Solvothermally Grown Oriented WO3 Nanoflakes for the Photocatalytic Degradation of Pharmaceuticals in a Flow Reactor
Abstract
1. Introduction
2. Materials and Methods
2.1. Chemicals for Analytical and Photochemical Experiments
2.2. Synthesis of WO3/st Films and Powder by Solvothermal Method
2.3. Structural Characterization Techniques
2.3.1. X-ray Powder Diffraction
2.3.2. Scanning Electron Microscopy
2.3.3. Photoelectrochemical Characterization
2.3.4. EPR
2.4. Photochemical Degradation Experiments
2.5. Kinetic Models
2.6. HPLC-DAD Analysis
2.7. HPLC-FLD Analysis
2.8. HPLC-MS Analysis
3. Results and Discussion
3.1. Morphological and Structural Properties of Nanostructured WO3
3.1.1. Electron Microscopy
3.1.2. X-ray Diffraction
3.2. Photoelectrochemical Properties
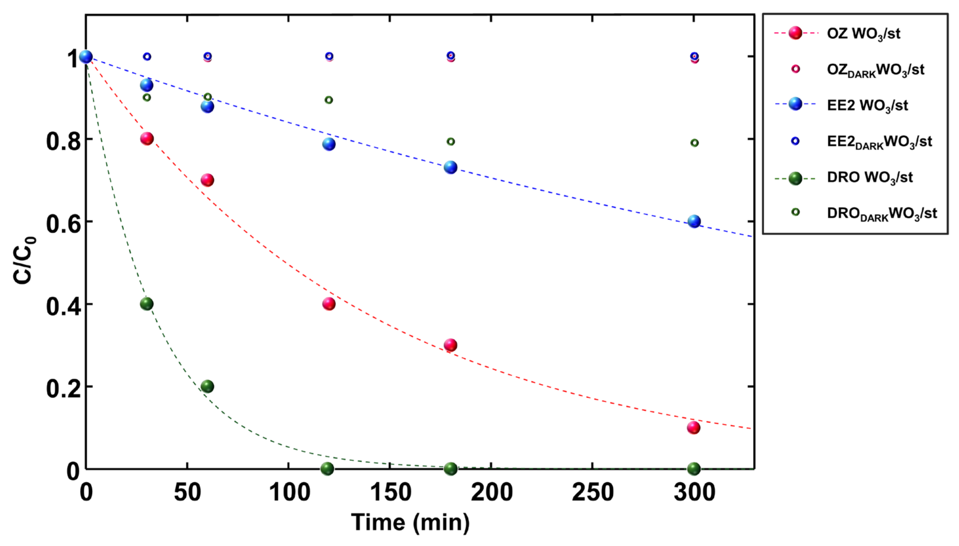
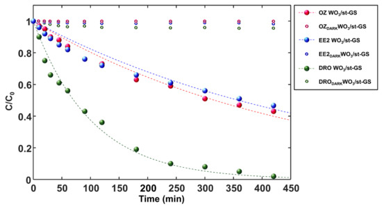
3.3. Photochemical Degradation of DRO, EE2 and OZ
3.4. Characterization of the Degradation Intermediates
4. Conclusions
Supplementary Materials
Author Contributions
Funding
Data Availability Statement
Acknowledgments
Conflicts of Interest
References
- Richardson, S.D.; Kimura, S.Y. Water Analysis: Emerging Contaminants and Current Issues. Anal. Chem. 2016, 88, 546–582. [Google Scholar] [CrossRef]
- Vasilachi, I.C.; Asiminicesei, D.M.; Fertu, D.I.; Gavrilescu, M. Occurrence and fate of emerging pollutants in water environment and options for their removal. Water 2021, 13, 181. [Google Scholar] [CrossRef]
- Mezzelani, M.; Gorbi, S.; Regoli, F. Pharmaceuticals in the aquatic environments: Evidence of emerged threat and future challenges for marine organisms. Mar. Environ. Res. 2018, 140, 41–60. [Google Scholar] [CrossRef] [PubMed]
- Lazzara, R.; Blázquez, M.; Porte, C.; Barata, C. Low environmental levels of fluoxetine induce spawning and changes in endogenous estradiol levels in the zebra mussel Dreissena polymorpha. Aquat. Toxicol. 2012, 106, 123–130. [Google Scholar] [CrossRef] [PubMed]
- Kelly, S.; Davies, E.; Fearns, S.; McKinnon, C.; Carter, R.; Gerlinger, C.; Smithers, A. Effects of oral contraceptives containing ethinylestradiol with either drospirenone or levonorgestrel on various parameters associated with well-being in healthy women: A randomized, single-blind, parallel-group, multicentre study. Clin. Drug Investig. 2010, 30, 325–336. [Google Scholar] [CrossRef] [PubMed]
- Zhao, H.N.; Tian, Z.; Kim, K.E.; Wang, R.; Lam, K.; Kolodziej, E.P. Biotransformation of Current-Use Progestin Dienogest and Drospirenone in Laboratory-Scale Activated Sludge Systems Forms High-Yield Products with Altered Endocrine Activity. Environ. Sci. Technol. 2021, 55, 13869–13880. [Google Scholar] [CrossRef] [PubMed]
- Zhao, Y.; Castiglioni, S.; Fent, K. Environmental Progestins Progesterone and Drospirenone Alter the Circadian Rhythm Network in Zebrafish (Danio rerio). Environ. Sci. Technol. 2015, 49, 10155–10164. [Google Scholar] [CrossRef] [PubMed]
