, G.P.; Silhanek, A.V.; Milovic, M.V.; Gurevich, A.; et al. Imaging of super-fast dynamics and flow instabilities of superconducting vortices. Nat. Commun. 2017, 8, 85. [Google Scholar] [CrossRef] [PubMed]
- Harrabi, K.; Mekki, A.; Kunwar, S.; Maneval, J.P. Pulse measurement of the hot spot current in a NbTiN superconducting filament. J. Appl. Phys. 2018, 123, 083901. [Google Scholar] [CrossRef]
- Skocpol, J.; Beasley, M.R.; Tinkham, M. Self-heating hotspots in superconducting thin-film microbridges. J. Appl. Phys. 1974, 45, 4054. [Google Scholar] [CrossRef]
- Kardakova, A.; Finkel, M.; Morozov, D.; Kovalyuk, V.; An, P.; Dunscombe, C.; Tarkhov, M.; Mauskopf, P.; Klapwijk, T.; Goltsman, G. The electron-phonon relaxation time in thin superconducting titanium nitride films. Appl. Phys. Lett. 2013, 103, 252602. [Google Scholar] [CrossRef]
- Ladan, F.-R.; Harrabi, K.; Rosticher, M.; Villard, C.; Mathieu, P.; Maneval, J.-P. Current-temperature diagram of resistive states in long superconducting niobium filaments. J. Low Temp. Phys. 2008, 153, 103. [Google Scholar] [CrossRef]
- Chen, R.; Hochbaum, A.I.; Murphy, P.; Moore, J.; Yang, P.; Majumdar, A. Thermal conductance of thin silicon nanowires. Phys. Rev. Lett. 2008, 101, 105501. [Google Scholar] [CrossRef] [PubMed]
- Rothwarf, A.; Taylor, B.N. Measurement of recombination lifetimes in superconductors. Phys. Rev. Lett. 1967, 19, 27. [Google Scholar] [CrossRef]
- Kaplan, S.B. Acoustic matching of superconducting films to substrates. J. Low Temp. Phys. 1979, 37, 343. [Google Scholar] [CrossRef]






Disclaimer/Publisher’s Note: The statements, opinions and data contained in all publications are solely those of the individual author(s) and contributor(s) and not of MDPI and/or the editor(s). MDPI and/or the editor(s) disclaim responsibility for any injury to people or property resulting from any ideas, methods, instructions or products referred to in the content. |
© 2024 by the authors. Licensee MDPI, Basel, Switzerland. This article is an open access article distributed under the terms and conditions of the Creative Commons Attribution (CC BY) license (https://creativecommons.org/licenses/by/4.0/).
Share and Cite
Harrabi, K.; Mekki, A.; Milošević, M.V. Characteristic Times for Gap Relaxation and Heat Escape in Nanothin NbTi Superconducting Filaments: Thickness Dependence and Effect of Substrate. Nanomaterials 2024, 14, 1585. https://doi.org/10.3390/nano14191585
Harrabi K, Mekki A, Milošević MV. Characteristic Times for Gap Relaxation and Heat Escape in Nanothin NbTi Superconducting Filaments: Thickness Dependence and Effect of Substrate. Nanomaterials. 2024; 14(19):1585. https://doi.org/10.3390/nano14191585
Chicago/Turabian StyleHarrabi, Khalil, Abdelkrim Mekki, and Milorad V. Milošević. 2024. "Characteristic Times for Gap Relaxation and Heat Escape in Nanothin NbTi Superconducting Filaments: Thickness Dependence and Effect of Substrate" Nanomaterials 14, no. 19: 1585. https://doi.org/10.3390/nano14191585
APA StyleHarrabi, K., Mekki, A., & Milošević, M. V. (2024). Characteristic Times for Gap Relaxation and Heat Escape in Nanothin NbTi Superconducting Filaments: Thickness Dependence and Effect of Substrate. Nanomaterials, 14(19), 1585. https://doi.org/10.3390/nano14191585

