Up-Conversion Luminescence and Optical Temperature Sensing Properties of NaLuF4:Yb3+/Ho3+ Micron-Sized Crystals at Low Temperature
Abstract
1. Introduction
2. Materials and Methods
2.1. Experimental Materials
2.2. Sample Preparation
2.3. Analytical Methods
3. Results and Discussion
3.1. Sample Characterisation
3.2. UC Luminescence Properties at High and Low Temperatures
3.3. UC Luminescence Mechanism
3.4. Relationship between Decay Lifetime and Temperature
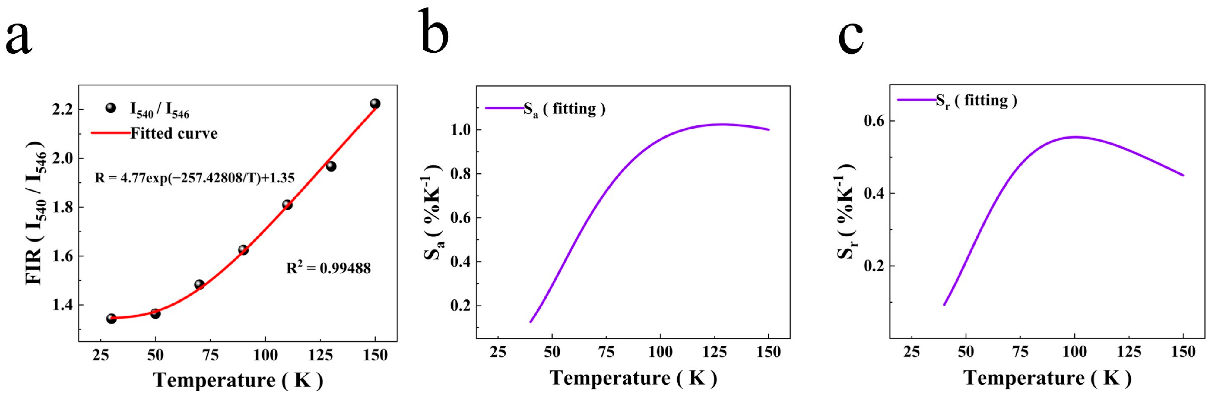
3.5. Optical Temperature Sensing at High and Low Temperatures
4. Conclusions
Author Contributions
Funding
Data Availability Statement
Conflicts of Interest
References
- Chai, X.; Li, J.; Wang, X.; Li, Y.; Yao, X. Upconversion luminescence and temperature-sensing properties of Ho3+/Yb3+-codoped ZnWO4phosphors based on fluorescence intensity ratios. RSC Adv. 2017, 7, 40046–40052. [Google Scholar] [CrossRef]
- Doğan, A.; Erdem, M.; Esmer, K.; Eryürek, G. Upconversion luminescence and temperature sensing characteristics of Ho3+/Yb3+ co-doped tellurite glasses. J. Non-Cryst. Solids 2021, 571, 121055. [Google Scholar] [CrossRef]
- He, A.; Xi, Z.; Li, X.; Long, W.; Fang, P.; Zhang, J. Temperature dependence of upconversion luminescence and sensing sensitivity of Ho3+/Yb3+ modified PSN-PMN-PT crystals. J. Alloys Compd. 2019, 803, 450–455. [Google Scholar] [CrossRef]
- Xu, X.; Wang, Z.; Hou, J.; Zhang, T.; Zhao, X.; Di, S.; Li, Z. Upconversion Emission and Dual-Mode Sensing Characteristics of NaYF4:Yb3+/Er3+ Microcrystals at High and Ultralow Temperatures. Nanomaterials 2024, 14, 871. [Google Scholar] [CrossRef] [PubMed]
- Singh, P.; Shahi, P.K.; Rai, A.; Bahadur, A.; Rai, S.B. Effect of Li+ ion sensitization and optical temperature sensing in Gd2O3: Ho3+/Yb3+. Opt. Mater. 2016, 58, 432–438. [Google Scholar] [CrossRef]
- Singh, P.; Yadav, R.S.; Singh, P.; Rai, S.B. Upconversion and downshifting emissions of Ho3+-Yb3+ co-doped ATiO3 perovskite phosphors with temperature sensing properties in Ho3+-Yb3+ co-doped BaTiO3 phosphor. J. Alloys Compd. 2021, 855, 157452. [Google Scholar] [CrossRef]
- Vishwakarma, P.K.; Shahi, P.K.; Rai, S.B.; Bahadur, A. Low temperature optical sensor based on non-thermally coupled level of Ho3+ and defect level of Zn2+ in Yb3+:Y2Ti2O7 phosphor. J. Phys. Chem. Solids 2020, 142, 109445. [Google Scholar] [CrossRef]
