Development of Biologically Active Phytosynthesized Silver Nanoparticles Using Marrubium vulgare L. Extracts: Applications and Cytotoxicity Studies
Abstract
1. Introduction
2. Materials and Methods
2.1. Materials
2.2. Characterization Methods
2.3. Cell Culture
2.4. Cell Viability Assay
2.5. Griess Assay
2.6. Statistical Interpretation and Data Representation
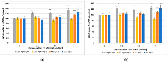
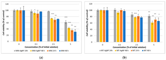
3. Results
4. Discussion
5. Conclusions
Author Contributions
Funding
Data Availability Statement
Acknowledgments
Conflicts of Interest
References
- Fierascu, I.; Fierascu, I.C.; Brazdis, R.I.; Baroi, A.M.; Fistos, T.; Fierascu, R.C. Phytosynthesized Metallic Nanoparticles—Between Nanomedicine and Toxicology. A Brief Review of 2019′s Findings. Materials 2020, 13, 574. [Google Scholar] [CrossRef] [PubMed]
- Wood, G.B.; Bache, F. The Dispensatory of the United States of America, 7th ed.; J.B. Lippincott: Philadelphia, PA, USA, 1847; p. 452. [Google Scholar]
- Aćimović, M.; Jeremić, K.; Salaj, N.; Gavarić, N.; Kiprovski, B.; Sikora, V.; Zeremski, T. Marrubium vulgare L.: A Phytochemical and Pharmacological Overview. Molecules 2020, 25, 2898. [Google Scholar] [CrossRef]
- Benalia, Y. Essential oil of Marrubium vulgare: Chemical composition and biological activities. A review. Nat. Prod. Sci. 2019, 25, 81–91. [Google Scholar]
- Rey, J.P.; Levesque, J.; Pousset, J.L. Extraction and high-performance liquid chromatographic methods for the γ-lactones parthenolide (Chrysanthemum parthenium Bernh.), marrubiin (Marrubium vulgare L.) and artemisinin (Artemisia annua L.). J. Chromatogr. A 1992, 605, 124–128. [Google Scholar] [CrossRef]
- Nagy, M.; Svajdlenka, E. Comparison of essential oils from Marrubium vulgare L. and M. peregrinum L. J. Essent. Oil Res. 1998, 10, 585–587. [Google Scholar] [CrossRef]
- Pukalskas, A.; Venskutonis, P.R.; Salido, S.; Waard, P.; Beek, T.A. Isolation, identification and activity of natural antioxidants from horehound (Marrubium vulgare L.) cultivated in Lithuania. Food Chem. 2012, 130, 695–701. [Google Scholar] [CrossRef]
- El Abbouyi, A.; El Khyari, S.; Eddoha, R.; Filali-Ansari, N. Anti-inflammatory effect of hydromethanolic extract from Marrubium vulgare Lamiaceae on leukocytes oxidative metabolism: An in vitro and in vivo studies. Int. J. Green Pharm. 2013, 7, 224–229. [Google Scholar] [CrossRef]
- Yousefi, K.; Fathiazad, F.; Soraya, H.; Rameshrad, M.; Maleki-Dizaji, N.; Garjani, A. Marrubium vulgare L. Methanolic extract inhibits inflammatory response and prevents cardiomyocyte fibrosis in isoproterenol-induced acute myocardial infarction in rats. BioImpacts 2014, 4, 21–27. [Google Scholar] [PubMed]
- El Bardai, S.; Lyoussi, B.; Wibo, M.; Morel, N. Pharmacological evidence of hypotensive activity of Marrubium vulgare and Foeniculum vulgare in spontaneously hypertensive rat. Clin. Exp. Hypertens. 2001, 23, 329–343. [Google Scholar] [CrossRef]
