Enhanced Cadmium Adsorption Dynamics in Water and Soil by Polystyrene Microplastics and Biochar
Abstract
1. Introduction
2. Materials and Methods
2.1. Competitive Adsorption of Biochar
2.1.1. Adsorption Kinetics Experiments
2.1.2. Adsorption Isotherm Experiments
2.1.3. Soil Incubation Experiment under PS and Cd Co-Existence
2.2. Environmental Analysis
2.2.1. Characterization Analysis of Test Materials
2.2.2. Adsorption Kinetics Experiments
2.2.3. Adsorption Isotherm Experiments
2.2.4. Speciation Analysis of Test Cadmium
2.3. Data Analysis
3. Results and Discussion
3.1. Analysis of Material Properties
3.1.1. Pore Size Analysis of PS and BC
3.1.2. Functional Group Analysis of PS and BC
3.2. Adsorption Characteristics of BC for Cd in Coexistence with PS
3.2.1. Adsorption Kinetics Analysis
3.2.2. Adsorption Isotherm Models
3.2.3. Cadmium Adsorption by PS and BC
3.3. Cd Speciation Changes in Soil with Coexisting PS and BC
3.3.1. Effects of PS on the Content and Change Rate of Cd Speciation
3.3.2. Effects of PS on Total Cd Content and Change Rate of Cd Speciation
3.3.3. Distribution of Cd Speciation in Soil with Coexisting PS and BC
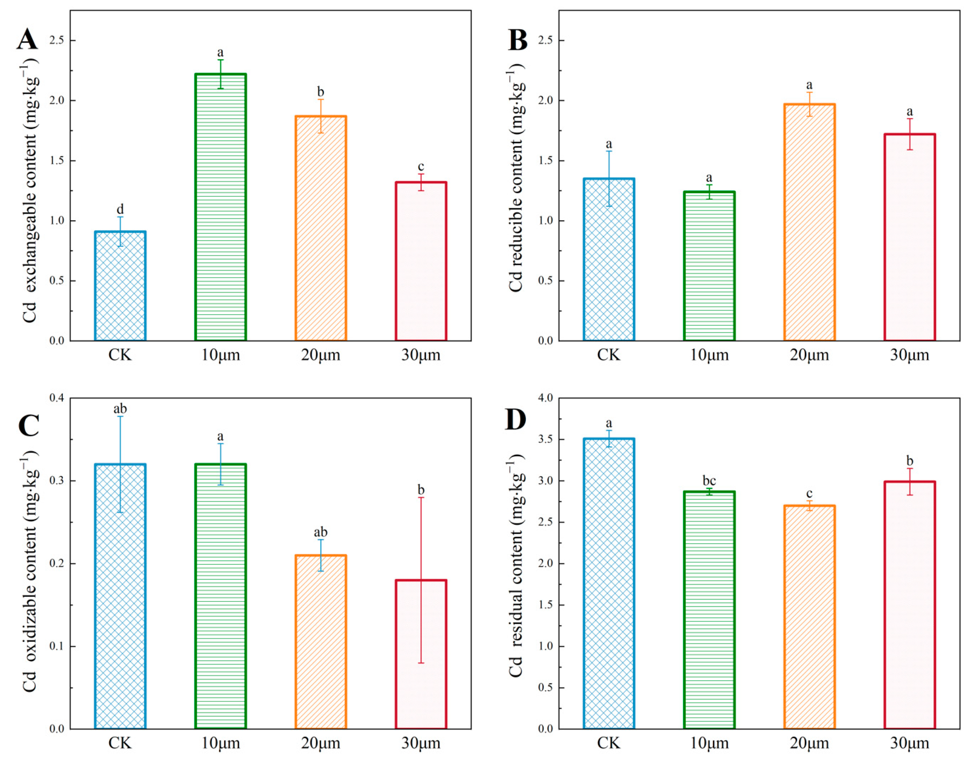
3.3.4. Effects of Different Particle Sizes of PS on Cd Speciation
3.3.5. Effects of Different Concentrations of PS on Cd speciation
3.4. Mechanism of Biochar in the Co-Pollution of PS Microplastics and Cd
4. Conclusions
Author Contributions
Funding
Data Availability Statement
Conflicts of Interest
References
- Cózar, A.; Echevarría, F.; González-Gordillo, J.I.; Irigoien, X.; Úbeda, B.; Hernández-León, S.; Palma, Á.T.; Navarro, S.; García-de-Lomas, J.; Ruiz, A.; et al. Plastic Debris in the Open Ocean. Proc. Natl. Acad. Sci. USA 2014, 111, 10239–10244. [Google Scholar] [CrossRef] [PubMed]
- Thompson, R.C.; Olsen, Y.; Mitchell, R.P.; Davis, A.; Rowland, S.J.; John, A.W.G.; McGonigle, D.; Russell, A.E. Lost at Sea: Where Is All the Plastic? Science 2004, 304, 838. [Google Scholar] [CrossRef] [PubMed]
- Cole, M.; Lindeque, P.; Halsband, C.; Galloway, T.S. Microplastics as Contaminants in the Marine Environment: A Review. Mar. Pollut. Bull. 2011, 62, 2588–2597. [Google Scholar] [CrossRef] [PubMed]
- De Souza Machado, A.A.; Kloas, W.; Zarfl, C.; Hempel, S.; Rillig, M.C. Microplastics as an Emerging Threat to Terrestrial Ecosystems. Glob. Chang. Biol. 2018, 24, 1405–1416. [Google Scholar] [CrossRef] [PubMed]
- Chen, B.; Zhang, Z.; Wang, T.; Hu, H.; Qin, G.; Lu, T.; Hong, W.; Hu, J.; Penuelas, J.; Qian, H. Global Distribution of Marine Microplastics and Potential for Biodegradation. J. Hazard. Mater. 2023, 451, 131198. [Google Scholar] [CrossRef] [PubMed]