- Liao, J.; Kong, L.; Wang, M.; Sun, Y.; Gong, G. Tunable upconversion luminescence and optical temperature sensing based on non-thermal coupled levels of Lu3NbO7:Yb3+/Ho3+ phosphors. Opt. Mater. 2019, 98, 109452. [Google Scholar] [CrossRef]
- Liu, Z.; Deng, H.; Chen, D. Temperature dependent upconversion properties of Yb3+:Ho3+ co-doped Gd2O3 nanoparticles prepared by pulsed laser ablation in water. Ceram. Int. 2019, 45, 13235–13241. [Google Scholar] [CrossRef]
- Li, W.; Hu, L.; Chen, W.; Sun, S.; Guzik, M.; Boulon, G. The effect of temperature on green and red upconversion emissions of LiYF4:20Yb3+, 1Ho3+ and its application for temperature sensing. J. Alloys Compd. 2021, 866, 158813. [Google Scholar] [CrossRef]
- Zhang, C.; Ding, S.; Wang, M.; Ren, H.; Tang, X.; Zou, Y.; Dou, R.; Liu, W. Upconversion luminescence and optical thermometry behaviors of Yb3+ and Ho3+ co-doped GYTO crystal. Front. Optoelectron. 2023, 16, 31. [Google Scholar] [CrossRef] [PubMed]
- Gao, W.; Cheng, X.; Xing, Y.; Han, S.; Chen, B.; Han, Q.; Yan, X.; Liu, J.; Liu, L.; Dong, J. Enhancement of red upconversion emission intensity of Ho3+ ions in NaLuF4:Yb3+/Ho3+/Ce3+@NaLuF4 core–shell nanoparticles. J. Rare Earths 2022, 40, 517–525. [Google Scholar] [CrossRef]
- Zhou, A.; Song, F.; Song, F.; Min, C.; Ren, X.; An, L.; Yuan, F.; Qin, Y.; Gao, X. Tunable red-to-green emission ratio and temperature sensing properties of NaLuF4:Ho3+/Yb3+ microcrystals by doping with Ce3+ ions. CrystEngComm 2020, 22, 6831–6837. [Google Scholar] [CrossRef]
- Li, K.; Zhu, D.; Yue, C. Exceptional low-temperature fluorescence sensing properties in novel KBaY(MoO4)3:Yb3+,Ho3+ materials based on FIR of Ho3+ transitions 5F5(1)→5I8/5S2→5I8. J. Mater. Chem. C 2022, 10, 6603–6610. [Google Scholar] [CrossRef]
- Grzyb, T.; Tymiński, A. Up-conversion luminescence of GdOF:Yb3+,Ln3+ (Ln = Ho, Tm, Er) nanocrystals. Anal. Chim. Acta 2016, 660, 235–243. [Google Scholar]
- Zhou, J.; Chen, G.; Wu, E.; Bi, G.; Wu, B.; Teng, Y.; Zhou, S.; Qiu, J. Ultrasensitive polarized up-conversion of Tm(3+)-Yb3+ doped beta-NaYF4 single nanorod. Nano Lett. 2013, 13, 2241–2246. [Google Scholar] [CrossRef] [PubMed]
- Zhu, Z. Smartphone-based apparatus for measuring upconversion luminescence lifetimes. Anal. Chim. Acta 2019, 1054, 122–127. [Google Scholar] [CrossRef] [PubMed]
- Wang, Z.; Lin, S.; Liu, Y.; Hou, J.; Xu, X.; Zhao, X.; Wei, B. Influence of NaYF4 Inert and Active Layer on Upconversion Luminescence. Nanomaterials 2022, 12, 3288. [Google Scholar] [CrossRef] [PubMed]