- El Bardai, S.; Morel, N.; Wibo, M.; Fabre, N.; Llabres, G.; Lyoussi, B.; Quetin-Leclercq, J. The vasorelaxant activity of marrubenol and marrubiin from Marrubium vulgare. Planta Med. 2003, 69, 75–77. [Google Scholar] [CrossRef]
- Elberry, A.A.; Harraz, F.M.; Ghareib, S.A.; Nagy, A.A.; Sattar, E.A. Methanolic extract of Marrubium vulgare ameliorates hyperglycemia and dyslipidemia in streptozotocin-induced diabetic rats. Int. J. Diabetes Mellit. 2015, 3, 37–44. [Google Scholar] [CrossRef]
- Novaes, A.P.; Rossi, C.; Poffo, C.; Pretti Júnior, E.; Oliveira, A.E.; Schlemper, V.; Niero, R.; Cechinel-Filho, V.; Bürger, C. Preliminary evaluation of the hypoglycemic effect of some Brazilian medicinal plants. Therapie 2001, 56, 427–430. [Google Scholar] [PubMed]
- Boudjelal, A.; Henchiri, C.; Siracusa, L.; Sari, M.; Ruberto, G. Compositional analysis and in vivo anti-diabetic activity of wild Algerian Marrubium vulgare L. infusion. Fitoterapia 2012, 83, 286–292. [Google Scholar] [CrossRef] [PubMed]
- Maraia, F.E. Hypoglycemic effects of Marrubium vulgare (Rubia) in experimentally induced autoimmune diabetes mellitus. Int. Res. J. Biochem. Bioinform. 2014, 4, 42–54. [Google Scholar]
- Chedia, A.; Ghazghazi, H.; Brahim, H.; Abderrazak, M. Total phenolic content, antioxidant and antibacterial activities of Marrubium vulgare methanolic extract. Tunis. J. Med. Plants Nat. Prod. 2014, 11, 1–8. [Google Scholar]
- Weel, K.G.; Venskutonis, P.R.; Pukalskas, A.; Gruzdiene, D.; Linssen, J.P. Antioxidant activity of horehound (Marrubium vulgare L.) grown in Lithuania. Eur. J. Lipid Sci. Technol. 1999, 101, 395–400. [Google Scholar] [CrossRef]
- VanderJagt, T.J.; Ghattas, R.; VanderJagt, D.J.; Crossey, M.; Glew, R.H. Comparison of the total antioxidant content of 30 widely used medicinal plants of New Mexico. Life Sci. 2002, 70, 1035–1040. [Google Scholar] [CrossRef] [PubMed]
- Abadi, A.; Abdellatif, F. Antibacterial and antioxidant activities of Marrubium vulgare essential oil cultivated in Eastern Algeria. Int. J. Chem. Stud. 2013, 1, 32–38. [Google Scholar]
- Amri, B.; Ben Kaab, S.; Gouia, H.; Martino, E.; Collina, S.; Ben Kaâb, L.B. Copper-induced changes in nutrient uptake, enzymatic and non-enzymatic antioxidant systems in horehound (Marrubium vulgare). Bot. Sci. 2017, 95, 565–575. [Google Scholar] [CrossRef]
- Neagu, E.; Paun, G.; Ungureanu, O.; Radu, G.L. Antioxidant activity and phenolics content of Capsella bursa-pastoris and Marrubium vulgare depending on environmental factors. Environ. Eng. Manag. J. 2019, 18, 1553–1560. [Google Scholar]
- Masoodi, M.H.; Ahmed, B.; Zargar, I.M.; Khan, S.A.; Khan, S.; Singh, P. Antibacterial activity of whole plant extract of Marrubium vulgare. Afr. J. Biotechnol. 2008, 7, 86–87. [Google Scholar]