- Nizzetto, L.; Futter, M.; Langaas, S. Are Agricultural Soils Dumps for Microplastics of Urban Origin? Environ. Sci. Technol. 2016, 50, 10777–10779. [Google Scholar] [CrossRef] [PubMed]
- Ng, E.-L.; Huerta Lwanga, E.; Eldridge, S.M.; Johnston, P.; Hu, H.-W.; Geissen, V.; Chen, D. An Overview of Microplastic and Nanoplastic Pollution in Agroecosystems. Sci. Total Environ. 2018, 627, 1377–1388. [Google Scholar] [CrossRef] [PubMed]
- Wu, H.; Hou, J.; Wang, X. A Review of Microplastic Pollution in Aquaculture: Sources, Effects, Removal Strategies and Prospects. Ecotoxicol. Environ. Saf. 2023, 252, 114567. [Google Scholar] [CrossRef] [PubMed]
- Koutsikos, N.; Koi, A.M.; Zeri, C.; Tsangaris, C.; Dimitriou, E.; Kalantzi, O.-I. Exploring Microplastic Pollution in a Mediterranean River: The Role of Introduced Species as Bioindicators. Heliyon 2023, 9, e15069. [Google Scholar] [CrossRef]
- Zhang, J.; Li, Z.; Zhou, X.; Ding, W.; Wang, X.; Zhao, M.; Li, H.; Zou, G.; Chen, Y. Long-Term Application of Organic Compost Is the Primary Contributor to Microplastic Pollution of Soils in a Wheat–Maize Rotation. Sci. Total Environ. 2023, 866, 161123. [Google Scholar] [CrossRef]
- Weithmann, N.; Möller, J.N.; Löder, M.G.J.; Piehl, S.; Laforsch, C.; Freitag, R. Organic Fertilizer as a Vehicle for the Entry of Microplastic into the Environment. Sci. Adv. 2018, 4, eaap8060. [Google Scholar] [CrossRef] [PubMed]
- Liu, M.; Lu, S.; Song, Y.; Lei, L.; Hu, J.; Lv, W.; Zhou, W.; Cao, C.; Shi, H.; Yang, X.; et al. Microplastic and Mesoplastic Pollution in Farmland Soils in Suburbs of Shanghai, China. Environ. Pollut. 2018, 242, 855–862. [Google Scholar] [CrossRef] [PubMed]
- Zhang, G.S.; Liu, Y.F. The Distribution of Microplastics in Soil Aggregate Fractions in Southwestern China. Sci. Total Environ. 2018, 642, 12–20. [Google Scholar] [CrossRef] [PubMed]
- Browne, M.A.; Niven, S.J.; Galloway, T.S.; Rowland, S.J.; Thompson, R.C. Microplastic Moves Pollutants and Additives to Worms, Reducing Functions Linked to Health and Biodiversity. Curr. Biol. 2013, 23, 2388–2392. [Google Scholar] [CrossRef] [PubMed]
- Sarkar, D.J.; Das Sarkar, S.; Das, B.K.; Sahoo, B.K.; Das, A.; Nag, S.K.; Manna, R.K.; Behera, B.K.; Samanta, S. Occurrence, Fate and Removal of Microplastics as Heavy Metal Vector in Natural Wastewater Treatment Wetland System. Water Res. 2021, 192, 116853. [Google Scholar] [CrossRef] [PubMed]
- Koelmans, A.A.; Bakir, A.; Burton, G.A.; Janssen, C.R. Microplastic as a Vector for Chemicals in the Aquatic Environment: Critical Review and Model-Supported Reinterpretation of Empirical Studies. Environ. Sci. Technol. 2016, 50, 3315–3326. [Google Scholar] [CrossRef] [PubMed]