- Kumar, A.; Tiwari, S.P.; Kumar, K.; Rai, V.K. Structural and optical properties of thermal decomposition assisted Gd2O3:Ho3+/Yb3+ upconversion phosphor annealed at different temperatures. Spectrochim. Acta A Mol. Biomol. Spectrosc. 2016, 167, 134–141. [Google Scholar] [CrossRef] [PubMed]
- Singh, A.K. Ho3+:TeO2 glass, a probe for temperature measurements. Sens. Actuators A 2007, 136, 173–177. [Google Scholar] [CrossRef]
- Sha, H.; He, Z.; Li, C.; Wang, X.; Jiang, Q.; Zeng, F.; Su, Z. Lanthanide-doped Sc2O3 for highly sensitive temperature sensor. Opt. Mater. 2019, 93, 39–43. [Google Scholar] [CrossRef]
- Liu, R.; Pan, Y.; Zhang, J.; Zhuang, X.; Wang, Y.; Zhou, X.; Du, S.; Li, H.; Li, W. Upconversion of Yb3+/Ho3+ co-doped bismuth oxyfluoride and fluoride microcrystals for high-performance ratiometric luminescence thermometry. J. Lumin. 2023, 258, 119791. [Google Scholar] [CrossRef]
- Liu, W.; Wang, X.; Zhu, Q.; Li, X.; Sun, X.; Li, J.-G. Upconversion luminescence and favorable temperature sensing performance of eulytite-type Sr3Y(PO4)3:Yb3+/Ln3+ phosphors (Ln = Ho, Er, Tm). Sci. Technol. Adv. 2019, 20, 949–963. [Google Scholar] [CrossRef] [PubMed]
- Kumar, V.; Zoellner, B.; Maggard, P.A.; Wang, G. Effect of doping Ge into Y2O3:Ho,Yb on the green-to-red emission ratio and temperature sensing. Dalton Trans. 2018, 47, 11158–11165. [Google Scholar] [CrossRef] [PubMed]
- Guo, Y.; Wang, D.; He, Y. Fabrication of highly porous Y2O3:Ho,Yb ceramic and its thermometric applications. J. Alloys Compd. 2018, 741, 1158–1162. [Google Scholar] [CrossRef]
- Zhou, S.; Jiang, S.; Wei, X.; Chen, Y.; Duan, C.; Yin, M. Optical thermometry based on upconversion luminescence in Yb3+/Ho3+ co-doped NaLuF4. J. Alloys Compd. 2014, 588, 654–657. [Google Scholar] [CrossRef]
- Pandey, A.; Rai, V.K. Improved luminescence and temperature sensing performance of Ho3+–Yb3+–Zn3+:Y2O3 phosphor. Dalton Trans. 2013, 42, 11005–11011. [Google Scholar] [CrossRef] [PubMed]
- Zhang, J.; Hua, Z. Effect of dopant contents on upconversion luminescence and temperature sensing behavior in Ca3La6Si6O24:Yb3+-Er3+/Ho3+ phosphors. J. Lumin. 2018, 201, 217–223. [Google Scholar] [CrossRef]
- Liu, Z.; Jiang, G.; Wang, R.; Chai, C.; Zheng, L.; Zhang, Z.; Yang, B.; Cao, W. Temperature and concentration effects on upconversion photoluminescence properties of Ho3+ and Yb3+ codoped 0.67Pb(Mg1/3Nb2/3)O3–0.33PbTiO3 multifunctional ceramics. Ceram. Int. 2016, 42, 11309–11313. [Google Scholar] [CrossRef]