- Tang, Z.; Liu, Z.H.; Wang, H.; Dang, Z.; Liu, Y. A review of 17α-ethynylestradiol (EE2) in surface water across 32 countries: Sources, concentrations, and potential estrogenic effects. J. Environ. Manag. 2021, 292, 112804. [Google Scholar] [CrossRef] [PubMed]
- Yuan, S.F.; Liu, Z.H.; Lian, H.X.; Yang, C.T.; Lin, Q.; Yin, H.; Lin, Z.; Dang, Z. Fast trace determination of nine odorant and estrogenic chloro- and bromo-phenolic compounds in real water samples through automated solid-phase extraction coupled with liquid chromatography tandem mass spectrometry. Environ. Sci. Pollut. Res. 2018, 25, 3813–3822. [Google Scholar] [CrossRef]
- Rocha, M.J.; Rocha, E. Synthetic Progestins in Waste and Surface Waters: Concentrations, Impacts and Ecological Risk. Toxics 2022, 10, 163. [Google Scholar] [CrossRef]
- Avar, P.; Maasz, G.; Takács, P.; Lovas, S.; Zrinyi, Z.; Svigruha, R.; Takátsy, A.; Tóth, L.G.; Pirger, Z. HPLC-MS MS analysis of steroid hormones in environmental water samples. Drug Test. Anal. 2015, 8, 123–127. [Google Scholar] [CrossRef] [PubMed]
- Fick, J.; Brodin, T.; Heynen, M.; Klaminder, J.; Jonsson, M.; Grabicova, K.; Randak, T.; Grabic, R.; Kodes, V.; Slobodnik, J.; et al. Screening of benzodiazepines in thirty European rivers. Chemosphere 2017, 176, 324–332. [Google Scholar] [CrossRef] [PubMed]
- Vossen, L.E.; Červený, D.; Sarma, O.S.; Thörnqvist, P.O.; Jutfelt, F.; Fick, J.; Brodin, T.; Winberg, S. Low concentrations of the benzodiazepine drug oxazepam induce anxiolytic effects in wild-caught but not in laboratory zebrafish. Sci. Total Environ. 2020, 703, 134701. [Google Scholar] [CrossRef] [PubMed]
- Salimi, M.; Esrafili, A.; Gholami, M.; Jafari, A.J.; Kalantary, R.R.; Farzadkia, M.; Kermani, M.; Sobhi, H.R. Contaminants of emerging concern: A review of new approach in AOP technologies. Environ. Monit. Assess. 2017, 189, 1–22. [Google Scholar] [CrossRef] [PubMed]
- Sumpter, P.; Margiotta-Casaluci, L. Environmental Occurrence and Predicted Pharmacological Risk to Freshwater Fish of over 200 Neuroactive Pharmaceuticals in Widespread Use. Toxics 2022, 10, 233. [Google Scholar] [CrossRef] [PubMed]
- Liu, Z.; Demeestere, K.; Hulle, S.V. Pretreatment of Secondary Effluents in View of Optimal Ozone-Based AOP Removal of Trace Organic Contaminants: Bench-Scale Comparison of Efficiency and Energy Consumption. Ind. Eng. Chem. Res. 2020, 59, 8112–8120. [Google Scholar] [CrossRef]
- Cai, Q.Q.; Wu, M.Y.; Li, R.; Deng, S.H.; Lee, B.C.Y.; Ong, S.L.; Hu, J.Y. Potential of combined advanced oxidation—Biological process for cost-effective organic matters removal in reverse osmosis concentrate produced from industrial wastewater reclamation: Screening of AOP pre-treatment technologies. J. Chem. Eng. 2020, 389, 123419. [Google Scholar] [CrossRef]
- Molinari, A.; Argazzi, R.; Maldotti, A. Photocatalysis with Na4W10O32 in water system: Formation and reactivity of OH radicals. J. Mol. Catal. A Chem. 2013, 372, 23–28. [Google Scholar] [CrossRef]