- Hodson, M.E.; Duffus-Hodson, C.A.; Clark, A.; Prendergast-Miller, M.T.; Thorpe, K.L. Plastic Bag Derived-Microplastics as a Vector for Metal Exposure in Terrestrial Invertebrates. Environ. Sci. Technol. 2017, 51, 4714–4721. [Google Scholar] [CrossRef] [PubMed]
- Zhou, Y.; Li, Y.; Lan, W.; Jiang, H.; Pan, K. Short-Term Exposure to MPs and DEHP Disrupted Gill Functions in Marine Bivalves. Nanomaterials 2022, 12, 4077. [Google Scholar] [CrossRef] [PubMed]
- Kaur, M.; Shen, C.; Wang, L.; Xu, M. Exploration of Single and Co-Toxic Effects of Polypropylene Micro-Plastics and Cadmium on Rice (Oryza sativa L.). Nanomaterials 2022, 12, 3967. [Google Scholar] [CrossRef]
- Jian, M.; Niu, J.; Li, W.; Huang, Y.; Yu, H.; Lai, Z.; Liu, S.; Xu, E.G. How Do Microplastics Adsorb Metals? A Preliminary Study under Simulated Wetland Conditions. Chemosphere 2022, 309, 136547. [Google Scholar] [CrossRef]
- Liu, Y.; Xiao, T.; Zhu, Z.; Ma, L.; Li, H.; Ning, Z. Geogenic Pollution, Fractionation and Potential Risks of Cd and Zn in Soils from a Mountainous Region Underlain by Black Shale. Sci. Total Environ. 2021, 760, 143426. [Google Scholar] [CrossRef]
- Wang, S.; Fu, Y.; Zheng, S.; Xu, Y.; Sun, Y. Phytotoxicity and Accumulation of Copper-Based Nanoparticles in Brassica under Cadmium Stress. Nanomaterials 2022, 12, 1497. [Google Scholar] [CrossRef] [PubMed]
- Song, W.; Chen, B.M.; Liu, L. Soil Heavy Metal Pollution of Cultivated Land in China. Res. Soil Water Conserv. 2013, 20, 293–298. [Google Scholar]
- Zong, X.; Zhang, J.; Zhu, J.; Zhang, L.; Jiang, L.; Yin, Y.; Guo, H. Effects of Polystyrene Microplastic on Uptake and Toxicity of Copper and Cadmium in Hydroponic Wheat Seedlings (Triticum aestivum L.). Ecotoxicol. Environ. Saf. 2021, 217, 112217. [Google Scholar] [CrossRef] [PubMed]
- Yang, G.-L.; Zheng, M.-M.; Liao, H.-M.; Tan, A.-J.; Feng, D.; Lv, S.-M. Influence of Cadmium and Microplastics on Physiological Responses, Ultrastructure and Rhizosphere Microbial Community of Duckweed. Ecotoxicol. Environ. Saf. 2022, 243, 114011. [Google Scholar] [CrossRef] [PubMed]
- Godoy, V.; Blázquez, G.; Calero, M.; Quesada, L.; Martín-Lara, M.A. The Potential of Microplastics as Carriers of Metals. Environ. Pollut. 2019, 255, 113363. [Google Scholar] [CrossRef]
- Zhang, C.; Lin, C.; Li, L.; Mohsen, M.; Wang, T.; Wang, X.; Zhang, L.; Huang, W. Single and Combined Effects of Microplastics and Cadmium on the Sea Cucumber Apostichopus japonicus. Mar. Environ. Res. 2023, 186, 105927. [Google Scholar] [CrossRef] [PubMed]