- Quave, C.L.; Smeltzer, M. Anti-biofilm activity of Marrubium vulgare L. (Lamiaceae) extract on MRSA. Plant Med. 2009, 75, 96. [Google Scholar] [CrossRef]
- Robles-Zepeda, R.E.; Velázquez-Contreras, C.A.; Garibay-Escobar, A.; Gálvez-Ruiz, J.C.; Ruiz-Bustos, E. Antimicrobial activity of Northwestern Mexican plants against Helicobacter pylori. J. Med. Food 2011, 14, 1280–1283. [Google Scholar] [CrossRef]
- Zarai, Z.; Kadri, A.; Ben Chobba, I.; Ben Mansour, R.; Bekir, A.; Mejdoub, H.; Gharsallah, N. The in-vitro evaluation of antibacterial, antifungal and cytotoxic properties of Marrubium vulgare L. essential oil grown in Tunisia. Lipids Health Dis. 2011, 10, 161. [Google Scholar] [CrossRef]
- Buzayan, M.M.; El-Garbulli, F.R. Antibacterial activity of medicinal aqueous plant extracts against Mycobacterium tuberculosis. Malays. J. Microbiol. 2012, 8, 203–206. [Google Scholar] [CrossRef]
- Malik, S.; Muhammad, K.; Waheed, Y. Nanotechnology: A Revolution in Modern Industry. Molecules 2023, 28, 661. [Google Scholar] [CrossRef] [PubMed]
- Baranwal, A.; Chiranjivi, A.K.; Kumar, A.; Dubey, V.K.; Chandra, P. Design of commercially comparable nanotherapeutic agent against human disease-causing parasite, Leishmania. Sci. Rep. 2018, 8, 8814. [Google Scholar] [CrossRef]
- Mahato, K.; Baranwal, A.; Kumari, R.; Srivastava, A.; Azad, U.P. Differential electrochemical behaviour of phytofabricated and chemically synthesized silver nanoparticles towards hydrogen peroxide sensing. Electroanalysis 2023, 35, e202300094. [Google Scholar] [CrossRef]
- Kumar, A.; Purohit, B.; Mahato, K.; Mandal, R.; Srivastava, A.; Chandra, P. Gold-Iron Bimetallic Nanoparticles Impregnated Reduced Graphene Oxide Based Nanosensor for Label-free Detection of Biomarker Related to Non-alcoholic Fatty Liver Disease. Electroanalysis 2019, 31, 2417–2428. [Google Scholar] [CrossRef]
- Fierascu, I.C.; Fierascu, I.; Baroi, A.M.; Ungureanu, C.; Ortan, A.; Avramescu, S.M.; Somoghi, R.; Fierascu, R.C.; Dinu-Parvu, C.E. Phytosynthesis of Biological Active Silver Nanoparticles Using Echinacea purpurea L. Extracts. Materials 2022, 15, 7327. [Google Scholar] [CrossRef]
- Fierascu, I.C.; Fierascu, I.; Baroi, A.M.; Ungureanu, C.; Spinu, S.; Avramescu, S.M.; Somoghi, R.; Fierascu, R.C.; Dinu-Parvu, C.E. Phytosynthesis of Silver Nanoparticles Using Leonurus cardiaca L. Extracts. Materials 2023, 16, 3472. [Google Scholar] [CrossRef] [PubMed]
- Abidi, A.; Dhaouafi, J.; Brinsi, C.; Tounsi, H.; Sebai, H. Tunisian Horehound (Marrubium vulgare) Aqueous Extract Improves Treatment of Bleomycin-Induced Lung Fibrosis in Rat. Dose-Response 2022, 20, 1–12. [Google Scholar] [CrossRef] [PubMed]
- Amri, B.; Martino, E.; Vitulo, F.; Corana, F.; Kaâb, L.B.-B.; Rui, M.; Rossi, D.; Mori, M.; Rossi, S.; Collina, S. Marrubium vulgare L. Leave Extract: Phytochemical Composition, Antioxidant and Wound Healing Properties. Molecules 2017, 22, 1851. [Google Scholar] [CrossRef] [PubMed]