- Zhang, J.; Jiang, X.; Hua, Z. Investigation on Upconversion Luminescence and Optical Temperature Sensing Behavior for Ba2Gd2Si4O13:Yb3+-Er3+/Ho3+/Tm3+ Phosphors. Ind. Eng. Chem. Res. 2018, 57, 7507–7515. [Google Scholar] [CrossRef]
- Collins, S.F.; Baxter, G.W.; Wade, S.A.; Sun, T.; Grattan, K.T.V.; Zhang, Z.Y.; Palmer, A.A. Comparison of fluorescence-based temperature sensor schemes: Theoretical analysis and experimental validation. J. Appl. Phys. 1998, 84, 4649–4654. [Google Scholar] [CrossRef]
- Liu, S.; Cui, J.; Jia, J.; Fu, J.; You, W.; Zeng, Q.; Yang, Y.; Ye, X. High sensitive Ln3+/Tm3+/Yb3+ (Ln3+ = Ho3+, Er3+) tri-doped Ba3Y4O9 upconverting optical thermometric materials based on diverse thermal response from non-thermally coupled energy levels. Ceram. Int. 2019, 45, 1–10. [Google Scholar] [CrossRef]
- Zhang, Y.; Zhang, N.; Wang, P.; Zheng, X.; Guo, Y.; Liu, H. Enhancement of up-conversion luminescence efficiency and temperature sensing properties in BaWO4: Ho3+/Yb3+ phosphor via Gd3+ incorporation. Mater. Today Commun. 2022, 33, 104589. [Google Scholar] [CrossRef]
- Haro-González, P.; León-Luis, S.F.; González-Pérez, S.; Martín, I.R. Analysis of Er3+ and Ho3+ codoped fluoroindate glasses as wide range temperature sensor. Mater. Res. 2011, 46, 1051–1054. [Google Scholar] [CrossRef]
- Singh, A.K.; Rai, S.B. Upconversion and optical thermometry in Ho3+:TeO2 glass, effect of addition of PbO2 and BaCO3. Appl. Phys. B 2006, 86, 661–666. [Google Scholar] [CrossRef]
- Men, F.; Cao, B.; Cong, Y.; He, Y.; Zhang, Z.; Feng, Z.; Dong, B. Thermal-enhanced near-infrared upconversion luminescence of Er3+ for high-sensitive optical temperature sensing. J. Lumin. 2021, 236, 118153. [Google Scholar] [CrossRef]
- Li, D.; Wang, Y.; Zhang, X.; Yang, K.; Liu, L.; Song, Y. Optical temperature sensor through infrared excited blue upconversion emission in Tm3+/Yb3+ codoped Y2O3. Opt. Commun. 2012, 285, 1925–1928. [Google Scholar] [CrossRef]












| Sample | Energy Level | Temperature/K | Sa,max/%K−1 | Sr,max/%K−1 | Ref. |
|---|---|---|---|---|---|
| Sr3Y0.88(PO4)3:Yb3+/Ho3+ | 5F4/5F5→5I8 | 298–573 | 0.42 | 0.16 | [23] |
| Y2O3:Yb3+/Ho3+/Ge2+ | 5F4/5F5→5I8 | 300–400 | 0.52 | 0.62 | [24] |
| Y2O3:Yb3+/Ho3+ | 5F4/5F5→5I8 | 293–873 | 3.08 | 0.38 | [25] |
| NaLuF4:Yb3+/Ho3+ | 5F4/5F5→5I8 | 390–780 | 0.08 | 0.83 | [26] |
| Y2O3:Yb3+/Ho3+/Zn2+ | 5F4/5F5→5I8 | 300–673 | 0.30 | 0.23 | [27] |
| NaLuF4:Yb3+/Ho3+/Ce3+ | 5F4/5F5→5I8 | 303–573 | 4.37 | - | [13] |
| Ca3La6Si6O24:Yb3+/Ho3+ | 5F4/5F5→5I8 | 293–573 | - | 0.0015 | [28] |