- Prata, J.C.; Da Costa, J.P.; Lopes, I.; Duarte, A.C.; Rocha-Santos, T. Effects of Microplastics on Microalgae Populations: A Critical Review. Sci. Total Environ. 2019, 665, 400–405. [Google Scholar] [CrossRef] [PubMed]
- Wang, Y.-S.; Wang, X.-Y. Multi-Characterizations of the Hydration, Microstructure, and Mechanical Properties of a Biochar–Limestone Calcined Clay Cement (LC3) Mixture. J. Mater. Res. Technol. 2023, 24, 3691–3703. [Google Scholar] [CrossRef]
- Zhang, K.; Yi, Y.; Fang, Z. Remediation of Cadmium or Arsenic Contaminated Water and Soil by Modified Biochar: A Review. Chemosphere 2023, 311, 136914. [Google Scholar] [CrossRef]
- Xu, Y.; Liao, H.; Zhang, J.; Lu, H.; He, X.; Zhang, Y.; Wu, Z.; Wang, H.; Lu, M. A Novel Ca-Modified Biochar for Efficient Recovery of Phosphorus from Aqueous Solution and Its Application as a Phosphorus Biofertilizer. Nanomaterials 2022, 12, 2755. [Google Scholar] [CrossRef] [PubMed]
- Li, T.; Li, J.; Zhan, X.; Wang, X.; He, B.; Cao, F.; Liao, C.; Yu, Y.; Zhang, Z.; Zhang, J.; et al. Application of Exogenous Iron Alters the Microbial Community Structure and Reduces the Accumulation of Cadmium and Arsenic in Rice (Oryza sativa L.). Nanomaterials 2022, 12, 1311. [Google Scholar] [CrossRef] [PubMed]
- Zhang, R.; Zhang, R.; Zimmerman, A.R.; Wang, H.; Gao, B. Applications, Impacts, and Management of Biochar Persistent Free Radicals: A Review. Environ. Pollut. 2023, 327, 121543. [Google Scholar] [CrossRef] [PubMed]
- Jiang, Y.; Xing, Y.; Liu, S.; Tan, S.; Huang, Q.; Luo, X.; Chen, W. A Longer Biodegradation Process Enhances the Cadmium Adsorption of the Biochar Derived from a Manure Mix. Biomass Bioenergy 2023, 173, 106787. [Google Scholar] [CrossRef]
- Xu, X.; Cao, X.; Zhao, L.; Wang, H.; Yu, H.; Gao, B. Removal of Cu, Zn, and Cd from Aqueous Solutions by the Dairy Manure-Derived Biochar. Environ. Sci. Pollut. Res. 2013, 20, 358–368. [Google Scholar] [CrossRef] [PubMed]
- Cui, L.; Noerpel, M.R.; Scheckel, K.G.; Ippolito, J.A. Wheat Straw Biochar Reduces Environmental Cadmium Bioavailability. Environ. Int. 2019, 126, 69–75. [Google Scholar] [CrossRef] [PubMed]
- Harvey, O.R.; Herbert, B.E.; Rhue, R.D.; Kuo, L.-J. Metal Interactions at the Biochar-Water Interface: Energetics and Structure-Sorption Relationships Elucidated by Flow Adsorption Microcalorimetry. Environ. Sci. Technol. 2011, 45, 5550–5556. [Google Scholar] [CrossRef] [PubMed]
- Pathy, A.; Pokharel, P.; Chen, X.; Balasubramanian, P.; Chang, S.X. Activation Methods Increase Biochar’s Potential for Heavy-Metal Adsorption and Environmental Remediation: A Global Meta-Analysis. Sci. Total Environ. 2023, 865, 161252. [Google Scholar] [CrossRef] [PubMed]