- Mssillou, I.; Agour, A.; Hamamouch, N.; Lyoussi, B.; Derwich, E. Chemical Composition and In Vitro Antioxidant and Antimicrobial Activities of Marrubium vulgare L. Sci. World J. 2021, 2021, 7011493. [Google Scholar] [CrossRef]
- Amessis-Ouchemoukh, N.; Abu-Reidah, I.M.; Quirantes-Pine, R.; Madani, K.; Segura-Carretero, A. Phytochemical profiling, in vitro evaluation of total phenolic contents and antioxidant properties of Marrubium vulgare (horehound) leaves of plants growing in Algeria. Ind. Crop Prod. 2014, 61, 120–129. [Google Scholar] [CrossRef]
- Bouterfas, K.; Mehdadi, Z.; Elaoufi, M.M.; Latreche, A.; Benchiha, W. Antioxidant activity and total phenolic and flavonoids content variations of leaves extracts of white Horehound (Marrubium vulgare Linné) from three geographical origins. Ann. Pharm. Françaises 2016, 74, 453–462. [Google Scholar] [CrossRef] [PubMed]
- Al-Zaban, M.; Naghmouchi, S.; AlHarbi, N.K. HPLC-Analysis, Biological Activities and Characterization of Action Mode of Saudi Marrubium vulgare against Foodborne Diseases Bacteria. Molecules 2021, 26, 5112. [Google Scholar] [CrossRef] [PubMed]
- Rezgui, M.; Majdoub, N.; Mabrouk, B.; Baldisserotto, A.; Bino, A.; Kaab, L.B.B. Antioxidant and antifungal activities of marrubiin, extracts and essential oil from Marrubium vulgare L. against pathogenic dermatophyte strains. J. Mycol. Med. 2020, 30, 100927. [Google Scholar] [CrossRef] [PubMed]
- Wojdyłoa, A.; Oszmianski, J.; Czemerys, R. Antioxidant activity and phenolic compounds in 32 selected herbs. Food Chem. 2007, 105, 940–949. [Google Scholar] [CrossRef]
- Kabach, I.; Ben Mridi, R.; Bouchmaa, N.; Bouargalne, Y.; Zyad, A.; Nhiri, M. Phytochemical screening, antioxidant and cytotoxic activities of M. vulgare. Int. J. Pharm. Res. 2019, 11, 338–345. [Google Scholar]
- Nasrollahzadeh, M.; Sajjadi, M.; Sajadi, S.M. Green synthesis of Cu/zirconium silicate nanocomposite by using Rubia tinctorum leaf extract and its application in the preparation of N-benzyl-N-arylcyanamides. Appl. Organometall. Chem. 2019, 33, e4705. [Google Scholar] [CrossRef]
- Nasrollahzadeh, M.; Issaabadi, Z.; Sajadi, S.M. Green synthesis of the Ag/Al2O3 nanoparticles using Bryonia alba leaf extract and their catalytic application for the degradation of organic pollutants. J. Mater. Sci. Mater. Electron. 2019, 30, 3847–3859. [Google Scholar] [CrossRef]
- Anouar, E.H.; Gierschner, J.; Duroux, J.; Trouillas, P. UV/Visible spectra of natural polyphenols: A time-dependent density functional theory study. Food Chem. 2012, 131, 79–89. [Google Scholar] [CrossRef]
- Souza, M.; José Comin, J.; Moresco, R.; Maraschin, M.; Kurtz, C.; Emílio Lovato, P.; Rogério Lourenzi, C.; Kokowicz Pilatti, F.; Loss, A.; Kuhnen, S. Exploratory and discriminant analysis of plant phenolic profiles obtained by UV-vis scanning spectroscopy. J. Integr. Bioinformat 2021, 18, 20190056. [Google Scholar] [CrossRef] [PubMed]