| Pb(Mg1/3Nb2/3)O3–PbTiO3:Yb3+/Ho3+ | 5F4/5F5→5I8 | 298–553 | - | 0.0077 | [29] |
| NaLuF4:Yb3+/Ho3+ | 5F4/5F5→5I8 | 363–483 | 0.049 | 0.71 | This work |
| Sample | Energy Level | Temperature/K | Sa,max/%K−1 | Sr,max/%K−1 | Ref. |
|---|---|---|---|---|---|
| Ba3Y4O9:Yb3+/Ho3+/Tm3+ | 5F4/5S2→5I8 | 298–573 | 0.18 | - | [32] |
| BaWO4:Yb3+/Ho3+/Gd3+ | 5F4/5S2→5I8 | 303–473 | 0.203 | - | [33] |
| In–Zn–Sr–Ba:Ho3+/Er3+ | 5F4/5S2→5I8,5I7 | 20–300 | - | 0.36 | [34] |
| NaLuF4:Yb3+/Ho3+ | 5F4/5S2→5I8 | 390–780 | 0.14 | 0.83 | [26] |
| Y2O3:Yb3+/Ho3+ | 5F4/5S2→5I8 | 300–500 | 0.52 | - | [35] |
| Gd2O3:Ho3+/Yb3+/Li+ | 5F4/5S2→5I8 | 300–623 | 0.92 | - | [5] |
| NaLuF4:Yb3+/Ho3+ | 5F4/5S2→5I8 | 30–150 | 1.02 | 0.55 | This work |
Disclaimer/Publisher’s Note: The statements, opinions and data contained in all publications are solely those of the individual author(s) and contributor(s) and not of MDPI and/or the editor(s). MDPI and/or the editor(s) disclaim responsibility for any injury to people or property resulting from any ideas, methods, instructions or products referred to in the content. |
© 2024 by the authors. Licensee MDPI, Basel, Switzerland. This article is an open access article distributed under the terms and conditions of the Creative Commons Attribution (CC BY) license (https://creativecommons.org/licenses/by/4.0/).
Share and Cite
Zhang, T.; Wang, Z.; Hou, J.; Xu, X.; Zhao, X.; Li, Z.; Di, S. Up-Conversion Luminescence and Optical Temperature Sensing Properties of NaLuF4:Yb3+/Ho3+ Micron-Sized Crystals at Low Temperature. Nanomaterials 2024, 14, 1292. https://doi.org/10.3390/nano14151292
Zhang T, Wang Z, Hou J, Xu X, Zhao X, Li Z, Di S. Up-Conversion Luminescence and Optical Temperature Sensing Properties of NaLuF4:Yb3+/Ho3+ Micron-Sized Crystals at Low Temperature. Nanomaterials. 2024; 14(15):1292. https://doi.org/10.3390/nano14151292
Chicago/Turabian StyleZhang, Tian, Zhaojin Wang, Jin Hou, Xinyi Xu, Xin Zhao, Zijie Li, and Siyi Di. 2024. "Up-Conversion Luminescence and Optical Temperature Sensing Properties of NaLuF4:Yb3+/Ho3+ Micron-Sized Crystals at Low Temperature" Nanomaterials 14, no. 15: 1292. https://doi.org/10.3390/nano14151292
APA StyleZhang, T., Wang, Z., Hou, J., Xu, X., Zhao, X., Li, Z., & Di, S. (2024). Up-Conversion Luminescence and Optical Temperature Sensing Properties of NaLuF4:Yb3+/Ho3+ Micron-Sized Crystals at Low Temperature. Nanomaterials, 14(15), 1292. https://doi.org/10.3390/nano14151292