- Zhang, H.; Tian, S.; Zhu, Y.; Zhong, W.; Qiu, R.; Han, L. Insight into the Adsorption Isotherms and Kinetics of Pb (II) on Pellet Biochar via in-Situ Non-Destructive 3D Visualization Using Micro-Computed Tomography. Bioresour. Technol. 2022, 358, 127406. [Google Scholar] [CrossRef]
- Ma, F.; Zhao, H.; Zheng, X.; Zhao, B.; Diao, J.; Jiang, Y. Enhanced Adsorption of Cadmium from Aqueous Solution by Amino Modification Biochar and Its Adsorption Mechanism Insight. J. Environ. Chem. Eng. 2023, 11, 109747. [Google Scholar] [CrossRef]
- Yuan, S.; Hong, M.; Li, H.; Ye, Z.; Gong, H.; Zhang, J.; Huang, Q.; Tan, Z. Contributions and Mechanisms of Components in Modified Biochar to Adsorb Cadmium in Aqueous Solution. Sci. Total Environ. 2020, 733, 139320. [Google Scholar] [CrossRef] [PubMed]
- Zhao, X.; Yuan, P.; Yang, Z.; Peng, W.; Meng, X.; Cheng, J. Integration of Micro-Nano-Engineered Hydroxyapatite/Biochars with Optimized Sorption for Heavy Metals and Pharmaceuticals. Nanomaterials 2022, 12, 1988. [Google Scholar] [CrossRef] [PubMed]
- Yuan, S.; Zhang, J.; Tan, Z. In-Situ Passivation Mechanism of Modified Silicate Composite Biochar on Soil Cadmium. J. Environ. Chem. Eng. 2022, 10, 109007. [Google Scholar] [CrossRef]
- Zong, Y.; Wang, X.; Zhang, H.; Li, Y.; Yu, J.; Wang, C.; Cai, Z.; Wei, J.; Ding, L. Preparation of a Ternary Composite Based on Water Caltrop Shell Derived Biochar and Gelatin/Alginate for Cadmium Removal from Contaminated Water: Performances Assessment and Mechanism Insight. Int. J. Biol. Macromol. 2023, 234, 123637. [Google Scholar] [CrossRef] [PubMed]
- Ghassemi-Golezani, K.; Farhangi-Abriz, S. Biochar Related Treatments Improved Physiological Performance, Growth and Productivity of Mentha crispa L. Plants under Fluoride and Cadmium Toxicities. Ind. Crops Prod. 2023, 194, 116287. [Google Scholar] [CrossRef]
- Gao, Z.; Shan, D.; He, J.; Huang, T.; Mao, Y.; Tan, H.; Shi, H.; Li, T.; Xie, T. Effects and Mechanism on Cadmium Adsorption Removal by CaCl2-Modified Biochar from Selenium-Rich Straw. Bioresour. Technol. 2023, 370, 128563. [Google Scholar] [CrossRef] [PubMed]
- Amalina, F.; Krishnan, S.; Zularisam, A.W.; Nasrullah, M. Recent Advancement and Applications of Biochar Technology as a Multifunctional Component towards Sustainable Environment. Environ. Dev. 2023, 46, 100819. [Google Scholar] [CrossRef]
- Yu, H.; Hou, J.; Dang, Q.; Cui, D.; Xi, B.; Tan, W. Decrease in Bioavailability of Soil Heavy Metals Caused by the Presence of Microplastics Varies across Aggregate Levels. J. Hazard. Mater. 2020, 395, 122690. [Google Scholar] [CrossRef] [PubMed]