- Luong, J.H.T.; Male, K.B.; Glennon, J.D. Boron-doped diamond electrode: Synthesis, characterization, functionalization and analytical applications. Analyst 2009, 134, 1965–1979. [Google Scholar] [CrossRef]
- Yoshihara, S.; Murugananthan, M. Decomposition of various endocrine-disrupting chemicals at boron-doped diamond electrode. Electrochim. Acta 2009, 54, 2031–2038. [Google Scholar] [CrossRef]
- Cristino, V.; Marinello, S.; Molinari, A.; Caramori, S.; Carli, S.; Boaretto, R.; Argazzi, R.; Meda, L.; Bignozzi, C.A. Some aspects of the charge transfer dynamics in nanostructured WO3 films. J. Mater. Chem. A 2016, 4, 2995–3006. [Google Scholar] [CrossRef]
- Behbahani, M.A.; Ranjbar, M.; Kameli, P.; Salamati, H. Hydrogen sensing by wet-gasochromic coloring of PdCl2(aq)/WO3 and the role of hydrophilicity of tungsten oxide films. Sens. Actuators B Chem. 2013, 188, 127–136. [Google Scholar] [CrossRef]
- Cristino, V.; Caramori, S.; Argazzi, R.; Meda, L.; Marra, G.L.; Bignozzi, C.A. Efficient photoelectrochemical water splitting by anodically grown WO3 electrodes. Langmuir 2011, 27, 7276–7284. [Google Scholar] [CrossRef] [PubMed]
- De Tacconi, N.R.; Chenthamarakshan, C.R.; Yogeeswaran, G.; Watcharenwong, A.; De Zoysa, R.S.; Basit, N.A.; Rajeshwar, K. Nanoporous TiO2 and WO3 films by anodization of titanium and tungsten substrates: Influence of process variables on morphology and photoelectrochemical response. J. Phys. Chem. B 2006, 110, 25347–25355. [Google Scholar] [CrossRef]
- Watcharenwong, A.; Chanmanee, W.; de Tacconi, N.R.; Chenthamarakshan, C.R.; Kajitvichyanukul, P.; Rajeshwar, K. Anodic growth of nanoporous WO3 films: Morphology, photoelectrochemical response and photocatalytic activity for methylene blue and hexavalent chrome conversion. J. Electroanal. Chem. 2008, 612, 112–120. [Google Scholar] [CrossRef]
- Hahn, R.; Macak, J.M.; Schmuki, P. Rapid anodic growth of TiO2 and WO3 nanotubes in fluoride free electrolytes. Electrochem. Commun. 2007, 9, 947–952. [Google Scholar] [CrossRef]
- Daniel, M.F.; Lassegues, J.C.; Garie, R. Infrared and Raman Spectroscopies of rf Sputtered Tungsten Oxide Films. J. Solid State Chem. 1988, 73, 127–139. [Google Scholar] [CrossRef]
- Leftheriotis, G.; Papaefthimiou, S.; Yianoulis, P. The effect of water on the electrochromic properties of WO3 films prepared by vacuum and chemical methods. Sol. Energy Mater Sol. Cells 2004, 83, 115–124. [Google Scholar] [CrossRef]
- Meda, L.; Tozzola, G.; Tacca, A.; Marra, G.; Caramori, S.; Cristino, V.; Bignozzi, C.A. Photo-electrochemical properties of nanostructured WO3 prepared with different organic dispersing agents. Sol. Energy Mater Sol. Cells 2010, 94, 788–796. [Google Scholar] [CrossRef]
- Santato, C.; Ulmann, M.; Àugustynski, J. Photoelectrochemical properties of nanostructured tungsten trioxide films. J. Phys. Chem. B 2001, 105, 936–940. [Google Scholar] [CrossRef]