- Langford, J.I.; Wilson, A.J.C. Scherrer after Sixty Years: A Survey and Some New Results in the Determination of Crystallite Size. J. Appl. Cryst. 1978, 11, 102–113. [Google Scholar] [CrossRef]
- Uvarov, V.; Popov, I. Metrological characterization of X-ray diffraction methods for determination of crystallite size in nano-scale materials. Mater. Charact. 2007, 58, 883–891. [Google Scholar] [CrossRef]
- Ortiz, J.; Kestur, U.S.; Taylor, L.S.; Mauer, L.J. Interaction of Environmental Moisture with Powdered Green Tea Formulations: Relationship between Catechin Stability and Moisture-Induced Phase Transformations. J. Agric. Food Chem. 2009, 57, 4691–4697. [Google Scholar] [CrossRef] [PubMed]
- Hayat, J.; Akodad, M.; Moumen, A.; Baghour, M.; Skalli, A.; Ezrari, S.; Belmalha, S. Phytochemical screening, polyphenols, flavonoids and tannin content, antioxidant activities and FTIR characterization of Marrubium vulgare L. from 2 different localities of Northeast of Morocco. Heliyon 2020, 6, e05609. [Google Scholar] [CrossRef] [PubMed]
- Din, M.M.U.; Batool, A.; Ashraf, R.S.; Yaqub, A.; Rashid, A.; Din, N.M.U. Green Synthesis and Characterization of Biologically Synthesized and Antibiotic-Conjugated Silver Nanoparticles followed by Post-Synthesis Assessment for Antibacterial and Antioxidant Applications. ACS Omega 2024, 9, 18909–18921. [Google Scholar] [CrossRef]
- Jyoti, K.; Baunthiyal, M.; Singh, A. Characterization of silver nanoparticles synthesized using Urtica dioica Linn. leaves and their synergistic effects with antibiotics. J. Radiat. Res. Appl. Sci. 2016, 9, 217–227. [Google Scholar] [CrossRef]
- Jebril, S.; Fdhila, A.; Dridi, C. Nanoengineering of eco-friendly silver nanoparticles using five different plant extracts and development of cost-effective phenol nanosensor. Sci. Rep. 2021, 11, 22060. [Google Scholar] [CrossRef] [PubMed]
- Hernández-Sierra, J.F.; Galicia-Cruz, O.; Angélica, S.A.; Ruiz, F.; Pierdant-Pérez, M.; Pozos-Guillén, A.J. In vitro cytotoxicity of silver nanoparticles on human periodontal fibroblasts. J. Clin. Pediatr. Dent. 2011, 36, 37–41. [Google Scholar] [CrossRef] [PubMed]
- Xu, Y.; Zheng, B.; He, J.; Cui, Z.; Liu, Y. Silver nanoparticles promote osteogenic differentiation of human periodontal ligament fibroblasts by regulating the RhoA-TAZ axis. Cell Biol. Int. 2019, 43, 910–920. [Google Scholar] [CrossRef] [PubMed]
- Eltahawy, N.A.; Swidan, S.A.; Nafie, M.S.; Saeedan, A.S.; Nasr, A.M.; Badr, J.M.; Abdelhameed, R.F.A. Silver nanoparticles formulation of Marrubium alysson L. phenolic extract potentiates cytotoxicity through apoptosis with molecular docking study as Bcl-2 inhibitors. J. Biomol. Struct. Dyn. 2023. [Google Scholar] [CrossRef]
- ISO 10993-1:2018; Biological Evaluation of Medical Devices—Part 1: Evaluation and Testing within a Risk Management Process. PN-EN ISO: Brussels, Belgium, 2015.