- Wang, F.; Yang, W.; Cheng, P.; Zhang, S.; Zhang, S.; Jiao, W.; Sun, Y. Adsorption Characteristics of Cadmium onto Microplastics from Aqueous Solutions. Chemosphere 2019, 235, 1073–1080. [Google Scholar] [CrossRef]
- Wang, L.; Zeraatpisheh, M.; Wei, Z.; Xu, M. Heavy Metal Pollution and Risk Assessment of Farmland Soil around Abandoned Domestic Waste Dump in Kaifeng City. Front. Environ. Sci. 2022, 10, 946298. [Google Scholar] [CrossRef]
- Rauret, G.; López-Sánchez, J.F.; Sahuquillo, A.; Rubio, R.; Davidson, C.; Ure, A.; Quevauviller, P. Improvement of the BCR Three Step Sequential Extraction Procedure Prior to the Certification of New Sediment and Soil Reference Materials. J. Environ. Monit. 1999, 1, 57–61. [Google Scholar] [CrossRef] [PubMed]
- Yu, A.; Sun, X.; Tang, S.; Zhang, Y.; Li, M.; Wang, X. Adsorption Mechanism of Cadmium on Polystyrene Microplastics Containing Hexabromocyclododecane. Environ. Technol. Innov. 2021, 24, 102036. [Google Scholar] [CrossRef]
- Lin, J.; Liu, H.; Li, X.; Li, X. Influence of Sludge Treatment Methods on Behaviors of Microplastics Adsorbed Cadmium and Its Driving Factors. J. Environ. Manag. 2022, 322, 116113. [Google Scholar] [CrossRef] [PubMed]
- Holmes, L.A.; Turner, A.; Thompson, R.C. Adsorption of Trace Metals to Plastic Resin Pellets in the Marine Environment. Environ. Pollut. 2012, 160, 42–48. [Google Scholar] [CrossRef] [PubMed]
- Nkoh, J.N.; Ajibade, F.O.; Atakpa, E.O.; Baquy, M.A.-A.; Mia, S.; Odii, E.C.; Xu, R. Reduction of Heavy Metal Uptake from Polluted Soils and Associated Health Risks through Biochar Amendment: A Critical Synthesis. J. Hazard. Mater. Adv. 2022, 6, 100086. [Google Scholar] [CrossRef]
- Zhao, M.; Huang, L.; Arulmani, S.R.B.; Yan, J.; Wu, L.; Wu, T.; Zhang, H.; Xiao, T. Adsorption of Different Pollutants by Using Microplastic with Different Influencing Factors and Mechanisms in Wastewater: A Review. Nanomaterials 2022, 12, 2256. [Google Scholar] [CrossRef]
- Ren, X.; Tang, J.; Wang, L.; Sun, H. Combined Effects of Microplastics and Biochar on the Removal of Polycyclic Aromatic Hydrocarbons and Phthalate Esters and Its Potential Microbial Ecological Mechanism. Front. Microbiol. 2021, 12, 647766. [Google Scholar] [CrossRef] [PubMed]
- Liu, C.; Yan, X.; Zhang, H.-X.; Yang, J.; Yoon, K.-B. Biochars and Modified-Biochars for Toxic-Metal/Metalloid Ions Sorption in Various Mixed Solution Systems: A Review on Kinetic and Isotherm Models. Desalination Water Treat. 2024, 319, 100404. [Google Scholar] [CrossRef]
- Miao, J.; Chen, Y.; Zhang, E.; Yang, Y.; Sun, K.; Gao, B. Effects of Microplastics and Biochar on Soil Cadmium Availability and Wheat Plant Performance. GCB Bioenergy 2023, 15, 1046–1057. [Google Scholar] [CrossRef]