- Santato, C.; Odziemkowski, M.; Ulmann, M.; Augustynski, J. Crystallographically oriented mesoporous WO3 films: Synthesis, characterization, and applications. J. Am. Chem. Soc. 2001, 123, 10639–10649. [Google Scholar] [CrossRef] [PubMed]
- Park, J.H.; Bard, A.J. Photoelectrochemical tandem cell with bipolar dye-sensitized electrodes for vectorial electron transfer for water splitting. Electrochem. Solid-State Lett. 2006, 9, E5. [Google Scholar] [CrossRef]
- Zhang, J.; Zhang, P.; Wang, T.; Gong, J. Monoclinic WO3 nanomultilayers with preferentially exposed (002) facets for photoelectrochemical water splitting. Nano Energy 2015, 11, 189–195. [Google Scholar] [CrossRef]
- Wang, S.; Chen, H.; Gao, G.; Butburee, T.; Lyu, M.; Thaweesak, S.; Yun, J.H.; Du, A.; Liu, G.; Wang, L. Synergistic crystal facet engineering and structural control of WO3 films exhibiting unprecedented photoelectrochemical performance. Nano Energy 2016, 24, 94–102. [Google Scholar] [CrossRef]
- Su, J.; Feng, X.; Sloppy, J.D.; Guo, L.; Grimes, C.A. Vertically aligned WO3 nanowire arrays grown directly on transparent conducting oxide coated glass: Synthesis and photoelectrochemical properties. Nano Lett. 2011, 11, 203–208. [Google Scholar] [CrossRef] [PubMed]
- Cristino, V.; Pasti, L.; Marchetti, N.; Berardi, S.; Bignozzi, C.A.; Molinari, A.; Passabi, F.; Caramori, S.; Amidani, L.; Orlandi, M.; et al. Photoelectrocatalytic degradation of emerging contaminants at WO3/BiVO4 photoanodes in aqueous solution. Photochem. Photobiol. Sci. 2019, 18, 2150–2163. [Google Scholar] [CrossRef] [PubMed]
- Longobucco, G.; Pasti, L.; Molinari, A.; Marchetti, N.; Caramori, S.; Cristino, V.; Boaretto, R.; Bignozzi, C.A. Photoelectrochemical mineralization of emerging contaminants at porous WO3 interfaces. Appl. Catal. B 2017, 204, 273–282. [Google Scholar] [CrossRef]
- Yang, H.G.; Sun, C.H.; Qiao, S.Z.; Zou, J.; Liu, G.; Smith, S.C.; Cheng, H.M.; Lu, G.Q. Anatase TiO2 single crystals with a large percentage of reactive facets. Nature 2008, 453, 638–641. [Google Scholar] [CrossRef] [PubMed]
- Zhao, X.; Jin, W.; Cai, J.; Ye, J.; Li, Z.; Ma, Y.; Xie, J.; Qi, L. Shape- and size-controlled synthesis of uniform anatase TiO2 nanocuboids enclosed by active {100} and {001} facets. Adv. Funct. Mater. 2011, 21, 3554–3563. [Google Scholar] [CrossRef]
- Zhang, D.; Wang, S.; Zhu, J.; Li, H.; Lu, Y. WO3 nanocrystals with tunable percentage of (001)-facet exposure. Appl. Catal. B 2012, 123, 398–404. [Google Scholar] [CrossRef]
- Peng, T.; Ke, D.; Xiao, J.; Wang, L.; Hu, J.; Zan, L. Hexagonal phase WO3 nanorods: Hydrothermal preparation, formation mechanism and its photocatalytic O2 production under visible-light irradiation. J. Solid State Chem. 2012, 194, 250–256. [Google Scholar] [CrossRef]
- Hu, Z.; Ji, Z.; Lim, W.W.; Mukherjee, B.; Zhou, C.; Tok, E.S.; Sow, C.H. K-Enriched WO3 nanobundles: High electrical conductivity and photocurrent with controlled polarity. ACS Appl. Mater. Interfaces 2013, 5, 4731–4738. [Google Scholar] [CrossRef] [PubMed]