| Extract/Parameter | MT | MM |
|---|---|---|
| TPC (mg GAE/g dried weight) | 3.6 ± 0.0179 b | 6.47 ± 0.0268 a |
| Tannic acid (mg/L) | 2.7947 ± 0.020766 b | 4.5877 ± 0.037933 a |
| Gallic acid (mg/L) | 0.094997 ± 0.00070588 b | 0.14717 ± 0.0012168 a |
| Protocatechuic acid (mg/L) | 0.7181 ± 0.0053358 b | 1.2731 ± 0.010527 a |
| Catechin (mg/L) | 2.3071 ± 0.017143 a | N.D. |
| Vanillic acid (mg/L) | 0.61427 ± 0.0045643 b | 1.3913 ± 0.011504 a |
| Caffeic acid (mg/L) | 2.3912 ± 0.017768 b | 4.3165 ± 0.035691 a |
| Ellagic acid (mg/L) | 5.9118 ± 0.043928 b | 13.626 ± 0.11267 a |
| Chlorogenic acid (mg/L) | 1.4328 ± 0.010646 b | 2.7661 ± 0.022871 a |
| Epicatechin (mg/L) | 9.801 ± 0.072826 b | 15.968 ± 0.13203 a |
| p-coumaric acid (mg/L) | 0.09841 ± 0.00073124 b | 0.19351 ± 0.0016 a |
| Sinapic acid (mg/L) | 0.54867 ± 0.0040769 b | 0.95935 ± 0.0079322 a |
| o-coumaric acid (mg/L) | 0.82797 ± 0.0061522 a | 0.64402 ± 0.005325 b |
| Isoquercitrin (mg/L) | 52.031 ± 0.38662 b | 98.66 ± 0.81576 a |
| Hyperoside (mg/L) | 21.808 ± 0.16204 b | 52.536 ± 0.43439 a |
| Naringin (mg/L) | 0.69081 ± 0.0051331 b | 1.2018 ± 0.0099372 a |
| Myricetin (mg/L) | 37.659 ± 0.27983 b | 66.758 ± 0.55198 a |
| Resveratrol (mg/L) | 11.25 ± 0.08359 b | 19.321 ± 0.15975 a |
| Luteolin (mg/L) | 2.4775 ± 0.018409 b | 3.2323 ± 0.026726 a |
| Naringenin (mg/L) | 0.61153 ± 0.004544 b | 1.1737 ± 0.0097047 a |
Disclaimer/Publisher’s Note: The statements, opinions and data contained in all publications are solely those of the individual author(s) and contributor(s) and not of MDPI and/or the editor(s). MDPI and/or the editor(s) disclaim responsibility for any injury to people or property resulting from any ideas, methods, instructions or products referred to in the content. |
© 2024 by the authors. Licensee MDPI, Basel, Switzerland. This article is an open access article distributed under the terms and conditions of the Creative Commons Attribution (CC BY) license (https://creativecommons.org/licenses/by/4.0/).
Share and Cite
Lupuliasa, A.I.; Prisada, R.M.; Matei, R.I.; Avramescu, S.M.; Vasile, B.Ș.; Fierascu, R.C.; Fierascu, I.; Voicu-Bălașea, B.; Meleșcanu Imre, M.; Pițuru, S.-M.; et al. Development of Biologically Active Phytosynthesized Silver Nanoparticles Using Marrubium vulgare L. Extracts: Applications and Cytotoxicity Studies. Nanomaterials 2024, 14, 895. https://doi.org/10.3390/nano14100895
Lupuliasa AI, Prisada RM, Matei RI, Avramescu SM, Vasile BȘ, Fierascu RC, Fierascu I, Voicu-Bălașea B, Meleșcanu Imre M, Pițuru S-M, et al. Development of Biologically Active Phytosynthesized Silver Nanoparticles Using Marrubium vulgare L. Extracts: Applications and Cytotoxicity Studies. Nanomaterials. 2024; 14(10):895. https://doi.org/10.3390/nano14100895
Chicago/Turabian StyleLupuliasa, Alina Ioana, Răzvan Mihai Prisada, Roxana Ioana Matei (Brazdis), Sorin Marius Avramescu, Bogdan Ștefan Vasile, Radu Claudiu Fierascu, Irina Fierascu, Bianca Voicu-Bălașea, Marina Meleșcanu Imre, Silviu-Mirel Pițuru, and et al. 2024. "Development of Biologically Active Phytosynthesized Silver Nanoparticles Using Marrubium vulgare L. Extracts: Applications and Cytotoxicity Studies" Nanomaterials 14, no. 10: 895. https://doi.org/10.3390/nano14100895
APA StyleLupuliasa, A. I., Prisada, R. M., Matei, R. I., Avramescu, S. M., Vasile, B. Ș., Fierascu, R. C., Fierascu, I., Voicu-Bălașea, B., Meleșcanu Imre, M., Pițuru, S.-M., Anuța, V., & Dinu-Pîrvu, C. E. (2024). Development of Biologically Active Phytosynthesized Silver Nanoparticles Using Marrubium vulgare L. Extracts: Applications and Cytotoxicity Studies. Nanomaterials, 14(10), 895. https://doi.org/10.3390/nano14100895