| Naming | BC | PS10 (10 μm) | PS20 (20 μm) | PS30 (30 μm) |
|---|---|---|---|---|
| BC | 1 | 0 | 0 | 0 |
| PS10+BC | 1 | 1 | 0 | 0 |
| PS20+BC | 1 | 0 | 1 | 0 |
| PS30+BC | 1 | 0 | 0 | 1 |
| Indicators | Mean ± SD | |
|---|---|---|
| Property | pH | 7.68 ± 0.36 |
| OM (%) | 2.03% ± 0.95% | |
| TN (%) | 16% ± 4% | |
| AP (g·kg−1) | 0.24 ± 0.05 | |
| Element | Cr (mg·kg−1) | 90.96 ± 11.01 |
| Ni (mg·kg−1) | 252.31 ± 24.08 | |
| Cu (mg·kg−1) | 128.58 ± 25.36 | |
| Zn (mg·kg−1) | 486.57 ± 105.31 | |
| As (mg·kg−1) | 15.82 ± 0.83 | |
| Cd (mg·kg−1) | 6.09 ± 0.16 | |
| Pb (mg·kg−1) | 80.57 ± 7.94 |
| Experiment No. | PS Addition (g) | PS Particle Size (μm) | Water (mL) | Soil Sample (g) | Soil Microplastic Content (g·kg−1) |
|---|---|---|---|---|---|
| CK | 0 | / | 50 | 100 | / |
| PS10C1 | 0.05 | 10 | 50 | 100 | 0.5 |
| PS10C2 | 0.5 | 10 | 50 | 100 | 5 |
| PS10C3 | 5 | 10 | 50 | 100 | 50 |
| PS20C1 | 0.05 | 20 | 50 | 100 | 0.5 |
| PS20C2 | 0.5 | 20 | 50 | 100 | 5 |
| PS20C3 | 5 | 20 | 50 | 100 | 50 |
| PS30C1 | 0.05 | 30 | 50 | 100 | 0.5 |
| PS30C2 | 0.5 | 30 | 50 | 100 | 5 |
| PS30C3 | 5 | 30 | 50 | 100 | 50 |
| Particles | Specific Surface Area (m2·g−1) | Pore Volume (cm3·g−1) | Pore Size and Range (nm) |
|---|---|---|---|
| BC | 12.899 | 0.0346 | 10.307 (2.3–288.7) |
| PS10 | 13.694 | 0.0308 | 7.667 (2.2–208.8) |
| PS20 | 15.055 | 0.0271 | 6.237 (2.2–301.7) |
| PS30 | 9.689 | 0.0218 | 7.297 (2.02–334.9) |
| Model | Parameter | PS10 | BC |
|---|---|---|---|
| First-order | qe theoretical (g·kg−1) | 3.7235 | 5.1361 |
| qe actual (g·kg−1) | 4.2167 | 5.8065 | |
| k1 (h−1) | 0.0282 | 0.0541 | |
| R2 | 0.7771 | 0.7137 | |
| Second-order | qe theoretical (g·kg−1) | 2.8257 | 5.4431 |
| qe actual (g·kg−1) | 4.2167 | 5.8065 | |
| k2 (kg·g−1h−1) | 0.0116 | 0.0139 | |
| R2 | 0.8642 | 0.8008 |
| Model | Parameter | PS10 | BC |
|---|---|---|---|
| Langmuir | Qmax (g·kg−1) | 14.132 | 16.392 |
| KL (L·g−1) | 0.213 | 0.558 | |
| R2 | 0.9159 | 0.8019 | |
| Freundlich | N | 0.664 | 0.473 |
| K2(g(1−n)·Ln·kg−1) | 2.605 | 5.963 | |
| R2 | 0.9889 | 0.9288 |
| Adsorbent Material | n | Kf | R2 |
|---|---|---|---|
| PS10 | 0.664 | 2.605 | 0.9889 |
| PS20 | 0.296 | 6.456 | 0.9649 |
| PS30 | 1.249 | 7.327 | 0.9966 |
| PS10+BC | 1.022 | 7.381 | 0.9848 |
| PS20+BC | 1.400 | 4.552 | 0.9890 |
| PS30+BC | 0.917 | 6.479 | 0.9439 |
| Group | Exchangeable Content (mg·kg−1) | Rate (%) | Reducible Content (mg·kg−1) | Rate (%) | Oxidizable Content (mg·kg−1) | Rate (%) | Residual Content (mg·kg−1) | Rate (%) |
|---|---|---|---|---|---|---|---|---|
| CK | 0.91 ± 0.122 d | / | 1.35 ± 0.229 ef | / | 0.32 ± 0.058 abc | / | 3.51 ± 0.158 ab | / |