- Mi, Q.; Coridan, R.H.; Brunschwig, B.S.; Gray, H.B.; Lewis, N.S. Photoelectrochemical oxidation of anions by WO3 in aqueous and nonaqueous electrolytes. Energy Environ. Sci. 2013, 6, 2646–2653. [Google Scholar] [CrossRef]
- Martins, A.S.; Guaraldo, T.T.; Wenk, J.; Mattia, D.; Zanoni, M.V.B. Nanoporous WO3 grown on a 3D tungsten mesh by electrochemical anodization for enhanced photoelectrocatalytic degradation of tetracycline in a continuous flow reactor. J. Electroanal. Chem. 2022, 920, 116617. [Google Scholar] [CrossRef]
- Bhattacharjee, S.; Chakraborty, S.; Mandol, K.; Liu, L.; Choi, H.; Bhattacharjee, C. Optimization of process parameters during photocatalytic degradation of phenol in UV annular reactor. Desalin. Water Treat. 2015, 54, 2270–2279. [Google Scholar] [CrossRef]
- Zheng, Q.; Aiello, A.; Choi, Y.S.; Tarr, K.; Shen, H.; Durkin, D.P.; Shuai, D. 3D printed photoreactor with immobilized graphitic carbon nitride: A sustainable platform for solar water purification. J. Hazard. Mater. 2020, 399, 123097. [Google Scholar] [CrossRef] [PubMed]
- Mioduska, J.; Łapiński, M.S.; Karczewski, J.; Hupka, J.; Zielińska-Jurek, A. New LED photoreactor with modulated UV–vis light source for efficient degradation of toluene over WO3/TiO2 photocatalyst. Chem. Eng. Res. Des. 2022, 193, 145–157. [Google Scholar] [CrossRef]
- Binjhade, R.; Mondal, R.; Mondal, S. Continuous photocatalytic reactor: Critical review on the design and performance. J. Environ. Chem. Eng. 2022, 10, 107746. [Google Scholar] [CrossRef]
- Mazellier, P.; Méité, L.; De Laat, J. Photodegradation of the steroid hormones 17β-estradiol (E2) and 17α-ethinylestradiol (EE2) in dilute aqueous solution. Chemosphere 2008, 73, 1216–1223. [Google Scholar] [CrossRef]
- He, H.; Lin, Y.; Yang, X.; Zhu, X.; Xie, W.; Lai, C.; Yang, S.; Zhang, Z.; Huang, B.; Pan, X. The photodegradation of 17 alpha-ethinylestradiol in water containing iron and dissolved organic matter. Sci. Total Environ. 2022, 814, 152516. [Google Scholar] [CrossRef]
- Huang, Z.; Lin, Q.; Luo, H.; Guo, P.; Weng, Q.; Lei, Y.; Cheng, S.; Liu, S.S. Degradation of progesterone by coexisting free radical and nonradical pathways in the CuO/HNTs-PS system. J. Chem. Eng. 2020, 398, 125458. [Google Scholar] [CrossRef]
- Mitsika, E.E.; Christophoridis, C.; Kouinoglou, N.; Lazaridis, N.; Zacharis, C.K.; Fytianos, K. Optimized Photo-Fenton degradation of psychoactive pharmaceuticals alprazolam and diazepam using a chemometric approach—Structure and toxicity of transformation products. J. Hazard Mater. 2021, 403, 123819. [Google Scholar] [CrossRef] [PubMed]
- Calisto, V.; Domingues, M.R.M.; Esteves, V.I. Photodegradation of psychiatric pharmaceuticals in aquatic environments—Kinetics and photodegradation products. Water Res. 2011, 45, 6097–6106. [Google Scholar] [CrossRef] [PubMed]
- You, W.D.; Ye, P.; Yang, B.; Luo, X.; Fang, J.; Mai, Z.T.; Sun, J.L. Degradation of 17 Benzodiazepines by the UV/H2O2 Treatment. Front. Environ. Sci. 2021, 9, 474. [Google Scholar] [CrossRef]











| Unit-Cell Parameters and Crystallite Size | |||||||||
|---|---|---|---|---|---|---|---|---|---|
| Phase | QPA 1 Wt% | Space Group | a (Å) | b (Å) | c (Å) | β (°) | V (Å3) | Crystallite Size (nm) | |
| WO3 | WO3 (monoclinic) | 96.0 (3) | P21/n | 7.3055 (8) | 7.5256 (9) | 7.6761 (10) | 90.43 (1) | 422.01 (9) | 23 (1) |
| WO3 (hexagonal) | 4.0 (3) | P63/mcm | 7.354 (2) | – | 7.397 (6) | – | 346.5 (4) | – | |
| WO3 washed | WO3 (monoclinic) | 99.0 (2) | P21/n | 7.3106 (8) | 7.5271 (9) | 7.6813 (10) | 89.97 (1) | 422.69 (9) | 21 (1) |
| WO3 (hexagonal) | 1.0 (2) | P63/mcm | – | – | – | – | – | – | |
| k PFO (min−1) | R2 | ||
|---|---|---|---|
| Batch | EE2 WO3/st | 0.0018 ± 0.0002 | 0.9778 |
| DRO WO3/st | 0.0293 ± 0.0040 | 0.9969 | |
| OZ WO3/st | 0.0071 ± 0.0010 | 0.9936 | |
| Flow | EE2 WO3/st-GS | 0.0019 ± 0.0002 | 0.9313 |
| DRO WO3/st-GS | 0.0098 ± 0.0009 | 0.9880 | |
| OZ WO3/st-GS | 0.0022 ± 0.0002 | 0.9694 |
Disclaimer/Publisher’s Note: The statements, opinions and data contained in all publications are solely those of the individual author(s) and contributor(s) and not of MDPI and/or the editor(s). MDPI and/or the editor(s) disclaim responsibility for any injury to people or property resulting from any ideas, methods, instructions or products referred to in the content. |
© 2024 by the authors. Licensee MDPI, Basel, Switzerland. This article is an open access article distributed under the terms and conditions of the Creative Commons Attribution (CC BY) license (https://creativecommons.org/licenses/by/4.0/).
Share and Cite
Cescon, M.; Stevanin, C.; Ardit, M.; Orlandi, M.; Martucci, A.; Chenet, T.; Pasti, L.; Caramori, S.; Cristino, V. Solvothermally Grown Oriented WO3 Nanoflakes for the Photocatalytic Degradation of Pharmaceuticals in a Flow Reactor. Nanomaterials 2024, 14, 860. https://doi.org/10.3390/nano14100860
Cescon M, Stevanin C, Ardit M, Orlandi M, Martucci A, Chenet T, Pasti L, Caramori S, Cristino V. Solvothermally Grown Oriented WO3 Nanoflakes for the Photocatalytic Degradation of Pharmaceuticals in a Flow Reactor. Nanomaterials. 2024; 14(10):860. https://doi.org/10.3390/nano14100860
Chicago/Turabian StyleCescon, Mirco, Claudia Stevanin, Matteo Ardit, Michele Orlandi, Annalisa Martucci, Tatiana Chenet, Luisa Pasti, Stefano Caramori, and Vito Cristino. 2024. "Solvothermally Grown Oriented WO3 Nanoflakes for the Photocatalytic Degradation of Pharmaceuticals in a Flow Reactor" Nanomaterials 14, no. 10: 860. https://doi.org/10.3390/nano14100860
APA StyleCescon, M., Stevanin, C., Ardit, M., Orlandi, M., Martucci, A., Chenet, T., Pasti, L., Caramori, S., & Cristino, V. (2024). Solvothermally Grown Oriented WO3 Nanoflakes for the Photocatalytic Degradation of Pharmaceuticals in a Flow Reactor. Nanomaterials, 14(10), 860. https://doi.org/10.3390/nano14100860