| PS10C1 | 2.25 ± 0.324 a | +147.73 | 1.16 ± 0.115 g | −14.07 | 0.32 ± 0.024 ab | +0.09 | 2.91 ± 0.201 a | −17.09 |
| PS10C2 | 2.34 ± 0.549 a | +158.28 | 1.27 ± 0.156 fg | −5.92 | 0.35 ± 0.077 a | +26.52 | 2.88 ± 0.314 b | −17.95 |
| PS10C3 | 2.10 ± 0.001 ab | +131.06 | 1.29 ± 0.317 ef | −4.44 | 0.30 ± 0.046 abc | −5.14 | 2.84 ± 0.025 ab | −19.09 |
| PS20C1 | 1.72 ± 0.123 bc | +89.48 | 2.01 ± 0.335 abc | +48.89 | 0.24 ± 0.026 abc | −8.80 | 2.73 ± 0.253 ab | −22.22 |
| PS20C2 | 1.91 ± 0.631 a | +111.01 | 1.86 ± 0.095 ab | +37.78 | 0.20 ± 0.020 abc | −37.76 | 2.64 ± 0.309 ab | −24.79 |
| PS20C3 | 2.00 ± 0.224 abc | +120.40 | 2.06 ± 0.419 a | +52.59 | 0.21 ± 0.117 bc | −53.93 | 2.75 ± 0.564 ab | −21.65 |
| PS30C1 | 1.35 ± 0.304 cd | +49.07 | 1.62 ± 0.004 cd | +20.00 | 0.31 ± 0.023 abc | −6.64 | 2.93 ± 0.230 ab | −16.52 |
| PS30C2 | 1.38 ± 0.061 cd | +147.73 | 1.69 ± 0.125 de | +25.19 | 0.15 ± 0.011 abc | −35.95 | 2.87 ± 0.177 ab | −18.23 |
| PS30C3 | 1.24 ± 0.426 cd | +36.26 | 1.87 ± 0.077 bcd | +38.52 | 0.11 ± 0.037 c | −66.77 | 3.17 ± 0.285 ab | −9.69 |
Disclaimer/Publisher’s Note: The statements, opinions and data contained in all publications are solely those of the individual author(s) and contributor(s) and not of MDPI and/or the editor(s). MDPI and/or the editor(s) disclaim responsibility for any injury to people or property resulting from any ideas, methods, instructions or products referred to in the content. |
© 2024 by the authors. Licensee MDPI, Basel, Switzerland. This article is an open access article distributed under the terms and conditions of the Creative Commons Attribution (CC BY) license (https://creativecommons.org/licenses/by/4.0/).
Share and Cite
Wang, M.; Jiang, X.; Wei, Z.; Wang, L.; Song, J.; Cen, P. Enhanced Cadmium Adsorption Dynamics in Water and Soil by Polystyrene Microplastics and Biochar. Nanomaterials 2024, 14, 1067. https://doi.org/10.3390/nano14131067
Wang M, Jiang X, Wei Z, Wang L, Song J, Cen P. Enhanced Cadmium Adsorption Dynamics in Water and Soil by Polystyrene Microplastics and Biochar. Nanomaterials. 2024; 14(13):1067. https://doi.org/10.3390/nano14131067
Chicago/Turabian StyleWang, Mengmeng, Xuyou Jiang, Zhangdong Wei, Lin Wang, Jiashu Song, and Peitong Cen. 2024. "Enhanced Cadmium Adsorption Dynamics in Water and Soil by Polystyrene Microplastics and Biochar" Nanomaterials 14, no. 13: 1067. https://doi.org/10.3390/nano14131067
APA StyleWang, M., Jiang, X., Wei, Z., Wang, L., Song, J., & Cen, P. (2024). Enhanced Cadmium Adsorption Dynamics in Water and Soil by Polystyrene Microplastics and Biochar. Nanomaterials, 14(13), 1067. https://doi.org/10.3390/nano14131067

